Industry Life Cycle, CEO Functional Background and Corporate Sustainable Development: Evidence from Listed Companies in China
Abstract
1. Introduction
2. Theoretical Analysis and Hypotheses
2.1. Theoretical Analysis
2.2. Hypotheses
2.2.1. Industry Life Cycle and CEO Function Background
2.2.2. Industry Life Cycle, CEO Function Background and Corporate Sustainable Development
3. Research Design
3.1. Sample Selection and Data Source
3.2. Econometric Modeling
3.3. Measurement of Variables
4. Empirical Results and Analysis
4.1. Descriptive Statistics and Correlation Analysis
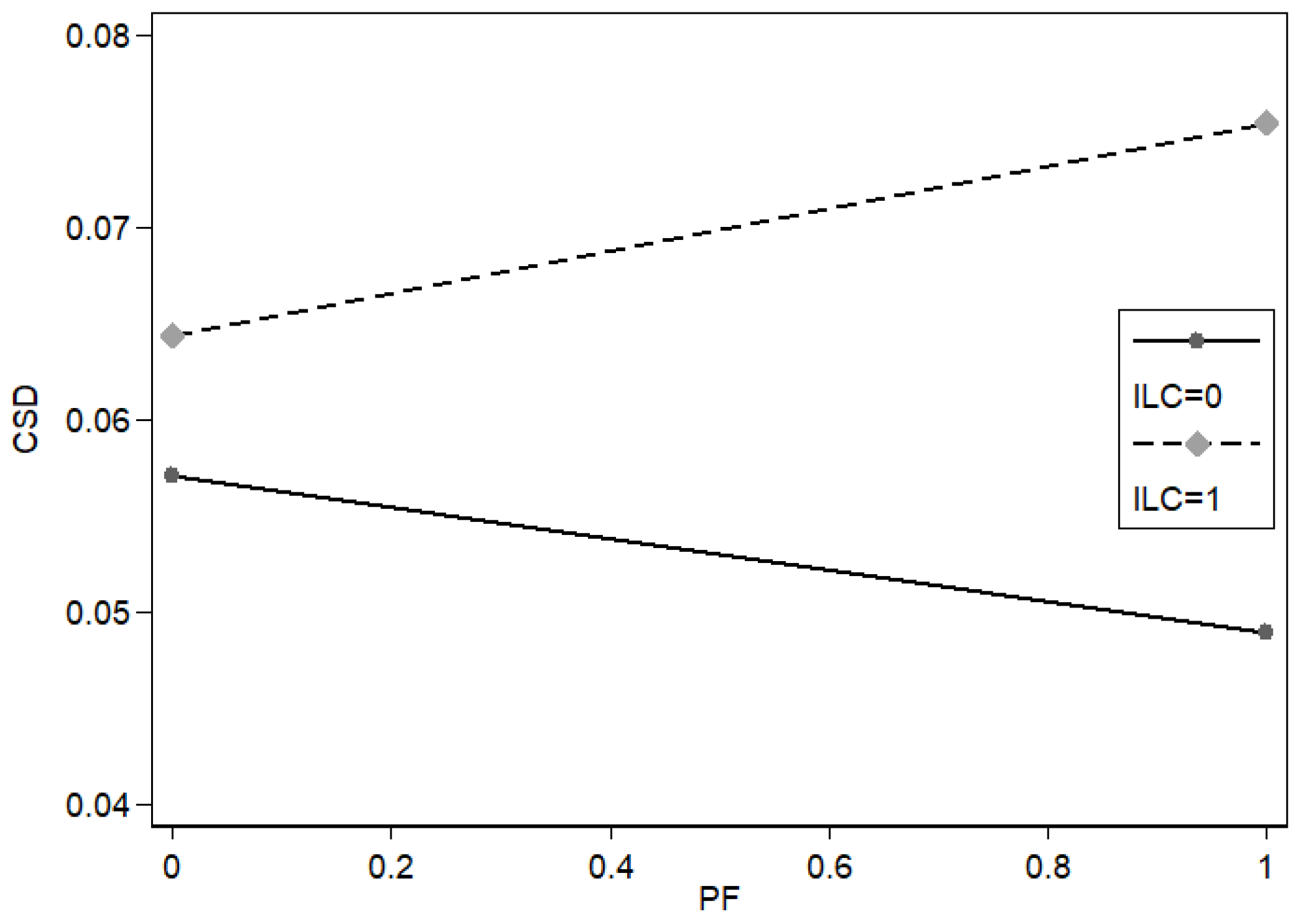
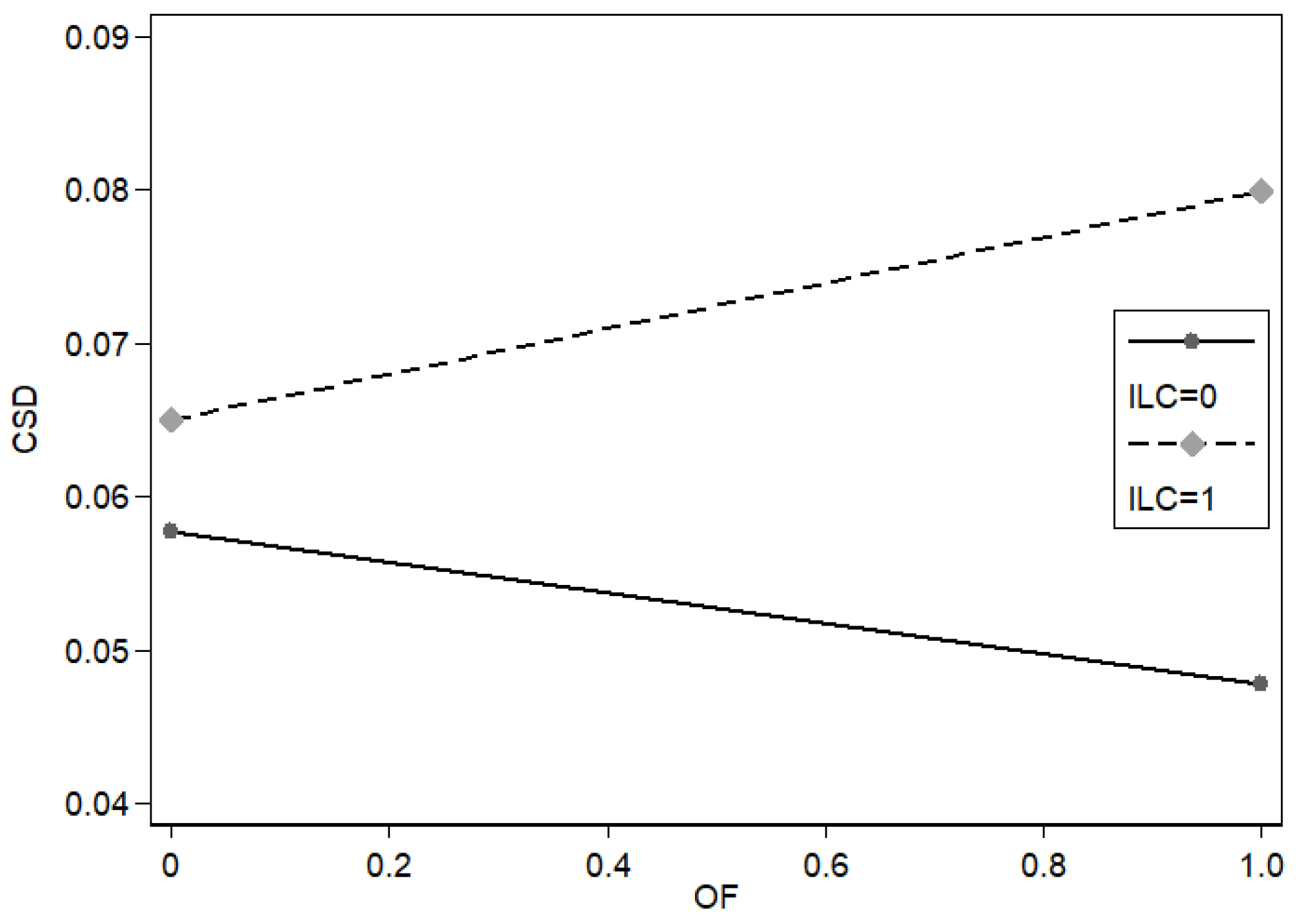
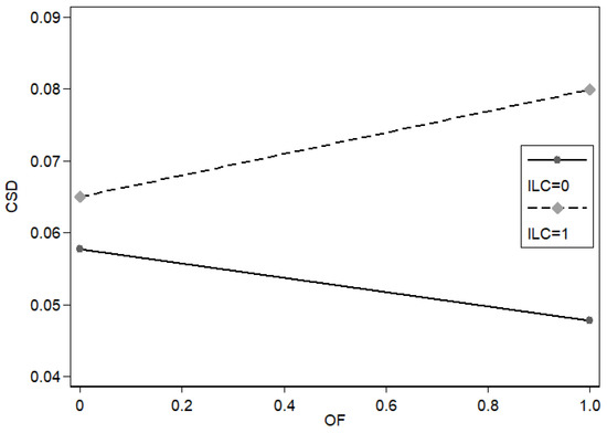
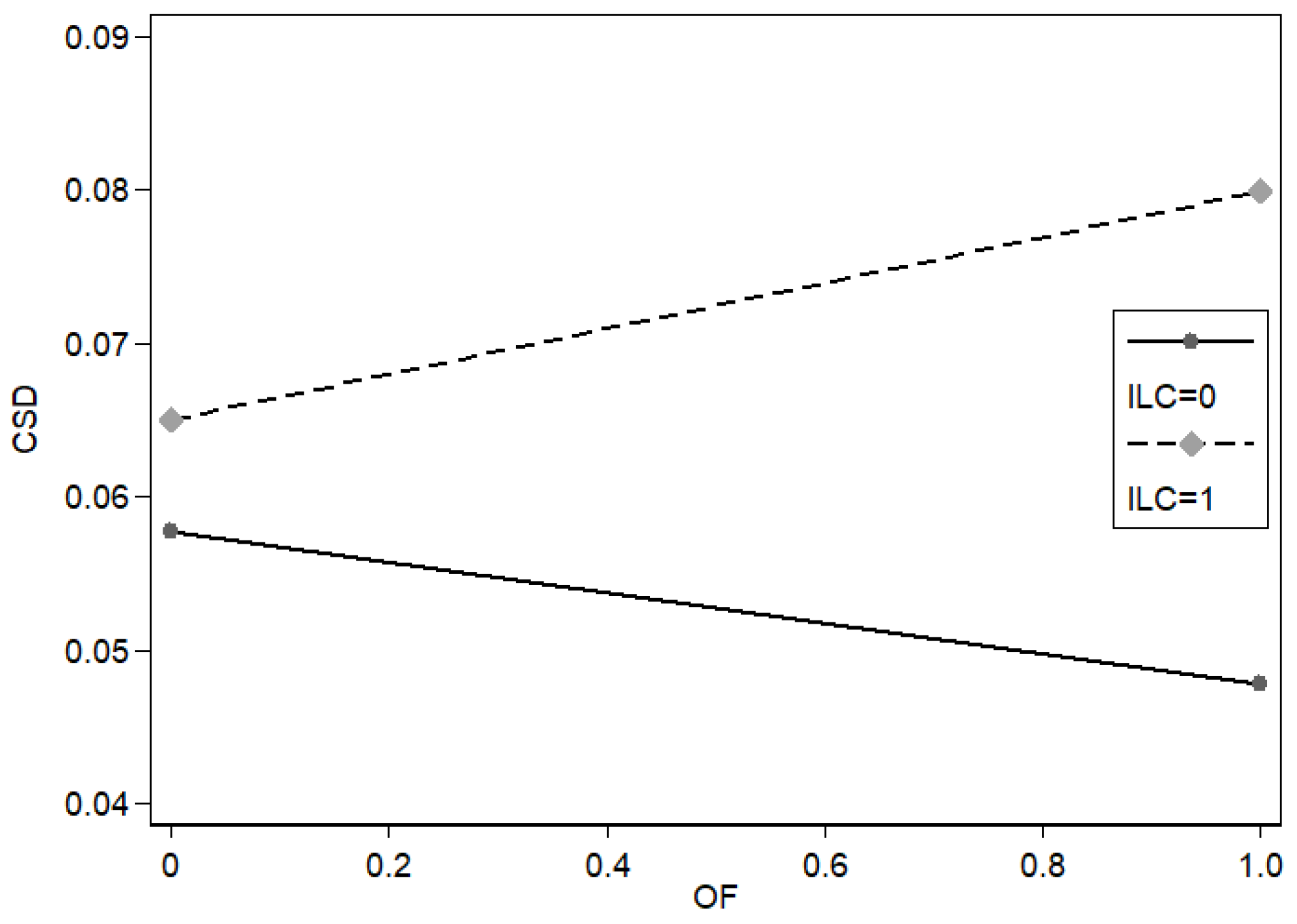
4.2. Regression Results and Analysis
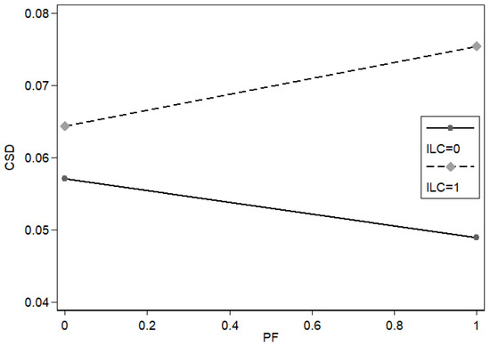
5. Further Study
5.1. Sub-Sample Analysis
5.2. Handling of Endogenous Problems
- (1)
- For the empirical model (1), this part uses a lagged independent variable to control the endogeneity problem. All independent variables and control variables are lagged by one year and the research conclusion has not changed.
- (2)
- For the empirical model (2), taking the change in the general manager of the company as an exogenous event, this paper tests the impact of the matching between the functional background of CEO succession and the industry life cycle on corporate sustainable development. This part refers to the practice of Xiao et al. [57] and constructs the following model.
5.3. Robustness Test
- (1)
- (2)
- Change the division method of industry life cycle stages. In view of the rapid changes in the Chinese industry life cycle, this part uses the method of McGahan and Silverman [47] for reference, selects the 3-year moving average method to calculate the net entry rate of manufacturers, and divides the industry life cycle stages based on this.
- (3)
- Change the sample period. Considering that the imperfect capital market before 1999 may cause inaccurate research results, this paper reduces the sample to 2000–2019 according to the suggestions of Jiang and Liu [9].
- (1)
- Change the measurement indicators for the sustainable development of companies. The empirical research in this paper adopts the return on net assets (ROE) as the robustness test.
- (2)
- Add control variables. In the previously mentioned analysis, industry life cycle has an impact on CEO characteristics, which may also include other CEO demographic characteristics. In order to eliminate the potential impact, CEO age, education and political capital are added as control variables.
- (3)
- Some robustness tests above are used. (1) Select the 3-year moving average method to calculate the net entry rate of manufacturers to divide the industry life cycle stages; (2) Narrow the sample range to 2000–2019.
6. Discussion
7. Conclusions
8. Final Considerations
8.1. Contribution or Implications
8.2. Limitations and Future Research Directions
Author Contributions
Funding
Informed Consent Statement
Data Availability Statement
Conflicts of Interest
Appendix A
| Variables | FB | ||
|---|---|---|---|
| (1) PF | (2) OF | (3) TF | |
| ILC | 0.270 ** | 0.263 * | −0.500 *** |
| (2.404) | (1.933) | (−4.525) | |
| State | −1.038 *** | 0.598 *** | 0.085 |
| (−10.504) | (4.958) | (0.887) | |
| Size | −0.089 ** | 0.052 | 0.006 |
| (−2.177) | (1.040) | (0.159) | |
| Dual | −0.401 *** | 0.258 * | −0.043 |
| (−3.097) | (1.765) | (−0.345) | |
| Board | −0.068 ** | 0.040 | 0.007 |
| (−2.549) | (1.238) | (0.257) | |
| Indep | −0.950 ** | 1.499 ** | 1.124 ** |
| (−1.997) | (2.552) | (2.390) | |
| Top1 | −0.004 | 0.000 | 0.010 *** |
| (−1.285) | (0.027) | (3.585) | |
| Gshare | 1.073 | −8.624 *** | 8.860 *** |
| (1.136) | (−5.754) | (5.479) | |
| Constant | 3.830 *** | −4.271 *** | −0.944 |
| (4.138) | (−3.739) | (−1.062) | |
| Ind | Yes | Yes | Yes |
| N | 2100 | 2100 | 2100 |
| R2 | 0.0891 | 0.155 | 0.0623 |
| Waldchi2 | 259.28 | 371.19 | 180.25 |
| Variables | FB | ||
|---|---|---|---|
| (1) PF | (2) OF | (3) TF | |
| ILC | 0.387 *** | 0.418 *** | −0.478 *** |
| (3.251) | (3.014) | (−4.043) | |
| State | −0.096 | 0.184 | 0.067 |
| (−0.961) | (1.592) | (0.688) | |
| Size | −0.073 | 0.129 ** | 0.125 *** |
| (−1.595) | (2.378) | (2.769) | |
| Dual | 0.002 | −0.018 | −0.011 |
| (0.019) | (−0.124) | (−0.089) | |
| Board | 0.013 | −0.074 ** | 0.033 |
| (0.422) | (−2.082) | (1.109) | |
| Indep | −0.735 | 0.419 | −0.344 |
| (−1.457) | (0.709) | (−0.676) | |
| Top1 | −0.393 | −0.092 | 0.082 |
| (−1.319) | (−0.264) | (0.277) | |
| Gshare | 0.489 | −9.153 *** | 9.638 *** |
| (0.296) | (−4.952) | (5.297) | |
| Constant | 1.784 * | −4.046 *** | −2.970 *** |
| (1.747) | (−3.305) | (−2.920) | |
| Ind | Yes | Yes | Yes |
| N | 2014 | 2014 | 2014 |
| R2 | 0.0583 | 0.136 | 0.0571 |
| Waldchi2 | 159.56 | 330.49 | 159.07 |
| Variables | FB | ||
|---|---|---|---|
| (1) PF | (2) OF | (3) TF | |
| ILC | 0.356 *** | 0.436 *** | −0.424 *** |
| (3.077) | (3.224) | (−3.727) | |
| State | −0.077 | 0.208 * | 0.051 |
| (−0.758) | (1.772) | (0.514) | |
| Size | −0.079 * | 0.117 ** | 0.136 *** |
| (−1.704) | (2.129) | (2.978) | |
| Dual | 0.080 | 0.029 | −0.065 |
| (0.594) | (0.192) | (−0.495) | |
| Board | 0.034 | −0.062 * | 0.001 |
| (1.079) | (−1.650) | (0.032) | |
| Indep | −1.221 * | 0.016 | −0.113 |
| (−1.947) | (0.023) | (−0.182) | |
| Top1 | −0.544 * | −0.013 | 0.175 |
| (−1.785) | (−0.037) | (0.580) | |
| Gshare | 0.300 | −9.539 *** | 9.751 *** |
| (0.180) | (−5.019) | (5.308) | |
| Constant | 1.910 * | −3.847 *** | −3.009 *** |
| (1.794) | (−3.038) | (−2.847) | |
| Ind | Yes | Yes | Yes |
| N | 1926 | 1926 | 1926 |
| R2 | 0.0570 | 0.129 | 0.0526 |
| Waldchi2 | 148.83 | 298.19 | 140.28 |
| Variables | ROE | |
|---|---|---|
| (1) | (2) | |
| ILC × PF | 0.015 * | |
| (1.705) | ||
| ILC × TF | −0.004 | |
| (−0.515) | ||
| ILC × OF | 0.016 * | |
| (1.777) | ||
| PF | 0.003 | −0.006 |
| (0.697) | (−0.968) | |
| TF | 0.005 | 0.006 |
| (1.058) | (1.017) | |
| OF | 0.007 | −0.003 |
| (1.552) | (−0.373) | |
| ILC | 0.018 ** | 0.011 |
| (2.558) | (0.954) | |
| State | 0.011 *** | 0.011 *** |
| (3.451) | (3.557) | |
| Size | 0.018 *** | 0.018 *** |
| (11.292) | (11.073) | |
| Dual | −0.009 ** | −0.009 ** |
| (−2.168) | (−2.348) | |
| Board | 0.002 ** | 0.002 ** |
| (2.160) | (2.166) | |
| Indep | −0.025 | −0.029 |
| (−0.708) | (−0.820) | |
| Top1 | 0.054 *** | 0.054 *** |
| (5.659) | (5.599) | |
| Gshare | 0.498 *** | 0.484 *** |
| (3.282) | (3.189) | |
| Constant | −0.311 *** | −0.303 *** |
| (−4.264) | (−4.144) | |
| Industry | Yes | Yes |
| Year | Yes | Yes |
| N | 2014 | 2014 |
| F | 11.41 | 10.90 |
| Adj.R2 | 0.164 | 0.168 |
| Variables | SGR | |
|---|---|---|
| (1) | (2) | |
| ILC × PF | 0.018 ** | |
| (2.004) | ||
| ILC × TF | 0.000 | |
| (0.044) | ||
| ILC × OF | 0.021 ** | |
| (2.263) | ||
| PF | 0.003 | −0.008 |
| (0.691) | (−1.165) | |
| TF | 0.005 | 0.004 |
| (1.149) | (0.679) | |
| OF | 0.004 | −0.008 |
| (0.853) | (−1.191) | |
| ILC | 0.023 *** | 0.010 |
| (3.129) | (0.889) | |
| age | −0.001 ** | −0.001 ** |
| (−2.029) | (−2.054) | |
| diploma | −0.002 | −0.002 |
| (−0.889) | (−0.917) | |
| PC | −0.001 | −0.001 |
| (−0.273) | (−0.189) | |
| State | 0.008 ** | 0.009 ** |
| (2.406) | (2.526) | |
| Size | 0.017 *** | (9.970) |
| (10.178) | −0.006 | |
| Dual | −0.005 | (−1.452) |
| (−1.245) | 0.001 | |
| Board | 0.001 | (0.807) |
| (0.789) | −0.037 | |
| Indep | −0.033 | (−1.021) |
| (−0.907) | 0.035 *** | |
| Top1 | 0.036 *** | (3.615) |
| (3.666) | 0.376 ** | |
| Gshare | 0.384 ** | (2.396) |
| (2.449) | (3.189) | |
| Constant | −0.237 *** | −0.225 *** |
| (−3.141) | (−2.977) | |
| Industry | Yes | Yes |
| Year | Yes | Yes |
| N | 2014 | 2014 |
| F | 10.20 | 9.805 |
| Adj.R2 | 0.158 | 0.161 |
| Variables | SGR | |
|---|---|---|
| (1) | (2) | |
| ILC × PF | 0.018 * | |
| (1.789) | ||
| ILC × TF | −0.000 | |
| (−0.049) | ||
| ILC × OF | 0.023 ** | |
| (2.322) | ||
| PF | 0.003 | −0.006 |
| (0.540) | (−0.962) | |
| TF | 0.006 | 0.005 |
| (1.239) | (0.875) | |
| OF | 0.005 | −0.006 |
| (1.048) | (−0.843) | |
| ILC | 0.030 *** | 0.016 |
| (3.405) | (1.205) | |
| State | 0.011 *** | 0.011 *** |
| (3.017) | (3.212) | |
| Size | 0.016 *** | 0.016 *** |
| (9.329) | (9.114) | |
| Dual | −0.011 ** | −0.011 ** |
| (−2.364) | (−2.548) | |
| Board | 0.001 | 0.001 |
| (1.110) | (1.034) | |
| Indep | −0.005 | −0.009 |
| (−0.126) | (−0.241) | |
| Top1 | 0.037 *** | 0.036 *** |
| (3.526) | (3.476) | |
| Gshare | 0.120 ** | 0.114 ** |
| (2.357) | (2.237) | |
| Constant | −0.256 *** | −0.243 *** |
| (−3.165) | (−3.001) | |
| Industry | Yes | Yes |
| Year | Yes | Yes |
| N | 2014 | 2014 |
| F | 10.96 | 10.48 |
| Adj.R2 | 0.158 | 0.162 |
| Variables | SGR | |
|---|---|---|
| (1) | (2) | |
| ILC × PF | 0.021 ** | |
| (2.123) | ||
| ILC × TF | 0.006 | |
| (0.568) | ||
| ILC × OF | 0.022 ** | |
| (2.200) | ||
| PF | 0.002 | −0.010 |
| (0.406) | (−1.370) | |
| TF | 0.006 | 0.003 |
| (1.324) | (0.474) | |
| OF | 0.004 | −0.008 |
| (0.874) | (−1.067) | |
| ILC | 0.022 *** | 0.005 |
| (2.748) | (0.423) | |
| State | 0.014 *** | 0.014 *** |
| (3.836) | (3.954) | |
| Size | 0.016 *** | 0.016 *** |
| (9.540) | (9.419) | |
| Dual | −0.011 ** | −0.012 ** |
| (−2.342) | (−2.550) | |
| Board | 0.001 | 0.001 |
| (0.960) | (0.984) | |
| Indep | −0.005 | −0.005 |
| (−0.131) | (−0.130) | |
| Top1 | 0.038 *** | 0.037 *** |
| (3.576) | (3.552) | |
| Gshare | 0.123 ** | 0.118 ** |
| (2.426) | (2.318) | |
| Constant | −0.355 *** | −0.345 *** |
| (−8.790) | (−8.524) | |
| Industry | Yes | Yes |
| Year | Yes | Yes |
| N | 1926 | 1926 |
| F | 13.59 | 12.68 |
| Adj.R2 | 0.169 | 0.171 |


References
- Wiersema, M.F.; Bird, A. Organizational Demography in Japanese Firms: Group Heterogeneit, Individual Dissimilarity, and Top Management Team Turnover. Acad. Manag. J. 1993, 36, 996–1025. [Google Scholar] [CrossRef]
- Li, J.; Tang, Y. The Social Influence of Executive Hubris. Manag. Int. Rev. 2013, 53, 83–107. [Google Scholar] [CrossRef]
- Tereas, P.V.I.; Iris, A. Comparison of the International Diversity on Top Management Teams of Multinational Firms Based in The United States, Europe, and Asia: Status and Implications. Singap. Manag. Rev. 2007, 29, 1–30. [Google Scholar]
- Li, X.; Zhang, J.J. Institutional Antecedents and Executive Characteristics: An Empirical Study. Manag. World 2010, 10, 110–121. [Google Scholar]
- Guthrie, J.P.; Olian, J.D. Does Context Affect Staffing Decisions? The Case of General Managers. Pers. Psychol. 1991, 44, 263–292. [Google Scholar] [CrossRef]
- Datta, D.K.; Rajagopalan, N. Industry Structure and CEO Characteristics: An Empirical Study of Succession Events. Strateg. Manag. J. 1998, 19, 833–852. [Google Scholar] [CrossRef]
- Hou, B.; Hong, J.; Zhu, K.; Zhou, Y. Paternalistic leadership and innovation: The moderating effect of environmental dynamism. Eur. J. Innov. Manag. 2019, 22, 562–582. [Google Scholar] [CrossRef]
- Zheng, F. Industry Life Cycle, Market Concentration and Economic Performance—An Empirical Study Based on 493 Sub-sectors of China’s Industry. Econ. Surv. 2019, 3, 81–87. [Google Scholar]
- Jiang, F.X.; Liu, Z.B. Industry characteristics, Capital Structure and Product Market Competition. Manag. World 2005, 10, 74–81. [Google Scholar]
- Wang, L.; Hu, C.H.; Kong, D.M. Financial Fraud, Industry Characteristics and “Peer Effects” of Corporate Investment. Foreign Econ. Manag. 2018, 40, 125–137. [Google Scholar]
- Jing, P. New Pattern of Global Competition and China’s Industrial Development Trend. China Ind. Econ. 2012, 5, 5–17. [Google Scholar]
- Min, D.; Han, L.Y. Market structure, industry cycle and capital structure—An analysis based on the financial theory of strategic companies. Manag. World 2008, 2, 82–89. [Google Scholar]
- Whittaker, D.H.; Zhu, T.B.; Sturgeon, T.; Tsai, M.H.; Okita, T. Compressed Development. Stud. Comp. Int. Dev. 2010, 45, 439–467. [Google Scholar] [CrossRef]
- Aragon-Correa, J.A. Contingent Resource-Based View of Proactive Corporate Environmental Strategy. Acad. Manag. Rev. 2003, 28, 71–88. [Google Scholar] [CrossRef]
- Li, X.; Zhang, J.J. Top Executives’ Characteristics, Firms’ Ownerships and Firms’ Actions. Res. Econ. Manag. 2011, 6, 86–100. [Google Scholar]
- Hambrick, D.C.; Mason, P.A. Upper Echelons: The Organization as a Reflection of Its Top Managers. Acad. Manag. Rev. 1984, 9, 193–206. [Google Scholar] [CrossRef]
- Wang, X.L.; Ma, L.; Wang, Y.L. The Impact of TMT Functional Background on Firm Performance: Evidence from IT Public Listed Companies in China. Nankai Bus. Rev. 2013, 4, 80–93. [Google Scholar]
- Certo, S.T.; Lester, R.H.; Dalton, C.M. Top Management Teams, Strategy and Financial Performance: A Meta-Analytic Examination. J. Manag. Stud. 2006, 43, 813–839. [Google Scholar] [CrossRef]
- Lin, Y.F. Wave Phenomenon and the Reconstruction of Macroeconomic Theories for Developing Countries. Econ. Res. J. 2007, 1, 126–131. [Google Scholar]
- Lin, Y.F.; Wu, H.M.; Xing, Y.Q. “Wave Phenomena” and Formation of Excess Capacity. Econ. Res. J. 2010, 45, 4–19. [Google Scholar]
- Jiang, F.T.; Geng, Q.; Lv, D.G. Mechanism of Excess Capacity Based on China’s Regional Competition and Market Distortion. China Ind. Econ. 2012, 6, 44–56. [Google Scholar]
- Huang, J.; Chen, X.Y.; Ding, Z. Excess Capacity, Crowding-out Effect of Credit Resource and the Economic Consequences. Account. Res. 2019, 2, 65–70. [Google Scholar]
- Tyler, B.B.; Steensma, H.K. The Effects of Executives, Experiences and Perceptions on Their Assessment of Potential Technological Alliances. Strateg. Manag. J. 2015, 19, 939–965. [Google Scholar] [CrossRef]
- Qi, L. The Influence of the Globalization of Monopoly Capital on China’s Industrial Development. China Econ. 2009, 2, 83–97. [Google Scholar]
- Jensen, M.; Zajac, E.J. Corporate Elites and Corporate Strategy: How Preferences and Structural Position Shape the Scope of the Firm. Strateg. Manag. J. 2004, 25, 507–524. [Google Scholar] [CrossRef]
- Bai, R.R. Competition-driven, Government Intervention and Capacity Expansion: Discussion on the Micro-mechanism of “Wave Movement Phenomenon”. Econ. Res. J. 2016, 11, 56–69. [Google Scholar]
- Chow, I.H.; Huang, J.C.; Liu, S.H. Strategic HRM In China: Configurations and Competitive Advantage. Hum. Resour. Manag. 2008, 47, 687–706. [Google Scholar] [CrossRef]
- Van de Ven, A.H.; Ganco, M.; Hinings, C.R. Returning to the Frontier of Contingency Theory of Organizational and Institutional Designs. Acad. Manag. Ann. 2013, 7, 393–440. [Google Scholar] [CrossRef]
- Liu, Z.; Feng, J.; Wang, J. Resource-Constrained innovation method for sustainability: Application of morphological analysis and TRIZ inventive principles. Sustainability 2020, 12, 917. [Google Scholar] [CrossRef]
- Wan, F.; Williamson, P.J.; Yin, E. Enabling cost innovation by non-traditional organizational processes: The case of Chinese firms. Technol. Forecast. Soc. Change 2019, 139, 352–361. [Google Scholar] [CrossRef]
- Silva, I.; Borini, F.; Reis, G.; Fleury, M.; Santos, L. Antecedents of cost innovation: The combined impact of strategy and organisational culture. Int. J. Innov. Learn. 2020, 24, 327–344. [Google Scholar]
- Shankar, V.; Narang, U. Emerging market innovations: Unique and differential drivers, practitioner implications, and research agenda. J. Acad. Mark. Sci. 2020, 48, 1030–1052. [Google Scholar] [CrossRef]
- Pisoni, A.; Michelini, L.; Martignoni, G. Frugal approach to innovation: State of the art and future perspectives. J. Clean. Prod. 2018, 171, 107–126. [Google Scholar] [CrossRef]
- Neumann, L.; Winterhalter, S.; Gassmann, O. Market make the magic-consequences and implications of market choice for frugal innovation. Int. J. Technol. Manag. 2020, 83, 55–77. [Google Scholar] [CrossRef]
- Giannetti, V.; Rubera, G. Innovation for and from emerging countries: A closer look at the antecedents of trickle-down and reverse innovation. J. Acad. Mark. Sci. 2020, 48, 987–1008. [Google Scholar] [CrossRef]
- Zinsstag, J.; Pelikan, K.; Hammel, T.; Tischler, J.; Flahault, A.; Utzinger, J.; Probst-Hensch, N. Reverse innovation in global health. J. Public Health Emerg. 2019, 3, 2. [Google Scholar] [CrossRef]
- Sharma, A.; Iyer, G.R. Resource-constrained product development: Implications for green marketing and green supply chains. Ind. Mark. Manag. 2012, 41, 599–608. [Google Scholar] [CrossRef]
- Li, H.; Hang, Y.; Shah, S.G.M.; Akram, A.; Ozturk, I. Demonstrating the impact of cognitive CEO on firms’ performance and CSR activity. Front. Psychol. 2020, 11, 278. [Google Scholar] [CrossRef]
- Zhao, X.; Wang, M.; Zhan, X.; Liu, Y. The Mechanisms of Chief Executive Officer Characteristics and Corporate Social Responsibility. Reporting: Evidence from Chinese-Listed Firms. Front. Psychol. 2022, 13, 794258. [Google Scholar] [CrossRef]
- Xu, J.; Wang, B. Intellectual Capital, Financial Performance and Companies’ Sustainable Growth: Evidence from the Korean Manufacturing Industry. Sustainability 2018, 10, 4651. [Google Scholar] [CrossRef]
- Yang, X.D.; Peng, C.C.; Yao, A.L. Management Capability, Internal Control and Corporate Sustainability. Audit. Res. 2018, 34, 121–128. [Google Scholar]
- Li, Y.; Qin, Y.H.; Zhang, X.F. Enterprise property rights, background characteristics of managers and investment efficiency. Manag. World 2011, 1, 135–144. [Google Scholar]
- Xu, Z.; Hou, J. Effects of CEO Overseas Experience on Corporate Social Responsibility: Evidence from Chinese Manufacturing Listed Companies. Sustainability 2021, 13, 5335. [Google Scholar] [CrossRef]
- Wang, Q.; Pei, X.; Liang, H. Founder CEO, CEO Characteristics, and Firm Innovation Efficiency: An Empirical Study of China’s GEM-Listed Companies. Sustainability 2022, 14, 8250. [Google Scholar] [CrossRef]
- Liu, Y.; Qiao, K.Y.; Zhang, J.J. Chairperson’s Functional Background and Corporate Strategies. China J. Econ. 2016, 3, 1–35. [Google Scholar]
- Liu, X.; Li, X.Y.; Xue, Y.Z. Group Conflict and Firm Innovation. Stud. Sci. Sci. 2020, 38, 357–372. [Google Scholar]
- Mcgahan, A.M.; Silverman, B.S. How does Innovative Activity Change as Industries Mature? Int. J. Ind. Organ. 2001, 19, 1141–1160. [Google Scholar] [CrossRef]
- Liu, F.C.; Zhu, S.S.; Ma, R.K. Differences between the research and development (R&D) investment decisions of innovation leaders and innovation followers—Based on the perspective of industry life. Stud. Sci. Sci. 2017, 35, 1707–1715. [Google Scholar]
- Zheng, F.; Shen, X.H.; Lu, R. Heterogeneous Influence of Government Subsidies on Enterprise Performance: Based on the Perspective of Industry Life Cycle. Econ. Surv. 2021, 38, 96–104. [Google Scholar]
- Qu, X.; Yang, D.; Qu, Y.Q. Founder’s protection, scapegoat and sitting in effect. Manag. World 2012, 5, 137–151. [Google Scholar]
- Lian, Y.L.; He, X.G.; Zhang, X.F.; Zhou, B. Crisis impact, the “housekeeper role” of major shareholders and enterprise performance. Manag. World 2012, 9, 142–155. [Google Scholar]
- Huang, J.C.; Sheng, M.Q. Does the background characteristics of executives have information content. Manag. World 2013, 9, 144–153. [Google Scholar]
- Aghion, P.; Joho, V.R.; Luigi, Z. Innovation and Institutional Ownership. Am. Econ. Rev. 2013, 103, 277–304. [Google Scholar] [CrossRef]
- Yang, X.Q.; Yin, X.Q. How the mixed reform of state-owned enterprises affects the company’s cash holdings. Manag. World 2018, 11, 93–107. [Google Scholar]
- Han, S.; Cui, W.; Chen, J.; Fu, Y. Why Do Companies Choose Female CEOs? Sustainability 2019, 11, 4070. [Google Scholar] [CrossRef]
- Foss, N.J.; Frederiksen, L.; Rullani, F. Problem-formulation and Problem-solving in Self-organized Communities: How Modes of Communication Shape Project Behaviors in the Free Open-source Software Community. Strateg. Manag. J. 2016, 37, 2589–2610. [Google Scholar] [CrossRef]
- Xiao, T.S.; Li, D.; Yuan, C. Matching between the style of enterprise and the government environment: Evidence from the inter-province M&As. Manag. World 2016, 34, 124–138. [Google Scholar]
- Li, S.H.; Zong, J. Economic Development, Social Security, Financial Expenditure and Residents’ Health: A Test of Adverse Selection Behavior. Macroeconomic 2018, 11, 26–43. [Google Scholar]
- Yan, W.C.; Xiao, X. Does Surname Relationship Between CEOs and Directors Affect Agency Cost? Manag. Rev. 2019, 31, 99–116. [Google Scholar]
- Wen, D.H.; Pan, F.; Chen, S.M. An empirical study on environmental uncertainty, dual management control system and enterprise performance—From the perspective of contingency theory. Manag. World 2009, 10, 102–114. [Google Scholar]
- Meuer, J.; Koelbel, J.; Hoffmann, V.H. On the nature of corporate sustainability. Organ. Environ. 2020, 33, 319–341. [Google Scholar] [CrossRef]
| Industry | Year | Net Entry Rate of Manufacturers | Inflection Point of Industrial Life Cycle Stage | |
|---|---|---|---|---|
| The Year Before | Current Year | |||
| Real estate development and operation | 2013 | 6.77% | 0.90% | Inflection point of maturity stage |
| Textile industry | 1992 | 0.05% | −3.11% | Inflection point of decline stage |
| 2000 | −21.84% | 6.75% | Inflection point of growth stage | |
| 2009 | 7.91% | 3.23% | Inflection point of maturity stage | |
| Computer and related equipment manufacturing industry | 2008 | 13.96% | 5.59% | Inflection point of maturity stage |
| Industry | Period | GDP Growth Rate | Output Growth Rate | Industry Life Cycle Stage | ||
|---|---|---|---|---|---|---|
| First Half Period | Second Half Period | First Half Period | Second Half Period | |||
| Real estate development and operation | 1992–2012 | 10.25% | 10.51% | 31.15% | 19.74% | Growth stage |
| 2013–2019 | 7.19% | 6.57% | 15.67% | 5.53% | Maturity stage | |
| Textile industry | 1992–1999 | 13.07% | 8.66% | 3.98% | −0.64% | Decline stage |
| 2000–2008 | 9.18% | 11.97% | 17.98% | 18.94% | Growth stage | |
| 2009–2019 | 8.68% | 6.70% | 8.99% | −8.85% | Maturity stage | |
| Computer and related equipment manufacturing industry | 1993–2007 | 10.13% | 10.82% | 45.68% | 37.64% | Growth stage |
| 2008–2019 | 9.07% | 6.80% | 3.77% | −4.16% | Maturity stage | |
| Variable | Mean | SD | Sgr | PF | TF | OF | ILC | Dual | Board | Indep | Top1 | Gshare | State | Size |
|---|---|---|---|---|---|---|---|---|---|---|---|---|---|---|
| Sgr | 0.062 | 0.075 | 1.000 | |||||||||||
| PF | 0.291 | 0.454 | 0.019 | 1.000 | ||||||||||
| TF | 0.473 | 0.499 | 0.020 | −0.486 *** | 1.000 | |||||||||
| OF | 0.417 | 0.493 | −0.027 | −0.335 *** | −0.353 *** | 1.000 | ||||||||
| ILC | 0.525 | 0.500 | 0.084 *** | 0.161 *** | −0.154 *** | 0.003 | 1.000 | |||||||
| Dual | 0.191 | 0.393 | −0.058 *** | −0.028 | 0.034 | 0.004 | −0.072 *** | 1.000 | ||||||
| Board | 8.782 | 1.567 | 0.010 | 0.007 | 0.017 | −0.010 | 0.076 *** | −0.083 *** | 1.000 | |||||
| Indep | 0.332 | 0.109 | 0.017 | −0.056 ** | 0.085 *** | −0.061 *** | −0.320 *** | −0.061 *** | −0.185 *** | 1.000 | ||||
| Top1 | 0.394 | 0.161 | 0.130 *** | −0.029 | 0.017 | 0.000 | −0.002 | 0.019 | −0.061 *** | −0.047 ** | 1.000 | |||
| Gshare | 0.003 | 0.012 | 0.004 | −0.160 *** | 0.125 *** | 0.0270 | −0.200 *** | 0.288 *** | −0.043 * | 0.113 *** | −0.019 | 1.000 | ||
| State | 0.516 | 0.500 | 0.006 | −0.038 * | 0.062 *** | −0.0120 | −0.146 *** | 0.144 *** | −0.142 *** | 0.172 *** | −0.026 | 0.265 *** | 1.000 | |
| Size | 22.15 | 1.358 | 0.247 *** | −0.008 | 0.110 *** | −0.087 *** | −0.377 *** | −0.094 *** | 0.028 | 0.327 *** | 0.192 *** | −0.044 ** | −0.088 *** | 1.000 |
| Variables | FB | ||
|---|---|---|---|
| (1) PF | (2) OF | (3) TF | |
| ILC | 0.343 *** | 0.518 *** | −0.481 *** |
| (2.980) | (3.862) | (−4.247) | |
| State | −0.003 | 0.185 | 0.032 |
| (−0.034) | (1.589) | (0.323) | |
| Size | −0.064 | 0.172 *** | 0.099 ** |
| (−1.367) | (3.112) | (2.143) | |
| Dual | 0.131 | −0.132 | 0.028 |
| (1.021) | (−0.901) | (0.226) | |
| Board | 0.015 | −0.073 ** | 0.032 |
| (0.471) | (−1.989) | (1.025) | |
| Indep | −0.709 | 0.163 | −0.110 |
| (−1.434) | (0.280) | (−0.220) | |
| Top1 | −0.440 | −0.196 | 0.201 |
| (−1.447) | (−0.562) | (0.672) | |
| Gshare | −21.806 *** | −13.583 *** | 22.853 *** |
| (−3.987) | (−2.764) | (4.982) | |
| Constant | 1.509 | −4.969 *** | −2.434 ** |
| (1.442) | (−3.980) | (−2.351) | |
| Ind | Yes | Yes | Yes |
| N | 2014 | 2014 | 2014 |
| R2 | 0.0648 | 0.129 | 0.0531 |
| Waldchi2 | 177.14 | 312.80 | 148.03 |
| Variables | SGR | |
|---|---|---|
| (1) | (2) | |
| ILC × PF | 0.019 ** | |
| (2.033) | ||
| ILC × TF | 0.001 | |
| (0.132) | ||
| ILC × OF | 0.025 *** | |
| (2.609) | ||
| PF | 0.003 | −0.008 |
| (0.747) | (−1.175) | |
| TF | 0.005 | 0.004 |
| (1.155) | (0.597) | |
| OF | 0.005 | −0.010 |
| (0.976) | (−1.366) | |
| ILC | 0.022 *** | 0.007 |
| (2.861) | (0.599) | |
| State | 0.008 ** | 0.009 *** |
| (2.415) | (2.588) | |
| Size | 0.016 *** | 0.016 *** |
| (9.620) | (9.426) | |
| Dual | −0.009 ** | −0.010 ** |
| (−2.032) | (−2.234) | |
| Board | 0.001 | 0.001 |
| (0.614) | (0.628) | |
| Indep | −0.030 | −0.035 |
| (−0.798) | (−0.920) | |
| Top1 | 0.036 *** | 0.036 *** |
| (3.577) | (3.523) | |
| Gshare | 0.417 *** | 0.406 *** |
| (2.953) | (2.881) | |
| Constant | −0.249 *** | −0.235 *** |
| (−3.199) | (−3.022) | |
| Industry | Yes | Yes |
| Year | Yes | Yes |
| N | 2014 | 2014 |
| F | 9.932 | 9.569 |
| Adj.R2 | 0.144 | 0.149 |
| Variables | FB | |||||
|---|---|---|---|---|---|---|
| Non-State-Owned Companies | State-Owned Companies | |||||
| (1) PF | (2) TF | (3) OF | (4) PF | (5) TF | (6) OF | |
| ILC | 0.318 * | −0.416 ** | 0.629 *** | 0.438 *** | −0.685 *** | 0.741 *** |
| (1.913) | (−2.560) | (3.174) | (2.597) | (−4.099) | (3.654) | |
| Size | −0.118 * | 0.136 ** | 0.265 *** | 0.076 | 0.025 | 0.013 |
| (−1.801) | (2.109) | (3.313) | (1.080) | (0.361) | (0.156) | |
| Dual | −0.140 | 0.365 ** | −0.145 | 0.492 ** | −0.535 ** | −0.218 |
| (−0.815) | (2.199) | (−0.755) | (2.433) | (−2.535) | (−0.886) | |
| Board | 0.109 ** | −0.137 *** | −0.009 | −0.032 | 0.128 *** | −0.125 ** |
| (2.168) | (−2.762) | (−0.142) | (−0.725) | (2.921) | (−2.423) | |
| Indep | 1.135 | −2.319 ** | 0.252 | −1.793 *** | 0.464 | 0.884 |
| (1.246) | (−2.553) | (0.224) | (−2.788) | (0.713) | (1.197) | |
| Top1 | −0.714 * | 0.540 | −0.086 | −0.310 | −0.078 | −0.274 |
| (−1.656) | (1.282) | (−0.175) | (−0.681) | (−0.173) | (−0.515) | |
| Gshare | −21.100 *** | 26.191 *** | −20.433 *** | −26.495 | −69.432 | 58.349 |
| (−3.699) | (5.088) | (−3.889) | (−0.478) | (−1.255) | (0.826) | |
| Constant | 1.484 | −1.239 | −7.846 *** | −1.083 | −1.529 | −0.994 |
| (1.010) | (−0.855) | (−4.290) | (−0.681) | (−0.967) | (−0.534) | |
| Industry | Yes | Yes | Yes | Yes | Yes | Yes |
| N | 1039 | 1039 | 1039 | 975 | 975 | 975 |
| R2 | 0.064 | 0.053 | 0.129 | 0.064 | 0.053 | 0.129 |
| Waldchi2 | 124.17 | 105.49 | 185.44 | 91.18 | 80.72 | 211.73 |
| Variables | SGR | |||
|---|---|---|---|---|
| Non-State-Owned Companies | State-Owned Companies | |||
| (1) | (2) | (3) | (4) | |
| ILC × PF | 0.037 *** | −0.011 | ||
| (2.674) | (−0.852) | |||
| ILC × TF | 0.021 | −0.029 ** | ||
| (1.621) | (−2.146) | |||
| ILC × OF | 0.039 *** | −0.002 | ||
| (2.718) | (−0.163) | |||
| ILC | −0.008 | −0.025 *** | 0.014 ** | 0.020 * |
| (−1.186) | (−2.719) | (2.229) | (1.899) | |
| PF | −0.005 | −0.015 * | 0.015 ** | 0.031 *** |
| (−0.795) | (−1.668) | (2.341) | (3.059) | |
| TF | −0.014 * | −0.032 *** | 0.017 ** | 0.017 |
| (−1.929) | (−3.241) | (2.529) | (1.470) | |
| OF | 0.026 ** | −0.010 | 0.026 ** | 0.043 ** |
| (2.474) | (−0.553) | (2.388) | (2.549) | |
| Constant | −0.426 *** | −0.402 *** | −0.096 | −0.103 |
| (−4.780) | (−4.506) | (−1.181) | (−1.252) | |
| Controls | Yes | Yes | Yes | Yes |
| Industry | Yes | Yes | Yes | Yes |
| Year | Yes | Yes | Yes | Yes |
| N | 1039 | 1039 | 975 | 975 |
| F | 6.976 | 6.720 | 6.177 | 5.918 |
| Adj.R2 | 0.172 | 0.177 | 0.164 | 0.168 |
| Variables | ΔSGR |
|---|---|
| Match | 0.023 * |
| (1.802) | |
| Constant | −0.162 |
| (−0.985) | |
| Controls | Yes |
| Year | Yes |
| N | 399 |
| F | 1.566 |
| Adj.R2 | 0.050 |
Disclaimer/Publisher’s Note: The statements, opinions and data contained in all publications are solely those of the individual author(s) and contributor(s) and not of MDPI and/or the editor(s). MDPI and/or the editor(s) disclaim responsibility for any injury to people or property resulting from any ideas, methods, instructions or products referred to in the content. |
© 2023 by the authors. Licensee MDPI, Basel, Switzerland. This article is an open access article distributed under the terms and conditions of the Creative Commons Attribution (CC BY) license (https://creativecommons.org/licenses/by/4.0/).
Share and Cite
Feng, Y.; Liu, Y. Industry Life Cycle, CEO Functional Background and Corporate Sustainable Development: Evidence from Listed Companies in China. Sustainability 2023, 15, 2071. https://doi.org/10.3390/su15032071
Feng Y, Liu Y. Industry Life Cycle, CEO Functional Background and Corporate Sustainable Development: Evidence from Listed Companies in China. Sustainability. 2023; 15(3):2071. https://doi.org/10.3390/su15032071
Chicago/Turabian StyleFeng, Yi, and Ya Liu. 2023. "Industry Life Cycle, CEO Functional Background and Corporate Sustainable Development: Evidence from Listed Companies in China" Sustainability 15, no. 3: 2071. https://doi.org/10.3390/su15032071
APA StyleFeng, Y., & Liu, Y. (2023). Industry Life Cycle, CEO Functional Background and Corporate Sustainable Development: Evidence from Listed Companies in China. Sustainability, 15(3), 2071. https://doi.org/10.3390/su15032071

