Value-Added Fertilizers Enhanced Growth, Yield and Nutrient Use Efficiency through Reduced Ammonia Volatilization Losses under Maize–Rice Cropping Cultivation
Abstract
1. Introduction
2. Materials and Methods
2.1. Experimental Site and Layout
2.2. Ammonia Measurement
2.3. Chemical and Agronomic Analyses of Rice and Maize
2.4. Statistical Analysis
3. Results
3.1. Ammonia Volatilization from Value-Added and Conventional Fertilizers nder Maize and Rice
3.2. Morphological Traits of Maize and Rice
3.3. Yield Attributes of Maize and Rice
3.4. Physiological Traits of Maize and Rice
3.5. N, P and K Concentrations in the Grains of Maize and Rice
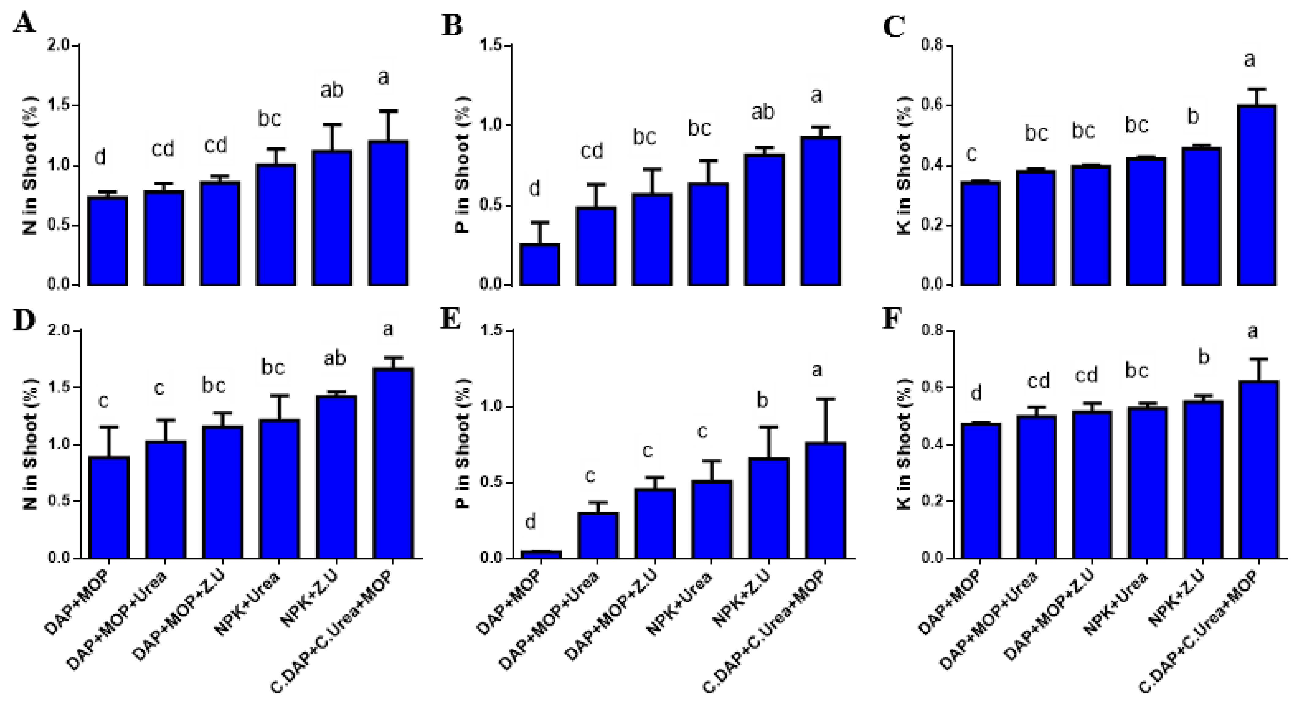
3.6. N, P and K Concentrations in the Shoot Part of Maize and Rice
3.7. N, P and K Concentrations in the Root of Maize and Rice
3.8. Agronomic Recovery and Nitrogen use Efficiency in Maize and Rice
3.9. Results from Pearson Correlation and Principal Component Analysis
4. Discussion
5. Conclusions
Author Contributions
Funding
Informed Consent Statement
Data Availability Statement
Acknowledgments
Conflicts of Interest
References
- Manisalidis, I.; Stavropoulou, E.; Stavropoulos, A.; Bezirtzoglou, E. Environmental and health impacts of air pollution: A review. Front. Public Health 2020, 14. [Google Scholar] [CrossRef] [PubMed]
- Shakoor, A.; Ashraf, F.; Shakoor, S.; Mustafa, A.; Rehman, A.; Altaf, M.M. Biogeochemical transformation of greenhouse gas emissions from terrestrial to atmospheric environment and potential feedback to climate forcing. Environ. Sci. Pollut. Res. 2020, 27, 38513–38536. [Google Scholar] [CrossRef]
- FAO, F. The future of food and agriculture–Trends and challenges. Annu. Rep. 2017, 296, 1–180. [Google Scholar]
- Cameira, M.D.R.; Mota, M. Nitrogen related diffuse pollution from horticulture production—Mitigation practices and assessment strategies. Horticulturae 2017, 3, 25. [Google Scholar] [CrossRef]
- Mustafa, A.; Hu, X.; Abrar, M.M.; Shah, S.A.A.; Nan, S.; Saeed, Q.; Kamran, M.; Naveed, M.; Conde-Cid, M.; Hongjun, G.; et al. Long-term fertilization enhanced carbon mineralization and maize biomass through physical protection of organic carbon in fractions under continuous maize cropping. Appl. Soil Ecol. 2021, 165, 103971. [Google Scholar] [CrossRef]
- Trenkel, M.E. Slow-and Controlled-Release and Stabilized Fertilizers: An Option for Enhancing Nutrient Use Effiiency in Agriculture; International Fertilizer Industry Association (IFA): Paris, France, 2021. [Google Scholar]
- Stocker, T.F.; Qin, D.; Plattner, G.K.; Alexander, L.V.; Allen, S.K.; Bindoff, N.L.; Bréon, F.M.; Church, J.A.; Cubasch, U.; Emori, S.; et al. Technical summary. In Climate Change: The Physical Science Basis. Contribution of Working Group I to the Fifth Assessment Report of the Intergovernmental Panel on Climate Change; Cambridge University Press: Cambridge, UK, 2013; pp. 33–115. [Google Scholar]
- Nascimento, C.A.C.D.; Vitti, G.C.; Faria, L.D.A.; Luz, P.H.C.; Mendes, F.L. Ammonia volatilization from coated urea forms. Rev. Bras. Ciênc. Solo 2013, 37, 1057–1063. [Google Scholar] [CrossRef]
- Umar, W.; Ayub, M.A.; Ahmad, H.R.; Farooqi, Z.U.R.; Shahzad, A.; Rehman, U.; Mustafa, A.; Nadeem, M. Nitrogen and phosphorus use efficiency in agroecosystems. In Resources Use Efficiency in Agriculture; Springer: Singapore, 2020; pp. 213–257. [Google Scholar]
- Yaseen, M.; Ahmad, A.; Younas, N.; Ali, M.A.; Shah, S.S.H.; Hasnain, M. Impact of Value-Added Fertilizers on Crop Yield and Ammonia Volatilization Losses under Changing Climate. In Proceedings of the 19th International Congress of Soil Science Soil Health and Sustainable Development Goals, Islamabad, Pakistan, 9–11 March 2022. [Google Scholar]
- Ashraf, M.N.; Aziz, T.; Maqsood, M.A.; Bilal, H.M.; Raza, S.; Zia, M.; Mustafa, A.; Xu, M.; Wang, Y.; Ashraf, M.N. Evaluating organic materials coating on urea as potential nitrification inhibitors for enhanced nitrogen recovery and growth of maize (Zea mays). Int. J. Agric. Biol. 2019, 22, 1102–1108. [Google Scholar]
- des Académies Canadiennes, C. L’eau et l’Agriculture au Canada: Vers une Gestion Durable des Ressources en eau; Le Comité d’Experts sur la Gestion Durable de l’eau des Terres Agricoles du Canada: Ottawa, ON, Canada; Conseil des Académies Canadiennes: Ottawa, ON, Canada, 2013; pp. 11–82. [Google Scholar]
- Huang, J.; Xu, C.C.; Ridoutt, B.G.; Wang, X.C.; Ren, P.A. Nitrogen and phosphorus losses and eutrophication potential associated with fertilizer application to cropland in China. J. Clean. Prod. 2017, 159, 171–179. [Google Scholar] [CrossRef]
- Carson, L.C.; Ozores-Hampton, M. Factors affecting nutrient availability, placement, rate, and application timing of controlled-release fertilizers for Florida vegetable production using seepage irrigation. HortTechnology 2013, 23, 553–562. [Google Scholar] [CrossRef]
- Bley, H.; Gianello, C.; Santos, L.D.S.; Selau, L.P.R. Nutrient release, plant nutrition, and potassium leaching from polymer-coated fertilizer. Rev. Bras. Ciênc. Solo 2017, 41. [Google Scholar] [CrossRef]
- Van Eerd, L.L.; Turnbull, J.J.D.; Bakker, C.J.; Vyn, R.J.; McKeown, A.W.; Westerveld, S.M. Comparing soluble to controlled-release nitrogen fertilizers: Storage cabbage yield, profit margins, and N use efficiency. Can. J. Plant Sci. 2017, 98, 815–829. [Google Scholar] [CrossRef]
- Azeem, B.; KuShaari, K.; Man, Z.B.; Basit, A.; Thanh, T.H. Review on materials & methods to produce controlled release coated urea fertilizer. J. Control. Release 2014, 181, 11–21. [Google Scholar] [PubMed]
- Yaseen, M.; Ahmad, A.; Naveed, M.; Ali, M.A.; Shah, S.S.H.; Hasnain, M.; Ali, H.M.; Siddiqui, M.H.; Salem, M.Z.; Mustafa, A. Subsurface-applied coated nitrogen fertilizer enhanced wheat production by improving nutrient-use efficiency with less ammonia volatilization. Agronomy 2021, 11, 2396. [Google Scholar] [CrossRef]
- Naz, M.Y.; Sulaiman, S.A. Slow release coating remedy for N loss from conventional urea: A review. J. Control. Release 2016, 225, 109–120. [Google Scholar] [CrossRef] [PubMed]
- Ahmad, A.; Yaseen, M.; Asghar, H.N.; Basra, S.M.A. Comparative effect of various organic extracts coated urea fertilizer on the release pattern of Ammonium and Nitrate in the soil at different time intervals. J. Soil Sci. Plant Nutr. 2022, 22, 2603–2611. [Google Scholar] [CrossRef]
- Ribeiro, R.H.; Besen, M.R.; Simon, P.L.; Bayer, C.; Piva, J.T. Enhanced-efficiency N fertilizers reduce winter losses of nitrous oxide, but not of ammonia, from no-till soil in a subtropical agroecosystem. Soil Use Manag. 2020, 36, 420–428. [Google Scholar] [CrossRef]
- Elbasiouny, H.; El-Ramady, H.; Elbehiry, F.; Rajput, V.D.; Minkina, T.; Mandzhieva, S. Plant nutrition under climate change and soil carbon sequestration. Sustainability 2022, 14, 914. [Google Scholar] [CrossRef]
- Wolf, B. A comprehensive system of leaf analyses and its use for diagnosing crop nutrient status. Commun. Soil Sci. Plant Anal. 1982, 13, 1035–1059. [Google Scholar] [CrossRef]
- Jones, J.B., Jr. Kjeldahl Method for Nitrogen Determination; Micro-Macro Publishing Inc.: Athens, GA, USA, 1991. [Google Scholar]
- Olsen, S.R. Estimation of Available Phosphorus in Soils by Extraction with Sodium Bicarbonate (No. 939); US Department of Agriculture: Washington, DC, USA, 1954. [Google Scholar]
- Chapman, D.H.; Parker, E.R. Determination of NPK Methods of Analysis for Soil, Plant and Waters; University of California Division of Agriculture and Natural Resources: Oakland, CA, USA, 1961; pp. 150–179. [Google Scholar]
- Steel, R.G.D.; Torri, J.H.; Dicky, D.A. Principles and Proceedures of Statistics, 3rd ed.; McGraw Hill. Inc. Book Co.: New York, NY, USA, 1997; pp. 352–358. [Google Scholar]
- Cowan, N.; Levy, P.; Moring, A.; Simmons, I.; Bache, C.; Stephens, A.; Marinheiro, J.; Brichet, J.; Song, L.; Pickard, A.; et al. Nitrogen use efficiency and N2O and NH3 losses attributed to three fertiliser types applied to an intensively managed silage crop. Biogeosciences 2019, 16, 4731–4745. [Google Scholar] [CrossRef]
- Gagnon, B.; Ziadi, N. Grain corn and soil nitrogen responses to sidedress nitrogen sources and applications. Agron. J. 2010, 102, 1014–1022. [Google Scholar] [CrossRef]
- Chen, J.; Lü, S.; Zhang, Z.; Zhao, X.; Li, X.; Ning, P.; Liu, M. Environmentally friendly fertilizers: A review of materials used and their effects on the environment. Sci. Total Environ. 2018, 613, 829–839. [Google Scholar] [CrossRef] [PubMed]
- Benlamlih, F.Z.; Lamhamedi, M.S.; Pepin, S.; Benomar, L.; Messaddeq, Y. Evaluation of a New Generation of Coated Fertilizers to Reduce the Leaching of Mineral Nutrients and Greenhouse Gas (N2O) Emissions. Agronomy 2021, 11, 1129. [Google Scholar] [CrossRef]
- Barker, A.V.; Bryson, G.M. Nitrogen. In Handbook of Plant Nutrition; CRC Press: Boca Raton, FL, USA, 2016; pp. 37–66. [Google Scholar]
- Follet, R.F. Fate and Transport of Nutrients: Nitrogen; USDA Working Paper; Agricultural Research Service, Soil-Plant-Nutrient Research Unit: Fort Collins, CO, USA, 1995; p. 7. [Google Scholar]
- Junejo, N.; Khanif, M.Y.; Hanfi, M.M.; Dharejo, K.A.; Wan, Z.W.Y. Reduced loss of NH3 by coating urea with biodegradable polymers, palm stearin and selected micronutrients. Afr. J. Biotechnol. 2011, 10, 10618–10625. [Google Scholar] [CrossRef]
- Bryant-Schlobohm, R.; Dhillon, J.; Wehmeyer, G.B.; Raun, W.R. Wheat grain yield and nitrogen uptake as influenced by fertilizer placement depth. Agrosyst. Geosci. Environ. 2020, 3, e20025. [Google Scholar] [CrossRef]
- Ghafoor, I.; Habib-ur-Rahman, M.; Ali, M.; Afzal, M.; Ahmed, W.; Gaiser, T.; Ghaffar, A. Slow-release nitrogen fertilizers enhance growth, yield, NUE in wheat crop and reduce nitrogen losses under an arid environment. Environ. Sci. Pollut. Res. 2021, 28, 43528–43543. [Google Scholar] [CrossRef]
- Wu, M.; Li, G.; Li, W.; Liu, J.; Liu, M.; Jiang, C.; Li, Z. Nitrogen fertilizer deep placement for increased grain yield and nitrogen recovery efficiency in rice grown in subtropical China. Front. Plant Sci. 2017, 8, 1227. [Google Scholar] [CrossRef]
- Rychel, K.; Meurer, K.H.; Börjesson, G.; Strömgren, M.; Getahun, G.T.; Kirchmann, H.; Kätterer, T. Deep N fertilizer placement mitigated N2O emissions in a Swedish field trial with cereals. Nutr. Cycl. Agroecosyst. 2020, 118, 133–148. [Google Scholar] [CrossRef]
- Zhang, L.; He, X.; Liang, Z.; Zhang, W.; Zou, C.; Chen, X. Tiller development affected by nitrogen fertilization in a high-yielding wheat production system. Crop Sci. 2020, 60, 1034–1047. [Google Scholar] [CrossRef]
- Oad, F.C.; Buriro, U.A.; Agha, S.K. Effect of organic and inorganic fertilizer application on maize fodder production. Asian J. Plant Sci. 2004, 3, 375–377. [Google Scholar] [CrossRef]
- Khalofah, A.; Khan, M.I.; Arif, M.; Hussain, A.; Ullah, R.; Irfan, M.; Mahpara, S.; Shah, R.U.; Ansari, M.J.; Kintl, A.; et al. Deep placement of nitrogen fertilizer improves yield, nitrogen use efficiency and economic returns of transplanted fine rice. PLoS ONE 2021, 16, e0247529. [Google Scholar] [CrossRef]
- Li, L.; Tian, H.; Zhang, M.; Fan, P.; Ashraf, U.; Liu, H.; Chen, X.; Duan, M.; Tang, X.; Wang, Z.; et al. Deep placement of nitrogen fertilizer increases rice yield and nitrogen use efficiency with fewer greenhouse gas emissions in a mechanical direct-seeded cropping system. Crop J. 2021, 9, 1386–1396. [Google Scholar] [CrossRef]
- Dong, Y.J.; He, M.R.; Wang, Z.L.; Chen, W.F.; Hou, J.; Qiu, X.K.; Zhang, J.W. Effects of new coated release fertilizer on the growth of maize. J. Soil Sci. Plant Nutr. 2016, 16, 637–649. [Google Scholar] [CrossRef]
- Folina, A.; Tataridas, A.; Mavroeidis, A.; Kousta, A.; Katsenios, N.; Efthimiadou, A.; Travlos, I.S.; Roussis, I.; Darawsheh, M.K.; Papastylianou, P.; et al. Evaluation of various nitrogen indices in N-Fertilizers with inhibitors in field crops: A review. Agronomy 2021, 11, 418. [Google Scholar] [CrossRef]
- Rea, R.S.; Islam, M.R.; Rahman, M.M.; Mix, K. Study of nitrogen use efficiency and yield of rice influenced by deep placement of nitrogen fertilizers. SAARC J. Agric. 2019, 17, 93–103. [Google Scholar] [CrossRef]
- Hachiya, T.; Sakakibara, H. Interactions between nitrate and ammonium in their uptake, allocation, assimilation, and signaling in plants. J. Exp. Bot. 2017, 68, 2501–2512. [Google Scholar] [CrossRef]
- Burton, S.A.; Prosser, J.I. Autotrophic ammonia oxidation at low pH through urea hydrolysis. Appl. Environ. Microbiol. 2001, 67, 2952–2957. [Google Scholar] [CrossRef]
- Tian, D.; Niu, S. A global analysis of soil acidification caused by nitrogen addition. Environ. Res. Lett. 2015, 10, 024019. [Google Scholar] [CrossRef]
- Neina, D. The role of soil pH in plant nutrition and soil remediation. Appl. Environ. Soil Sci. 2019, 2019, 5794869. [Google Scholar] [CrossRef]
- Fageria, N.K.; Oliveira, J.P. Nitrogen, phosphorus and potassium interactions in upland rice. J. Plant Nutr. 2014, 37, 1586–1600. [Google Scholar] [CrossRef]
- Milford, G.F.J.; Johnston, A.E. Potassium and nitrogen interactions in crop production. Nawozy Nawożenie 2009, 34, 143–162. [Google Scholar]
- Perveen, S.; Ahmad, S.; Skalicky, M.; Hussain, I.; Habibur-Rahman, M.; Ghaffar, A.; Shafqat Bashir, M.; Batool, M.; Hassan, M.M.; Brestic, M.; et al. Assessing the potential of polymer coated urea and sulphur fertilization on growth, physiology, yield, oil contents and nitrogen use efficiency of sunflower crop under arid environment. Agronomy 2021, 11, 269. [Google Scholar] [CrossRef]
- Imran, M.; Irfan, M.; Yaseen, M.; Rasheed, N. Application of glycerin and polymer coated diammonium phosphate in alkaline calcareous soil for improving wheat growth, grain yield and phosphorus use efficiency. J. Crop Sci. Biotechnol. 2018, 21, 425–434. [Google Scholar] [CrossRef]
- Hegab, R.H. Evaluation of nitrogen sources and polymer coated fertilizers on wheat yield in sandy soil. Asian J. Soil Sci. Plant Nutr. 2018, 3, 1–12. [Google Scholar] [CrossRef]
- Adjetey, J.A.; Campbell, L.C.; Searle, P.G.E.; SafFigna, P. Studies on depth of placement of urea on nitrogen recovery in wheat grown on a red-brown earth in Australia. Nutr. Cycl. Agroecosyst. 1999, 54, 227–232. [Google Scholar] [CrossRef]
- Chen, S.; Svane, S.F.; Thorup-Kristensen, K. Testing deep placement of an 15N tracer as a method for in situ deep root phenotyping of wheat, barley and ryegrass. Plant Methods 2019, 15, 148. [Google Scholar] [CrossRef] [PubMed]
- Can, Z.; Huang, H.; Qian, Z.H.; Jiang, H.X.; Liu, G.M.; Ke, X.U.; Hu, Y.J.; Dai, Q.G.; Huo, Z.Y. Effect of side deep placement of nitrogen on yield and nitrogen use efficiency of single season late japonica rice. J. Integr. Agric. 2021, 20, 1487–1502. [Google Scholar]











| Treatment Code | Description | NPK Input |
|---|---|---|
| T1 | Control (only DAP + MOP) | 48 kg N ha−1, 125 kg P2O5 ha−1, 125 kg K2O ha−1 |
| T2 | DAP + MOP + Urea | 175 kg N ha−1, 125 kg P2O5 ha−1, 125 kg K2O ha−1 |
| T3 | DAP + MOP + Zabardast urea | 175 kg N ha−1, 125 kg P2O5 ha−1, 125 kg K2O ha−1 |
| T4 | Zarkhez plus NPK + Urea | 175 kg N ha−1, 125 kg P2O5 ha−1, 125 kg K2O ha−1 |
| T5 | Zarkhez plus NPK + Zabardast urea | 175 kg N ha−1, 125 kg P2O5 ha−1, 125 kg K2O ha−1 |
| * T6 | Polymer coated DAP + Polymer-coated urea+ MOP | 175 kg N ha−1, 125 kg P2O5 ha−1, 125 kg K2O ha−1 |
| Treatment | Maize | Rice | ||||||||||
|---|---|---|---|---|---|---|---|---|---|---|---|---|
| Plant Height (cm) | Cob Length (cm) | Cob Diameter (cm) | Number of Grains per Cob | Root Weight (g) | Root Length (cm) | Plant Height (cm) | Panicle Length (cm) | Number of Panicles per Plant | Number of Grains per Panicle | Root Weight (g) | Root Length (cm) | |
| DAP + MOP | 148.7 c * | 9.3 b | 11.0 c | 135 c | 48.0 c | 13.9 c | 111.3 c | 26.3 d | 6.3 d | 135.7 c | 12.3 e | 12.0 c |
| DAP + MOP + Urea | 225.3 b | 18.8 a | 14.4 b | 428 b | 63.3 bc | 24.2 b | 124.3 b | 28.0 c | 10.7 c | 156.0 bc | 28.3 d | 13.2 bc |
| DAP + MOP + Zabardast Urea | 250.1 a | 19.7 a | 15.5 a | 479 ab | 63.3 bc | 24.4 b | 128.0 ab | 28.7 bc | 11.7 c | x156.3 bc | 32.1 cd | 13.7 bc |
| Zarkhez plus NPK + Urea | 252.1 a | 19.8 a | 15.5 a | 499 ab | 110.0 ab | 27.5 ab | 133.7 a | 29.3 b | 12.7 bc | 168.0 ab | 37.0 bc | 14.2 abc |
| Zarkhez plus NPK + Zabardast Urea | 259.0 a | 19.9 a | 15.7 a | 507 ab | 126.7 a | 27.5 ab | 134.0 a | 30.3 a | 14.3 ab | 179.7 ab | 42.6 ab | 15.0 ab |
| Coated DAP + Coated Urea + MOP | 259.3 a | 20.3 a | 15.9 a | 524 a | 133.3 a | 28.0 a | 135.3 a | 30.6 a | 16.0 a | 193.7 a | 46.2 a | 16.7 a |
| Treatment | Maize | Rice | ||||||
|---|---|---|---|---|---|---|---|---|
| Biological Yield (kg ha−1) | Straw Yield (kg ha−1) | Grain Yield (kg ha−1) | 1000-Grain Weight (g) | Biological Yield (kg ha−1) | Straw Yield(kg ha−1) | Grain Yield (kg ha−1) | 1000-Grain Weight (g) | |
| DAP + MOP | 8006.2 d * | 3657.2 d | 3987.5 c | 161.9 c | 19,400.0 c | 11,886.7 d | 2696.4 d | 12.6 c |
| DAP + MOP + Urea | 14,936.1 c | 7396.7 c | 7431.7 b | 232.7 b | 24,833.3 bc | 14,800.0 cd | 3541.7 c | 16.5 c |
| DAP + MOP + Zabardast Urea | 19,702.5 b | 9620.6 bc | 8991.1 ab | 233.3 b | 25,900.0 abc | 16,000.0 bcd | 3720.2 bc | 22.5 b |
| Zarkhez plus NPK + Urea | 21,909.9 ab | 11,712.8 ab | 9032.4 ab | 248.6 ab | 27,580.0 ab | 19,633.3 abc | 4154.8 ab | 24.1 ab |
| Zarkhez plus NPK + Zabardast Urea | 22,404.2 ab | 11,795.2 ab | 9380.5 ab | 253.2 ab | 30,446.7 ab | 21,300.0 ab | 4297.6 a | 25.8 ab |
| Coated DAP + Coated Urea + MOP | 23,465.1 a | 12,207.0 a | 10,306.1 a | 276.7 a | 32,166.7 a | 25,433.3 a | 4452.4 a | 26.5 a |
Disclaimer/Publisher’s Note: The statements, opinions and data contained in all publications are solely those of the individual author(s) and contributor(s) and not of MDPI and/or the editor(s). MDPI and/or the editor(s) disclaim responsibility for any injury to people or property resulting from any ideas, methods, instructions or products referred to in the content. |
© 2023 by the authors. Licensee MDPI, Basel, Switzerland. This article is an open access article distributed under the terms and conditions of the Creative Commons Attribution (CC BY) license (https://creativecommons.org/licenses/by/4.0/).
Share and Cite
Yaseen, M.; Ahmad, A.; Younas, N.; Naveed, M.; Ali, M.A.; Shah, S.S.H.; Hasnain, M.; Mustafa, A. Value-Added Fertilizers Enhanced Growth, Yield and Nutrient Use Efficiency through Reduced Ammonia Volatilization Losses under Maize–Rice Cropping Cultivation. Sustainability 2023, 15, 2021. https://doi.org/10.3390/su15032021
Yaseen M, Ahmad A, Younas N, Naveed M, Ali MA, Shah SSH, Hasnain M, Mustafa A. Value-Added Fertilizers Enhanced Growth, Yield and Nutrient Use Efficiency through Reduced Ammonia Volatilization Losses under Maize–Rice Cropping Cultivation. Sustainability. 2023; 15(3):2021. https://doi.org/10.3390/su15032021
Chicago/Turabian StyleYaseen, Muhammad, Adeel Ahmad, Noman Younas, Muhammad Naveed, Muhammad Asif Ali, Syed Shahid Hussain Shah, Muhammad Hasnain, and Adnan Mustafa. 2023. "Value-Added Fertilizers Enhanced Growth, Yield and Nutrient Use Efficiency through Reduced Ammonia Volatilization Losses under Maize–Rice Cropping Cultivation" Sustainability 15, no. 3: 2021. https://doi.org/10.3390/su15032021
APA StyleYaseen, M., Ahmad, A., Younas, N., Naveed, M., Ali, M. A., Shah, S. S. H., Hasnain, M., & Mustafa, A. (2023). Value-Added Fertilizers Enhanced Growth, Yield and Nutrient Use Efficiency through Reduced Ammonia Volatilization Losses under Maize–Rice Cropping Cultivation. Sustainability, 15(3), 2021. https://doi.org/10.3390/su15032021

