Next Article in Journal
An Intelligent Health Care System in Fog Platform with Optimized Performance
Previous Article in Journal
Socio-Ecological Controversies from Chilean and Brazilian Sustainable Energy Transitions
Previous Article in Special Issue
FVM-RANS Modeling of Air Pollutants Dispersion and Traffic Emission in Dhaka City on a Suburb Scale
 
 
Font Type:
Arial Georgia Verdana
Font Size:
Aa Aa Aa
Line Spacing:
Column Width:
Background:
Article

Investigation of Vehicular Pollutant Emissions at 4-Arm Intersections for the Improvement of Integrated Actions in the Sustainable Urban Mobility Plans (SUMPs)

by
Maksymilian Mądziel
1,* and
Tiziana Campisi
2,*
1
Faculty of Mechanical Engineering and Aeronautics, Rzeszow University of Technology, 35-959 Rzeszow, Poland
2
Faculty of Engineering and Architecture, Kore University of Enna, Cittadella Universitaria, 94100 Enna, Italy
*
Authors to whom correspondence should be addressed.
Sustainability 2023, 15(3), 1860; https://doi.org/10.3390/su15031860
Submission received: 2 November 2022 / Revised: 12 January 2023 / Accepted: 17 January 2023 / Published: 18 January 2023

Abstract

Sustainable urban mobility planning is a strategic and integrated approach that aims to effectively address the complexities of urban transportation. Additionally, vehicle emissions are still a significant problem found in cities. Its greatest concentration involves intersections, as they have the highest number of stop-and-go operations, resulting in the highest engine load. Although electrification of vehicles is underway, the coming years and the energy crisis may cause the full transformation and fulfillment of the European Green Deal to be postponed. This state of affairs means that much effort should still go into possibly modifying the current infrastructure to make it more environmentally friendly. The article addresses the use of vertical road markings such as “stop”, “give way”, and also signal controllers signs, at four-arm X intersections. The modeling of intersection variants was carried out in the traffic microsimulation software VISSIM. The created model was calibrated according to real world data. The actual part of the work concerns the assumption of specific traffic flow scenarios, for which measurements of delay and emissions of harmful exhaust components such as NOx and PM10 were made. The results obtained can have practical application in proposals for creating unequal intersections. Based on the results, it can be concluded that below the traffic volume value of 1200 vehicles/h, an intersection can be considered with a yield sign and stop sign for two directions of traffic. However, for traffic volumes from 1200 vehicles/h to 2000 vehicles/h, an intersection with stop signs can be used for all traffic directions. The results may also provide some information on the location of the crosswalks and the improvement of strategies to be introduced into the SUMPs.

1. Introduction

The ever increasing number of motor vehicles on European and non-European roads has resulted in higher environmental emissions, especially during post-pandemic phases of restriction. Several articles in the literature state that, in many European countries, there has been an increase in private vehicle travel at the expense of public or shared transport [1,2,3].
This has led to a reduction in the effects of the strategies that have been implemented to make mobility more sustainable and thus have resulted in a progressive deterioration of air quality and human health. Road transport exhaust emissions depend on a number of factors, including traffic volume, traffic composition, and weather conditions, as well as driver behavior. The pandemic has, in several contexts, accentuated the use of the private vehicle at the expense of the public and shared vehicle due to the fear of contagion [4,5]. In the last months of 2022, strategies are being pursued to restore the vehicular flows present on the roads, and at the same time for several years, some useful technologies and sensors are being deployed to reduce this phenomenon. One among them is, for example, the start and stop system which is a system of automatically turning off the car engine [6]. The purpose and reason for which the start and stop system was designed and conceived are to limit fuel consumption and polluting emissions [7]. This technology is being developed along with others, such as parking sensors that reduce the time spent searching for a parking space by about 35 percent while also drastically reducing emissions from vehicles on the road [8].
Along with sensors, the increased diffusion of vehicles without combustion engines is also slowly spreading in several countries. Therefore, all of these technologies attempt to limit the exploitation of resources used as fuels and reduce air pollution generated by the millions of vehicles on the road. The evolution of autonomous vehicles (AVs) may also have significant environmental impacts, although there are still few studies that focus exclusively on these effects [9].
Therefore, considering the context of urban traffic, all cars stuck in traffic jams, or all the stops that can be made at traffic lights during a normal daily commute, must be examined. However, it is not just a matter of urban necessities: even in suburban stops, such as those at toll booths for example, where the stops often, unfortunately, feature long queues, with hiccup movements protracted for a long time, start-and-stop has a way of “working.” These are all occasions when fuel consumption makes no sense, due to being mostly stationary, just as it makes even less sense to put exhaust gases into the air when the car is not doing its precise job, which is to travel. Although technological development and evolving mobility patterns are geared toward the spread of smart cities, it is necessary to conduct a careful analysis of the dynamics of vehicular flow along infrastructures, starting with the simplest ones characterized by intersections without traffic lights [10,11].
The development and implementation of SUMPs (sustainable urban mobility plans) assumes road infrastructure planning as an integrated project that improves all mobility components, including the reduction of accidents and traffic-generated emissions, and the identification of appropriate safe bicycle routes, with the strategic direction of encouraging seat widening. Several studies have highlighted proposals for improved actions to be incorporated into SUMP, considering geometric-functional comparisons of road infrastructure and a different vehicular and bicycle-pedestrian composition present and growing in the urban areas of many world cities. Projects for new roads and redevelopments or in-place extensions of existing roads must address, in a unified manner, all the different mobility components affecting the infrastructure from an integrated planning perspective: roadway space designated for passenger car and public transport circulation, spaces designated for pedestrian and bicycle circulation, and setting/landscape strips. Therefore, traffic moderation measures should also be planned to promote the mitigation of environmental impact in urban centers and residential agglomerations affected by the intervention.
The SUMP must identify priority criteria for the motorized network based on three basic principles, consistent with the overall objectives of the SUMP: increasing road safety, reducing emissions within built-up areas, and limiting competition with the public transport network. Such planning tools must also consider emergency scenarios, the presence of motorized and nonmotorized forms of shared mobility, and the presence of self-driving vehicles [12,13,14].
In fact, one determining factor is the geometric characteristics of the roads, especially at intersections where vehicles usually slow down or stop, causing disruption in traffic flow [15,16]. Most urban X-type intersections are controlled by traffic lights, but their use is not always justified by traffic volume [17]. In these cases, traffic control through this type of signal certainly contributes to traffic safety, but it also causes a decrease in the efficiency of vehicle flow. However, there is a certain group of intersections that do not have imposed priority control. The issue of capacity, as well as that of safety, is left to the drivers themselves. Therefore, to reduce travel delays and improve traffic safety, it is important to apply control to these intersections, such as by using traffic signals. The ”give way” and “stop” signs are the most common for intersections without traffic signals [18]. Research assumes that the variation of traffic volume values is not analyzed as a useful parameter variation for the definition of specific criteria for the installation of “stop” and “give way” signals, so this study is a preliminary stage of reflection in this area.
The novelty of the present research is related to the analysis of the correlation between the aforementioned parameters using a simulation and comparative approach. The comparison of scenarios allows one to lay the foundation for improved strategies that can be included within SUMPs (sustainable urban mobility plans), and allows one to correlate geometric–functional parameters of the infrastructure with traffic volumes, making it possible to also revise the current infrastructure Level of Service (LOS) values by introducing not only comfort and safety parameters, but also environmental impact parameters. The simulation’s vehicle movement parameters are based on real-world data obtained from the city of Rzeszow. Rzeszow is the capital of the subcarpathian area in Poland and, due to its growing boundaries, much congestion occurs, so the VISSIM models were calibrated based on GPS data. The results can also be helpful for the city government to make the decisions regarding the design of intersections.
The purpose of the study was to compare traffic control solutions at intersection type X with the parameters assumed in traffic scenarios. The intersections for which the priority of driving is defined by the use of vertical road markings, such as “stop,” “give way,” and also signal controllers, were adopted for the analysis. Simulations of the assumed scenarios were performed in VISSIM software. For the parameters of different vehicle volumes for the intersection inlets, the effects of the applied priority rules on traffic delay and NOX and PM10 emissions were examined. The first part of the article includes a review of vehicle emissions at intersections. The following parts of the paper present the methodology, results, and discussion related to the results obtained. The results obtained can provide information on, for example, better placement of pedestrian crossings, in order to improve strategies to be introduced in SUMPs.

2. Literature Review

The SUMPs concept proposed by the European Commission implies a new design pattern that focuses on the human factor and its needs. Until now, planning for road infrastructure, for example, has been conducted in the traditional way, which was based on putting only motor vehicles in the center [19,20]. SUMP solutions take a long-term and sustainable approach to develop sustainable transportation [21]. Urban areas and the congestion that occurs in their centers, mainly near intersections, account for 23–25% of total anthropogenic CO2 emissions from transportation [22]. The CO2 emissions of vehicles correlate with the emissions of the rest of the exhaust components, including NOx and PM10 [23]. Therefore, SUMPS solutions should, to a long-term degree, influence the formation of environmental policy and its goals. In the context of the described work, the most important goals of SUMPs are to reduce emissions of exhaust gases and energy consumption from motor vehicles, improve the efficiency of car freight, and influence the improvement of environmental quality in urban areas, which will benefit the health of residents of agglomeration areas. In the available literature, there are many examples of the application of SUMP practices in European cities. An example is the work [24], in which the authors describe the impact of introducing low-emission zones on improving air quality. This work analyzed five European countries: Germany, the Netherlands, Denmark, Italy, and the UK. For the traffic management strategy, the authors of the article [25] described its impact on air quality. The work involved a literature review, so the authors identified that only 7 of the 22 strategies studied had an impact on the reduction of emissions. The main conclusion of the work was that only the introduction of radical solutions could affect the reduction of vehicle emissions. This state of affairs resulted in reduced emissions in low-emission zones, for example, while increasing emissions in neighboring areas. Summarizing the above examples in terms of urban congestion that occurs at and around intersections, the question to ask in the context of SUMPs solutions is: How do you create a city with reduced vehicle emissions that is accessible to the largest number of vehicles? In the context of this work, one tool that can aid design that influences decision-making, for example, by city authorities, is the use of microscopic models, which can yield valuable results in the context of estimating vehicle emissions. SUMP solutions also touch on the field of public transportation, where the goal should be to increase the share of urban mobility from individual vehicles to public transportation, which in its modern form is low carbon [26].
The ever increasing number of vehicles, especially on urban arteries, leads to the increase in filling and blocking of major intersections in cities [27]. This state of affairs mainly affects peak traffic hours, during which a large number of residents return home from various destinations in the city [28]. Since the largest traffic generators (schools, workplaces, universities, and large stores) are scattered throughout the city, the mobility demand for most streets in the city is very high. The problem of emissions arises when many start–stop operations are repeated, most often occurring near intersections [29]. These intersections are controlled by a number of prioritization methods. The most common methods include traffic lights, give way signs, and stop signs [30].
Due to the increasing queues of vehicles at intersections, especially those of type X, the deceleration of vehicle traffic increases, which further has the consequence of increasing engine idling time. Under such conditions, vehicles operate in a range of specific accelerations and decelerations, the high frequency of which results in increased emissions of harmful exhaust components, particularly NOx and PM10 [31,32]. This state of affairs is particularly dangerous because NOx, especially nitrogen dioxide NO2, irritates the respiratory system, which poses an additional threat, especially to people suffering from asthma and chronic obstructive pulmonary disease [33]. The permissible average annual level of NO2 concentration in the atmosphere is 40 µg/m3, but, unfortunately, especially in the largest Polish cities, it is repeatedly exceeded. This situation occurs, among others, in Rzeszów, as well as in Krakow, Warsaw, and Wroclaw, where car traffic is the most intense [34,35,36]. PM10 emissions are equally dangerous to the health of pedestrians near intersections. PM10 is absorbed into the upper respiratory tract and bronchi [37]. PM10 inhaled by passersby can cause coughing and difficulty breathing, and also contribute to the risk of respiratory infections and exacerbate symptoms of allergic diseases, including asthma [38].
Emission rates at intersections depend on traffic characteristics, that is, the type of vehicle, its age, and the total number of passing vehicles [39]. For example, for the type of vehicle, we can specify its size, type, age, vehicle condition, and engine size. In this context, the use of a particular type of intersection for a given volume of vehicle traffic is also relevant. The use of intersection type X is the most popular and common of the options available [40]. However, for this type of intersection, there are a number of options to assign prioritization methods to vehicles. The most popular methods in this regard involve placing stop signs, give way signs, and traffic lights. However, all of these methods are considered to create places of increased vehicle emissions. In particular, intersections with traffic lights have high vehicle emissions [41].
The literature review conducted shows that many solutions for sustainable mobility SUMPs practices have been analyzed and identified so far. Some characterization of vehicle emissions that form within intersections has also been analyzed. However, to date, there have been few studies that focus on simulation models for different vehicle traffic volumes for X intersection inlets relative to generated emissions and traffic delay. This work addresses this very issue, and indicates some directions for further development and creation of simulation models.

3. Methodology

The work and its main objective are focused on the impact of the application of different types of right-of-entry at intersections on the emissions generated by vehicles as a result of their trips. The general scheme of the work is shown in Figure 1. In addition, the work studied the traffic delay parameter of vehicles waiting to enter the intersection.
In addition to emissions analysis, traffic delays were also analyzed, as conclusions and preliminary recommendations for the applicability of a particular type of intersection are shown in the following section. When using a given intersection, designers should take into account not only emissions issues, but also post-travel comfort issues and, consequently, traffic delay. The study was carried out in VISSIM simulation software after collecting data from actual real-world driving through crossings, which were then used to calibrate the model. VISSIM is a traffic flow microsimulation tool that uses the Wiedemann psychophysiological model of driver behavior (driving behind the leader) to design the road network [42,43,44]. The VISSIM tool is not only characterized by high accuracy in modeling the geometry and parameters of the road network, but also allows for precise representation of vehicle traffic. Within the program, in addition to simulating motor vehicles, it is also possible to simulate single-track vehicles, rail vehicles, and pedestrians, which is not commonly found in tools for traffic flow microsimulation. In addition, it is possible to use dynamic traffic assignment, where the process of “learning” for drivers is carried out in an iterative manner.
With the help of the VISSIM tool, four types of intersections of type X were created: with a stop sign, all-way stop signs, yield signs, and with a simple traffic signal program. Each of the roads at the intersections studied has two carriageways. Furthermore, it was assumed that the road in the east–west direction is the main road (with priority), while the road in the north–south direction is subordinate to it. The width of each lane is 3.5 m. The variants of the intersections studied are shown in Figure 2. The models were created as 100 m long roads, all connected by connectors, the total number of which for one intersection is 8. Signs regulating the priority of crossing were added before the road connector itself. The turns directions of the vehicles were defined as crossing routes according to the scenarios. Vehicles were added using the vehicle input object, and the traffic volumes assumed in the scenarios were set for these objects. For traffic lights, a traffic light controller was developed to regulate the lengths of red and green light cycles. The simulation data was collected using node objects, and was also saved to .fzp format at a frequency of 1 s. The models were appropriately calibrated on the acceleration function and the desired speed characteristic of the study region. The choice of such intersection scenarios is justified since they are one of the most common used for right of way in Europe [45]. In general, the X-shaped intersection is still the most popular, but the roundabout is increasingly being used as an alternative [46,47].
In the work, an important issue was to select a set of parameters that have a significant impact on the simulation results. The aim of the calibration was the previously described parameters that are more responsible for driving characteristics and, consequently, emissions, i.e., speed and acceleration. Traffic simulations obviously have limited validity and reliability. It is not possible to map all of the driving behaviors that affect the calibration process. In addition, the stochasticity of the driving motion process makes it impossible to obtain a complete correspondence between real and simulation observations for all vehicle motion characteristics. Differences in the distribution of speeds and accelerations can already be seen at the level of running the simulation. The goal of calibration should therefore not be to obtain simulation values identical to those observed in reality, but to strive to minimize differences.
The most influential parameters on vehicle emissions are speed and acceleration. These are key parameters that need to be calibrated in VISSIM, so that the results obtained reflect the driving characteristics of the real world.
For the simulation, the desired speed and the desired acceleration and deceleration were calibrated. The goal of this calibration was to achieve the greatest possible convergence of the speed and acceleration distributions with the actual values.
The VISSIM software for the specified travel speeds includes a desired acceleration and deceleration function. The described functions are not fixed values because for each desired acceleration or deceleration in VISSIM, there are minimum, average, and maximum functions. The values of these functions can be defined freely by the operator. Figure 3 shows the desired acceleration function before and after the calibration process. The trips needed for the calibration were made in 2019–2021 and include GPS recording obtained from seven different drivers. Data for the intersection area, to obtain a more detailed model and driver behavior that occurs in this type of facility, were collected. Data were obtained in Rzeszow City (Poland). This city has been particularly selected as an example because, in the city, there is much congestion, especially during rush hour. That state of affairs that causes the concentration of toxic fumes in the air are compounded by vehicles, which influences the health of the pedestrians using nearby roads. The recommendations from the results can help the city road designers to rethink some future solutions in terms of the choice of intersections, especially in terms of environmental issues.
Calibration of the desired acceleration can also be carried out intuitively, just as calibration of the desired speed distribution, by specifying the average value of the acceleration over specified speed intervals. Maximum and minimum acceleration values can be defined as the fifth and 95th percentile. However, drivers are not always able to drive at the desired acceleration. Figure 4 presents cumulative distribution function obtained from real-world journeys, simulation, and calibrated model.
By varying the traffic volume at the intersection, the delay parameter resulting from congestion on the roads was measured. To test different traffic flow conditions, the work includes two simulation scenarios. For the purposes of the study, it was assumed:
average vehicle speed—40 km/h,
simulation duration—3600 s,
the same number of vehicles for the north–south direction and for the east–west direction.
The average speed of the vehicle was determined based on the work [44], which concerned the determination and calibration of the VISSIM model for the city of Rzeszow for vehicles in the vicinity of an intersection. However, it should be borne in mind that the average speed parameter is also a statistical variable, and its achievement also depends on the drawn desired accelerations and traffic conditions in the model. The simulation time for an hourly period was adopted because certain vehicle traffic parameters, such as LOS (Level of Service), but also others, such as vehicle traffic volume, which is measured, for example, on urban roads, are usually recalculated in hourly intervals [48,49]. Before recording the data for 3600 s, a model warm-up time of 600 s was assumed; this value is based on the work of [50,51].
The scenarios include the following input data:
Scenario No. 1; traffic volume for the minor road—25% of the value for the main road (total traffic volume for the intersection: 250 vehicles/h, 500 vehicles/h, 1000 vehicles/h, 1500 vehicles/h, 2000 vehicles/h, and 2500 vehicles/h; individual traffic volume values are shown in Table 1),
Scenario No. 2; traffic volume for the minor road—50% of the value for the main road (sum of traffic volumes for the intersection: 300 vehicles/h, 600 vehicles/h, 1200 vehicles/h, 1800 vehicles/h, 2400 vehicles/h, and 3000 vehicles/h; individual traffic volume values are shown in Table 2).
For each value of traffic volume, two cases will be activated: in one of them, the possibility of turning for vehicles will be disabled, while in the other, the parameter of turning relations is set for the value of 15–70–15% (choice of road at the intersection: left–right–right). These parameters are based on works [52,53].
For values of intensities above 1800 vehicles/h (relative to scenario 2), the delay results will be compared with an example intersection with cyclic fixed-time traffic lights.
The assumed vehicle traffic volume scenarios are designed to reflect the widest possible cross section of different vehicle traffic conditions in the model. These range from free-flow vehicles to congestion for all intersection inlets. The assumed values reflect a large cross-section of different intensity values for all intersection inlets. This state of affairs means that the simulation results obtained can show how traffic conditions and the resulting congestion and vehicle flow at the studied intersections are shaped in the cross section of different traffic volumes. In addition, relative to the intersection variants for Scenario No. 2, with the possibility of turning, the emissivity of toxic exhaust components such as NOx and PM10 will be measured using the Enviver program’s emissions model.
The emissions model, based on the VERSIT+ speed profile, which is used in the Enviver program, is a multivariate regression model in which the variable is the driving cycle of the vehicle. It requires that speed profiles be obtained in advance in VISSIM, from which emission factors (g/km) can be estimated for different classes of vehicles [54,55]. VERSIT+ contains a series of 246 classes of emission models, whose algorithms are appropriately determined for each vehicle category and type of toxic exhaust components.
Unlike the emission factors obtained from the New European Driving Cycle (NEDC), the speed profiles used in this model are representative of actual road conditions [56].
The traffic composition and the share of the EURO standard of vehicles used as input for emission modelling are presented in Figure 5. Since calibration takes place based on data from Rzeszow (Poland) intersection crossing, this parameter was downloaded from the Polish Local Data Bank as a statistical data source [57].
Emission factors (EFj,k,l) are obtained from multiple linear regression to find empirical relationships between emission rates, speed profiles, and dynamic variables [58].
Road transport exhaust emissions [g/km], for a specific exhaust component of one or more sections of road, are calculated from equation [59]:
T E j = k , m E F j , k , l · T V k , m · L m
where:
EFj,k,l—average emission factor (g/km),
j—component of exhaust emissions,
k—vehicle class,
l—speed profile,
TVk,m—traffic volume (vehicles/h),
m—road section,
Lm—length of the road section (km).

4. Results

The parameters studied were the delay and the emissions that result from stopping and starting at an intersection. At intersections with yield and stop signs, for north and south directions, the delay time was determined relative to stopping on the minor roads. At an intersection with an all-way stop, the delay was calculated based on stopping on all intersecting roads.
The results are presented in Table 3 and Table 4 and Figure 6 and Figure 7.
As a result of simulations, analysis of Table 3 and Table 4, and Figure 5 and Figure 6, it can be concluded that:
in the case where the intersection does not have the possibility of turning and the traffic volume does not exceed 2000 vehicles/h, the delays relative to the yield sign and stop sign for the two directions are similar to each other, and their values are slightly lower than the intersection with the all-way stop signs; above the traffic volume value of 2000 vehicles/h, a sharp decrease in the capacity of the intersection for the yield and stop signs for the two directions of traffic can be observed.
if there is a possibility to turn and traffic volume does not exceed 1500 vehicles/h, then delays with respect to yield and stop signs for two directions are similar as in the previous case; above the traffic volume of 1500 vehicles/h, there is a sharp increase in delays for yield and stop signs for two directions, while for stop signs for all directions, a stabilization of delay values can be observed; above the traffic volume of 2000 vehicles/h, the intersection for subordinate roads is practically impassable.
As a result of the simulation, analysis of Table 5 and Table 6, and Figure 8 and Figure 9, it can be concluded that:
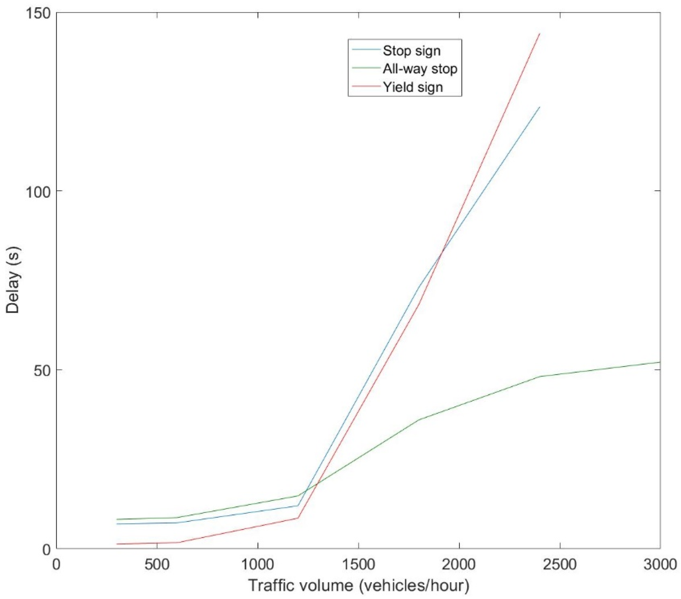
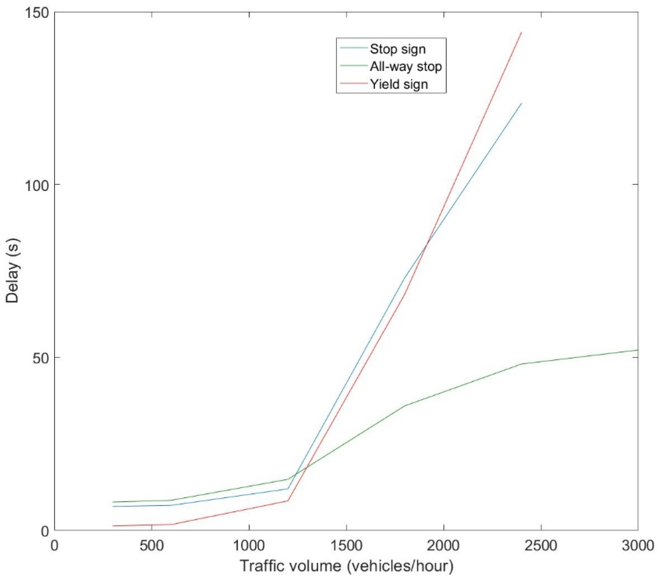
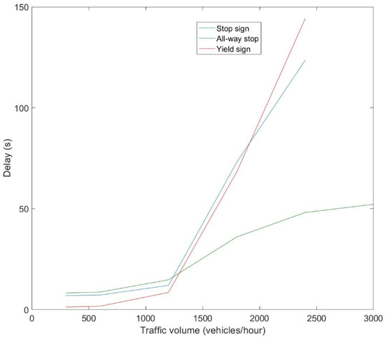
in the case where the intersection does not have the possibility of turning and the traffic volume does not exceed 1800 vehicles/h, each marking variant has equal delay values; above the value of 1800 vehicles/h, the traffic volume of the intersection with stop signs for all directions of traffic, up to the final value studied of 3000 vehicles/h, is practically constant, while intersections with yield and stop signs for two directions record a sharp increase in delay,
in the case where the intersection has the possibility to turn and the traffic volume does not exceed the value of 1200 vehicles/h, the delays values for each studied intersection are similar, while above the value of 1200 vehicles/h, there is an increase in the value of traffic volume for all studied intersections; after exceeding the value of traffic volume of 2400 vehicles/h, the intersection for subdivision roads (in the case of yield and stop signs for two directions of traffic) is practically impassable.
Due to the high traffic delays for traffic volumes greater than 1500 vehicles/h, an additional comparison of the variants studied in Scenario 2 (with turning possibilities) was introduced with regard to the intersection with fixed-time cyclic traffic light signaling applied. The calculation of the cycle times was made for an average lane saturation of 2000 trips/h. The analyzed cycle time of the signal control is 90 s. The 1 signal group that is the main road has a green signal from 0 to 55 s, and the second direction of traffic flow for the minor road has a green signal from 60 to 87 s.
The results of the delays obtained are included in Table 7. Figure 10 shows a comparison of intersection delays with the stop sign applied for all traffic directions and with cyclic traffic lights.
The chart does not include the variants with yield signs and stop for two directions because the intersection’s capacity is too low.
Based on vehicle traffic data from the VISSIM program, toxic compounds emissions were calculated using the TNO Enviver program. In the case studied, the NOx and PM10 emissions were determined at a spatial resolution of 5 × 5 m. Emissions were studied for urban conditions; that is, the model took into account a certain percentage of vehicles, which are characterized by increased exhaust emissions due to the cold start phenomenon of the engine [60,61]. The model assumed a class of vehicles, namely passenger cars. This class consisted of 60% gasoline vehicles, 22% diesel vehicles, 13% LPG and 5% hybrid/electric vehicles (Figure 5). The average age of the vehicles was set at 8 years. The value of the average vehicle age has been calculated based on data from Polish data bank for the city of Rzeszow [57]. All intersection variants presented earlier were used for the emissions test: with a stop sign for minor directions, with an all-way stop, with yield signs, and with a fixed-time traffic light. These variants were tested against scenario 2 with the possibility of turning for a traffic volume option of 1200 vehicles/h.
The respective traffic volumes for the subdirections were 200 vehicles/h and for the main directions were 400 vehicles/h. For the study, just such a value of vehicle volume was chosen because, for all intersection options against such a number of vehicles, there are similar values of traffic delay.
Therefore, the emission results for all solutions will be comparable. The results are shown in Figure 11 and Figure 12.

5. Discussion

Many cities around the world are at high exposure to air pollution [62]. It is estimated that, for urban areas, especially near intersections, approximately 80% of the urban population is exposed to PM10 emissions above WHO recommendations [63]. This state of affairs also affects NOx emissions, which are increasingly exceeded each year in urban areas of European cities. More than 89% of NOx emission overruns were recorded at EU-28 stations [64]. Due to the environmental problems, so-called SUMPs are being developed, which support local authorities in learning new strategies and concepts in the development of urban mobility [65]. One of the innovative methodologies that are being developed in the field of SUMPs is simulation methods [66]. These simulations involve estimations of multiple variables related to, for example, transportation demand and the impact on changes in emissions from transportation sources. In the work described here, a newly developed methodology is proposed to study intersections for different values of traffic volumes and travel priorities for different traffic control methods, in terms of SUMP simulation solutions. The generated results can be used to analyze the size of the vehicle stream on the impact on vehicle emissions on the environment, particularly in terms of NOx and PM10 emissions.
The results shown in the work present some important highlights coming from the simulations. Some of the main impacts can be the emission maps, which clearly show how far from the center of the intersection the highest emission occurs. For example, based on assumed traffic conditions and emission results, we can see that, in the close neighborhood of the variant with the all-way stop or fixed-time traffic light, there are high concentrations of PM10 and NOx, which can influence pedestrians. In addition, the location of the pedestrian crossings mainly is next to the center of the intersection, so, based on this kind of simulations emission map results, we can see how each intersection solution and right-of-way variation used influenced the emissions coming from vehicle exhaust systems.
A work that describes a similar theme is the work [67], in which the authors compared the simulation variant for roundabouts, mainly two-lane roundabouts and turbo roundabouts, with different traffic volumes, and analyzed the emission results based on these inputs. This paper presents the results of CO2, NOx, and PM10 emissions based on emission maps. For the roundabouts analyzed, increased emissions of the analyzed exhaust components were observed during the traffic rush hour, which is characterized by high congestion. The greatest accumulation of emissions occurred for nonprivileged inlets to the turbine traffic circle. However, the construction of the model itself presented in that work for a different infrastructure facility, such as a roundabout, is similar to that presented in the methodology of this work. Some other examples are the work [68], where the authors compared emission results for two kinds of intersections, roundabout and X type, with traffic lights. The results of that work concern CO2 emissions depending, for example, on the parameter of average speed. In the low-speed range, i.e., 0–15 km/h, there are the highest CO2 emissions, while as the speed increases, i.e., from about 30 km/h to about 85 km/h, the emissions are in the range of 600 g/mi. Relating these results to the results of this work, one can see a certain correlation; that is, if congestion increased exponentially as the average driving speed decreased, the analyzed NOx and PM10 emissions also increased. This work also presents the distributions of CO2 and NOx within the X-type intersection and roundabout. Therefore, since the paper assumes only a certain narrow range of analyzed traffic volumes, the NOx results for the analyzed intersection show only a few points of increased NOx emissions for both the X-type intersection and roundabout models. The limitation of the work is that they only analyze one assumed road traffic volume. In their work [69], the authors analyzed the use of simulated autonomous vehicles in VISSIM and their influence on emission for four simulation scenarios. They also used an Enviver emission model, but the results are only presented in emission factor values without any emission maps. The analyses involve simulations for a highway model in terms of assumed traffic volumes. The measured parameters in terms of transport emissions are those for CO2, NOx, and PM10. From the results presented, it can be seen that autonomous vehicles contribute to lower emissions in terms of all the exhaust components. Another example is work [70], where a cruising simulation was analyzed, where vehicles were looking for a free parking space. The authors also used GPS values for model calibration. The authors of the work analyze the following parameters: speed distribution, average speed, queue length, traffic volume, and traffic delays. In terms of emissions, the work presents the results of the following exhaust components: CO, NOx, VOC, and fuel consumption. Another work that includes a combination of microscale and emission models for estimating road transportation emissions is [71]. This work contains a combination of the use of VISSIM software for road modeling and the MOVES emission model, while the parameters studied are the operating mode distribution and the travel time distribution. In this work, three traffic scenarios were analyzed at an intersection with traffic lights in the city of Cheng, China. Model calibrations were performed based on desired speed distribution, acceleration function, and deceleration. The MOVES model is an emissions model that estimates the values of harmful components of exhaust gases on a national, regional, and road project scale, and produces results in the form of emission factors, or total emissions [72,73]. Compared to the Enviver model used in this work, for example, it does not generate emission maps, which are valuable in the context of analyzing the exact locations where the greatest generation of vehicle emissions occurs.

6. Conclusions

Sustainable urban mobility planning is a strategic and integrated approach that aims to effectively address the complexities of urban transportation. Its main objective is to improve accessibility and quality of life through the transition to sustainable mobility. Sustainable urban mobility promotes the adoption of decisions based on objective data, marked by a forward-looking vision of sustainable mobility. Its key components are a thorough assessment of the current situation and future trends, a common vision characterized by broad support and strategic objectives, and an integrated set of regulatory, promotional, financial, technical, and infrastructure measures geared toward achieving the objectives, and whose implementation should be accompanied by systematic monitoring and evaluation.
Unlike traditional planning approaches, sustainable planning also foregrounds the need to address, in an integrated manner, all aspects related to mobility (of people and goods), transportation modes, and services, and to plan the “functional urban area” in its entirety, not limiting it to the administrative boundaries of a single municipality.
Based on these assumptions, the present work aimed to investigate the variation in emissions for a four-arm intersection, as the types of precedence and traffic flow scenario change, to understand the choice of the best action to take.
The paper presents a comparison of selected configurations of X-type intersections: with yield signs, stop signs, and traffic lights, in terms of PM10 and NOx emissions and delays.
Analyzing the results, it can be concluded that below the value of traffic volume of 1200 vehicles/h, an intersection with yield signs and stop signs can be considered for two directions of traffic. However, for traffic volumes from 1200 vehicles/h to 2000 vehicles/h, an intersection with stop signs can be used for all traffic directions. Above these volume values, vehicle flow is impeded, so traffic lights should be used.
The results obtained for the delay times refer to the adopted mode of the driver reaction. It can be assumed that, in the case of intersections with the all way stop signs,, the actual times would be longer, which may be due to the lack of such signs in some of the European countries. Driver inexperience in negotiating such intersections would be associated with longer decision-making times, and collisions could also occur, which would significantly reduce throughput.
For the selected intersection solutions in relation to toxic emissions, such as NOx and PM10, it can be observed that their lowest value is for the case of the intersection with the yield sign. This is because the highest average speed value is precisely for this variant of the intersection. The least favorable is the variant with an all-way stop, which is due to the fact that when passing through this type of intersection, every vehicle is required to stop, which translates into the highest total emissions.
Today, Rzeszów is developing as a tourist destination due to its diverse cultural heritage, and has sensitively restored its city center. Other important industries in the city and region include some of Poland’s largest metal production plants, food industries, and textile factories. The city’s population has grown in recent years, but this is mainly due to the extension of the city’s boundaries to incorporate neighboring municipalities with the approval of the Polish government. The local authorities of the city of Rzeszów have approved a set of urban development and transportation strategies for the city and region that provide a strategic framework for the current and proposed development of the transportation infrastructure.
The main objective of these strategies was to support the city’s application for project funding under EU funding programs, so the focus of the documents responds to the priorities agreed on between the Polish government and the EU for transport development. The EU funding context may also explain the strong emphasis on upgrading physical infrastructure rather than setting priorities for spatial planning, which would be more evident in similar strategies in other EU countries.
A recommendation regarding the traffic models vis-à-vis the SUMP strategy is that the simulations can greatly support the decision making of the city authorities regarding the traffic control solutions used. Based on the simulations presented, we can not only quantify vehicle traffic delays and NOx and PM10 emissions, but we are also able to illustrate these results with examples through emission maps. Emission maps are a key element that can be used to better locate pedestrian crossings within various types of intersections.
According to the above, the main objective of the work was to compare different urban crossing priority control solutions with respect to the parameter of traffic delay and emissions of harmful components of exhaust gases. The developed methodology for model execution and calibration, as for well as further evaluation, allows quantifying emissions and their locations in the analyzed models.
Limitations of the work are certainly the calibration process, which applies only to the analyzed area, and the assumed simulation scenarios, which apply only to the established traffic conditions for quantitative traffic volume data at the studied intersection inlets. Another limitation is the analysis of only one type of intersection, and in the future, it will certainly also be necessary to undertake a more extensive analysis of harmful emissions and traffic delays for other infrastructure solutions.
Future research directions can touch on the topic of the emission range near the center of the intersection, since the pedestrian crossing is located next to the center. The high emission of toxic fume compounds can clearly influence the health of citizens.

Author Contributions

Conceptualization, M.M. and T.C.; methodology, M.M.; software, M.M. and T.C.; validation, T.C. and M.M.; formal analysis, T.C.; investigation, M.M.; resources, T.C. and M.M.; data curation, M.M.; writing—original draft preparation, M.M. and T.C.; writing—review and editing, M.M. and T.C.; visualization, M.M.; supervision, T.C. All authors have read and agreed to the published version of the manuscript.

Funding

This research received no external funding.

Institutional Review Board Statement

Not applicable.

Informed Consent Statement

Not applicable.

Data Availability Statement

Not applicable.

Conflicts of Interest

The authors declare no conflict of interest.

References

  1. Lijewski, P.; Kozak, M.; Fuc, P.; Rymaniak, L.; Ziolkowski, A. Exhaust emissions generated under actual operating conditions from a hybrid vehicle and an electric one fitted with a range extender. Transp. Res. Part D Transp. Environ. 2020, 78, 102183. [Google Scholar] [CrossRef]
  2. Pignatta, G.; Balazadeh, N. Hybrid Vehicles as a Transition for Full E-Mobility Achievement in Positive Energy Districts: A Comparative Assessment of Real-Driving Emissions. Energies 2022, 15, 2760. [Google Scholar] [CrossRef]
  3. Turoń, K. Selection of Car Models with a Classic and Alternative Drive to the Car-Sharing Services from the System’s Rare Users Perspective. Energies 2022, 15, 6876. [Google Scholar] [CrossRef]
  4. Campisi, T.; Basbas, S.; Al-Rashid, M.A.; Tesoriere, G.; Georgiadis, G. A region-wide survey on emotional and psychological impacts of COVID-19 on public transport choices in Sicily, Italy. Trans. Transp. Sci. 2021, 2, 1–10. [Google Scholar] [CrossRef]
  5. Abdullah, M.; Ali, N.; Dias, C.; Campisi, T.; Javid, M.A. Exploring the traveler’s intentions to use public transport during the COVID-19 pandemic while complying with precautionary measures. Appl. Sci. 2021, 11, 3630. [Google Scholar] [CrossRef]
  6. Donateo, T.; Signore, P. On the Behavior of the Start and Stop System in European Real Driving Emissions Tests and Its Effect on Greenhouse and Tailpipe Emissions (No. 2022-01-5024); SAE Technical Paper: Warrendale, PA, USA, 2022. [Google Scholar]
  7. Sodikovich, Y.S. Fuel Consumption Evaluation of 1.5 Liter Engine using “Intelligent Start-Stop System” Technology. Int. J. Innov. Anal. Emerg. Technol. 2022, 2, 75–82. [Google Scholar]
  8. Gallagher, L.J.W.; Gill, A.; McNabo, A. Optimizing the use of on-street car parking system as a passive control of air pollution exposure in street canyons by large eddy simulation. Atmos. Environ. 2011, 45, 1684–1694. [Google Scholar] [CrossRef]
  9. Silva, Ó.; Cordera, R.; González-González, E.; Nogués, S. Environmental impacts of autonomous vehicles: A review of the scientific literature. Sci. Total Environ. 2022, 830, 154615. [Google Scholar] [PubMed]
  10. Duygan, M.; Fischer, M.; Pärli, R.; Ingold, K. Where do Smart Cities grow? The spatial and socio-economic configurations of smart city development. Sustain. Cities Soc. 2022, 77, 103578. [Google Scholar]
  11. Blasi, S.; Ganzaroli, A.; De Noni, I. Smartening sustainable development in cities: Strengthening the theoretical linkage between smart cities and SDGs. Sustain. Cities Soc. 2022, 80, 103793. [Google Scholar]
  12. Charradi, I.; Campisi, T.; Tesoriere, G.; Abdallah, K.B. A Holistic Approach to SUMP Strategies and Actions in the Post-pandemic and Energy Crisis Era. In Computational Science and Its Applications–ICCSA 2022 Workshops, Proceedings of the International Conference on Computational Science and Its Applications, Malaga, Spain, 4–7 July 2022; Springer: Cham, Switzerland, 2022; pp. 345–359. [Google Scholar]
  13. Campisi, T.; Garau, C.; Acampa, G.; Maltinti, F.; Canale, A.; Coni, M. Developing Flexible Mobility On-Demand in the Era of Mobility as a Service: An Overview of the Italian Context Before and After Pandemic. In Computational Science and Its Applications—ICCSA 2021, Proceedings of the International Conference on Computational Science and Its Applications, Cagliari, Italy, 13–16 September 2021; Springer: Cham, Switzerland, 2021; pp. 323–338. [Google Scholar]
  14. Annunziata, A.; Desogus, G.; Mighela, F.; Garau, C. Health and Mobility in the Post-pandemic Scenario. An Analysis of the Adaptation of Sustainable Urban Mobility Plans in Key Contexts of Italy. In Computational Science and Its Applications—ICCSA 2022 Workshops, Proceedings of the International Conference on Computational Science and Its Applications, Malaga, Spain, 29 July 2022; Springer: Cham, Switzerland, 2022; pp. 439–456. [Google Scholar]
  15. Hussain, Q.; Alhajyaseen, W.; Brijs, K.; Pirdavani, A.; Brijs, T. Improved traffic flow efficiency during yellow interval at signalized intersections using a smart countdown system. IEEE Trans. Intell. Transp. Systems 2020, 23, 1959–1968. [Google Scholar] [CrossRef]
  16. Hussein, N.; Hassan, R.; Fahey, M.T. Effect of pavement condition and geometrics at signalised inter-sections on casualty crashes. J. Saf. Res. 2021, 76, 276–288. [Google Scholar] [CrossRef] [PubMed]
  17. Cheng, G.; Mu, C.; Xu, L.; Kang, X. Research on Truck Traffic Volume Conditions of Auxiliary Lanes on Two-Lane Highways. Sustainability 2021, 13, 13097. [Google Scholar] [CrossRef]
  18. Pawar, D.S.; Patil, G.R. Analyzing variations in spatial critical gaps at two-way stop controlled intersections using parametric and non-parametric techniques. J. Traffic Transp. Eng. 2021, 8, 129–138. [Google Scholar] [CrossRef]
  19. Okraszewska, R.; Romanowska, A.; Wołek, M.; Oskarbski, J.; Birr, K.; Jamroz, K. Integration of a Multilevel Transport System Model into Sustainable Urban Mobility Planning. Sustainability 2018, 10, 479. [Google Scholar] [CrossRef]
  20. Kiba-Janiak, M.; Witkowski, J. Sustainable Urban Mobility Plans: How Do They Work? Sustainability 2019, 11, 4605. [Google Scholar] [CrossRef]
  21. Li, X.; Yu, B. Peaking CO2 emissions for China’s urban passenger transport sector. Energy Policy 2019, 133, 110913. [Google Scholar] [CrossRef]
  22. Boryaev, A.; Malygin, I.; Marusin, A. Areas of focus in ensuring the environmental safety of motor transport. Transp. Res. Procedia 2020, 50, 68–76. [Google Scholar] [CrossRef]
  23. Assmann, T.; Lang, S.; Müller, F.; Schenk, M. Impact assessment model for the implementation of cargo bike transshipment points in urban districts. Sustainability 2020, 12, 4082. [Google Scholar] [CrossRef]
  24. Holman, C.; Harrison, R.; Querol, X. Review of the efficacy of low emission zones to improve urban air quality in European cities. Atmos. Environ. 2015, 111, 161–169. [Google Scholar] [CrossRef]
  25. Bigazzi, A.Y.; Rouleau, M. Can traffic management strategies improve urban air quality? A review of the evidence. J. Transp. Health 2017, 7, 111–124. [Google Scholar]
  26. Jaworski, A.; Mądziel, M.; Kuszewski, H. Sustainable Public Transport Strategies—Decomposition of the Bus Fleet and Its Influence on the Decrease in Greenhouse Gas Emissions. Energies 2022, 15, 2238. [Google Scholar] [CrossRef]
  27. Lyu, P.; Wang, P.S.; Liu, Y.; Wang, Y. Review of the studies on emission evaluation approaches for op-erating vehicles. J. Traffic Transp. Eng. 2021, 8, 493–509. [Google Scholar]
  28. Chauhan, B.P.; Joshi, G.J.; Parida, P. Car following model for urban signalised intersection to estimate speed based vehicle exhaust emissions. Urban Clim. 2019, 29, 100480. [Google Scholar] [CrossRef]
  29. Zhang, Y.; Li, X.; Yu, Q.; Yan, X. Developing a two-stage auditory warning system for safe driving and eco-driving at signalized intersections: A driving simulation study. Accid. Anal. Prev. 2022, 175, 106777. [Google Scholar] [CrossRef]
  30. Namazi, E.; Li, J.; Lu, C. Intelligent intersection management systems considering autonomous vehicles: A systematic literature review. IEEE Access 2019, 7, 91946–91965. [Google Scholar] [CrossRef]
  31. Alobaidi, M.K.; Badri, R.M.; Salman, M.M. Evaluating the Negative Impact of Traffic Congestion on Air Pollution at Signalized Intersection. In IOP Conference Series: Materials Science and Engineering, Proceedings of the 4th International Conference on Buildings, Construction and Environmental Engineering, Istanbul, Turkey, 7–9 October 2019; IOP Publishing: Bristol, UK, 2020; Volume 737, p. 012146. [Google Scholar]
  32. Jaworski, A.; Mądziel, M.; Kuszewski, H.; Lejda, K.; Balawender, K.; Jaremcio, M.; Ustrzycki, A. Analysis of Cold Start Emission from Light Duty Vehicles Fueled with Gasoline and LPG for Selected Ambient Temperatures (No. 2020-01-2207); SAE Technical Paper: Warrendale, PA, USA, 2020. [Google Scholar]
  33. Selleri, T.; Melas, A.D.; Joshi, A.; Manara, D.; Perujo, A.; Suarez-Bertoa, R. An overview of lean exhaust denox aftertreatment technologies and nox emission regulations in the european union. Catalysts 2021, 11, 404. [Google Scholar]
  34. Mikulski, M.; Droździel, P.; Tarkowski, S. Reduction of transport-related air pollution. A case study based on the impact of the COVID-19 pandemic on the level of NOx emissions in the city of Krakow. Open Eng. 2021, 11, 790–796. [Google Scholar] [CrossRef]
  35. Bogacki, M.; Bździuch, P. Predicting the spatial distribution of emissions from urban buses based on pre-viously measured data and scenarios for their modernization in the future. Case study: Krakow, Poland. Atmos. Environ. 2019, 199, 1–14. [Google Scholar] [CrossRef]
  36. Holnicki, P.; Kałuszko, A.; Nahorski, Z. Scenario Analysis of Air Quality Improvement in Warsaw, Poland, by the End of the Current Decade. Atmosphere 2022, 13, 1613. [Google Scholar] [CrossRef]
  37. Beddows, D.C.; Harrison, R.M. PM10 and PM2. 5 emission factors for non-exhaust particles from road vehicles: Dependence upon vehicle mass and implications for battery electric vehicles. Atmos. Environ. 2021, 244, 117886. [Google Scholar] [CrossRef]
  38. Piras, G.; Pini, F.; Garcia, D.A. Correlations of PM10 concentrations in urban areas with vehicle fleet de-velopment, rain precipitation and diesel fuel sales. Atmos. Pollut. Res. 2019, 10, 1165–1179. [Google Scholar] [CrossRef]
  39. Woodward, H.; Stettler, M.; Pavlidis, D.; Aristodemou, E.; ApSimon, H.; Pain, C. A large eddy simulation of the dispersion of traffic emissions by moving vehicles at an intersection. Atmos. Environ. 2019, 215, 116891. [Google Scholar] [CrossRef]
  40. Xu, C.; Ding, Z.; Wang, C.; Li, Z. Statistical analysis of the patterns and characteristics of connected and autonomous vehicle involved crashes. J. Saf. Res. 2019, 71, 41–47. [Google Scholar] [CrossRef]
  41. Goel, A.; Kumar, P. A review of fundamental drivers governing the emissions, dispersion and exposure to vehicle-emitted nanoparticles at signalised traffic intersections. Atmos. Environ. 2014, 97, 316–331. [Google Scholar]
  42. Ziemska-Osuch, M.; Osuch, D. Modeling the Assessment of Intersections with Traffic Lights and the Significance Level of the Number of Pedestrians in Microsimulation Models Based on the PTV Vissim Tool. Sustainability 2022, 14, 8945. [Google Scholar] [CrossRef]
  43. Shaaban, K.; Alsoub, M. Evaluating the Effect of Dynamic Message Signs and Lane Control Signs on Driver Behavior in a Developing Country. Infrastructures 2022, 7, 105. [Google Scholar] [CrossRef]
  44. Mądziel, M.; Jaworski, A.; Savostin-Kosiak, D.; Lejda, K. The Impact of Exhaust Emission from Combustion Engines on the Environment: Modelling of Vehicle Movement at Roundabouts. Int. J. Automot. Mech. Eng. 2020, 17, 8360–8371. [Google Scholar] [CrossRef]
  45. Wisch, M. Car-to-Car Accidents at Intersections in Europe and Identification of Use Cases for the Test and Assessment of Respective Active Vehicle Safety Systems. In Proceedings of the 26th International Technical Conference on the Enhanced Safety of Vehicles (ESV), Technology: Enabling a Safer Tomorrow, Eindhoven, The Netherlands, 10–13 June 2019. [Google Scholar]
  46. Jandacka, D.; Decky, M.; Hodasova, K.; Pisca, P.; Briliak, D. Influence of the Urban Intersection Reconstruction on the Reduction of Road Traffic Noise Pollution. Appl. Sci. 2022, 12, 8878. [Google Scholar] [CrossRef]
  47. Leich, A.; Fuchs, J.; Srinivas, G.; Niemeijer, J.; Wagner, P. Traffic Safety at German Roundabouts—A Replication Study. Safety 2022, 8, 50. [Google Scholar] [CrossRef]
  48. Sekuła, P.; Marković, N.; Vander Laan, Z.; Sadabadi, K.F. Estimating historical hourly traffic volumes via machine learning and vehicle probe data: A Maryland case study. Transp. Res. Part C Emerg. Technol. 2018, 97, 147–158. [Google Scholar] [CrossRef]
  49. Ivan, J.N.; Wang, C.; Bernardo, N.R. Explaining two-lane highway crash rates using land use and hourly exposure. Accid. Anal. Prev. 2000, 32, 787–795. [Google Scholar] [CrossRef]
  50. Stevanovic, A.; Stevanovic, J.; Zhang, K.; Batterman, S. Optimizing traffic control to reduce fuel consump-tion and vehicular emissions: Integrated approach with VISSIM, CMEM, and VISGAOST. Transp. Res. Rec. 2009, 2128, 105–113. [Google Scholar] [CrossRef]
  51. Stevanovic, J.; Stevanovic, A.; Martin, P.T.; Bauer, T. Stochastic optimization of traffic control and transit priority settings in VISSIM. Transp. Res. Part C Emerg. Technol. 2008, 16, 332–349. [Google Scholar] [CrossRef]
  52. Wang, H.; Wang, W.; Chen, J. Capacity and delay performance of unsignalized intersection. Huazhong Univ. Sci. Technol. 2007, 35, 114. [Google Scholar]
  53. Zhiwei, Y. Study on the evaluation of signalized intersection safety degree and the research of improvement measures. Jilin Univ. J. 2011. [Google Scholar]
  54. Ziemska, M. Exhaust Emissions and Fuel Consumption Analysis on the Example of an Increasing Number of HGVs in the Port City. Sustainability 2021, 13, 7428. [Google Scholar] [CrossRef]
  55. Alshayeb, S.; Stevanovic, A.; Dobrota, N. Impact of Various Operating Conditions on Simulated Emissions-Based Stop Penalty at Signalized Intersections. Sustainability 2021, 13, 10037. [Google Scholar] [CrossRef]
  56. Konečný, V.; Gnap, J.; Settey, T.; Petro, F.; Skrúcaný, T.; Figlus, T. Environmental Sustainability of the Vehicle Fleet Change in Public City Transport of Selected City in Central Europe. Energies 2020, 13, 3869. [Google Scholar] [CrossRef]
  57. Polish Local Data Bank. Available online: https://bdl.stat.gov.pl (accessed on 21 September 2022).
  58. Azeez, O.S.; Pradhan, B.; Shafri, H.Z.M.; Shukla, N.; Lee, C.-W.; Rizeei, H.M. Modeling of CO Emissions from Traffic Vehicles Using Artificial Neural Networks. Appl. Sci. 2019, 9, 313. [Google Scholar] [CrossRef]
  59. Lee, H.; Pham, H.T.; Kim, C.; Lee, K. A Study on Emissions from Drayage Trucks in the Port City-Focusing on the Port of Incheon. Sustainability 2019, 11, 5358. [Google Scholar] [CrossRef]
  60. Ziółkowski, A.; Fuć, P.; Lijewski, P.; Jagielski, A.; Bednarek, M.; Kusiak, W. Analysis of Exhaust Emissions from Heavy-Duty Vehicles on Different Applications. Energies 2022, 15, 7886. [Google Scholar] [CrossRef]
  61. Ziółkowski, A.; Fuć, P.; Jagielski, A.; Bednarek, M. Analysis of Emissions and Fuel Consumption in Freight Transport. Energies 2022, 15, 4706. [Google Scholar] [CrossRef]
  62. Iskandaryan, D.; Ramos, F.; Trilles, S. Air quality prediction in smart cities using machine learning tech-nologies based on sensor data: A review. Appl. Sci. 2020, 10, 2401. [Google Scholar] [CrossRef]
  63. Guariso, G.; Volta, M. Air Quality in Europe: Today and Tomorrow. In Air Quality Integrated Assessment; Springer: Cham, Switzerland, 2017; pp. 1–8. [Google Scholar]
  64. Pisoni, E.; Christidis, P.; Thunis, P.; Trombetti, M. Evaluating the impact of “Sustainable Urban Mobility Plans” on urban background air quality. J. Environ. Manag. 2019, 231, 249–255. [Google Scholar] [CrossRef]
  65. Burinskienė, M.; Ušpalytė-Vitkūnienė, R. (Eds.) SUMP for Cities’ Sustainable Development; MDPI-Multidisciplinary Digital Publishing Institute: Basel, Switzerland, 2021. [Google Scholar]
  66. Singh, A.; Hauge, J.B.; Wiktorsson, M.; Upadhyay, U. Optimizing local and global objectives for sustainable mobility in urban areas. J. Urban Mobil. 2022, 2, 100012. [Google Scholar] [CrossRef]
  67. Mądziel, M.; Campisi, T.; Jaworski, A.; Kuszewski, H.; Woś, P. Assessing Vehicle Emissions from a Multi-Lane to Turbo Roundabout Conversion Using a Microsimulation Tool. Energies 2021, 14, 4399. [Google Scholar] [CrossRef]
  68. Kutlimuratov, K.; Khakimov, S. Modelling traffic flow emissions at signalized intersection with PTV vissim. E3S Web Conf. 2021, 264, 02051. [Google Scholar] [CrossRef]
  69. Beza, A.D.; Maghrour Zefreh, M.; Torok, A. Impacts of Different Types of Automated Vehicles on Traffic Flow Characteristics and Emissions: A Microscopic Traffic Simulation of Different Freeway Segments. Energies 2022, 15, 6669. [Google Scholar] [CrossRef]
  70. Sui, X.; Ye, X.; Wang, T.; Yan, X.; Chen, J.; Ran, B. Microscopic Simulating the Impact of Cruising for Parking on Traffic Efficiency and Emission with Parking-and-Visit Test Data. Int. J. Environ. Res. Public Health 2022, 19, 9127. [Google Scholar] [CrossRef] [PubMed]
  71. Chen, Y.; Wen, C.; Jiang, C.; Jiang, X. Global sensitivity analysis of VISSIM parameters for project-level traffic emissions: A case study at a signalized intersection. Environ. Technol. 2022, 43, 3801–3820. [Google Scholar] [CrossRef] [PubMed]
  72. Perugu, H. Emission modelling of light-duty vehicles in India using the revamped VSP-based MOVES model: The case study of Hyderabad. Transp. Res. Part D Transp. Environ. 2019, 68, 150–163. [Google Scholar] [CrossRef]
  73. Lin, C.; Zhou, X.; Wu, D.; Gong, B. Estimation of emissions at signalized intersections using an improved MOVES model with GPS data. Int. J. Environ. Res. Public Health 2019, 16, 3647. [Google Scholar] [CrossRef] [PubMed]
Figure 1. Three-step basic logic of the research.
Figure 1. Three-step basic logic of the research.
Sustainability 15 01860 g001
Figure 2. View of intersection model in VISSIM with indicated main and minor direction: (a) stop sign for north and south entries (b) all-way stop (c) yield sign (d) traffic signal.
Figure 2. View of intersection model in VISSIM with indicated main and minor direction: (a) stop sign for north and south entries (b) all-way stop (c) yield sign (d) traffic signal.
Sustainability 15 01860 g002
Figure 3. Function of desired acceleration in VISSIM (a) default (b) after calibration.
Figure 3. Function of desired acceleration in VISSIM (a) default (b) after calibration.
Sustainability 15 01860 g003
Figure 4. Cumulative distribution function obtained from real world journeys, simulation and calibrated model.
Figure 4. Cumulative distribution function obtained from real world journeys, simulation and calibrated model.
Sustainability 15 01860 g004
Figure 5. Traffic composition of (a) fuel used (b) EURO standard.
Figure 5. Traffic composition of (a) fuel used (b) EURO standard.
Sustainability 15 01860 g005
Figure 6. Delays for an intersection without turnings (scenario 1).
Figure 6. Delays for an intersection without turnings (scenario 1).
Sustainability 15 01860 g006
Figure 7. Delays for an intersection with turnings (scenario 1).
Figure 7. Delays for an intersection with turnings (scenario 1).
Sustainability 15 01860 g007
Figure 8. Delays for an intersection without turnings (scenario 2).
Figure 8. Delays for an intersection without turnings (scenario 2).
Sustainability 15 01860 g008
Figure 9. Delays for an intersection with turnings (scenario 2).
Figure 9. Delays for an intersection with turnings (scenario 2).
Sustainability 15 01860 g009
Figure 10. Delays for an intersection with turnings—scenario 2 with added variant of cyclic fixed-time traffic lights.
Figure 10. Delays for an intersection with turnings—scenario 2 with added variant of cyclic fixed-time traffic lights.
Sustainability 15 01860 g010
Figure 11. PM10 emissions for the studied intersection variants at a spatial resolution of 5 × 5 m: (a) yield sign, (b) stop for minor roads, (c) all-way stop, (d) fixed-time traffic lights.
Figure 11. PM10 emissions for the studied intersection variants at a spatial resolution of 5 × 5 m: (a) yield sign, (b) stop for minor roads, (c) all-way stop, (d) fixed-time traffic lights.
Sustainability 15 01860 g011
Figure 12. NOx emissions for the studied intersection variants at a spatial resolution of 5 × 5 m: (a) yield sign, (b) stop for minor roads, (c) all-way stop, (d) fixed-time traffic lights.
Figure 12. NOx emissions for the studied intersection variants at a spatial resolution of 5 × 5 m: (a) yield sign, (b) stop for minor roads, (c) all-way stop, (d) fixed-time traffic lights.
Sustainability 15 01860 g012
Table 1. Traffic flow data—scenario 1.
Table 1. Traffic flow data—scenario 1.
DirectionTraffic Volume (Vehicles/Hour)
North2550100150200250
South2550100150200250
West1002004006008001000
East1002004006008001000
Sum2505001000150020002500
Table 2. Traffic flow data—scenario 2.
Table 2. Traffic flow data—scenario 2.
DirectionTraffic Volume (Vehicles/Hour)
North50100200300400500
South50100200300400500
West1002004006008001000
East1002004006008001000
Sum3006001200180024003000
Table 3. Summary of delays for an intersection without turnings (scenario 1).
Table 3. Summary of delays for an intersection without turnings (scenario 1).
Delay (s)
Traffic Flow (Vehicles/Hour)Stop Sign (North, South)All-Way StopYield Sign
2506.277.411.27
5007.538.051.51
10008.8410.995.43
150014.4733.2612.07
200034.7640.6133.02
2500134.3942.29132.25
Table 4. Summary of delays for an intersection with turnings (scenario 1).
Table 4. Summary of delays for an intersection with turnings (scenario 1).
Delay (s)
Traffic Flow (Vehicles/Hour)Stop Sign (North, South)All-Way StopYield Sign
2506.277.411.27
5007.538.051.51
10008.8410.995.43
150014.4733.2612.07
200034.7640.6133.02
2500134.3942.29132.25
Table 5. Summary of delays for an intersection without turnings (scenario 2).
Table 5. Summary of delays for an intersection without turnings (scenario 2).
Delay (s)
Traffic Flow (Vehicles/Hour)Stop Sign (North, South)All-Way StopYield Sign
2506.898.181.32
5007.118.071.58
100010.7512.016.31
150033.2535.1924.96
200098.5940.6495.85
2500156.3142.32146.87
Table 6. Summary of delays for an intersection with turnings (scenario 2).
Table 6. Summary of delays for an intersection with turnings (scenario 2).
Delay (s)
Traffic Flow (Vehicles/Hour)Stop Sign (North, South)All-Way StopYield Sign
2506.958.211.33
5007.248.711.69
100012.0114.778.54
150073.0736.0268.28
2000123.5248.12144.05
2500-52.17-
Table 7. Summary of delays for the intersection with the possibility of turning (according to scenario No. 2 and the applied cyclic fixed-time traffic lights).
Table 7. Summary of delays for the intersection with the possibility of turning (according to scenario No. 2 and the applied cyclic fixed-time traffic lights).
Delay (s)
Traffic Flow (Vehicles/Hour)Stop Sign (North, South)All-Way StopYield SignSignal Program
180073.0736.0268.2819.63
2400123.5248.12144.0540.17
3000-52.17-45.52
Disclaimer/Publisher’s Note: The statements, opinions and data contained in all publications are solely those of the individual author(s) and contributor(s) and not of MDPI and/or the editor(s). MDPI and/or the editor(s) disclaim responsibility for any injury to people or property resulting from any ideas, methods, instructions or products referred to in the content.

Share and Cite

MDPI and ACS Style

Mądziel, M.; Campisi, T. Investigation of Vehicular Pollutant Emissions at 4-Arm Intersections for the Improvement of Integrated Actions in the Sustainable Urban Mobility Plans (SUMPs). Sustainability 2023, 15, 1860. https://doi.org/10.3390/su15031860

AMA Style

Mądziel M, Campisi T. Investigation of Vehicular Pollutant Emissions at 4-Arm Intersections for the Improvement of Integrated Actions in the Sustainable Urban Mobility Plans (SUMPs). Sustainability. 2023; 15(3):1860. https://doi.org/10.3390/su15031860

Chicago/Turabian Style

Mądziel, Maksymilian, and Tiziana Campisi. 2023. "Investigation of Vehicular Pollutant Emissions at 4-Arm Intersections for the Improvement of Integrated Actions in the Sustainable Urban Mobility Plans (SUMPs)" Sustainability 15, no. 3: 1860. https://doi.org/10.3390/su15031860

APA Style

Mądziel, M., & Campisi, T. (2023). Investigation of Vehicular Pollutant Emissions at 4-Arm Intersections for the Improvement of Integrated Actions in the Sustainable Urban Mobility Plans (SUMPs). Sustainability, 15(3), 1860. https://doi.org/10.3390/su15031860

Note that from the first issue of 2016, this journal uses article numbers instead of page numbers. See further details here.

Article Metrics

Back to TopTop