Next Article in Journal
A Mediterranean Focus Overview of EU Marine Litter Data Management Performed in the Framework of the European Marine Observation and Data Network Chemistry
Previous Article in Journal
Farmers’ Knowledge, Attitude, and Practices Regarding the Use of Agroecological-Based Pest Management Practices in Crucifers and Traditional African Vegetable (TAV) Production in Kenya and Tanzania
 
 
Font Type:
Arial Georgia Verdana
Font Size:
Aa Aa Aa
Line Spacing:
Column Width:
Background:
Article

The Operational Mechanism of Agricultural Products Supply Chain Finance Based on the Mode-Capability-Customer Matching Approach

School of Economics and Management, China University of Mining & Technology, Xuzhou 221116, China
*
Author to whom correspondence should be addressed.
Sustainability 2023, 15(23), 16492; https://doi.org/10.3390/su152316492
Submission received: 10 October 2023 / Revised: 22 November 2023 / Accepted: 25 November 2023 / Published: 1 December 2023

Abstract

:
The key to successful agricultural product supply chain finance of commercial banks lies in coordinating the relationship among the “supply chain finance model”, “banking serviceability”, and “user satisfaction”. Previous research on agricultural products supply chain finance rarely incorporated the operational level of commercial banks. To fill this gap, this paper transforms the operational problem of the agricultural product supply chain finance of commercial banks into a matching problem between the agricultural product supply chain finance model and customers under the constraint of serviceability. First, a matching model of “mode-capability-customer” of agricultural products supply chain finance is constructed based on the theory of bilateral matching; second, a measurement index system of matching degree and satisfaction is constructed, where matching degree and satisfaction are calculated; finally, the optimal matching model is studied. This paper proposes a model that matches agricultural supply chain finance with customer satisfaction, considering bank serviceability constraints. It improves the implementation of agricultural product supply chain finance by commercial banks. The study uses surveys and evaluations to assess stakeholder satisfaction and preferences. An operational research model optimizes the matching process between supply chain finance models and recipients, ensuring suitability. The paper provides a theoretical basis for rural financial services and practical recommendations for commercial bank supply chain finance, with valuable real-world applications.

1. Introduction

The purpose of supply chain finance is to optimize customer cash flow and create value for customers through cross-organizational management [1]. Therefore, commercial banks should not only design supply chain finance models so that these reflect the latest financial technology level and conform to their own resources and service capabilities, but also these models need to be recognized by and satisfy customers [2]. Different supply chain finance models are suitable for different customers. Therefore, the appropriate selection of customers to be served is a necessary factor for the success of the agricultural products supply chain finance model of commercial banks [3]. Therefore, the key for the successful implementation of agricultural products supply chain finance of commercial banks lies in the appropriate coordination of the relationship among the “supply chain finance model”, “banking service capability”, and “user satisfaction”. First, the supply chain financial serviceability of commercial banks determines the implementation scope and quality of the supply chain finance model. Scholarly research has shown that the core competence of an enterprise determines its business scope. In the same way, if commercial banks plan to engage in agricultural products supply chain financial services, they first need to evaluate both the resources and technologies they have mastered and evaluate their serviceability on this basis. The results of such serviceability evaluation directly determine the choice of the supply chain finance mode and the choice of service objects, and they indirectly affect customer satisfaction and the profitability of the supply chain finance business. Therefore, a good agricultural product supply chain finance model must coordinate the “mode-ability-customer” relationship. Second, the agricultural product supply chain finance model imposes certain requirements on the supply chain finance serviceability of commercial banks. Different supply chain finance models impose different requirements on the resources, technology, and capabilities of commercial banks. Because of the inherent characteristics of agricultural products—fresh and tender, perishable, diversified, nonstandardized production, harsh production and processing conditions, wide consumer distribution, low demand, and low value characteristics—commercial banks must exert greater efforts than industrial supply chain finance to better control credit risk. Therefore, the agricultural products supply chain finance model imposes higher requirements on the supply chain finance serviceability of commercial banks. Third, important signs of the success of the agricultural product supply chain finance model are user satisfaction and bank benefit. Customer satisfaction refers to the subjective utility level perceived by consumers after using the product or receiving the service. A high utility level achieves large satisfaction, while a low utility level achieves small satisfaction. Research has shown that customer satisfaction not only directly affects the purchasing behavior of customers but also the reputation of goods, consumer loyalty, and repeated purchasing behavior. Agricultural products supply chain financial service objects are farmers or agricultural production enterprises. Because agricultural production is associated with harsh production and transportation conditions, as well as changeable consumption link complexes, financial products need to be flexible. If commercial banks providing supply chain financial services cannot optimize these financial products according to the characteristics of the agricultural products supply chain, user satisfaction will decrease. Consequently, the profitability of commercial banks’ supply chain financial businesses will also decrease, leading to the failure of the supply chain finance model. Therefore, customer satisfaction with the agricultural product supply chain financial service is a further key factor for the success of the agricultural product supply chain finance model of commercial banks. While evaluating the agricultural products supply chain financial services of commercial banks, farmers and agricultural products processing enterprises must also accept the evaluation of banks. Consequently, banks can provide better services according to their own ability and information, reduce business risks, and improve business profitability.
In short, how to realize profitability and customer satisfaction under the constraint of the service capacity of commercial banks is the key question for the success of agricultural products supply chain finance of commercial banks. Therefore, in this paper, a matching model of agricultural products supply chain finance of commercial banks is built based on a bilateral matching theory. The purpose is to solve the matching problem of commercial banks’ agricultural products supply chain finance model and customers under the constraint of serviceability to maximize customer satisfaction and minimize banking business risk. The structure of this paper is presented as follows: in Section 1 an introduction to the field is presented, and Section 2 presents a review of the pertinent literature. Section 3 presents the construction of the commercial banks’ agricultural supply chain finance “mode-ability-customer” matching model. Section 4 presents the design of the “mode-ability-customer” matching degree index system. Section 5 provides the calculation of the “ability-mode-customer” matching degree/satisfaction. Section 6 presents the design of the optimal matching model, and Section 7 presents the conclusions.

2. Literature Review

The main function of supply chain finance is to help small and medium-sized enterprises to overcome capital constraints and optimize their capital operation; thus, it has received wide attention by academia and the business industry [4,5]. Supply chain finance can be traced back to the 1970s, when it emerged almost simultaneously with the concept of supply chain management proposed [6]. As the present paper focuses on agricultural products supply chain finance and commercial bank supply chain finance, literature from both perspectives is reviewed.
The largest risk of agricultural production originates from uncertainty in the production process, such as reduced output caused by natural and biological disasters [7]. These risks seriously affect the market supply and price of agricultural products and are therefore the focus of agricultural practitioners [8,9]. Agricultural practitioners hope to optimize the production, cost, and risk through the management of the upstream and downstream supply chain. A typical approach is to manage agricultural production decisions through contracts [10]. Therefore, the agricultural products supply chain in the agricultural field is embodied in the field of contract agricultural management (i.e., contract farming) [11,12,13]. Although considerable research related to contract agricultural management has been conducted, most studies focused on agricultural production decisions. For example, ref. [14] identified the optimal agricultural contract management decision under uncertain conditions, and [15] identified the optimal decision of agricultural contract management facing climate risks. Little research has focused on agricultural supply chain finance, and related research topics revolve around “value chain finance” [16,17]. However, value chain finance focuses more on nonprofit finance, and little research has addressed supply chain finance for commercial profit in the agricultural field. In recent years, with the development of inclusive finance and fintech, certain scholars have introduced blockchain and other such technologies into agricultural supply chain finance, examples of which can be found in [18,19,20,21].
Different from traditional finance, in supply chain finance, commercial banks have regressed from the dominant position to one of the participants [22]. In [23], the authors examined the use of big data by commercial banks to improve the efficiency of supply chain finance. Moreover, the authors of [24] studied interest rate decisions when commercial banks and e-commerce platforms jointly act as credit providers for merchants with financing constraints. Additionally, the authors of [25] found that under the third-party logistics guarantee, banks as credit providers are willing to provide credit status according to the extent of the changes of third-party logistics. However, few studies focused on commercial banks’ participation in agricultural supply chain finance. So far, ref. [26] is the only study in which authors evaluated the efficiency of supply chain finance loans of a sample of 20 major Chinese commercial banks using data envelopment analysis.
In summary, there are still great deficiencies in the research of agricultural products supply chain finance of commercial banks. The main manifestations of these deficiencies are as follows: First, there are few studies on for-profit agricultural products supply chain finance, and most of those that have been published focus on value chain finance with a public welfare background. Second, there is a lack of research on the operational level of the agricultural products supply chain of commercial banks. At present, most of the relevant research on supply chain finance of commercial banks mainly focuses on the strategic level (i.e., risk management and efficiency), with little attention on the operational level.
The purpose of this study is, firstly, to evaluate the service capability of commercial banks in agricultural supply chain finance, providing a decision-making reference for the implementation of agricultural supply chain finance by commercial banks. Based on the evaluation, it aims to construct a fusion of “commercial bank service capability-agricultural supply chain finance model-characteristics of served entities” to provide reference for the successful implementation of the agricultural supply chain finance model by commercial banks. In light of this, the primary research questions addressed in this study are: firstly, what is the unique capability generation mechanism in commercial bank agricultural supply chain finance? And secondly, what are the operational strategies for successful implementation of commercial bank agricultural supply chains? Under the constraint of commercial bank agricultural supply chain finance service capability, and considering the characteristics of both the agricultural supply chain finance model and the served entities, the process of their fusion is a typical bilateral matching problem. Therefore, this paper adopts a bilateral matching model to construct the “capability-mode-customer” fusion entity and utilizes a comprehensive evaluation method to assess the service capability of commercial banks in agricultural supply chain finance.
Therefore, the marginal contribution of this paper can be summarized in the following two aspects: First, the operational problem of agricultural products supply chain finance of commercial banks is transformed into the matching problem of the supply chain finance model and the served objects, which has not been applied in previous studies. Second, when making matching decisions, the ability of commercial banks to provide agricultural products supply chain financial services is considered, which is more in line with reality.

3. Construction of the “Model-Capability-Customer” Matching Model of Agricultural Products Supply Chain Finance of Commercial Banks

According to the supply chain financial mode of the commercial bank, serviceability and the service object of the agricultural products supply chain financial service system (i.e., the customer) can be expressed as follows: Under the constraints of commercial bank supply chain financial serviceability, the agricultural products supply chain finance model needs to match the service object to simultaneously satisfy both the commercial bank and the customer. The specific process is described in detail in Figure 1.
According to Figure 1, it is assumed that commercial banks are in the dominant position and can thus enhance their ability to serve the supply chain finance of agricultural products by changing their own resource input; they can also increase the matching supply chain finance model through business model innovation. m < n farmers or agricultural producers hold a subordinate position, but customers can determine whether to accept agricultural supply chain financial services based on their own level of satisfaction. Because each agricultural product supply chain finance model can match multiple customers, the specific number of matchings depends on the ability of commercial banks to provide agricultural product supply chain finance services. Therefore, this is an extended bilateral matching problem. This paper uses the extended bilateral matching decision theory to construct the matching decision model of the “model-ability-customer” system of agricultural products supply chain finance of commercial banks.

3.1. Bilateral Matching Decision Theory and Method

Bilateral matching refers to the situation in which two groups exist (i.e., bilateral), where one or more subjects (or members) of one group match one or more subjects (or members) of the other group. Historically, bilateral matching theory was first proposed by Kinkead and T (1960) in The New Yorker magazine, which was published on 10 September 1960 [27]. According to formal expression, the bilateral matching problem reflects the process of obtaining the optimal matching of the bilateral subject through certain algorithms according to the preference information of the other subject given by the matching subject. In the bilateral matching problem, the result obtained by bilateral matching is usually referred to as the matching scheme, which represents a set of matching pairs formed by bilateral subjects (see Figure 2).
The bilateral matching problem mainly includes the four basic elements of bilateral subject, matching intermediary, preference information, and optimization goal. Bilateral subjects include the participants or objects of the bilateral matching problem, for which two different individual compositions exist in the finite set; these are the agricultural products supply chain finance model and the service object. The matching intermediary is the decision-maker of the bilateral matching problem. Here, the intermediaries are the individual, institutional, or decision support system responsible for bilateral matching. In this paper, this refers to the banks engaged in agricultural products supply chain financial services. Preference information is the expectation and requirement of the other subject, the preference of the other subject, or the utility of matching the other individual. The optimization objective is the criterion for matching mediation to select the optimal matching scheme from a finite number of matching schemes.
To facilitate the narrative, this paper calls the bilateral subject collection of Party A and Party B. In Figure 2, according to the matching of Party A: A = A 1 , A 2 , , A m ; Party B: B = { B 1 , B 2 , , B n } . Party A A i provides preference information P A i about all parties from a subset of set B j , while Party B B j provides preference information P B j about all parties from a subset of set A . The intermediary obtains the following optimal matching solution:
μ = A 1 , B t 1 , A 2 , B t 2 , , A m , B t m t p 1,2 , , n ,   p = 1,2 , , m
between Party A and Party B using a decision-making method.

3.2. Construction of the One-to-Many Matching System of the “Mode-Capability-Customer” Model for Agricultural Products Supply Chain Finance of Commercial Banks

To facilitate data processing, this subsection presents the “ability-mode-customer” system of agricultural products supply chain finance of commercial banks. Assuming that a commercial bank has designed m agricultural supply chain finance models, the set of these models is denoted as A = A 1 , A 2 , , A m , where A i represents the i -th agricultural supply chain finance model, and i I , I = 1,2 , , m . The bank serves a total of n farming households or agricultural producers. The set of these served entities can be represented as B = B 1 , B 2 , , B n , where B j j represents the j -th served entity, and i I , J = 1,2 , , n . Additionally, it is assumed that the i -th supply chain finance model, A i , can serve a specific number of clients, denoted as c i . This quantity is determined by the agricultural supply chain service capacity of the commercial bank; moreover, i = 1 m c i = d , denoted as D = 1,2 , , d , d D . Furthermore, it can be assumed that each client can only choose one supply chain finance service model. A client cannot simultaneously select and receive services from more than one supply chain finance service model. To represent the supply chain finance service capabilities of a commercial bank, the p -th capability is denoted as e p . The set of all bank supply chain finance service capabilities is denoted as E = e 1 , e 2 , , e p , where p 1,2 , , m . It is assumed that the number of clients each supply chain finance model can serve is determined by the supply chain finance service capabilities of the commercial bank. This relation can be represented as c i = ϕ i E , where ϕ i is the impact function of the bank’s supply chain finance service capabilities on the i -th agricultural supply chain financial model. Φ = ϕ 1 , ϕ 2 , , ϕ m represents a capability constraint system that collectively determines the service capabilities of agricultural supply chain finance models.
To realize the optimal matching of the agricultural product supply chain finance service mode of commercial banks and service customers, commercial banks must obtain the preference information of the matched parties. In this paper, the “preference order” is used to define the financial service model of the agricultural products supply chain and the preference information of the served customers. Let R i = r i 1 , r i 2 , , r i n represent the preference ranking of each served customer B j ( j J ) in set B by the agricultural supply chain financial service model A i provided by the commercial bank. Here, r i j indicates that model A i ranks client B j at the r i j -th position, where r i j J . Similarly, let T j = t 1 j , t 2 j , , t m j T represent the satisfaction ranking of each possible matched model A i ( i I ) from set A by client B j . For instance, client B j ranks model A 1 as t 1 j and model A 2 as t 2 j , with t m j expressing the rank of model A m . Here, t m j I .
It is important to note that the rankings in R i i I and T j j J are strict orderings, implying that when j k , r i j r i k , and when i l , t i j t l j . Here, j , k J and i , l I .
For convenience of analysis, the ranking matrices are constructed based on the preference vectors R = r i j m × n and T = t i j m × n .

4. Design of the “Mode-Capability-Customer” Matching Degree Index System

The agricultural products supply chain finance model for customer preference sorting is inseparable from the scientific and reasonable index system. Therefore, to obtain the preference information, the following content presents the design of the commercial banks agricultural products supply chain finance model “mode-ability-customer” matching degree of the measurement index system. This section introduces an index system designed to measure the alignment between the agricultural product supply chain financial model and customers. It consists of three main aspects: mode, capability, and customer. This index system considers the financial models, capabilities of banks, and characteristics/needs of agricultural producers. It allows for better assessment, providing both parties with improved financial services and cooperation opportunities.
The mode aspect includes four main financial models, and each model has specific requirements and advantages that cater to different types of agricultural producers. The capability aspect measures the bank’s financial strength, technological level, risk management ability, partner network, and transaction handling capability. These factors help agricultural producers evaluate the reliability and professionalism of banks and choose suitable financial partners. The customer aspect considers the credit history, production skills, scale, market influence, and financial service needs of agricultural producers. Understanding these characteristics aids commercial banks in offering appropriate financial models and services. By assessing the match level across these three factors, banks can determine their compatibility with agricultural producers. This assessment not only considers the alignment between the financial model and customer characteristics but also evaluates whether the bank’s capabilities can meet the customers’ needs. Ultimately, this index system enables banks to provide accurate and personalized supply chain financial services, enhancing customer satisfaction and efficiency.

4.1. Evaluation of the Matching Degree between Customers and This Model from the Perspective of the Agricultural Products Supply Chain Finance Model

There are four main agricultural products supply chain finance modes commercial banks offer (from the perspective of the relationship between commercial banks and logistics companies): “principal-agent”, “unified credit granting”, “joint entrustment”, and “joint venture” [28]. Different supply chain finance models are suitable for different agricultural producers. Therefore, commercial banks need to screen each agricultural producer who applies for supply chain finance financing. In this paper, an index system is built to “portray” the participants of agricultural supply chain finance, to judge whether the financing applicant is suitable for the agricultural supply chain finance model [29].

4.1.1. Characteristics of Producers Themselves

Supply chain finance customers for which the family is the basic production unit are presented first.

The Lender’s Credit History

This indicator directly reflects whether the lender has defaulted in his past financial activities. If such defaulting behavior is detected, the financial risk will increase substantially, where the higher the number of defaults, the higher the risk. This index has great reference value [30].

The Age of the Lender

In rural areas of China, the age of the lender is strongly related to their repayment ability, which generally presents an inverted U-shaped relationship. Specifically, the repayment ability before a certain age is weak, while the repayment ability after a certain age increases with increasing age, until the next inflection point. Therefore, this paper sets ages of (0–23) years to belong to the age group of prohibited loans. The repayment ability of customers aged (24–55) years gradually increases with increasing age, and the repayment ability of customers aged (56–60) years begins to weaken with further increasing age. After the age of (60) years, loans are also prohibited.

Number of Rural Households

The higher the number of family members, the greater the family expenses, and the easier it is for the economic burden to cause repayment difficulties. Therefore, in this paper, the number of family members is a very important indicator of repayment ability. This index should take full account of the total number of family members, including the elderly and children.

The Marital Status of the Lender

Only using the number of family members will lead to deviations in the evaluation of the repayment ability, but if this metric is combined with the marital status of the lender, the stability of the source of the repayment funds of the lender can be better judged. In general, farmers who are married have strong repayment ability, while farmers who are unmarried or divorced have weak repayment ability.

Education of the Lender

Considerable research has identified a clear positive correlation between education level, income level, and credit level. Therefore, in this paper, the information of lenders is reflected according to five grades of junior high school, senior high school, junior college, undergraduate student, and graduate student.

Professional Status of the Lender

This metric reflects whether the lender is only engaged in agricultural production, or in both agricultural production and other industries. Lenders who are only engaged in agricultural production have a weak repayment ability, but those who are also engaged in other industries have a strong repayment ability.

Social Relations of the Lender

The credit status reflecting the main social relations of the lender mainly includes the following two aspects: whether there is a loan default among relatives and friends, and the overall credit status of the village where the lender lives.
Agricultural products supply chain finance customers who have enterprises as the basic production unit meet modern enterprise standards and have a basic production management system and financial system. Therefore, the indicators to rank their preference degree mainly rely on financial indicators which include solvency, profitability, operation ability, and development ability.

4.1.2. Product Supply Chain Characteristics

Product supply chain characteristics include four aspects: whether the product is perishable, the credit levels of associated producers both upstream and downstream in the supply chain, the degree of uncertainty in the consumer market, and the degree of uncertainty associated with raw materials (i.e., the means of production) [31,32].

4.1.3. Production Technical Characteristics

Agriculture-related industries are widely distributed, resulting in complex and diverse production technology characteristics. These characteristics can be generally discussed at two levels: agricultural production technology and agricultural product processing technology.
The characteristics of agricultural production technology include three index requirements to which agricultural production must conform: the law of crop growth, the law of agricultural economy, and the realization of modernization and information [33].
The technical characteristics of the agricultural products processing industry—commonly known as “grain head and food tail” and “agricultural head and industrial tail”—connect rural areas, agriculture, and farmers with industry, cities, and residents. In this link, the agricultural products processing industry is the closest to agricultural production. It has both agricultural characteristics and industrial characteristics and is also an important service object of agricultural products supply chain finance. The indicators used to measure the technical characteristics of the agricultural products processing industry include the following five items: the degree of deep processing of agricultural products, the industrialization degree of production and sales, the degree of high-tech processing technology, the degree of comprehensive utilization of resources, and the degree of standardization of product quality [34].

4.1.4. Natural Risk Characteristics

Because the production of agricultural products is closely related to the natural environment, natural risk is a problem that must be considered by agriculture-related financial businesses. Natural risk includes four indicators: meteorological disasters, geological disasters, diseases and insect pests, as well as unconventional disasters. Of these indicators, while unconventional disasters (such as COVID-19) do not directly affect agricultural production, the resulting secondary derivative disasters (such as traffic interruption, lack of agricultural materials, and delay of agricultural hours) also seriously affect agricultural production and cause large-scale losses.
In short, commercial banks should fully consider the above risk factors when providing agricultural products supply chain finance services [35,36].

4.2. Evaluating the Satisfaction Brought by the Agricultural Product Supply Chain Finance Model from a Customer Perspective

As highlighted in this paper, the agricultural product supply chain finance market is a bilateral matching market. On the one hand, commercial banks will allocate their preference ranking of the served object according to the obtained customer information; on the other hand, customers will also allocate their preference ranking of the financial service mode according to the obtained information. For different agricultural supply chain finance models, farmers or agricultural processing enterprises need to obtain the following six metrics: the level of interest rate, whether collateral is needed, guarantee, financing convenience, the size of the financing scale, and the duration of the financing period. The complete indicator system is shown in Table S15 in Supplemental S3.

5. “Mode-Capability-Customer” Matching Degree/Satisfaction Calculation

In this section, index systems are constructed that rank the preference of served objects from the perspective of the agricultural supply chain finance model of commercial banks and from the perspective of served objects. The bilateral preference of the served objects and the commercial banks are constructed. First, a simple and practical satisfaction calculation algorithm was chosen, namely the comprehensive fuzzy evaluation method. Second, according to the index system presented in Table 1, the scoring standards for the serving objects were designed from the perspective of a supply chain finance model, and the scoring standards of commercial banks were designed from the perspective of customers (see Supplemental S1 and S2). Third, ten experts and eight customers of a branch of the Bank of China who applied for agricultural product supply chain finance loans within a certain week were selected and invited to participate in a questionnaire survey. Fourth, the weight of the first-level index is directly given by the evaluation experts according to their experience, and the weight of each second-level index is calculated by using the entropy value method, see Supplemental S3. Fifth, the comprehensive fuzzy evaluation method is used to calculate and rank the bilateral satisfaction preferences of the agricultural products supply chain finance service of commercial banks. Because of space constraints, Supplemental S1–S3 are attached as Supplemental Materials.

5.1. Collection Process of Preference Order Sorting Information

5.1.1. Basic Information Collection

In the first step, information on the served objects was collected. The totals of eight served objects, six farmers, and two agricultural products processing enterprises were sampled. The basic statistics of these served objects are shown in Table 1.
The two sampled agricultural products processing enterprises belong to small and micro agricultural enterprises with local characteristics, with annual output values of 3 million yuan and 7 million yuan, respectively. Commercial banks have obtained their financial statements.
In the second step, the basic characteristics of the agricultural product supply chain finance model of commercial banks are standardized. This basic information is shown in Table 2.

5.1.2. Questionnaires

In Section 4, a bilateral matching preference information index system has been established; however, to enable both bank experts and the service object to accurately rank their respective preferences according to the basic information collected, a standardized questionnaire is required. According to the designed index system, two questionnaires—the scoring standards of serving objects from the perspective of supply chain finance model and the scoring standards of agricultural products supply chain finance model of commercial banks from the perspective of customers—were designed, see Supplemental S1 and S2, respectively.

5.1.3. Questionnaire Issuance and Recovery

Ten experts were selected from the internal supply chain finance audit department of the bank, and questionnaires were issued. The matching degree score is given for each served object. The preference degree of four agricultural products supply chain finance models of commercial banks is sampled. After questionnaires were collected, data were prepared for calculating bilateral preference information.

5.2. Calculation of Bilateral Preference Ranking Results

5.2.1. Scoring by Service Objects from the Perspective of the Supply Chain Finance Model

Let S c o r e i j l m represent the score given by expert i from the perspective of the m supply chain finance model to j serviced objects on indicator l ; where, i 1,2 , j 1,2 , , 8 , l L , and L represent the set of indicators for object j that need to be evaluated. The specific scoring table is shown in Supplemental S1.
The preference score of the m supply chain finance model for the j serviced object is:
S c o r e j m = 1 / 2 i = 1 2 l L α l S c o r e i j l m
where α l represents the weight of the l indicator.

5.2.2. Scoring of the Agricultural Products Supply Chain Finance Model of Commercial Banks from the Perspective of Customers

Let S c o r e j p m represent the score given by serviced object j from its own perspective to the supply chain finance model m on indicator p ; where, j 1,2 , , 8 , m M , p P , and P represent the set of indicators the m supply chain finance model needs to be evaluated on. The specific scoring table is shown in Supplemental S2.
The preference score of the j serviced object for the m supply chain finance model is
S c o r e m j = p P β p S c o r e j p m
where β p represents the weight of the p indicator.

5.2.3. Bilateral Preference Ranking Results

The preference rankings were calculated by Formulas (1) and (2), and the results are shown in Table 3 and Table 4.

6. Solution Design of the Optimal Matching Model

6.1. One-to-Two Bilateral Matching Transforms into One-to-One Bilateral Matching

For the entity A i of Party A, as the desired number of matching entities from Party B is c i , A i can be considered as c i virtual entities with the same preferences as z, denoted as n, m, l, and k, where j can only be matched with one entity from Party B. The set of entity z formed by virtual entities is denoted as A ~ = A 1 1 , A 1 2 , , A 1 c 1 , A 2 1 , A 2 2 , , A 2 c 2 , , A m 1 , A m 2 , , A m c m , and the ordinal value vector of A i q regarding the set of entities from Party B, denoted as B , is R i q = R i = r i 1 , r i 2 , , r i n . For convenience of analysis, the set of entities from Party A is denoted as A ~ = A ~ 1 , A ~ 2 , , A ~ d and d = i = 1 m c i , where:
A ~ s = A 1 s , 1 s c 1 A 2 s c 1 , c 1 + 1 s c 1 + c 2 A m s k = 1 m 1 c k , c 1 + + c m 1 + 1 s c 1 + + c m
Correspondingly, the ordinal value vector of A ~ s s S regarding the set of entities from Party B is denoted as R ~ s = r ~ s 1 , r ~ s 2 , , r ~ s n , where:
r ~ s k = r 1 k , 1 s c 1 r 2 k , c 1 + 1 s c 1 + c 2 r m k , c 1 + + c m 1 + 1 s c 1 + + c m , k J
Regarding the Party B entity B j , because the collection of the Party A entity is A ~ = A ~ 1 , A ~ 2 , , A ~ d , the ordinal value vector regarding B j is extended to a d-dimensional vector. Let the ordinal value vector regarding A ~ be B j , where T ~ j = t ~ 1 j , t ~ 2 j , , t ~ d j T = t ~ 1 j 1 , , t ~ 1 j c 1 , t ~ 2 j 1 , , t ~ 2 j c 2 , , t ~ m j 1 , , t ~ m j c m T is the ordinal value regarding the Party A entity A i by t ~ i j q ; t ~ i j q is equal to the ordinal value regarding the Party A entity A i in the original problem, as follows:
t ~ i j q = t i j , i I , j J
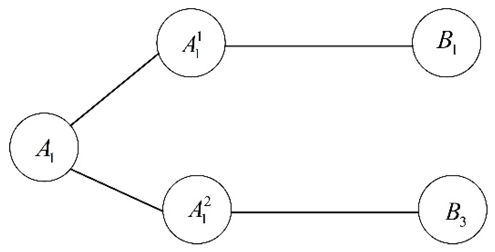
Figure 3 visually illustrates an example of how to transform a one-to-one bilateral match into a one-to-one bilateral match. In Figure 3, Mode 1 is recorded to match customer 1 and customer 3 (marked as B 1 and B 3 , respectively). This matching relationship is represented in Figure 4. Based on the above analysis, A 1 can be decomposed into virtual entities A 1 2 and A 1 1 , which have the same preference order as A 1 , where A 1 1 corresponds to B 1 and A 1 2 corresponds to B 3 . This process can be represented as shown in Figure 4.
For ease of analysis, based on the ordinal value vectors R ~ s s S and T ~ j j J , the ordinal matrices R ~ = r ~ s j d × n and T ~ = t ~ s j d × n are constructed. The one-to-many bilateral matching problem considered in this paper can be transformed into the following one-to-one bilateral matching problem: The first-party entity set is A ~ = A ~ 1 , A ~ 2 , , A ~ d , where A ~ s represents the s first-party entity, and s S ; the second-party entity set is B = B 1 , B 2 , , B n , where B j represents the j second-party entity, and j J ; the ordinal value matrix of the first-party entity set A ~ regarding the second-party entity set B is R ~ , and the ordinal value matrix of the second-party entity set B regarding the first-party entity set A ~ is T ~ . Considering the satisfaction of both first-party and second-party entities, the stability matching condition, and the capacity constraint of the commercial bank, a multi-objective optimization model is established to obtain the “optimal” stable matching result between A ~ and B through model solving.

6.2. Solving the Constructed Model

To solve the one-to-one bilateral matching problem after conversion, 0–1 variables x s j are introduced, where:
x s j = 1 , μ A ~ s = B j 0 , μ A ~ s B j
Because the one-to-one bilateral matching considered in this paper is transformed from one-to-many bilateral matching, it shows specific particularity, where R ~ s s S is strict order and T ~ j j J is not strict order. According to Definitions 3 and 4, in stable one-to-one bilateral matching μ , if μ A ~ s B j , then at least one of the following two conditions is met:
(1)
μ A ~ s = B k   B k B   r ~ s k < r ~ s j
(2)
μ A ~ l = B j   A ~ l A ~   t ~ l j t ~ s j
Otherwise, A ~ s , B j constitutes a μ-blocking stable pair.
The constraints for stable matching can be expressed as follows:
x s j + k : r ~ s k < r ~ s j x s k + l : t ~ l j t ~ s j , x l j 1 , s S , j J
Formula (5) is further explained below:
The value of A ~ s regarding B j is strictly ordered, while the value of B j regarding A ~ s may not be strictly ordered. k : r ~ s k < r ~ s j x s k = 1 indicates that B j matches a certain Party B entity that it assumes to be superior to A ~ s , otherwise k : r ~ s k < r ~ s j x s k = 0 ; l : t ~ l j t ~ s j x l j = 1 indicates that B j matches a certain Party A entity that it assumes to be not inferior to A ~ s , otherwise l : t ~ l j t ~ s j x l j = 0 . Therefore, if x s j = 0 , i.e., A ~ s and B j do not mutually match in μ , then ensuring that Formula (5) holds true requires at least one of k : r ~ s k < r ~ s j x s k and l : t ~ l j t ~ s j x l j to be equal to 1. According to Definition 3, A ~ s and A ~ s do not form a μ-blocking stable pair, which ensures that μ is a stable match. Because the order value given by the subject represents the satisfaction of the subject, the smaller the order value, the higher the satisfaction. Under the constraint of stable matching, the goal to minimize the sum of the following multi-target optimization model can be established.
min Z 1 = s = 1 d j = 1 n r ~ s j x s j
min Z 2 = s = 1 d j = 1 n t ~ s j x s j
s . t .                     j = 1 n x s j 1 , s S  
s = 1 m x s j 1 , j J
x s j + k : r ~ s k < r ~ s j x s k + l : t ~ l j t ~ s j x l j 1 , s S , j J
x s j 0,1 , s S , j J
In Formula (8a,b) are objective functions, which maximize the ordinal value of one side of the one-to-one matching μ , and minimize the sum of the ordinal values on one side. Equation (8c,d) are constraints for one-to-one matching. Equation (8c) implies that each Party A subject can only match one Party B subject at most, and Equation (8d) implies that each Party B subject can only match one Party A subject at most. Formula (8e) is the constraint condition of stable one-to-one bilateral matching, which ensures that the matching result obtained by solving Model (6) is stable.

6.3. Model Solution Algorithm Design

In general, d n . To solve the above multi-objective optimization Model (8), a weighted sum method is adopted to transform multi-objective optimization into single-objective optimization. Let w 1 and w 2 represent the weight Z 1 or Z 2 importance of the target sum, respectively, 0 w 1 , w 2 1 , w 1 + w 2 = 1 , and Model (8) can be converted into the following single-objective optimization model:
min Z = w 1 Z 1 + w 2 Z 2
s . t . j = 1 n x s j 1 , s S s = 1 m x s j 1 , j J x s j + k : r ~ s k < r ~ s j x s k + l : t ~ l j t ~ s j x l j 1 , s S , j J x s j 0,1 , s S , j J
The weight ( w k k = 1,2 ) reflects the importance of Party A and Party B in the actual matching decision. If w 1 > w 2 , the satisfaction of Party A is more preferred in the matching decision; if w 1 < w 2 , the satisfaction of Party B is more preferred in the matching decision; if w 1 = w 2 = 0.5 , the satisfaction of Party A and Party B are considered fairly.
The objective function and constraint in Model (9) are linear, and thus, they can be solved by integer programming. The problem studied in this paper is related to a certain period of time (such as a week). Given the order value preference information of many bilateral matching problems, the number of bilateral subjects is generally low. Therefore, the variable size in Model (9) is generally not excessively large, and thus usually, optimization software, such as Cplex version 12.8 and Gurobi version 10.3, can be used. If the scale is very large, heuristic algorithms or intelligent optimization algorithms can be designed to solve it.
In conclusion, the steps of solving the one-to-many stable bilateral matching problem based on the order value preference information are as follows:
Step 1: According to Formula (3), the virtual Party A subject collection A ~ is constructed.
Step 2: According to Equation (4), the ordinal value vector R ~ s of virtual principal entity R ~ s with respect to the set of principal entities B is determined, and the ordinal value matrix R ~ for A ~ with respect to B is established.
Step 3: According to Equation (5), the ordinal value vector A ~ of principal entity B j with respect to the set of virtual principal entities A ~ is determined, and the ordinal value matrix T ~ for B with respect to A ~ is established.
Step 4: The optimization Model (8) is established according to the order value matrix R ~ , T ~ , and Formula (7).
Step 5: The optimization Model (9) is built according to the optimization Model (8).
Step 6: The optimization Model (9) is solved and one-to-one bilateral matching results are obtained.
Step 7: The one-to-one bilateral matching result is determined based on the one-to-one bilateral matching result.

6.4. An Empirical Study

c 2 = c 3 = 1 . Suppose a commercial bank has four kinds of agricultural products supply chain finance models: A = A 1 , A 2 , A 3 , A 4 , in which Modes A 1 and A 2 can provide services for two customers, namely, c 1 = c 2 = 2 ; Modes A 3 and A 4 can only provide services for one customer. In the examined week, a total of eight customers applied for agricultural products supply chain financing, recorded as B = B 1 , B 2 , , B 8 . According to the method presented in Section 6.2 and Section 6.3, the order value vector ( R i = r i 1 , r i 2 , , r i s , i = 1,2 , 3,4 ) of each agricultural supply chain finance Model A i about customers ( B ) is obtained; further, the preference order value vector ( T j = t 1 j , t 2 j , t 3 j , t 4 j T j = 1,2 , , 8 ) of each customer B i about the agricultural supply chain finance model A is also obtained.
R 1 = 4,3 , 7,6 , 8,5 , 1,2 R 2 = 4,3 , 6,5 , 8,7 , 1,2 R 3 = 2,4 , 6,5 , 8,7 , 1,3 R 4 = 5,3 , 7,6 , 8,4 , 1,2 T 1 = 2,3 , 4,1 T T 2 = 3,2 , 4,1 T T 3 = 1,3 , 4,2 T T 4 = 2,4 , 3,1 T T 5 = 1,3 , 2,4 T T 6 = 4,3 , 2,1 T T 7 = 1,4 , 3,2 T T 8 = 1,2 , 3,4 T
To obtain the bilateral matching dismissal of agricultural supply chain finance and customers, the processes of calculation and the results given above are briefly described in the following:
Steps 1–3: According to Formulas (3)–(5), this problem is converted into a one-to-one bilateral matching problem, where A ~ = A ~ 1 , A ~ 2 , , A ~ 6 and B = B 1 , B 2 , , B 8 . The ordinal value matrix for A ~ with respect to B is R ~ = r ~ s j 6 × 8 , and the ordinal value matrix for B with respect to A ~ is T ~ = t ~ s j 6 × 8 .
R ~ = 4 3 7 6 8 5 1 2 4 3 7 6 8 5 1 2 4 3 6 5 8 7 1 2 4 3 6 5 8 7 1 2 2 4 6 5 8 7 1 3 5 3 7 6 8 4 1 2 T ~ = 2 3 1 2 1 4 1 1 2 3 1 2 1 4 1 1 3 2 3 4 3 3 4 2 3 2 3 4 3 3 4 2 4 4 4 3 2 2 3 3 1 1 2 1 4 1 2 4
Steps 4 and 5: Based on R ~ , T ~ , and Formula (7), a multi-objective optimization Model (8) is established, the Gurobi software package is used to solve the model, and Z 1 m i n , Z 1 m a x , Z 2 m i n , and Z 2 m a x are obtained.
Step 6: Based on Model (8), Formulas (9) and (10), and considering the fairness of both parties, w 1 = w 2 = 0.5 , which obtains the following 0–1 planning model:
min Z = s = 1 6 j = 1 8 1 2 r ~ s j + 1 2 t ~ s j x s j
s . t . j = 1 n x s j 1 , s = 1,2 , , 6 s = 1 m x s j 1 , j = 1,2 , , 8 x s j + k : r ~ s k < r ~ s j x s k + l : t ~ l j t ~ s j x l j 1 , s = 1,2 , , 6 , j = 1,2 , , 8 x s j 0,1 , s = 1,2 , , 6 , j = 1,2 , , 8
Steps 7 and 8: To solve the above model using the Gurobi software package, the following solution is obtained:
X * = x s j * 6 × 8 = 0 0 0 0 0 0 0 1 0 0 0 0 0 0 1 0 1 0 0 0 0 0 0 0 0 0 1 0 0 0 0 0 0 0 0 1 0 0 0 0 0 1 0 0 0 0 0 0
At this point, Z * = 33 and the obtained optimal matching result is μ * = A ~ 1 , B 8 , A ~ 2 , B 7 , A ~ 3 , B 1 , A ~ 4 , B 3 , A ~ 5 , B 4 , A ~ 6 , B 2 , B 5 , B 5 , B 6 , B 6 . Specifically, A ~ 1 matches B 8 , A ~ 2 matches B 7 , A ~ 3 matches B 1 , A ~ 4 matches B 3 , A ~ 5 matches B 4 , A ~ 6 matches B 2 , and B 5 and B 6 are not matched.
The above matching results represent the one-to-one bilateral matching results after transformation. Because A ~ = A ~ 1 , A ~ 2 , , A ~ 6 is composed of the virtual subject, it has the following corresponding relationship with the subject in A = { A 1 , A 2 , A 3 , A 4 } : A ~ 1 and A ~ 2 correspond to A 1 , A ~ 3 and A ~ 4 correspond to A 2 , A ~ 5 corresponds to A 3 , and A ~ 6 corresponds to A 4 . Therefore, the optimal matching results of the original problem are:
μ * = A 1 , B 8 , A 1 , B 7 , A 2 , B 1 , A 2 , B 3 , A 3 , B 4 , A 4 , B 2 , B 5 , B 5 , B 6 , B 6
This implies that the agricultural supply chain finance Model (1) serves customers (7) and (8); the agricultural supply chain finance Model (2) serves customers 1 and 3; the agricultural supply chain Model (3) serves customer (4); and the agricultural supply chain finance Model (4) serves customer (2). Customers (5) and (6) remain unserved. As shown in Table 3, all supply chain finance models have the smallest preference for customer (5), as customer (5) is the least popular. The reason why customer (6) is not served is that this customer is not satisfied with supply chain finance service Models (1) and (2), which represent the strongest service capabilities.

7. Conclusions and Outlook

7.1. Research Findings and Innovative Points of Study

Supply chain finance features the characteristics of inclusive finance and is created to tackle the credit insufficiency and lack of collateral issues faced by small and medium-sized enterprises during the financing process. In the course of China’s agricultural modernization, small and medium-sized agricultural enterprises face severe financing constraints, with the difficulties and high costs of financing becoming the most challenging aspects of their operations. Moreover, numerous studies have shown that the primary reason for inhibiting rural financing is information asymmetry. Currently, with the development of new-generation information technologies such as mobile Internet, blockchain, artificial intelligence, and big data, supply chain finance is gaining momentum, providing opportunities for the growth of agricultural product supply chain finance. This paper, within this context, further explores how to better implement the agricultural products supply chain financial services of commercial banks to alleviate the financing plight of small and medium-sized agricultural enterprises to the greatest extent possible.
In previous research on agricultural product supply chain finance, scholars have only studied its unilateral implementation in agricultural enterprises or commercial banks. Firstly, some studies have indicated that enhancing the ability of agricultural enterprises to cope with inventory, market, and credit risks in supply chain finance is crucial. These studies suggest that agricultural enterprises can mitigate risks by strengthening internal management, optimizing supply chain coordination, and adopting viable financial tools. Their research findings emphasize the positive role of agricultural enterprises in supply chain finance and propose measures such as risk assessment and financing advice to help businesses address challenges [37]. Secondly, other studies emphasize the ability of commercial banks to apply technologies such as big data and blockchain in supply chain finance. They suggest that utilizing these technologies can enhance the efficiency and transparency of supply chain finance, further promoting the stable operation of agricultural product supply chains. These research findings call for commercial banks to actively keep up with technological advancements and incorporate them into supply chain finance models [38].
This paper, based on an extended two-sided matching decision model, creatively constructs a “mode-capability-customer” matching system. First, it builds a customer evaluation index system from the perspective of agricultural product supply chain finance models and constructs an evaluation index system for agricultural product supply chain finance models from the customer’s viewpoint. Second, through questionnaires and expert evaluation methods, it obtains the adaptability of the agricultural product supply chain finance model for customers and their satisfaction with it. Third, based on the proposed “mode-capability-customer” matching model for the agricultural products supply chain financial services of commercial banks, a case study is conducted using a specific bank as an example. Each step of the research is carried out from both the commercial bank and agricultural enterprise perspectives. Moreover, this paper focuses on the construction and practical validation of the “mode-capability-customer” matching system, without delving into specific technological applications. Therefore, the research results of this paper complement to some extent the findings of other studies. By focusing on the alignment between supply chain finance models and customer requirements, this paper provides a different perspective and solution to optimize supply chain finance services.
The following conclusions can be drawn: First, the model proposed in this paper can realize the effective matching of the agricultural supply chain finance model and customer satisfaction under the constraint of bank serviceability, thus greatly improving the chances of successful implementation of the agricultural products supply chain finance model by commercial banks. Second, questionnaire surveys and expert evaluation can obtain the satisfaction of different parties. Third, the operational research model based on the extended model can realize the optimal matching of both the supply chain finance model and service objects under the serviceability constraint. This study provides a theoretical basis for commercial banks to carry out inclusive financial services in rural areas, and provides countermeasures and suggestions for commercial bank supply chain finance, which has certain value in practice.

7.2. Towards International Practices

Internationally, supply chain finance has developed earlier with more diverse products, occupying an important position in foreign banking businesses. Especially during the 2008 US subprime mortgage crisis, supply chain finance played a crucial role in helping enterprises overcome funding shortages, further accelerating its rapid development. Currently, with the in-depth participation of modern information technology and logistics enterprises, modern supply chain finance has taken shape. It can be said that the development of supply chain finance abroad is a process of financial innovation. The “mode-capability-customer” matching system studied in this paper can have international applications, not limited to a specific country or agriculture alone. It can also be widely used in other industries such as manufacturing and services, customized to cater to the characteristics of banks in different countries to adapt to more in-depth applications. It can even be applied to other financial innovation domains, thus providing the optimal path for commercial banks and participating enterprises.
The differences in “mode-capability-customer” matching among different countries mainly stem from the characteristics of producers and customers, as well as the unique environmental factors of each country. Firstly, producers in different countries may be engaged in different types of businesses, leading to variations in the structure and scale of product supply chains. For example, in the agricultural sector, some countries may have large-scale grain cultivation and livestock industries, while others may focus more on the production of specific types of fruits or agricultural by-products. These different supply chain structures and scales directly impact the demand for and delivery of supply chain financial services.
Secondly, differences in production technology and natural risks between countries also affect the “mode-capability-customer” matching. Producers in different countries may differ in terms of technological proficiency, production processes, and equipment configurations. These differences directly influence the manner of collaboration and financial requirements between producers and supply chain financial institutions. Moreover, local climate conditions and other natural factors can also influence the stability and risks of supply chains, which need to be taken into consideration.
Lastly, customers in different countries have their own risk and return preferences. Enterprises and individuals from different countries may have varying demands for financial products and services, as well as differences in risk tolerance and profit expectations. Therefore, in terms of “mode-capability-customer” matching, it is necessary to holistically consider and adapt to the actual situations and needs of customers from different countries.
To achieve better “mode-capability-customer” matching, deep research and analysis are needed to understand the characteristics and demands of different countries. This may involve close collaboration with local producers, financial institutions, and policymakers to jointly explore and determine the optimal matching strategies and implementation methods. Additionally, drawing lessons from the experiences and successful practices of other countries is crucial, but we must also integrate them with local realities for innovation and customization, thereby promoting the development and application of supply chain finance in different countries. Through these efforts, we can better meet the financial needs of different countries, drive the healthy growth of supply chains, and promote sustainable economic development.

7.3. Suggestions for Policymakers

Furthermore, this paper has significant implications for policymakers in the agricultural finance sector. It is demonstrated that commercial banks’ serviceability is a critical factor for the success and effectiveness of agricultural product supply chain finance. Policymakers should take note of this and consider implementing targeted measures to encourage and incentivize commercial banks to enhance their serviceability capabilities. One potential policy approach is to establish a system of rewards or incentives for commercial banks that actively invest in improving their serviceability in the agricultural sector. This could include providing tax breaks, lower interest rates on loans, or subsidies for technology adoption and infrastructure development aimed at supporting agricultural supply chain finance. By encouraging commercial banks to prioritize serviceability, policymakers can foster a conducive environment for banks to develop tailored financial products and services for farmers, cooperatives, and other actors along the supply chain.
In addition, policymakers should explore collaborations and partnerships with relevant stakeholders, including industry associations, technology providers, and agricultural experts. By facilitating knowledge exchange and fostering collaboration, policymakers can create a platform for sharing best practices and promoting innovation in agricultural supply chain finance. This can lead to the development of more efficient and inclusive financing mechanisms that address the specific needs and challenges faced by agricultural producers. Moreover, policymakers should consider the importance of financial literacy and capacity-building initiatives targeted at farmers and other participants in the agricultural supply chain. By investing in educational programs and training, policymakers can empower individuals with the skills and knowledge necessary to effectively navigate and utilize supply chain finance options. This will not only improve the overall efficiency of the financial system but also enhance the resilience of agricultural businesses in the face of various economic and environmental challenges.

7.4. Research Outlook

Generally speaking, the developed model achieves the optimal matching of the agricultural supply chain finance model and customers under the constraints of banking serviceability and improves the successful implementation of the agricultural products supply chain financial services of commercial banks. However, the considered service capability is limited to the number of customers served by a single supply chain finance model, and additional capability constraints can be considered in the future.
It should be mentioned that this model assumes perfect information among all participants and no costs associated with matching. However, in reality, these assumptions may pose certain challenges. Firstly, there exists a situation of information asymmetry. As the demand side of the agricultural supply chain finance services, farmers may lack a comprehensive understanding of financial products and services. They may not be aware of the suitable financial products for their operations and development, and may also be unfamiliar with the service processes and application requirements provided by financial institutions. On the other hand, financial institutions possess more financial knowledge and specialized information. This information asymmetry can result in farmers being unable to fully understand the financial products and services they need, as well as accurately assess the risks and opportunities of supply chain finance.
Secondly, the cost associated with the matching process is another important consideration. Financial institutions need to invest manpower and resources in customer research, risk assessment, and fund allocation during the matching process. This may entail expenses such as consulting fees, costs related to investigations and research, and maintenance and updates of information systems. These costs can affect the profitability and efficiency of financial institutions and impact their enthusiasm and commitment to providing agricultural supply chain finance services.
One potential area of improvement for the index system is to consider factors that are difficult to quantify, such as the quality of the relationship between the commercial bank and the agricultural producer. This aspect plays a crucial role in the success of agricultural supply chain finance but is often overlooked due to its intangible nature. By incorporating relevant qualitative metrics or indicators into the index system, we can provide a more comprehensive evaluation of the overall performance and effectiveness of the supply chain finance ecosystem. In future research, exploring methodologies to incorporate and measure the quality of relationships between financial institutions and agricultural producers would enhance the accuracy and completeness of the index system. This could involve qualitative surveys, interviews, or case studies to capture stakeholders’ perspectives and experiences, ultimately resulting in a more holistic assessment of the supply chain finance landscape.
Moreover, the optimization model constructed in this paper is an integer planning model, and with increasing numbers of constraints, modes, and customers, solving this model becomes increasingly difficult. Alleviating this problem is one of the future research directions.

Supplementary Materials

The following supporting information can be downloaded at: https://www.mdpi.com/article/10.3390/su152316492/s1, Supplemental S1: evaluation criteria for the preference of served objects from the supply chain finance model perspective; Supplemental S2: score criteria of agricultural products supply chain finance model of commercial banks from the perspective of customers; Supplemental S3: data and calculation process.

Author Contributions

Conceptualization, Y.L.; formal analysis, Y.L.; investigation, Y.L.; methodology, Y.L.; writing—original draft, Y.L.; writing—review and editing, Q.L. All authors have read and agreed to the published version of the manuscript.

Funding

This research was supported by the Major Program of Philosophy and Social Science Research in Jiangsu University (Grant No. 2020SJZDA085), the China Postdoctoral Science Foundation (Grant Nos. 2023T160690 and 2019M662003), and the Jiangsu Planned Projects for Postdoctoral Research Funds (Grant No. 2019K171).

Institutional Review Board Statement

Not applicable.

Informed Consent Statement

Informed consent was obtained from all subjects involved in the study.

Data Availability Statement

The data that support the findings of this study are available on request from the corresponding author. The data are not publicly available due to privacy or ethical restrictions.

Acknowledgments

The financial support mentioned in the Funding part is gratefully acknowledged.

Conflicts of Interest

The authors declare no conflict of interest.

References

  1. Chen, X.; Liu, C.; Li, S. The Role of Supply Chain Finance in Improving the Competitive Advantage of Online Retailing Enterprises. Electron. Commer. Res. Appl. 2019, 33, 100821. [Google Scholar] [CrossRef]
  2. Guida, M.; Moretto, A.M.; Caniato, F.F.A. How to select a Supply Chain Finance Solution? J. Purch. Supply Manag. 2021, 27, 100701. [Google Scholar] [CrossRef]
  3. Wuttke, D.A.; Blome, C.; Heese, H.S.; Protopappa-Sieke, M. Supply Chain Finance: Optimal Introduction and Adoption Decisions. Int. J. Prod. Econ. 2016, 178, 72–81. [Google Scholar] [CrossRef]
  4. Lu, W.; Rober, L.X.; Frank, L.; Jose, B. Value creation in blockchain-driven supply chain finance. Inf. Manag. 2022, 59, 103510. [Google Scholar]
  5. Jena, S.K.; Padhi, S.S.; Cheng, T.C.E. Optimal selection of supply chain financing programmes for a financially distressed manufacturer. Eur. J. Oper. Res. 2023, 306, 457–477. [Google Scholar] [CrossRef]
  6. Xinhan, X.; Xiangfeng, C.; Fu, J.; Steve, B.; Yu, G.; Yifan, X. Supply chain finance: A systematic literature review and bibliometric analysis. Int. J. Prod. Econ. 2018, 204, 160–173. [Google Scholar]
  7. Shizhen, B.; Xuelian, J. Agricultural Supply Chain Financing Strategies under the Impact of Risk Attitudes. Sustainability 2022, 14, 8787. [Google Scholar] [CrossRef]
  8. Pan, W.; Di, L. Why Are Farmers Reluctant to Sell: Evidence from Rural China. Agriculture 2023, 13, 814. [Google Scholar] [CrossRef]
  9. Pfohl, H.C.; Gomm, M. Supply chain finance: Optimizing financial flows in supply chains. Logist. Res. 2009, 1, 149–161. [Google Scholar] [CrossRef]
  10. Jiguang, C.; Ying-Ju, C. The Impact of Contract Farming on Agricultural Product Supply in Developing Economies. Prod. Oper. Manag. 2021, 30, 2395–2419. [Google Scholar] [CrossRef]
  11. Kouvelis, P.; Zhao, W. Supply chain contract design under financial constraints and bankruptcy cost. Manag. Sci. 2016, 62, 2341–2357. [Google Scholar] [CrossRef]
  12. Raj, A.; Biswas, I.; Srivastava, S.K. Designing Supply Contracts for the Sustainable Supply Chain Using Game Theory. J. Clean. Prod. 2018, 185, 275–284. [Google Scholar] [CrossRef]
  13. Boyabatlı, O.; Kleindorfer, P.R.; Koontz, S.R. Integrating Long-Term and Short-Term Contracting in Beef Supply Chains. Manag. Sci. 2011, 57, 1771–1787. [Google Scholar] [CrossRef]
  14. Xinquan, L.; Xiaojing, S.; Ming, Y. Study on Coordination and Optimization of Contract Farming Supply Chain Based on Uncertain. Sci. Program. 2020, 2020, 8858812. [Google Scholar] [CrossRef]
  15. Xinping, W.; Shengnan, S. Optimal Decisions for Contract Farming under Weather Risk. Discret. Dyn. Nat. Soc. 2022, 2022, 9668872. [Google Scholar] [CrossRef]
  16. Swamy, V.; Dharani, M. Analyzing the agricultural value chain financing: Approaches and tools in India. Agric. Financ. Rev. 2016, 76, 211–232. [Google Scholar] [CrossRef]
  17. Savita, S. Innovation in Agriculture Financing Using Inter-Organizational Governance Flexibility: Case Study of an Agriculture Value Chain Financier in India. Glob. J. Flex. Syst. Manag. 2022, 23 (Suppl. S1), 65–75. [Google Scholar] [CrossRef]
  18. Zhang, D. The innovation of agricultural financing mode of block chain technology. J. Clean. Prod. 2020, 270, 122194. [Google Scholar] [CrossRef]
  19. Mukherjee, A.A.; Singh, R.K.; Mishra, R.; Bag, S. Application of blockchain technology for sustainability development in agricultural supply chain: Justification framework. Oper. Manag. Res. 2022, 15, 46–61. [Google Scholar] [CrossRef]
  20. Hofmann, E.; Strewe, U.M.; Bosia, N. Supply Chain Finance and Blockchain Technology: The Case of Reverse Securitisation; Springer: Berlin/Heidelberg, Germany, 2017. [Google Scholar]
  21. Wang, K.; Xie, W.; Wu, W.; Baker, M.; Zhou, Q. Simulation-based Digital Twin Development for Blockchain Enabled End-to-end Industrial Hemp Supply Chain Risk Management. In Proceedings of the 2020 Winter Simulation Conference, Orlando, FL, USA, 14–18 December 2020. [Google Scholar]
  22. Nina, Y.; Baowen, S.; Hui, Z.; Chongqing, L. A partial credit guarantee contract in a capital-constrained supply chain: Financing equilibrium and coordinating strategy. Int. J. Prod. Econ. 2016, 173, 122–133. [Google Scholar] [CrossRef]
  23. Jui-Long, H.; Wu, H.; Jiancheng, S. Big data analytics for supply chain relationship in banking. Ind. Mark. Manag. 2020, 86, 144–153. [Google Scholar] [CrossRef]
  24. Honglin, Y.; Zhiyuan, Z.; Qiang, Y.; Hong, W. Mixed financing Scheme in a capital-constrained supply chain: Bank credit and e-commerce platform financing. Int. Trans. Oper. Res. 2022, 29, 2423–2447. [Google Scholar] [CrossRef]
  25. Xuejiao, W.; Jie, Z.; Hongjun, Z.; Xuelian, T. The Impact of the Scale of Third-Party Logistics Guaranteeing Firms on Bank Credit Willingness in Supply Chain Finance: An ERP Study. Front. Psychol. 2022, 13, 853888. [Google Scholar] [CrossRef]
  26. Jianguo, Z.; Yuwei, H.; Min, K. Agricultural loan efficiency in centralized bank supply chains with fairness concern: A DEA based analysis. Ind. Manag. Data Syst. 2021, 121, 839–855. [Google Scholar] [CrossRef]
  27. Kinkead, K.T. The Brightest Ever; NewYorker: New York, NY, USA, 1960; Volume 36, pp. 132–181. [Google Scholar]
  28. van Bergen, M.; Steeman, M.; Reindorp, M.; Gelsomino, L. Supply chain finance schemes in the procurement of agricultural products. J. Purch. Supply Manag. 2019, 25, 172–184. [Google Scholar] [CrossRef]
  29. Du, M.; Chen, Q.; Xiao, J.; Yang, H.; Ma, X. Supply Chain Finance Innovation Using Blockchain. IEEE Trans. Eng. Manag. 2020, 67, 1045–1058. [Google Scholar] [CrossRef]
  30. Wu, Y.; Li, X.; Liu, Q.; Tong, G. The Analysis of Credit Risks in Agricultural Supply Chain Finance Assessment Model Based on Genetic Algorithm and Backpropagation Neural Network. Comput. Econ. 2022, 60, 1269–1292. [Google Scholar] [CrossRef]
  31. Yuan, Z.; Lian, D.; Zhang, G. Risk Assessment of Agricultural Products Supply-Chain Finance Based on D-S Theory. Am. J. Comput. Math. 2014, 4, 366–375. [Google Scholar]
  32. Kong, Y.Y.; Sheng, L.; Wang, H.S.; Zhu, K. Supply Chain Finance Performance Based on System Dynamics. In Proceedings of the 2nd International Conference on Information Science and Engineering, Hangzhou, China, 4–6 December 2010; pp. 6211–6214. [Google Scholar]
  33. Zhang, T.; Li, J.; Jiang, X. Analysis of supply chain finance based on blockchain. Procedia Comput. Sci. 2021, 187, 1–6. [Google Scholar] [CrossRef]
  34. Li, J.; Zhu, S.; Zhang, W.; Yu, L. Blockchain-driven Supply Chain Finance Solution for Small and Medium Enterprises. Front. Eng. Manag. 2020, 7, 500–511. [Google Scholar] [CrossRef]
  35. Thomaz, L.F.; Oliveira MF, D. International Agricultural Trade Policy: Interests, Institutions and Information in the Corn Supply Chain. Braz. Political Sci. Rev. 2016, 10, 1–27. [Google Scholar] [CrossRef]
  36. Náñez Alonso, S.L.; Jorge-Vazquez, J.; Reier Forradellas, R.F.; Ahijado Dochado, E. Solutions to Financial Exclusion in Rural and Depopulated Areas: Evidence Based in Castilla y León (Spain). Land 2022, 11, 74. [Google Scholar] [CrossRef]
  37. Gelsomino, L.M.; Mangiaracina, R.; Perego, A.; Tumino, A. Supply Chain Finance: A Literature Review. Int. J. Phys. Distrib. Logs Manag. 2016, 46, 348–366. [Google Scholar] [CrossRef]
  38. Saberi, S.; Kouhizadeh, M.; Sarkis, J.; Shen, L. Blockchain Technology and Its Relationships to Sustainable Supply Chain Management. International. J. Prod. Res. 2019, 57, 2117–2135. [Google Scholar] [CrossRef]
Figure 1. Schematic diagram of the matching of agricultural products supply chain finance with customers.
Figure 1. Schematic diagram of the matching of agricultural products supply chain finance with customers.
Sustainability 15 16492 g001
Figure 2. Graphical representation of the bilateral matching problem.
Figure 2. Graphical representation of the bilateral matching problem.
Sustainability 15 16492 g002
Figure 3. Schematic showing a bilaterally matched pair.
Figure 3. Schematic showing a bilaterally matched pair.
Sustainability 15 16492 g003
Figure 4. One-to-one bilateral matching diagram.
Figure 4. One-to-one bilateral matching diagram.
Sustainability 15 16492 g004
Table 1. Basic information on the 16 farmers.
Table 1. Basic information on the 16 farmers.
Farmer HouseholdLender’s Credit HistoryAge of the LenderNumber of Farmer Household PopulationMarital Status of the LenderEducation Level of the LenderOccupational Status of the LenderSocial Relationship of the Lender
AGood454MarriedSecondary vocationalEngagement in industry or projectImmediate family members are mainly farm workers
BCar loan overdue once333MarriedSenior middle schoolEngagement in industry or projectBusiness operators include immediate family members
CGood384MarriedJunior middle schoolEngagement in industry or projectImmediate family members are mainly farm workers
DTelecom payments in arrear twice552DissociatonJunior middle schoolnot haveImmediate family members are mainly farm workers
EStudent loan was overdue once281UnmarriedUniversitynot haveImmediate family members are mainly farm workers
FGood363MarriedSenior middle schoolEngagement in industry or projectImmediate family members are mainly farm workers
Table 2. Basic information of the four kinds of supply chain finance.
Table 2. Basic information of the four kinds of supply chain finance.
Project ModeRelationship between Banks and Logistics EnterprisesCredit Main BodyStorage MethodRegulatory MethodsFinancing Object RequirementsRequirements for the Fourth-Party LogisticsRequirements for Pledged Agricultural Products
Agency by agreementAgency by agreementBankPublic storageStatic or dynamic regulationHigherHigherHigh
Unified creditCreditLogistics enterprisesPublic storage or local storageDynamic regulationLowHighLow
Co-commissionedAgency by agreementBankPublic storageDynamic regulationLowerLowerHigher
Jointly ownedPartnership, cooperation, joint ventureLogistics and financial service institutionsAccording to customer needs and the conditions of the tailored pledged agricultural productsAccording to the customer needs and the conditions of the tailored pledged agricultural productsLowerLowerLower
Table 3. Score table of supply chain finance model on customer preference.
Table 3. Score table of supply chain finance model on customer preference.
Client12345678
Pattern
12.752.932.642.732.212.674.403.30
22.783.152.602.712.332.494.513.97
33.313.102.772.872.312.594.393.23
42.973.092.612.622.223.064.363.51
Table 4. Customer preference for supply chain finance model.
Table 4. Customer preference for supply chain finance model.
Client12345678
Pattern
13.693.843.403.613.822.914.133.78
23.503.953.113.133.503.043.163.67
33.183.433.063.273.673.293.733.50
43.694.003.303.843.443.563.912.46
Disclaimer/Publisher’s Note: The statements, opinions and data contained in all publications are solely those of the individual author(s) and contributor(s) and not of MDPI and/or the editor(s). MDPI and/or the editor(s) disclaim responsibility for any injury to people or property resulting from any ideas, methods, instructions or products referred to in the content.

Share and Cite

MDPI and ACS Style

Li, Y.; Liu, Q. The Operational Mechanism of Agricultural Products Supply Chain Finance Based on the Mode-Capability-Customer Matching Approach. Sustainability 2023, 15, 16492. https://doi.org/10.3390/su152316492

AMA Style

Li Y, Liu Q. The Operational Mechanism of Agricultural Products Supply Chain Finance Based on the Mode-Capability-Customer Matching Approach. Sustainability. 2023; 15(23):16492. https://doi.org/10.3390/su152316492

Chicago/Turabian Style

Li, Yang, and Quanlong Liu. 2023. "The Operational Mechanism of Agricultural Products Supply Chain Finance Based on the Mode-Capability-Customer Matching Approach" Sustainability 15, no. 23: 16492. https://doi.org/10.3390/su152316492

APA Style

Li, Y., & Liu, Q. (2023). The Operational Mechanism of Agricultural Products Supply Chain Finance Based on the Mode-Capability-Customer Matching Approach. Sustainability, 15(23), 16492. https://doi.org/10.3390/su152316492

Note that from the first issue of 2016, this journal uses article numbers instead of page numbers. See further details here.

Article Metrics

Back to TopTop