Application of the Decision-Making Trial and Evaluation Laboratory Method to Assess Factors Influencing the Development of Cycling Infrastructure in Cities
Abstract
:1. Introduction
- The integration of bicycles with the existing transport system, most often based on buses and trams, as well as developing a solution enabling efficient and convenient changing from one means of transport to another.
- Topography and other natural obstacles that prevent or significantly hamper the construction of bicycle infrastructure.
- Society’s attitude towards cycling; often, convincing people to change their means of transport requires a long-term promotional programme.
- Which factors influence the development of bicycle infrastructure?
- What is the role and interdependence of these factors in the analysed process?
- Which factors are prioritised in the development of bicycle infrastructure?
- Are there differences between the opinions of bicycle users and the experts professionally involved in the development of bicycle paths in assessing the importance of the factors indicated?
2. Literature Review
2.1. Issues Related to the Development of Bicycle Paths
2.2. The Use of the DEMATEL Method in Transport Infrastructure Sector Research
2.3. Gap Analysis and Research Highlights
3. Materials and Methods
3.1. Identification of Factors Influencing the Development of Bicycle Paths
3.2. The Methodology for Determining Key Factors
3.3. DEMATEL Technique
- Individual questionnaire survey results are aggregated independently to obtain the average direct influence matrix X* in the case of complete survey results (Xe* in the case of results based on the opinions of the invited experts only) to define the direct influence structure of the factors.
- The average influence X matrix is derived for the case of complete survey results according to Table 2 (Xe in the case of the application of the expert-related results only).
- The total influence matrix T is obtained according to Table 3 (Te in the case of the results provided by the opinions of the experts only) to obtain the structure of the total influence of the considered factors.
- Prominence and relation indices are calculated for each factor according to Table 3 to develop cause–effect diagrams for the factors.
- The net total influence matrix Tnt is derived in the case of complete survey results according to Table 3 (Tnt e in the case of the application of the expert-related results only).
3.4. Input Data
- An administration employee involved in the planning of bicycle paths;
- An administration employee dealing with the development of bicycle paths;
- An administration employee involved in the planning and designing of transport systems in prepared planning documents;
- An administration employee involved in the monitoring of bicycle paths;
- An administration employee involved in the strategic management of city development.
- For commuting to work most days of the year;
- For commuting to work only during the summer months;
- For recreational purposes.
- 3 (bold line style);
- 2 (dashed line style);
- 1 (dotted line style).
4. Results
4.1. Overall Questionnaire Survey
4.2. Expert Opinion-Based Questionnaire Survey Results
5. Discussion
- The planning of bicycle paths, taking into account the separation of individual paths and their continuity, coherence, and length;
- Regulations promoting cycling in the field of transport policy;
- The elimination of obstacles;
- The design of bicycle paths, taking into account the safety, space management, terrain, and attractiveness of the surroundings in particular
- that play key roles in the planning and design of bicycle paths.
- Promotion of cycling by employers;
- Introduction of bicycle-sharing systems;
- Information campaigns encouraging society to cycle for health and environmental protection.
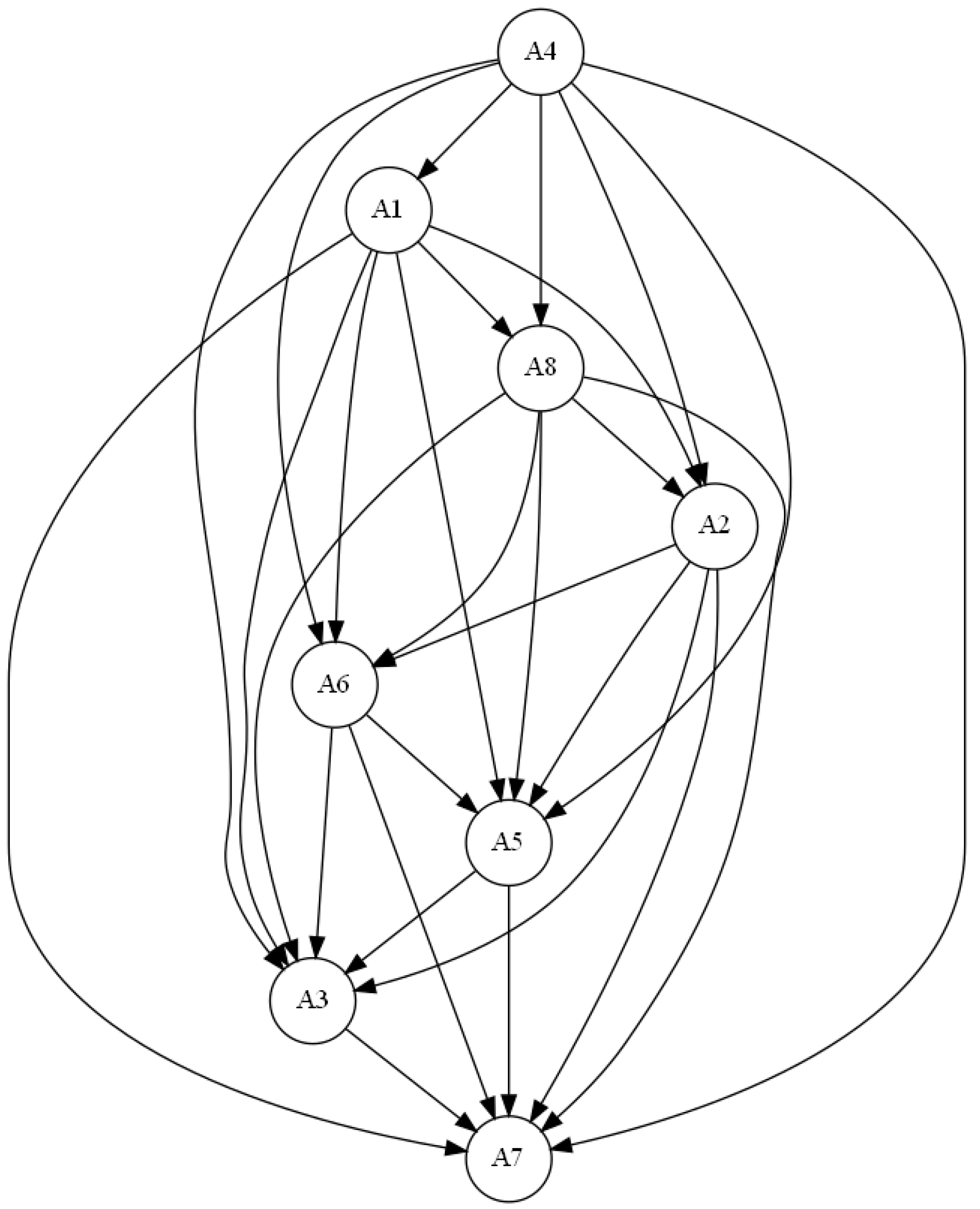
- comprise undoubted effects, while the development of infrastructure in the form of bicycle parking lots and parking spaces plays a rather neutral role concerning the transmission of total influence between the considered factors. Note that this observation is compliant with a hierarchical digraph presenting a net total influence structure in Figure 6. This is because all the causes are located in the upper part of the structure, and all the effects are present in the lower part, with the neutral factor located just in between.
- The design of bicycle paths, taking into account the safety, space management, terrain, and attractiveness of the surroundings.
- Regulations promoting cycling in the field of transport policy.
- The planning of bicycle paths, taking into account the separation of individual paths and their continuity, coherence and length.
- This time, one of the causal factors (the elimination of obstacles) is also located in the upper left quarter, and such a location weakens its significance, a little bit, amongst the identified causes due to a lower connection with the other factors.
- Information campaigns encouraging society to cycle for health and environmental protection profits from the occupation of the lower right quarter in Figure 7 because of its considerably stronger connection with the other factors than the other two remaining effects (introduction of bicycle-sharing systems and promotion of cycling by employers), which are located in the lower left quarter.
- Regulations promoting cycling in the field of transport policy;
- The elimination of obstacles;
- The planning of bicycle paths, taking into account the separation of individual paths and their continuity, coherence, and length.
- The introduction of bicycle-sharing systems.
- The development of infrastructure in the form of bicycle parking lots and parking spaces.
- The resulting hierarchical net total influence structure (see Figure 8) acknowledges the above conclusions again. This is because four causes are located in the upper levels of the structure, and the effects occupy its lower levels.
6. Conclusions
- The identification of the roles of the factors (cause–effect);
- The prioritisation of the factors;
- The indication of differences between the opinions of bicycle users and experts professionally involved in the development of bicycle paths.
- The designing of bicycle paths, taking into account the safety, space management, terrain, and attractiveness of the surroundings;
- The planning of bicycle paths, taking into account the separation of individual paths and their continuity, consistency, and length;
- The legal regulations promoting cycling;
- The elimination of technical difficulties on bicycle paths.
- The planning of bicycle paths, taking into account the separation of individual paths and their continuity, consistency, and length;
- The elimination of technical difficulties on bicycle paths;
- The legal regulations promoting cycling;
- The design of bicycle paths, taking into account the safety, space management, terrain, and attractiveness of the surroundings.
Author Contributions
Funding
Institutional Review Board Statement
Informed Consent Statement
Data Availability Statement
Conflicts of Interest
References
- Jarosz, A.; Springer, B. Polska Polityka Rowerowa Na Tle Dobrych Praktyk Europejskich. Athenaeum Pol. Stud. Politol. 2021, 70, 122–140. [Google Scholar] [CrossRef]
- Liszka, A. Cycling as an Integral Part of an Ecological Urban Transportation—Cycling Policy of Poznan against European Best Practices. Sci. J. Pozn. Univ. Technol. Ser. Organ. Manag. 2013, 60, 75–88. [Google Scholar]
- Najwyższa Izba Kontroli. Utrzymanie i Rozwój Miejskich Sieci Infrastruktury Rowerowej. 2022. Available online: https://www.nik.gov.pl/plik/id,27486,vp,30301.pdf (accessed on 16 October 2023).
- Strategia Rozwoju Krakowa “Tu Chcę Żyć. Kraków 2030”. Kraków. Available online: https://strategia.krakow.pl/252788,artykul,strategia_rozwoju_krakowa.html (accessed on 16 October 2023).
- Program Budowy Dróg Dla Rowerów. Kraków. 2020. Available online: https://inwestycje.krakow.pl/investment/303 (accessed on 17 October 2023).
- Studium Podstawowych Tras Rowerowych Miasta Krakowa. Kraków. 2019. Available online: https://www.bip.krakow.pl/?dok_id=124360 (accessed on 16 October 2023).
- De Vos, J. Do People Travel with Their Preferred Travel Mode? Analysing the Extent of Travel Mode Dissonance and Its Effect on Travel Satisfaction. Transp. Res. Part A Policy Pract. 2018, 117, 261–274. [Google Scholar] [CrossRef]
- Ismael, K.; Duleba, S. Understanding the Motivation and Satisfaction of Private Vehicle Users in an Eastern European Country Using Heterogeneity Analysis. Vehicles 2022, 4, 409–419. [Google Scholar] [CrossRef]
- Páez, A.; Whalen, K. Enjoyment of Commute: A Comparison of Different Transportation Modes. Transp. Res. Part A Policy Pract. 2010, 44, 537–549. [Google Scholar] [CrossRef]
- Stępień-Słodkowska, M.; Ustianowski, P.; Krajewska-Pędzik, A. “Bike S Szczeciński Rower Miejski” Jako Przedsięwzięcie Prowadzące Do Wzrostu Jakości Życia Mieszkańców. Handel Wewnętrzny 2017, 4, 233–242. [Google Scholar]
- Roman, M. Rozwój Liniowej Infrastruktury Transportu Rowerowego w Województwie Mazowieckim. Ekon. I Organ. Logistyki 2017, 2, 73–80. [Google Scholar] [CrossRef]
- Kiani, B.; Mamiya, H.; Thierry, B.; Firth, C.; Fuller, D.; Winters, M.; Kestens, Y. The Temporal Sequence between Gentrification and Cycling Infrastructure Expansions in Montreal, Canada. Habitat. Int. 2023, 139, 102899. [Google Scholar] [CrossRef]
- Woodward, H.; Schroeder, A.; de Nazelle, A.; Pain, C.C.; Stettler, M.E.J.; ApSimon, H.; Robins, A.; Linden, P.F. Do We Need High Temporal Resolution Modelling of Exposure in Urban Areas? A Test Case. Sci. Total Environ. 2023, 885, 163711. [Google Scholar] [CrossRef]
- Ribeiro, P.J.G.; Dias, G.J.C.; Mendes, J.F.G. Health-Oriented Routes for Active Mobility. J. Transp. Health 2022, 26, 101410. [Google Scholar] [CrossRef]
- Pazzini, M.; Cameli, L.; Lantieri, C.; Vignali, V.; Dondi, G.; Jonsson, T. New Micromobility Means of Transport: An Analysis of E-Scooter Users’ Behaviour in Trondheim. Int. J. Environ. Res. Public Health 2022, 19, 7374. [Google Scholar] [CrossRef] [PubMed]
- Boogaard, H.; Borgman, F.; Kamminga, J.; Hoek, G. Exposure to Ultrafine and Fine Particles and Noise during Cycling and Driving in 11 Dutch Cities. Atmos. Environ. 2009, 43, 4234–4242. [Google Scholar] [CrossRef]
- da Cunha Ramos, T.; da Silva, A.N.R.; de Souza, L.C.L.; Dekoninck, L.; Botteldooren, D.; Teixeira, I.P. Exposição de Ciclistas Ao Ruído Em Uma Cidade Média Brasileira. Ciência Saúde Coletiva 2020, 25, 2891–2902. [Google Scholar] [CrossRef] [PubMed]
- Nuñez, J.; Teixeira, I.; Silva, A.; Zeile, P.; Dekoninck, L.; Botteldooren, D. The Influence of Noise, Vibration, Cycle Paths, and Period of Day on Stress Experienced by Cyclists. Sustainability 2018, 10, 2379. [Google Scholar] [CrossRef]
- Eryiğit, S.; Ter, Ü. The Effects of Cultural Values and Habits on Bicycle Use-Konya Sample. Procedia Soc. Behav. Sci. 2014, 140, 178–185. [Google Scholar] [CrossRef]
- Dzieniowska, A.; Dolińska, I. Transport Rowerowy Jako Uzupełnienie Systemu Transportowego Polskich Miast. Transp. Samoch. 2017, 4, 41–50. [Google Scholar]
- Zayed, M.A. Towards an Index of City Readiness for Cycling. Int. J. Transp. Sci. Technol. 2016, 5, 210–225. [Google Scholar] [CrossRef]
- Basu, S.; Vasudevan, V. Effect of Bicycle Friendly Roadway Infrastructure on Bicycling Activities in Urban India. Procedia Soc. Behav. Sci. 2013, 104, 1139–1148. [Google Scholar] [CrossRef]
- Buehler, R. Determinants of Bicycle Commuting in the Washington, DC Region: The Role of Bicycle Parking, Cyclist Showers, and Free Car Parking at Work. Transp. Res. D Transp. Environ. 2012, 17, 525–531. [Google Scholar] [CrossRef]
- Cui, Y.; Mishra, S.; Welch, T.F. Land Use Effects on Bicycle Ridership: A Framework for State Planning Agencies. J. Transp. Geogr. 2014, 41, 220–228. [Google Scholar] [CrossRef]
- Dondi, G.; Simone, A.; Lantieri, C.; Vignali, V. Bike Lane Design: The Context Sensitive Approach. Procedia Eng. 2011, 21, 897–906. [Google Scholar] [CrossRef]
- Buehler, R.; Dill, J. Bikeway Networks: A Review of Effects on Cycling. Transp. Rev. 2016, 36, 9–27. [Google Scholar] [CrossRef]
- Duthie, J.; Unnikrishnan, A. Optimization Framework for Bicycle Network Design. J. Transp. Eng. 2014, 140, 04014028. [Google Scholar] [CrossRef]
- Krizec, K.J. Estimating the Economic Benefits of Bicycling and Bicycle Facilities: An Interpretive Review and Proposed Methods. In Essays on Transport Economics; Physica: Heidelberg, Germany, 2007; pp. 219–248. [Google Scholar]
- Rybarczyk, G.; Wu, C. Bicycle Facility Planning Using GIS and Multi-Criteria Decision Analysis. Appl. Geogr. 2010, 30, 282–293. [Google Scholar] [CrossRef]
- Beheshtitabar, E.; Ríos, S.A.; König-Hollerwöger, D.; Svatý, Z.; Rydergren, C. Route Choice Modelling for Bicycle Trips. Int. J. Traffic Transp. Eng. 2014, 4, 194–209. [Google Scholar] [CrossRef] [PubMed]
- Mauttone, A.; Mercadante, G.; Rabaza, M.; Toledo, F. Bicycle Network Design: Model and Solution Algorithm. Transp. Res. Procedia 2017, 27, 969–976. [Google Scholar] [CrossRef]
- Lavrenec, I.; Konovalova, T.; Mironova, M.; Senin, I. Preliminary Planning of the Network of Main Bike Paths. Transp. Res. Procedia 2022, 63, 2927–2932. [Google Scholar] [CrossRef]
- Bao, J.; He, T.; Ruan, S.; Li, Y.; Zheng, Y. Planning Bike Lanes Based on Sharing-Bikes’ Trajectories. In Proceedings of the 23rd ACM SIGKDD International Conference on Knowledge Discovery and Data Mining, Halifax, NS, Canada, 13–17 August 2017; ACM: New York, NY, USA, 2017; pp. 1377–1386. [Google Scholar]
- Meister, A.; Felder, M.; Schmid, B.; Axhausen, K.W. Route Choice Modeling for Cyclists on Urban Networks. Transp. Res. Part A Policy Pract. 2023, 173, 103723. [Google Scholar] [CrossRef]
- Buehler, R.; Pucher, J. Cycling to Work in 90 Large American Cities: New Evidence on the Role of Bike Paths and Lanes. Transportation 2012, 39, 409–432. [Google Scholar] [CrossRef]
- Radzimski, A.; Beim, M. Polityka Rowerowa Kilonii. Transp. Miej. I Reg. 2012, 5, 25–33. [Google Scholar]
- Silvano, A.P.; Koutsopoulos, H.N.; Ma, X. Analysis of Vehicle-Bicycle Interactions at Unsignalized Crossings: A Probabilistic Approach and Application. Accid. Anal. Prev. 2016, 97, 38–48. [Google Scholar] [CrossRef] [PubMed]
- Stipancic, J.; Zangenehpour, S.; Miranda-Moreno, L.; Saunier, N.; Granié, M.-A. Investigating the Gender Differences on Bicycle-Vehicle Conflicts at Urban Intersections Using an Ordered Logit Methodology. Accid. Anal. Prev. 2016, 97, 19–27. [Google Scholar] [CrossRef] [PubMed]
- Apasnore, P.; Ismail, K.; Kassim, A. Bicycle-Vehicle Interactions at Mid-Sections of Mixed Traffic Streets: Examining Passing Distance and Bicycle Comfort Perception. Accid. Anal. Prev. 2017, 106, 141–148. [Google Scholar] [CrossRef]
- Pokorny, P.; Pritchard, R.; Pitera, K. Conflicts between Bikes and Trucks in Urban Areas—A Survey of Norwegian Cyclists. Case Stud. Transp. Policy 2018, 6, 147–155. [Google Scholar] [CrossRef]
- Pokorny, P.; Drescher, J.; Pitera, K.; Jonsson, T. Accidents between Freight Vehicles and Bicycles, with a Focus on Urban Areas. Transp. Res. Procedia 2017, 25, 999–1007. [Google Scholar] [CrossRef]
- Lopez, D.; Glickman, M.E.; Soumerai, S.B.; Hemenway, D. Identifying Factors Related to a Hit-and-Run after a Vehicle-Bicycle Collision. J. Transp. Health 2018, 8, 299–306. [Google Scholar] [CrossRef]
- Schepers, P.; Twisk, D.; Fishman, E.; Fyhri, A.; Jensen, A. The Dutch Road to a High Level of Cycling Safety. Saf. Sci. 2017, 92, 264–273. [Google Scholar] [CrossRef]
- Kondo, M.C.; Morrison, C.; Guerra, E.; Kaufman, E.J.; Wiebe, D.J. Where Do Bike Lanes Work Best? A Bayesian Spatial Model of Bicycle Lanes and Bicycle Crashes. Saf. Sci. 2018, 103, 225–233. [Google Scholar] [CrossRef]
- Pulugurtha, S.S.; Thakur, V. Evaluating the Effectiveness of On-Street Bicycle Lane and Assessing Risk to Bicyclists in Charlotte, North Carolina. Accid. Anal. Prev. 2015, 76, 34–41. [Google Scholar] [CrossRef]
- Rossetti, T.; Guevara, C.A.; Galilea, P.; Hurtubia, R. Modeling Safety as a Perceptual Latent Variable to Assess Cycling Infrastructure. Transp. Res. Part A Policy Pract. 2018, 111, 252–265. [Google Scholar] [CrossRef]
- Vansteenkiste, P.; Zeuwts, L.; Cardon, G.; Philippaerts, R.; Lenoir, M. The Implications of Low Quality Bicycle Paths on Gaze Behavior of Cyclists: A Field Test. Transp. Res. Part F Traffic Psychol. Behav. 2014, 23, 81–87. [Google Scholar] [CrossRef]
- Vansteenkiste, P.; Zeuwts, L.; van Maarseveen, M.; Cardon, G.; Savelsbergh, G.; Lenoir, M. The Implications of Low Quality Bicycle Paths on the Gaze Behaviour of Young Learner Cyclists. Transp. Res. Part F Traffic Psychol. Behav. 2017, 48, 52–60. [Google Scholar] [CrossRef]
- Xu, C.; Yang, Y.; Jin, S.; Qu, Z.; Hou, L. Potential Risk and Its Influencing Factors for Separated Bicycle Paths. Accid. Anal. Prev. 2016, 87, 59–67. [Google Scholar] [CrossRef] [PubMed]
- Boufous, S.; Hatfield, J.; Grzebieta, R. The Impact of Environmental Factors on Cycling Speed on Shared Paths. Accid. Anal. Prev. 2018, 110, 171–176. [Google Scholar] [CrossRef] [PubMed]
- Methorst, R.; Schepers, P.; Kamminga, J.; Zeegers, T.; Fishman, E. Can Cycling Safety Be Improved by Opening All Unidirectional Cycle Paths for Cycle Traffic in Both Directions? A Theoretical Examination of Available Literature and Data. Accid. Anal. Prev. 2017, 105, 38–43. [Google Scholar] [CrossRef]
- van der Horst, A.R.A.; de Goede, M.; de Hair-Buijssen, S.; Methorst, R. Traffic Conflicts on Bicycle Paths: A Systematic Observation of Behaviour from Video. Accid. Anal. Prev. 2014, 62, 358–368. [Google Scholar] [CrossRef]
- Zhang, L.; Zhang, J.; Duan, Z.; Bryde, D. Sustainable Bike-Sharing Systems: Characteristics and Commonalities across Cases in Urban China. J. Clean. Prod. 2015, 97, 124–133. [Google Scholar] [CrossRef]
- Castillo-Manzano, J.I.; Castro-Nuño, M.; López-Valpuesta, L. Analyzing the Transition from a Public Bicycle System to Bicycle Ownership: A Complex Relationship. Transp. Res. D Transp. Environ. 2015, 38, 15–26. [Google Scholar] [CrossRef]
- Midgley, P. The Role of Smart Bike-Sharing Systems in Urban Mobility. Journeys 2009, 2, 23–31. [Google Scholar]
- Shaheen, S.A.; Guzman, S.; Zhang, H. Bikesharing in Europe, the Americas, and Asia. Transp. Res. Rec. J. Transp. Res. Board 2010, 2143, 159–167. [Google Scholar] [CrossRef]
- Fishman, E.; Washington, S.; Haworth, N. Bike Share: A Synthesis of the Literature. Transp. Rev. 2013, 33, 148–165. [Google Scholar] [CrossRef]
- Ricci, M. Bike Sharing: A Review of Evidence on Impacts and Processes of Implementation and Operation. Res. Transp. Bus. Manag. 2015, 15, 28–38. [Google Scholar] [CrossRef]
- Bullock, C.; Brereton, F.; Bailey, S. The Economic Contribution of Public Bike-Share to the Sustainability and Efficient Functioning of Cities. Sustain. Cities Soc. 2017, 28, 76–87. [Google Scholar] [CrossRef]
- Roman, M.; Roman, M. Bicycle Transport as an Opportunity to Develop Urban Tourism—Warsaw Example. Procedia Soc. Behav. Sci. 2014, 151, 295–301. [Google Scholar] [CrossRef]
- Yang, X.-H.; Cheng, Z.; Chen, G.; Wang, L.; Ruan, Z.-Y.; Zheng, Y.-J. The Impact of a Public Bicycle-Sharing System on Urban Public Transport Networks. Transp. Res. Part A Policy Pract. 2018, 107, 246–256. [Google Scholar] [CrossRef]
- McBain, C.; Caulfield, B. An Analysis of the Factors Influencing Journey Time Variation in the Cork Public Bike System. Sustain. Cities Soc. 2018, 42, 641–649. [Google Scholar] [CrossRef]
- Levy, N.; Golani, C.; Ben-Elia, E. An Exploratory Study of Spatial Patterns of Cycling in Tel Aviv Using Passively Generated Bike-Sharing Data. J. Transp. Geogr. 2019, 76, 325–334. [Google Scholar] [CrossRef]
- Martens, K. Promoting Bike-and-Ride: The Dutch Experience. Transp. Res. Part A Policy Pract. 2007, 41, 326–338. [Google Scholar] [CrossRef]
- Mamrayeva, D.; Tashenova, L. Prospects of Bicycle-Sharing in Urban Tourism in The Republic of Kazakhstan: Myth or Reality? Transp. Probl. 2017, 12, 65–76. [Google Scholar] [CrossRef]
- Gabus, A.; Fontela, E. World Problems, an Invitation to Further Thought within the Framework of DEMATEL; ScienceOpen, Inc.: Geneva, Switzerland, 1972. [Google Scholar]
- Fontela, E.; Gabus, A. Current Perceptions of World Problematique. In World Modelling: A Dialogue; Churchman, C.W., Mason, R.O., Eds.; North Holland: Amsterdam, The Netherlands; Elsevier: New York, NY, USA, 1976; pp. 81–87. [Google Scholar]
- Kawata, T. An Attempt of Multivariate Data Analysis and DEMATEL to Develop the Academic Intelligent System. The Report of Dental Education as It Ought to Be. Shikai Tenbo Dent. Outlook 1981, 56, 1327–1333. [Google Scholar]
- Furumoto, N.; Tabuchi, T.; Kiyozumi, R.; Kobayashi, I. Analysis of Doctor’s Diagnosis by Improved DEMATEL Method. Jpn. J. Med. Inform. 1998, 18, 205–210. [Google Scholar]
- Hori, S.; Shimizu, Y. Designing Methods of Human Interface for Supervisory Control Systems. Control Eng. Pract. 1999, 7, 1413–1419. [Google Scholar] [CrossRef]
- Si, S.-L.; You, X.-Y.; Liu, H.-C.; Zhang, P. DEMATEL Technique: A Systematic Review of the State-of-the-Art Literature on Methodologies and Applications. Math. Probl. Eng. 2018, 2018, 3696457. [Google Scholar] [CrossRef]
- Zhang, Z.; Zhang, Z.; Dai, S.; Zhang, Y.; Chen, X. A Large Group Hesitant 2-Tuple Linguistic Decision-Making Trial and Evaluation Laboratory (DEMATEL) Method to Evaluate Performance Indicators. Inf. Sci. 2023, 647, 119408. [Google Scholar] [CrossRef]
- Igodo, A.; Shamsuzzoha, A.; Ndzibah, E.; Shamsuzzaman, M. Optimal Maintenance for a Waste-to-Energy Plant Using DEMATEL: A Case Study. Clean Technol. Environ. Policy 2023, 25, 2305–2333. [Google Scholar] [CrossRef]
- Alshahrani, R.; Yenugula, M.; Algethami, H.; Alharbi, F.; Shubhra Goswami, S.; Noorulhasan Naveed, Q.; Lasisi, A.; Islam, S.; Khan, N.A.; Zahmatkesh, S. Establishing the Fuzzy Integrated Hybrid MCDM Framework to Identify the Key Barriers to Implementing Artificial Intelligence-Enabled Sustainable Cloud System in an IT Industry. Expert Syst. Appl. 2024, 238, 121732. [Google Scholar] [CrossRef]
- Bagherian, A.; Gershon, M.; Kumar, S.; Kumar Mishra, M. Analyzing the Relationship between Digitalization and Energy Sustainability: A Comprehensive ISM-MICMAC and DEMATEL Approach. Expert Syst. Appl. 2024, 236, 121193. [Google Scholar] [CrossRef]
- Zheng, Q.; Liu, X.; Wang, W.; Han, S. A Hybrid HFACS Model Using DEMATEL-ORESTE Method with Linguistic Z-Number for Risk Analysis of Human Error Factors in the Healthcare System. Expert Syst. Appl. 2024, 235, 121237. [Google Scholar] [CrossRef]
- Chen, C.-A.; Lee, H.-L. Developing Taiwan into the Tourist Transport Centre of East Asia. Tour. Econ. 2012, 18, 1401–1411. [Google Scholar] [CrossRef]
- Dimić, S.; Pamučar, D.; Ljubojević, S.; Đorović, B. Strategic Transport Management Models—The Case Study of an Oil Industry. Sustainability 2016, 8, 954. [Google Scholar] [CrossRef]
- Haider, S.W.; Zhuang, G.; Ali, S. Identifying and Bridging the Attitude-Behavior Gap in Sustainable Transportation Adoption. J. Ambient. Intell. Humaniz. Comput. 2019, 10, 3723–3738. [Google Scholar] [CrossRef]
- Rajak, S.; Parthiban, P.; Dhanalakshmi, R. Analysing Barriers of Sustainable Transportation Systems in India Using Grey-DEMATEL Approach: A Supply Chain Perspective. Int. J. Sustain. Eng. 2021, 14, 419–432. [Google Scholar] [CrossRef]
- Govindan, K.; Khodaverdi, R.; Vafadarnikjoo, A. A grey DEMATEL approach to develop third-party logistics provider selection criteria. Ind. Manag. Data Syst. 2016, 116, 690–722. [Google Scholar] [CrossRef]
- Gupta, S.; Khanna, P.; Soni, U. Analyzing the interaction of critical success factor for TQM implementation—A grey-DEMATEL approach. Oper. Manag. Res. 2023, 16, 1619–1640. [Google Scholar] [CrossRef]
- Li, X.; Li, J.; He, J.; Huang, Y.; Liu, X.; Dai, J.; Shen, Q. What are the key factors of enterprises’ greenwashing behaviors under multi-agent interaction? A grey-DEMATEL analysis from Chinese construction materials enterprises. Eng. Constr. Archit. Manag. 2023; ahead-of-print. [Google Scholar] [CrossRef]
- Liu, C.-H.; Tzeng, G.-H.; Lee, M.-H.; Lee, P.-Y. Improving Metro–Airport Connection Service for Tourism Development: Using Hybrid MCDM Models. Tour. Manag. Perspect. 2013, 6, 95–107. [Google Scholar] [CrossRef]
- Ou, L.; Chen, Y.; Zhang, J.; Ma, C. Dematel-ISM-Based Study of the Impact of Safety Factors on Urban Rail Tunnel Construction Projects. Comput. Intell. Neurosci. 2022, 2022, 2222556. [Google Scholar] [CrossRef]
- Sahu, S.; Shanker, S.; Kamat, A.; Barve, A. India’s Public Transportation System: The Repercussions of COVID-19. Public Transp. 2023, 15, 435–478. [Google Scholar] [CrossRef]
- Broniewicz, E.; Ogrodnik, K. A Comparative Evaluation of Multi-Criteria Analysis Methods for Sustainable Transport. Energies 2021, 14, 5100. [Google Scholar] [CrossRef]
- Ma, F.; Shi, W.; Yuen, K.F.; Sun, Q.; Guo, Y. Multi-Stakeholders’ Assessment of Bike Sharing Service Quality Based on DEMATEL–VIKOR Method. Int. J. Logist. Res. Appl. 2019, 22, 449–472. [Google Scholar] [CrossRef]
- Chang, J.-J.; Lin, C.-L. Determining the Sustainable Development Strategies and Adoption Paths for Public Bike-Sharing Service Systems (PBSSSs) under Various Users’ Considerations. Mathematics 2023, 11, 1196. [Google Scholar] [CrossRef]
- Bernardi, S.; Rupi, F. An Analysis of Bicycle Travel Speed and Disturbances on Off-Street and On-Street Facilities. Transp. Res. Procedia 2015, 5, 82–94. [Google Scholar] [CrossRef]
- Duperrin, J.C.; Godet, M. Methode de Hierarchization des Elements D’um System; Rapport Economique de CEA: Paris, France, 1973. [Google Scholar]
- Warfield, J.N. Toward Interpretation of Complex Structural Models. IEEE Trans. Syst. Man Cybern. 1974, SMC-4, 405–417. [Google Scholar] [CrossRef]
- Dytczak, M.; Ginda, G. Is Explicit Processing of Fuzzy Direct Influence Evaluations in DEMATEL Indispensable? Expert Syst. Appl. 2013, 40, 5027–5032. [Google Scholar] [CrossRef]









| Factor | Reasons | References |
|---|---|---|
| Planning of bicycle paths, taking into account the separation of individual paths and their continuity, coherence, and length. | Two of the indicators determining the city’s readiness for bicycle traffic is the length of paths and the separation of individual bicycle paths. The development of longer bicycle paths and the construction of new bicycle paths result in an increase in the use of bicycles in urban transport. In Polish cities, a major problem is the lack of coherence of the bicycle network. Well-planned cycle paths can reduce traffic congestion. | Zeyed 2016 [21] Roman, Roman 2014 [60] Rybarczyk, Wu 2010 [29] Jarosz, Springer 2021 [1] Bao et al., 2017 [33] |
| Designing bicycle paths, taking into account the safety, space management, terrain, and attractiveness of the surroundings. | Properly planned cycle paths can reduce safety risks for both cyclists and motor vehicle drivers. When designing cycle paths, land use, environmental requirements, socio-economic conditions, and road traffic conditions must be taken into account. Designing safe infrastructure for all categories of travellers, including cyclists, is a fundamental requirement. | Bao et al., 2017 [33] Silvano et al., 2016 [37] Stipancic et al., 2016 [38] Apasnore et al., 2017 [39] Pokorny et al., 2018 [40] Pokorny et al., 2017 [41] Cui et al., 2014 [24] Dondi et al., 2011 [25] Lavrenec et al., 2022 [32] Ribeiro et al., 2022 [14] Vansteenkiste et al., 2017 [48] Xu et al., 2016 [49] |
| Developed infrastructure in the form of bicycle parking lots and parking spaces. | The ability to park bikes results in higher levels of cycling to work. Investment in bicycle parking at railway stations can increase the combined use of bicycles and trains. Cooperation with other urban means of transport improves transport efficiency. | Buehler 2012 [23] Radzimski, Beim 2012 [36] Mamrayeva, Tashenova 2017 [65] Martens 2007 [64] Yang et al., 2018 [61] McBain, Caulfield 2017 [62] |
| Elimination of difficulties (thresholds, faults, surface damage, lack of lighting, etc.). | Bicycle transport infrastructure requires continuous expenditure, both for its modernisation and the construction of new facilities. The technical condition of bicycle paths and the width of bicycle paths influence the behaviour of their users; it is necessary to reduce the speed associated with various types of disturbances. A recommended solution in other cities is the possibility of submitting demands to the city authorities regarding road surface damage and improvement of comfort and safety. | Radzimski, Beim 2012 [36] Bernardi, Rupi 2015 [90] Vansteenkiste et al., 2017 [48] Vansteenkiste et al., 2014 [47] Xu et al., 2016 [49] Roman 2017 [11] |
| Information campaigns encouraging society to cycle for health and environmental protection. | One of the most important barriers hindering the implementation of cycling policy is the negative attitude of society towards cycling; often, convincing people to change their means of transport requires a long-term promotional programme. Young people need to be convinced that this is a convenient, fast, and cheap way of getting around, which may contribute to changing their lifestyle to a more active one. The intensive and continuous promotion of bicycle transport is an important activity that has had the desired effect in the existing and developing trend of bicycle culture in Poland. | Stępień-Słodkowska et al., 2017 [10] Liszka 2013 [2] Eryiğit, Ter 2014 [19] Dzieniowska, Dolińska 2017 [20] |
| Promoting cycling by employers (e.g., showers for cyclists). | An employer’s encouragement to use a bicycle may be one of the factors influencing more frequent commuting to work by bicycle. The roles of bicycle parking, bicycle showers, free parking spaces, and transport benefits as determinants of cycling to work should be emphasized. | Buehler 2012 [23] Zeyed 2016 [21] |
| Sharing bicycle systems. | The introduction of public bicycle systems (PBSSs) is an element of an effective transport policy. The launch of bicycle rental systems increases interest in their use. The economic benefits provided by bike-sharing systems are related to a reduction in travel time. | Castillo-Manzano et al., 2015 [54] Roman, Roman 2014 [60] Basu, Vasudevan 2013 [22] Bullock et al., 2017 [59] |
| Regulations promoting cycling in the field of transport policy (e.g., preferential treatment of bicycle users at intersections, the possibility of transporting bicycles on public transport). | The solutions implemented in urban transport systems in Western Europe in the field of bicycle policy are an illustration of pro-ecological trends. The development of bicycle paths and public transport should be combined with restrictions on car traffic. There is a need to develop legal regulations supporting the bicycle transport system. | Liszka 2013 [2] Jarosz, Springer 2021 [1] Mamrayeva, Tashenova 2017 [65] |
| Concept | Description |
|---|---|
| Direct influence | Direct action of a contextual nature, which is exercised by the i-th consecutive entity on the consecutive j-th entity, out of n considered entities (i, j = 1, 2 … n) |
| Direct influence scale | The ordinal scale of direct influence 0-N with the following fixed steps: 0 (no direct influence at all), N (extreme direct influence), where N denotes arbitrary positive integer (originally: N = 4); the intermediate scale levels from 1 to N − 1 express gradual increase in direct influence |
| Direct influence intensity | Measure of the intensity of direct influence of the i-th consecutive entity on the j-th consecutive entity, out of n considered entities (i, j = 1, 2 … n) In the case of the engagement of K experts, direct influence intensity for the k-th consecutive expert is denoted by |
| Structure of direct influence | Full set of direct influences between n considered entities |
| Matrix of direct influence X* | Raw matrix of direct influence: In the case of the engagement of K experts, each of them provides an individual raw matrix of direct influence, which is denoted by in the case of the k-th consecutive experts, and the raw matrix becomes the average direct influence matrix in the following case: |
| Normalised matrix of direct influence X | A suitable form of a matrix of direct influence: X: |
| Graph of direct influence | The alternative representation of the structure of direct influence using a digraph |
| Concept | Description |
|---|---|
| Indirect influence | Action of a contextual nature, which is exercised by the i-th consecutive entity on the j-th consecutive entity, out of n considered entities, through another considered entity (or even more entities) (i, j = 1, 2 … n) |
| Indirect influence intensity | Measure of the intensity of indirect influence of the i-th consecutive entity on the j-th consecutive entity, out of n considered entities (i, j = 1, 2 … n) |
| Structure of indirect influence | Full set of indirect influences between n considered entities |
| Matrix of indirect influence ΔX | Concise mathematical representation of the structure of indirect influence: |
| Graph of indirect influence G(ΔX) | Alternative representation of indirect influence structure employing a digraph |
| Total influence | The combination of direct and indirect influences, which are exercised by the i-th consecutive entity on the j-th consecutive entity, out of n considered entities |
| Structure of total influence | Full set of total influences between n considered entities |
| Total influence intensity | Measure of the intensity of total influence of the i-th consecutive entity on the j-th consecutive entity, out of n considered entities (i, j = 1, 2 … n) |
| Matrix of total influence T | Concise mathematical representation of the structure of indirect influence: |
| Graph of total influence G(T) | Alternative representation of total influence structure utilising a digraph application |
| Net total influence structure | Structure of resulting (net) total influence |
| Net total influence intensity | The measure of the resulting intensity of total influence of the i-th consecutive entity on the j-th consecutive entity, out of n considered entities (i, j = 1, 2 … n): |
| Net total influence matrix Tnt | Concise mathematical representation of the structure of indirect influence: |
| Net total influence digraph G(Tnt) | Alternative representation of the net total influence structure through a digraph |
| Prominence s+ | Interrelation between the i-th consecutive entity and other entities, out of n considered entities (i = 1, 2 … n): |
| Relation s− | Causality of the i-th consecutive entity (i = 1, 2 … n): |
| Cause–effect diagram | diagram for the classification of n considered entities |
| Factor | Meaning |
|---|---|
| A1 | Planning of bicycle paths, taking into account the separation of individual paths and their continuity, coherence, and length |
| A2 | Design of bicycle paths, taking into account the safety, space management, terrain, and attractiveness of the surroundings |
| A3 | The development of infrastructure in the form of bicycle parking lots and parking spaces |
| A4 | The elimination of obstacles (thresholds, faults, surface damage, path lighting, etc.) |
| A5 | Information campaigns encouraging society to cycle for health and environmental protection |
| A6 | Promotion of cycling by employers (e.g., through showers for cyclists) |
| A7 | Introduction of bicycle-sharing systems |
| A8 | Regulations promoting cycling in the field of transport policy (e.g., preferential treatment of bicycle users at intersections, the possibility of transporting bicycles on public transport) |
| A1 | A2 | A3 | A4 | A5 | A6 | A7 | A8 | |
|---|---|---|---|---|---|---|---|---|
| A1 | 0 | 3.4444 | 3.1667 | 2.8333 | 2.7778 | 2.1111 | 2.6111 | 2.7778 |
| A2 | 3.2778 | 0 | 3.1667 | 2.8889 | 2.5 | 2.2222 | 2.7778 | 3.0556 |
| A3 | 2.7778 | 2.5556 | 0 | 2.4444 | 2.5 | 2.2222 | 2.5 | 2.5556 |
| A4 | 2.9444 | 3 | 2.7778 | 0 | 2.3889 | 1.8889 | 2.1111 | 2.3889 |
| A5 | 2.7222 | 2.0556 | 2.3333 | 2 | 0 | 2.1667 | 2.3333 | 2.5556 |
| A6 | 1.8889 | 1.6667 | 1.8333 | 1.5556 | 2.2778 | 0 | 1.8333 | 1.9444 |
| A7 | 2 | 2.1111 | 2.2778 | 1.6111 | 2.5 | 1.8889 | 0 | 1.8889 |
| A8 | 2.6667 | 2.9444 | 2.7222 | 2.5 | 2.7778 | 2.2778 | 2.7222 | 0 |
| A1 | A2 | A3 | A4 | A5 | A6 | A7 | A8 | |
|---|---|---|---|---|---|---|---|---|
| A1 | 0 | 3.8 | 3.5 | 2.4 | 2.8 | 2 | 2 | 3.6 |
| A2 | 3.2 | 0 | 3.4 | 2.6 | 2.4 | 1.8 | 2.4 | 3.4 |
| A3 | 2.4 | 2.2 | 0 | 1.6 | 2 | 2.2 | 2.4 | 2.4 |
| A4 | 2.6 | 2.8 | 2 | 0 | 2.6 | 2 | 1.8 | 2.8 |
| A5 | 3 | 2.6 | 2.2 | 1.6 | 0 | 2.4 | 2.8 | 3 |
| A6 | 1.4 | 1.8 | 2 | 1.6 | 2.6 | 0 | 1.6 | 2.4 |
| A7 | 1.6 | 1.8 | 1.8 | 1.4 | 3.2 | 1.6 | 0 | 2.2 |
| A8 | 3.4 | 3.4 | 3.2 | 3.2 | 3.4 | 2 | 3 | 0 |
| Factor | A1 | A2 | A3 | A4 | A5 | A6 | A7 | A8 |
|---|---|---|---|---|---|---|---|---|
| A1 | 0.8264 | 0.9551 | 0.9458 | 0.8542 | 0.9232 | 0.7757 | 0.8863 | 0.9046 |
| A2 | 0.9722 | 0.8121 | 0.9503 | 0.8603 | 0.9173 | 0.7839 | 0.8972 | 0.9193 |
| A3 | 0.8624 | 0.8368 | 0.7239 | 0.7626 | 0.8298 | 0.7099 | 0.8020 | 0.8143 |
| A4 | 0.8563 | 0.8419 | 0.8144 | 0.6423 | 0.8119 | 0.6850 | 0.7740 | 0.7957 |
| A5 | 0.8059 | 0.7643 | 0.7763 | 0.6970 | 0.6662 | 0.6635 | 0.7452 | 0.7632 |
| A6 | 0.6462 | 0.6239 | 0.6318 | 0.5666 | 0.6462 | 0.4616 | 0.6068 | 0.6189 |
| A7 | 0.7029 | 0.6922 | 0.7008 | 0.6149 | 0.7052 | 0.5909 | 0.5707 | 0.6660 |
| A8 | 0.8972 | 0.8896 | 0.8825 | 0.7991 | 0.8784 | 0.7443 | 0.8473 | 0.7375 |
| Factor | Prominence | Relation |
|---|---|---|
| A1 | 13.6408 | 0.501816 |
| A2 | 13.5285 | 0.696634 |
| A3 | 12.7675 | −0.084283 |
| A4 | 12.0184 | 0.424825 |
| A5 | 12.2597 | −0.496765 |
| A6 | 10.2169 | −0.612946 |
| A7 | 11.3729 | −0.885826 |
| A8 | 12.8953 | 0.456545 |
| Factor | Prominence Rank | Relation Rank |
|---|---|---|
| A1 | 1 (Very High) | 2 (Cause) |
| A2 | 2 (Very High) | 1 (Cause) |
| A3 | 4 (High) | 5 (Neutral) |
| A4 | 6 (Average) | 4 (Cause) |
| A5 | 5 (Average) | 6 (Effect) |
| A6 | 8 (Very Low) | 7 (Effect) |
| A7 | 7 (Low) | 8 (Effect) |
| A8 | 3 (High) | 3 (Cause) |
| Factor | A1 | A2 | A3 | A4 | A5 | A6 | A7 | A8 |
|---|---|---|---|---|---|---|---|---|
| A1 | 0 | 0 | 0.0834 | 0 | 0.1173 | 0.1295 | 0.1835 | 0.0073 |
| A2 | 0.0171 | 0 | 0.1135 | 0.0183 | 0.1530 | 0.1601 | 0.2050 | 0.0297 |
| A3 | 0 | 0 | 0 | 0 | 0.0535 | 0.0780 | 0.1012 | 0 |
| A4 | 0.0022 | 0 | 0.0519 | 0 | 0.1150 | 0.1184 | 0.1591 | 0 |
| A5 | 0 | 0 | 0 | 0 | 0 | 0.0173 | 0.0400 | 0 |
| A6 | 0 | 0 | 0 | 0 | 0 | 0 | 0.0159 | 0 |
| A7 | 0 | 0 | 0 | 0 | 0 | 0 | 0 | 0 |
| A8 | 0 | 0 | 0.0682 | 0 | 0.1153 | 0.1254 | 0.1813 | 0 |
| Factors | A1 | A2 | A3 | A4 | A5 | A6 | A7 | A8 |
|---|---|---|---|---|---|---|---|---|
| A1 | 0.5058 | 0.6720 | 0.6569 | 0.5190 | 0.6422 | 0.4866 | 0.5463 | 0.6959 |
| A2 | 0.6113 | 0.4982 | 0.6295 | 0.5072 | 0.6050 | 0.4612 | 0.5400 | 0.6637 |
| A3 | 0.4833 | 0.4891 | 0.3929 | 0.3880 | 0.4897 | 0.3994 | 0.4516 | 0.5210 |
| A4 | 0.5322 | 0.5534 | 0.5186 | 0.3524 | 0.5523 | 0.4229 | 0.4645 | 0.5797 |
| A5 | 0.5635 | 0.5642 | 0.5449 | 0.4365 | 0.4657 | 0.4526 | 0.5195 | 0.6066 |
| A6 | 0.4058 | 0.4311 | 0.4347 | 0.3537 | 0.4686 | 0.2751 | 0.3845 | 0.4756 |
| A7 | 0.4188 | 0.4366 | 0.4321 | 0.3496 | 0.4971 | 0.3485 | 0.3205 | 0.4741 |
| A8 | 0.6681 | 0.6854 | 0.6717 | 0.5694 | 0.6938 | 0.5087 | 0.6075 | 0.5825 |
| Factor | Prominence | Relation |
|---|---|---|
| A1 | 8.913566 | 0.5357729 |
| A2 | 8.846053 | 0.1863695 |
| A3 | 7.896194 | −0.6663403 |
| A4 | 7.451752 | 0.5001212 |
| A5 | 8.568022 | −0.2607674 |
| A6 | 6.584140 | −0.1260405 |
| A7 | 7.111957 | −0. 5571755 |
| A8 | 9.586232 | 0.3880602 |
| Factor | Prominence Rank | Relation Rank |
|---|---|---|
| A1 | 2 (High) | 1 (Cause) |
| A2 | 3 (High) | 4 (Cause) |
| A3 | 5 (Average) | 6 (Effect) |
| A4 | 6 (Low) | 2 (Cause) |
| A5 | 4 (Average) | 8 (Effect) |
| A6 | 8 (Very Low) | 5 (Effect) |
| A7 | 7 (Very Low) | 7 (Effect) |
| A8 | 1 (Very High) | 3 (Cause) |
| Factor | A1 | A2 | A3 | A4 | A5 | A6 | A7 | A8 |
|---|---|---|---|---|---|---|---|---|
| A1 | 0 | 0.0607 | 0.1736 | 0 | 0.0787 | 0.0808 | 0.1274 | 0.0278 |
| A2 | 0 | 0 | 0.1404 | 0 | 0.0409 | 0.0301 | 0.1035 | 0 |
| A3 | 0 | 0 | 0 | 0 | 0 | 0 | 0.0195 | 0 |
| A4 | 0.0132 | 0.0462 | 0.1305 | 0 | 0.1157 | 0.0692 | 0.1149 | 0.0104 |
| A5 | 0 | 0 | 0.0552 | 0 | 0 | 0 | 0.0225 | 0 |
| A6 | 0 | 0 | 0.0353 | 0 | 0.0160 | 0 | 0.0360 | 0 |
| A7 | 0 | 0 | 0 | 0 | 0 | 0 | 0 | 0 |
| A8 | 0 | 0.0217 | 0.1507 | 0 | 0.0872 | 0.0332 | 0.1334 | 0 |
| Factor | Overall | Experts | ||
|---|---|---|---|---|
| Link | C/E | Link | C/E | |
| A1 | ++ (1) | C (2) | + (2) | C (1) |
| A2 | ++ (2) | C (1) | + (3) | C (4) |
| A3 | + (4) | N (1) | +/− (5) | E (1) |
| A4 | +/− (6) | C (4) | − (6) | C (2) |
| A5 | +/− (5) | E (3) | +/− (4) | E (3) |
| A6 | −− (8) | E (2) | −− (8) | E (4) |
| A7 | − (7) | E (1) | −− (7) | E (2) |
| A8 | + (3) | C (3) | ++ (1) | C (3) |
Disclaimer/Publisher’s Note: The statements, opinions and data contained in all publications are solely those of the individual author(s) and contributor(s) and not of MDPI and/or the editor(s). MDPI and/or the editor(s) disclaim responsibility for any injury to people or property resulting from any ideas, methods, instructions or products referred to in the content. |
© 2023 by the authors. Licensee MDPI, Basel, Switzerland. This article is an open access article distributed under the terms and conditions of the Creative Commons Attribution (CC BY) license (https://creativecommons.org/licenses/by/4.0/).
Share and Cite
Trembecka, A.; Ginda, G.; Kwartnik-Pruc, A. Application of the Decision-Making Trial and Evaluation Laboratory Method to Assess Factors Influencing the Development of Cycling Infrastructure in Cities. Sustainability 2023, 15, 16421. https://doi.org/10.3390/su152316421
Trembecka A, Ginda G, Kwartnik-Pruc A. Application of the Decision-Making Trial and Evaluation Laboratory Method to Assess Factors Influencing the Development of Cycling Infrastructure in Cities. Sustainability. 2023; 15(23):16421. https://doi.org/10.3390/su152316421
Chicago/Turabian StyleTrembecka, Anna, Grzegorz Ginda, and Anita Kwartnik-Pruc. 2023. "Application of the Decision-Making Trial and Evaluation Laboratory Method to Assess Factors Influencing the Development of Cycling Infrastructure in Cities" Sustainability 15, no. 23: 16421. https://doi.org/10.3390/su152316421
APA StyleTrembecka, A., Ginda, G., & Kwartnik-Pruc, A. (2023). Application of the Decision-Making Trial and Evaluation Laboratory Method to Assess Factors Influencing the Development of Cycling Infrastructure in Cities. Sustainability, 15(23), 16421. https://doi.org/10.3390/su152316421

