The Perception of Cultural Authenticity, Destination Attachment, and Support for Cultural Heritage Tourism Development by Local People: The Moderator Role of Cultural Sustainability
Abstract
:1. Introduction
2. Literature Review and Hypothesis Development
2.1. Theoretical Framework
2.1.1. The Relationship between Cultural Authenticity and Attachment
2.1.2. The Connection between Destination Attachment and Cultural Heritage Tourism Development
2.1.3. The Role of Destination Attachment and Cultural Sustainability in Cultural Heritage Tourism Development
3. Methodology
3.1. Research Instrument
3.2. Research Area, Sampling and Data Collection
3.3. Data Analysis
4. Findings
4.1. Demographic Profile
4.2. Confirmatory Factor Analysis Concerning the Structural Model
4.3. Hypothesis Testing
5. Discussion
6. Implications
6.1. Theoretical Implications
6.2. Practical Implications
- Preserve traditional knowledge and wisdom.
- Encourage and use traditional expressions in the spoken language.
- Protect and promote traditional artistic elements specific to the region, which play a significant role in expressing cultural identities.
- Additionally, it is essential for the locals to be willing to preserve traditions. One way to achieve this is by facilitating intergenerational learning and passing on traditional knowledge and skills. This can be performed through methods such as creating photographic records or digital archives.
6.3. Limitations and Future Research
7. Conclusions
Author Contributions
Funding
Institutional Review Board Statement
Informed Consent Statement
Data Availability Statement
Conflicts of Interest
References
- Kroeber, A.L.; Kluckhohn, C. Culture: A Critical Review of Concepts and Definitions. Pap. Peabody Mus. Archaeol. Ethnol. Harv. Univ. 1952, 47, 223. Available online: https://psycnet.apa.org/record/1953-07119-001 (accessed on 25 September 2023).
- Hofstede, G. Culture and Organizations. Int. Stud. Manag. Organ. 1980, 10, 15–41. [Google Scholar] [CrossRef]
- Bonink, C.; Richards, G. 1992’Cuhural Tourism in Europe. ATLAS Research Report; University of North London: London, UK, 1993. [Google Scholar]
- Bywater, M. The market for cultural tourism. Travel Tour. Anal. 1993, 6, 30–46. [Google Scholar]
- Schouten, F. Improving Visitor Care in Heritage Attractions. Tour. Manag. 1995, 16, 259–261. [Google Scholar] [CrossRef]
- Richards, G. Cultural Tourism in Europe. Wallingford: CABI. 1994. Available online: https://books.google.com.tr/books?hl=tr&lr=&id=xroeAQAAMAAJ&oi=fnd&pg=PR7&dq=6.%09Richards,+G.+Cultural+Tourism+in+Europe.+Cult.+Tour.+Eur.+1994,+99+%E2%80%93115.&ots=TMSvk6rnrd&sig=FdJ9Q-bI8awR4QVDR_ox-nT-A0Y&redir_esc=y#v=onepage&q&f=false (accessed on 25 September 2023).
- Stebbins, R.A. Cultural Tourism as Serious Leisure. Ann. Tour. Res. 1996, 23, 948–950. Available online: https://psycnet.apa.org/record/2005-16724-001 (accessed on 25 September 2023). [CrossRef]
- World Tourism Organization (WTO). Tourism 2000: Building a Sustainable Future for Asia-Pacific; Final Report; WTO: Madrid, Spain, 1997. [Google Scholar]
- UNESCO. Operational Guidelines for the Implementation of the World Heritage Convention; UNESCO World Heritage Centre: Paris, France, 2008. [Google Scholar]
- Joshi, M.P.V. Planning Cultural-Heritage Tourism for Sustainable Development. 2012. Available online: https://figshare.com/articles/journal_contribution/Planning_Cultural_Heritage_Tourism_for_Sustainable_Development_/661778 (accessed on 25 September 2023).
- Chhabra, D. Defining Authenticity and Its Determinants: Toward an Authenticity Flow Model. J. Travel Res. 2005, 44, 64–73. [Google Scholar] [CrossRef]
- Park, E.; Choi, B.-K.; Lee, T.J. The Role and Dimensions of Authenticity in Heritage Tourism. Tour. Manag. 2019, 74, 99–109. [Google Scholar] [CrossRef]
- Abarca, M.E. Authentic or Not, It’s Original. Food Foodways 2004, 12, 1–25. [Google Scholar] [CrossRef]
- Steiner, C.J.; Reisinger, Y. Understanding Existential Authenticity. Ann. Tour. Res. 2006, 33, 299–318. [Google Scholar] [CrossRef]
- Brida, J.G.; Disegna, M.; Osti, L. The Effect of Authenticity on Visitors’ Expenditure at Cultural Events. Curr. Issues Tour. 2013, 16, 266–285. [Google Scholar] [CrossRef]
- MacCannell, D. Staged Authenticity: Arrangements of Social Space in Tourist Settings. Am. J. Sociol. 1973, 79, 589–603. [Google Scholar] [CrossRef]
- Wight, P. Environmentally Responsible Marketing of Tourism. Ecotour. Sustain. Option 1994, 9, 41–43. [Google Scholar]
- Lozano-Oyola, M.; Blancas, F.J.; González, M.; Caballero, R. Sustainable Tourism Indicators as Planning Tools in Cultural Destinations. Ecol. Indic. 2012, 18, 659–675. [Google Scholar] [CrossRef]
- Butler, R.W. Sustainable Tourism: A State-of-the-art Review. Tour. Geogr. 1999, 1, 7–25. [Google Scholar] [CrossRef]
- Wall, G. Is Ecotourism Sustainable? Environ. Manag. 1997, 21, 483–491. [Google Scholar] [CrossRef] [PubMed]
- Gnoth, J.; Matteucci, X. A Phenomenological View of the Behavioural Tourism Research Literature. Int. J. Cult. Tour. Hosp. Res. 2014, 8, 3–21. [Google Scholar] [CrossRef]
- Lak, A.; Gheitasi, M.; Timothy, D.J. Urban Regeneration through Heritage Tourism: Cultural Policies and Strategic Management. J. Tour. Cult. Chang. 2020, 18, 386–403. [Google Scholar] [CrossRef]
- Su, M.M.; Wall, G. Community Involvement at Great Wall World Heritage Sites, Beijing, China. Curr. Issues Tour. 2015, 18, 137–157. [Google Scholar] [CrossRef]
- Gursoy, D.; Boğan, E.; Dedeoğlu, B.B.; Çalışkan, C. Residents’ Perceptions of Hotels’ Corporate Social Responsibility Initiatives and Its Impact on Residents’ Sentiments to Community and Support for Additional Tourism Development. J. Hosp. Tour. Manag. 2019, 39, 117–128. [Google Scholar] [CrossRef]
- Keleş, H. Turizmin Yerel Halkın Yaşam Kalitesi, Memnuniyeti ve Turizme Desteği Üzerindeki Etkileri: Manavgat Örneği. 2021. Available online: https://acikerisim.erbakan.edu.tr/xmlui/handle/20.500.12452/8129 (accessed on 25 September 2023).
- Yayla, Ö.; Koç, B.; Dimanche, F. Residents’ Support for Tourism Development: Investigating Quality-of-Life, Community Commitment, and Communication. Eur. J. Tour. Res. 2023, 33, 3311. [Google Scholar] [CrossRef]
- Zhang, G.; Chen, X.; Law, R.; Zhang, M. Sustainability of Heritage Tourism: A Structural Perspective from Cultural Identity and Consumption Intention. Sustainability 2020, 12, 9199. [Google Scholar] [CrossRef]
- Hu, B.; Tuou, Y.; Liu, J. How Does Destination Social Responsibility Impact Residents’ pro-Tourism Behaviors? The Mediating Role of Place Attachment. Sustainability 2019, 11, 3373. [Google Scholar] [CrossRef]
- Nunkoo, R.; Ramkissoon, H. Residents’ Satisfaction with Community Attributes and Support for Tourism. J. Hosp. Tour. Res. 2011, 35, 171–190. [Google Scholar] [CrossRef]
- Wang, N. Rethinking Authenticity in Tourism Experience. Tour. Crit. Concepts Soc. Sci. 2004, 2, 210–234. [Google Scholar] [CrossRef]
- Chow, K.; Healey, M. Place Attachment and Place Identity: First-Year Undergraduates Making the Transition from Home to University. J. Environ. Psychol. 2008, 28, 362–372. [Google Scholar] [CrossRef]
- Kolar, T.; Zabkar, V. A Consumer-Based Model of Authenticity: An Oxymoron or the Foundation of Cultural Heritage Marketing? Tour. Manag. 2010, 31, 652–664. [Google Scholar] [CrossRef]
- Cohen, E. Traditions in the Qualitative Sociology of Tourism. Ann. Tour. Res. 1988, 15, 29–46. [Google Scholar] [CrossRef]
- Bryce, D.; Curran, R.; O’Gorman, K.; Taheri, B. Visitors’ Engagement and Authenticity: Japanese Heritage Consumption. Tour. Manag. 2015, 46, 571–581. [Google Scholar] [CrossRef]
- Handler, R. Authenticity. Anthropol. Today 1986, 2, 2–4. [Google Scholar] [CrossRef]
- Cole, S. Beyond Authenticity and Commodification. Ann. Tour. Res. 2007, 34, 943–960. [Google Scholar] [CrossRef]
- Lin, Y.C. The Willingness of Heritage Tourists to Pay for Perceived Authenticity in Pingxi, Taiwan. Curr. Issues Tour. 2017, 20, 1044–1069. [Google Scholar] [CrossRef]
- Altman, I.; Low, S.M. Place Attachment; Plenum Press: New York, NY, USA; London, UK, 1992; Volume 262. [Google Scholar]
- Hidalgo, M.C.; Hernandez, B. Place Attachment: Conceptual and Empirical Questions. J. Environ. Psychol. 2001, 21, 273–281. [Google Scholar] [CrossRef]
- Kyle, G.T.; Mowen, A.J.; Tarrant, M. Linking Place Preferences with Place Meaning: An Examination of the Relationship between Place Motivation and Place Attachment. J. Environ. Psychol. 2004, 24, 439–454. [Google Scholar] [CrossRef]
- Halpenny, E.A. Environmental Behaviour, Place Attachment and Park Visitation: A Case Study of Visitors to Point Pelee National Park. Ph.D. Thesis, University of Waterloo, Waterloo, ON, Canada, 2006. [Google Scholar]
- Kyle, G.; Chick, G. The Social Construction of a Sense of Place. Leis. Sci. 2007, 29, 209–225. [Google Scholar] [CrossRef]
- Yuval-Davis, N. Theorizing Identity: Beyond the ‘Us’ and ‘Them’ Dichotomy. Patterns Prejud. 2010, 44, 261–280. [Google Scholar] [CrossRef] [PubMed]
- Kerstetter, D.; Bricker, K. Exploring Fijian’s Sense of Place after Exposure to Tourism Development. J. Sustain. Tour. 2009, 17, 691–708. [Google Scholar] [CrossRef]
- Carter, J.; Dyer, P.; Sharma, B. Dis-Placed Voices: Sense of Place and Place-Identity on the Sunshine Coast. Soc. Cult. Geogr. 2007, 8, 755–773. [Google Scholar] [CrossRef]
- Thomson, R. A Biographical Perspective. 2007. Available online: https://oro.open.ac.uk/11706/ (accessed on 25 September 2023).
- Antonsich, M. Searching for Belonging—An Analytical Framework: Searching for Belonging. Geogr. Compass 2010, 4, 644–659. [Google Scholar] [CrossRef]
- Andereck, K.L.; Valentine, K.M.; Knopf, R.C.; Vogt, C.A. Residents’ Perceptions of Community Tourism Impacts. Ann. Tour. Res. 2005, 32, 1056–1076. [Google Scholar] [CrossRef]
- Buzinde, C.N.; Manuel-Navarrete, D. The Social Production of Space in Tourism Enclaves: Mayan Children’s Perceptions of Tourism Boundaries. Ann. Tour. Res. 2013, 43, 482–505. [Google Scholar] [CrossRef]
- Chen, C.F.; Chen, P.C. Attitudes Locales Face Au Développement du Tourisme: Témoignaged’une Ville Patrimoine de Taiwan. Tour. Geogr. 2010, 12, 525–545. [Google Scholar] [CrossRef]
- Bramwell, B.; Lane, B. Sustainable Tourism: An Evolving Global Approach. J. Sustain. Tour. 1993, 1, 1–5. [Google Scholar] [CrossRef]
- Choi, H.C.; Sirakaya, E. Sustainability Indicators for Managing Community Tourism. Tour. Manag. 2006, 27, 1274–1289. [Google Scholar] [CrossRef]
- Cole, S.; Stable, M.J. Tourism & Sustainability: Principles to Practice; Biddles Ltd.: London, UK, 1997. [Google Scholar]
- Rasoolimanesh, S.M.; Jaafar, M.; Ahmad, A.G.; Barghi, R. Community Participation in World Heritage Site Conservation and Tourism Development. Tour. Manag. 2017, 58, 142–153. [Google Scholar] [CrossRef]
- Payne, R. Sustainable Tourism: Suggested Indicators and Monitoring Techniques. Dep. Geogr. Publ. Ser. Univ. Waterloo 1999, 52, 355–360. [Google Scholar]
- Nguyen, T.H.H.; Cheung, C. Chinese Heritage Tourists to Heritage Sites: What Are the Effects of Heritage Motivation and Perceived Authenticity on Satisfaction? Asia Pac. J. Tour. Res. 2016, 21, 1155–1168. [Google Scholar] [CrossRef]
- Hallak, R.; Assaker, G.; Lee, C. Tourism Entrepreneurship Performance: The Effects of Place Identity, Self-Efficacy, and Gender. J. Travel Res. 2015, 54, 36–51. [Google Scholar] [CrossRef]
- Megeirhi, H.A.; Woosnam, K.M.; Ribeiro, M.A.; Ramkissoon, H.; Denley, T.J. Employing a Value-Belief-Norm Framework to Gauge Carthage Residents’ Intentions to Support Sustainable Cultural Heritage Tourism. J. Sustain. Tour. 2020, 28, 1351–1370. [Google Scholar] [CrossRef]
- Negruşa, A.L.; Toader, V.; Rus, R.V.; Cosma, S.A. Study of Perceptions on Cultural Events’ Sustainability. Sustainability 2016, 8, 1269. [Google Scholar] [CrossRef]
- Ministry of Culture and Tourism-Turkey. Business (Ministry) Certified Facility Accommodation Statistics in 2022. Available online: https://yigm.ktb.gov.tr/TR-201120/konaklama-istatistikleri.html (accessed on 25 September 2023).
- AKTOB. Mediterranean Touristic Hoteliers & Investors Association, Antalya/Manavgat Bed Capacity. 2022. Available online: https://aktob.org.tr/news (accessed on 30 January 2023).
- Turkish Statistical Institute. Population Rates of Districts. 2021. Available online: https://data.tuik.gov.tr/Kategori/GetKategori?p=nufus-ve-demografi-109&dil=1 (accessed on 12 April 2021).
- Saunders, M.; Lewis, P.; Thornhill, A. Research Methods Forbusiness Students. Financial Times, 31 January 2023. [Google Scholar]
- Cooper, B.; Eva, N.; Fazlelahi, F.Z.; Newman, A.; Lee, A.; Obschonka, M. Addressing Common Method Variance and Endogeneity in Vocational Behavior Research: A Review of the Literature and Suggestions for Future Research. J. Vocat. Behav. 2020, 121, 103472. [Google Scholar] [CrossRef]
- Kleinbaum, D.G.; Kupper, L.L.; Muller, K.E. Applied Regression Analysis and Other Multivariable Methods (PWS); Kent Publishing: Boston, MA, USA, 1998. [Google Scholar]
- Kline, R.B. Principles and Practice of Structural Equation Modeling, 3rd ed.; Guilford Press: New York, NY, USA, 2011. [Google Scholar]
- Anderson, J.C.; Gerbing, D.W. Structural Equation Modeling in Practice: A Review and Recommended Two-Step Approach. Psychol. Bull. 1988, 103, 411. [Google Scholar] [CrossRef]
- Hayes, A.F. Introduction to Mediation, Moderation, and Conditional Process Analysis: A Regression-Based Approach; Guilford Publications: New York, NY, USA, 2017. [Google Scholar]
- Ministry of Culture and Tourism-Turkey. Annual Provincial-District Accommodation Tables. 2019. Available online: https://yigm.ktb.gov.tr/TR-208783/yillik-il-ilce-konaklama-tablolari.html (accessed on 25 September 2023).
- Ministry of Culture and Tourism-Turkey. Number of Foreign Visitors. 2022. Available online: https://yigm.ktb.gov.tr/TR-249702/sinir-istatistikleri.html (accessed on 2 February 2023).
- Şevket, I.; Zoğal, V. Turizm Kentleşmesi Kavrami: Antalya Örneği. Ege Coğrafya Derg. 2017, 26, 71–94. [Google Scholar]
- Hair, J.F.; Black, W.C.; Babin, B.J.; Anderson, R.E.; Tatham, R.L. Multivariate Data Analysis (Vol. 6). 2006. Available online: https://www.amazon.com/Multivariate-Data-Analysis-Joseph-Hair/dp/0138132631 (accessed on 12 April 2021).
- Nunnally, J.C. Psychometric Theory, 2nd ed.; McGraw: New York, NY, USA, 1978. [Google Scholar]
- Fornell, C.; Larcker, D.F. Evaluating Structural Equation Models with Unobservable Variables and Measurement Error. J. Mark. Res. 1981, 18, 39–50. [Google Scholar] [CrossRef]
- McKercher, B.; Ho, P.S. Assessing the Tourism Potential of Smaller Cultural and Heritage Attractions. J. Sustain. Tour. 2006, 14, 473–488. [Google Scholar]
- Alberts, H.C.; Hazen, H.D. Maintaining Authenticity and Integrity at Cultural World Heritage Sites. Geogr. Rev. 2010, 100, 56–73. [Google Scholar] [CrossRef]
- Kutty, N.K. Cultural Authenticity and Regional Development. 2008. Available online: https://papers.ssrn.com/sol3/papers.cfm?abstract_id=1117279 (accessed on 25 September 2023).
- Poort, M.E.; Persson-Fischier, U.; Martinsson-Wallin, H.; Elf Donaldson, E.; Schaub, M. “Authenticity” as a Pathway to Sustainable Cultural Tourism? The Cases of Gotland and Rapa Nui. Sustainability 2021, 13, 6302. [Google Scholar] [CrossRef]
- Wang, N. Rethinking Authenticity in Tourism Experience. Ann. Tour. Res. 1999, 26, 349–370. [Google Scholar] [CrossRef]
- Sağıroğlu, M. Turistik mekânda gerçekliğin algısal değişimi: Modern ve post-modern turizm deneyimlerinde özgünlük. J. Plan. 2019, 29, 90–101. [Google Scholar] [CrossRef]
- Chauma, E.C.; Ngwira, C. Managing a World Heritage Site in Malawi: Do Residents’ Sentiments Matter? J. Herit. Tour. 2022, 17, 142–157. [Google Scholar] [CrossRef]
- Chami, M.F. Community Involvement and Sustainable Tourism Development in Heritage Management: Amboni Limestone Caves, Tanzania. Afr. J. Hosp. Tour. Leis. 2018, 7, 1–13. [Google Scholar]
- Tian, D.; Wang, Q.; Law, R.; Zhang, M. Influence of Cultural Identity on Tourists’ Authenticity Perception, Tourist Satisfaction, and Traveler Loyalty. Sustainability 2020, 12, 6344. [Google Scholar] [CrossRef]
- Rickly-Boyd, J.M. Authenticity & Aura: A Benjaminian Approach to Tourism. Ann. Tour. Res. 2012, 39, 269–289. [Google Scholar]
- Domínguez-Quintero, A.M.; González-Rodríguez, M.R.; Paddison, B. The Mediating Role of Experience Quality on Authenticity and Satisfaction in the Context of Cultural-Heritage Tourism. Curr. Issues Tour. 2020, 23, 248–260. [Google Scholar] [CrossRef]
- Dağ, K.; Çavuşoğlu, S.; Demirağ, B. yavaş turizm bağlamında özgünlük, mekânsal bağlılık ve davranışsal niyet arasındaki ilişkinin incelenmesi: Halfeti örneği. Int. J. Manag. Econ. Bus. 2022, 18, 683–708. [Google Scholar]




| Variables | Frequency | Percentage (%) |
|---|---|---|
| Gender | ||
| Male | 216 | 52.4 |
| Female | 196 | 47.6 |
| Age | ||
| 18–24 | 45 | 10.9 |
| 25–34 | 108 | 26.2 |
| 35–44 | 193 | 46.8 |
| 45–54 | 55 | 13.3 |
| 55 or more | 11 | 2.7 |
| Marial Status | ||
| Married | 155 | 37.6 |
| Single | 257 | 62.4 |
| Education Status | ||
| Primary education | 11 | 2.7 |
| Secondary education | 28 | 6.8 |
| Associate degree | 152 | 36.9 |
| Undergraduate | 203 | 49.3 |
| Postgraduate | 18 | 4.4 |
| Length of stay in the destination | ||
| Less than 1 year | 23 | 5.6 |
| 1–5 years | 167 | 40.5 |
| 6–10 years | 140 | 34.0 |
| 11–15 years | 50 | 12.1 |
| 16 years and more | 32 | 7.8 |
| Income | ||
| 11.500 TL and less | 77 | 18.7 |
| 11.501–20.000 TL | 93 | 22.6 |
| 20.001–30.000 TL | 79 | 19.2 |
| 30.001–40.000 TL | 115 | 27.9 |
| 40.001 TL and more | 48 | 11.7 |
| Factors/Items | Standard Loading | t-Value | R2 | CR | AVE | CA |
|---|---|---|---|---|---|---|
| Perceived Authenticity | ||||||
| Objective Authenticity | 0.965 | 0.888 | 0.962 | |||
| Cultural assets represent the history of Manavgat. | 0.902 | 36.38 * | 0.81 | |||
| Cultural values have been preserved from the actual period. | 0.936 | 43.32 * | 0.87 | |||
| Cultural values have a documented history. | 0.964 | 51.51 * | 0.92 | |||
| Cultural assets are in an old and ancient structure. | 0.967 | 0.73 | ||||
| Constructive Authenticity | 0.982 | 0.922 | 0.976 | |||
| Old structures reflect traces from the local culture’s life. | 0.958 | 41.83 * | 0.91 | |||
| Old structures are still used for their original purpose. | 0.967 | 43.91 * | 0.93 | |||
| Old structures represent the identity of the local culture. | 0.955 | 41.31 * | 0.91 | |||
| Old structures explain local lifestyles. | 0.978 | 46.55 * | 0.95 | |||
| Old structures are consistent with the current state of the local culture. | 0.969 | 44.18 * | 0.93 | |||
| Old buildings provide an opportunity to experience the local culture. | 0.936 | 0.87 | ||||
| Existential Authenticity | 0.966 | 0.905 | 0.959 | |||
| Cultural structures provide a calm and peaceful atmosphere. | 0.958 | 0.79 | ||||
| Cultural assets offer an enjoyable experience. | 0.966 | 42.14 * | 0.93 | |||
| Cultural values help me relax in my life. | 0.930 | 41.55 * | 0.86 | |||
| Destination Attachment | 0.980 | 0.930 | 0.973 | |||
| Many things in this destination remind me of my past. | 0.959 | 49.38 * | 0.91 | |||
| I cannot imagine living in a different city because I would have to give up too much of myself. | 0.960 | 49.68 * | 0.92 | |||
| I have had so many experiences here that I have become very attached to this city. | 0.976 | 56.34 * | 0.85 | |||
| I know this destination so well that I can easily recognize any photograph of it. | 0.963 | 0.84 | ||||
| Intentions to support cultural heritage tourism | 0.952 | 0.879 | 0.969 | |||
| It is important to develop plans to preserve historical sites and manage the growth of tourism. | 0.953 | 0.90 | ||||
| I support the promotion of various historical tourist attractions in the destination. | 0.882 | 33.29 * | 0.76 | |||
| Tourists should be provided with cultural information to enhance their experiences. | 0.976 | 51.30 * | 0.85 | |||
| Cultural Sustainability | 0.943 | 0.771 | 0.931 | |||
| The promotion of local culture and identity should be encouraged. | 0.845 | 0.71 | ||||
| The cultural life of the city should be fostered. | 0.810 | 20.58 * | 0.65 | |||
| The educational and cultural development of the community should be ensured. | 0.966 | 28.24 * | 0.93 | |||
| The foreign language skills of the region’s residents should be improved, and the cultural heritage should be promoted by the local community. | 0.882 | 23.83 * | 0.77 | |||
| The emergence/development of a sense of pride in “being from Manavgat” should be encouraged. | 0.882 | 23.84 * | 0.77 |
| Factor | 1 | 2 | 3 | 4 | 5 | 6 |
|---|---|---|---|---|---|---|
| 1. OA | 0.942 a | |||||
| 2. CA | 0.922 | 0.960 a | ||||
| 3. EA | 0.847 | 0.820 | 0.951 a | |||
| 4. DA | 0.840 | 0.859 | 0.877 | 0.964 a | ||
| 5. ISCHT | 0.900 | 0.827 | 0.777 | 0.898 | 0.938 a | |
| 6. CS | 0.223 | 0.201 | 0.199 | 0.187 | 0.210 | 0.878 a |
| Intentions to Support Cultural Heritage Tourism | |||||||
|---|---|---|---|---|---|---|---|
| β | Confidence Interval | ||||||
| H3 | Min. | Max. | |||||
| Destination Attachment (X) | 0.69 * | 0.613 | 0.781 | ||||
| Cultural Sustainability (W) | 0.18 * | 0.311 | 0.491 | ||||
| X.W (Interaction) | 0.04 ** | 0.002 | 0.085 | ||||
| R2 | 0.71 | ||||||
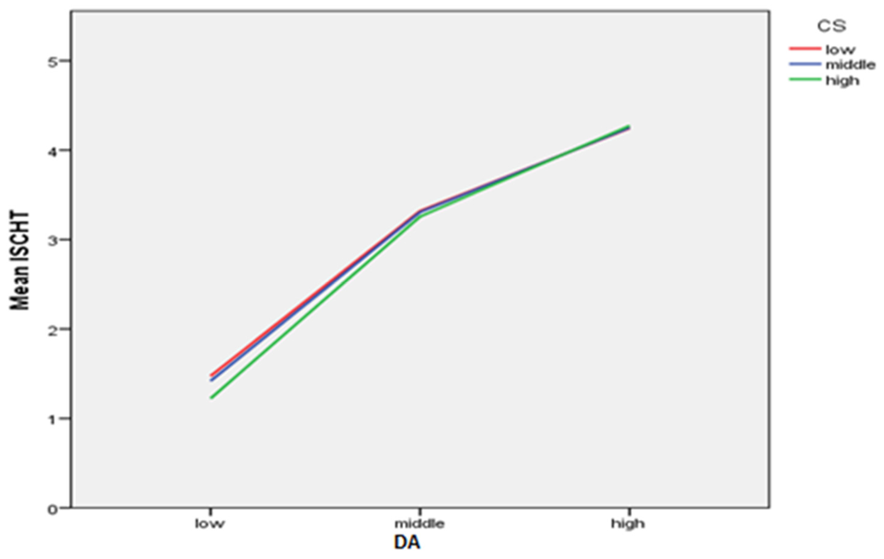
| Cultural Sustainability | β | S.E. | t | LLCI | ULCI | ||
| Low: | 0.73 * | 0.03 | 27.91 | 0.686 | 0.791 | ||
| Middle: | 0.75 * | 0.02 | 34.73 | 0.712 | 0.798 | ||
| High: | 0.81 * | 0.03 | 31.24 | 0.762 | 0.864 | ||
| Hypothesis No | Hypothesis | Acceptance/Rejection | ||
|---|---|---|---|---|
| H1a | Objective Authenticity | ![]() | Destination Attachment | Accepted |
| H1b | Constructive Authenticity | ![]() | Destination Attachment | Accepted |
| H1c | Existential Authenticity | ![]() | Destination Attachment | Rejected |
| H2 | Destination Attachment | ![]() | Support for Cultural Heritage Tourism Development | Accepted |
| H3 | Destination Attachment | ![]() | Support for Cultural Heritage Tourism Development * Cultural Sustainability | Accepted |
Disclaimer/Publisher’s Note: The statements, opinions and data contained in all publications are solely those of the individual author(s) and contributor(s) and not of MDPI and/or the editor(s). MDPI and/or the editor(s) disclaim responsibility for any injury to people or property resulting from any ideas, methods, instructions or products referred to in the content. |
© 2023 by the authors. Licensee MDPI, Basel, Switzerland. This article is an open access article distributed under the terms and conditions of the Creative Commons Attribution (CC BY) license (https://creativecommons.org/licenses/by/4.0/).
Share and Cite
Uslu, F.; Yayla, O.; Guven, Y.; Ergun, G.S.; Demir, E.; Erol, S.; Yıldırım, M.N.O.; Keles, H.; Gozen, E. The Perception of Cultural Authenticity, Destination Attachment, and Support for Cultural Heritage Tourism Development by Local People: The Moderator Role of Cultural Sustainability. Sustainability 2023, 15, 15794. https://doi.org/10.3390/su152215794
Uslu F, Yayla O, Guven Y, Ergun GS, Demir E, Erol S, Yıldırım MNO, Keles H, Gozen E. The Perception of Cultural Authenticity, Destination Attachment, and Support for Cultural Heritage Tourism Development by Local People: The Moderator Role of Cultural Sustainability. Sustainability. 2023; 15(22):15794. https://doi.org/10.3390/su152215794
Chicago/Turabian StyleUslu, Fatih, Ozgur Yayla, Yigit Guven, Gozde Seval Ergun, Erdi Demir, Suzan Erol, Merve Nur Oklu Yıldırım, Huseyin Keles, and Ebru Gozen. 2023. "The Perception of Cultural Authenticity, Destination Attachment, and Support for Cultural Heritage Tourism Development by Local People: The Moderator Role of Cultural Sustainability" Sustainability 15, no. 22: 15794. https://doi.org/10.3390/su152215794
APA StyleUslu, F., Yayla, O., Guven, Y., Ergun, G. S., Demir, E., Erol, S., Yıldırım, M. N. O., Keles, H., & Gozen, E. (2023). The Perception of Cultural Authenticity, Destination Attachment, and Support for Cultural Heritage Tourism Development by Local People: The Moderator Role of Cultural Sustainability. Sustainability, 15(22), 15794. https://doi.org/10.3390/su152215794






