Abstract
Biochars are proposed as a strategy for long-term carbon sequestration. High resistance for decomposition, low decay rate and long estimated lifetime allow for stable forms of carbon to be retained in the environment. Nevertheless, the application of pyrolyzed feedstock, particularly along with exogenous organic matter, may affect carbon dynamics in soil through the introduction of labile compounds and the stimulation of extracellular enzymes. The aim of this research was to evaluate the influence of biochars and unprocessed organic amendments in two agricultural soils on the dissolved organic carbon (DOC) content and activity of three enzymes involved in carbon turnover. In the incubation experiment, the activity of dehydrogenase, β-glucosidase, and cellulase and the DOC content were measured on days 30, 60, 90, 180, and 360. The addition of biochars stimulated dehydrogenase and β-glucosidase, while cellulase was suppressed. Fresh biomass enhanced the activity of the enzymes through a priming effect. DOC content was the highest in treatments with high enzyme activity, suggesting that it acted as a source of energy for microbes. The findings suggest that the biochar properties and the presence of exogenous organic matter affect microbial response in soil, which might be crucial for carbon sequestration. However, long-term studies are recommended to fully understand the mechanisms that determine the response of soil biota to biochar.
1. Introduction
In recent decades, the issue of rising greenhouse gas (GHG) emissions has gained particular interest [1,2]. The subject of main concern is carbon dioxide (CO2) due to observed imbalances between CO2 release to the atmosphere and carbon sequestration. It is estimated that the increase in CO2 content in the atmosphere reaches billions of tons per year [3]. Therefore, international efforts by governments and scientists aim to mitigate GHG emissions. One of the strategies is carbon (C) capture and storage, which allow for its stable forms to be retained in the environment [4]. In this context, soils are particularly important carbon sinks, as their content of C is many times higher than that in the atmosphere [5]. Moreover, it is possible to increase the soil carbon pool using proper land management strategies [6], which include afforestation [7,8]; non-tillage cultivation; organic farming; or the application of soil amendments, such as crop residues, compost, manure, or sewage sludge [9,10]. However, the long-term effect of these treatments is often debatable in terms of the amount of stored carbon and these amendments have to be applied regularly to ensure efficient soil carbon storage [4]. Another approach for soil C sequestration is the use of the amendments highly resistant for decomposition processes, with low decay rates and long estimated lifetime in the environment. In this context, biochar (BC) has attracted a lot of attention as a promising carbon sequestration tool [11,12].
The advantages of the biochars reported in the literature include long residence time—many times greater than unprocessed biomass—and potential to be applied as a soil fertilizer. The positive effect of carbonized organic matter on soils and crop yields has been known since ancient times and has been widely studied in the literature [13]. There is also a lot of research on the biochar effect on soil chemical properties [14,15], heavy metal availability, or soil remediation potential [10,16]. Authors described the positive impact of biochars on soil moisture or carbon content that led to better agronomic value of crops, such as plant length, fresh biomass, or chlorophyll content. Therefore, biochars are promising new substrates, useful in sustainable agronomy [17,18]. Another argument for the use of biochar is its great availability, limited only by the supply of biomass [4]. Although the impact of biochar on the soil environment is a subject of great interest to scientists, knowledge about the interaction between biochars and soil microorganisms and about the effect of the amendment on their activity and, consequently, on the dynamics of a carbon pool in biochar-amended soil is still limited and requires further studies.
Soil carbon pool is complex and consists both of labile fractions with a short residence time of few years to decades and recalcitrant compounds with an estimated lifetime of hundreds years [19]. Labile carbon fractions are considered a good indicator of soil quality, as they reflect current processes in the environment [20,21]. A particularly interesting part of the carbon pool is dissolved organic matter or dissolved organic carbon (DOC), defined as the most mobile portion of soil organic matter with particle sizes smaller than 0.45 μm [22]. DOC does not participate in C sequestration and promotes carbon losses with water runoff [23]. According to the current state of knowledge, DOC fluxes play an important role in the global carbon cycle; therefore, this indicator may be useful in research on C sequestration [24]. Another factor with rapid responses to environmental changes in amended soils is microbial activity. Microbes are involved in the short-term utilization of nutrients; therefore, their activity reflects organic matter turnover. Via a variety of enzymes, microorganisms are able to decompose organic substances in soil, and these processes start from the most labile, easily available compounds [25]. Therefore, we hypothesized that microbial activity along with dissolved organic carbon content can reflect the carbon pool dynamics in soils amended with biochar, and their identification is necessary in order to ensure effective C sink. Analyses of the most mobile carbon fractions seem to be crucial for understanding the changes in soil after the incorporation of different biochars and exogenous organic matter sources.
The aim of the presented research was to evaluate the DOC pool and microbial activity in biochar-amended soils, considering biochars derived from six different feedstocks and their co-application with other organic amendments commonly used in agriculture: compost, manure, and fresh legume biomass. We measured the activity of β-glucosidase (GA), dehydrogenase (DHA), and cellulase (CA), recommended as indicators of soil organic matter (SOM) turnover [20], along with DOC content. On that basis, the carbon sequestration potential of the tested biochars and the impact of organic amendments on carbon pool dynamics were evaluated.
2. Materials and Methods
2.1. Soils, Biochars, and Organic Amendments
An incubation experiment in laboratory conditions was carried out to study the influence of biochar and organic amendments on DOC content and enzyme activity in tested soils. The experimental soil samples included silt loam (SiL) and loamy sand (SA), collected from the topsoil layer (0–25 cm) of arable land near Trzebnica, Poland (51°18′17″ N; 17°3′41″ E). Before the experiment started, moist soil samples were stored in the refrigerator at 4 °C to keep them biologically active. Biochars were derived from six different feedstocks, accepted as biomasses available for pyrolysis [26]: kitchen wastes (BC1), cut green grass (BC2), coffee grounds (BC3), wheat straw (BC4), sunflower husks (BC5), and beech wood chips (BC6) (Figure 1). Each biomass was pyrolyzed at 550 °C for 60 min in nitrogen atmosphere, in a reactor chamber constructed for the semi-industrial scale of biochar production (approx. 10 kg of biomass per hour). The selection of a pyrolysis temperature of 550 °C was based on studies demonstrating that, at this temperature, the formation of a biochar is facilitated, and the product has characteristics that are beneficial for carbon sequestration, such as low H:C and O:C ratios along with a well-developed aromatic structure [27,28]. Additionally, three organic amendments commonly used as fertilizers in agronomic practices—compost (CO), cattle manure (MA), and fresh legume biomass (LE)—were tested. Compost was produced from kitchen and garden organic waste in a home composter. Cattle manure was obtained as a dry fertilizer from Fertigo company, Poland. The legume plant biomass of red and white clover (Trifolium repens L., Trifolium pratense L.) originated from meadows around Wrocław city, Poland.
Figure 1.
Biochars used in the experiment.
Basic properties of the substrates were evaluated before the experiment. Prior to laboratory analyses, samples of all materials were air-dried, sieved with a 2 mm mesh, and prepared following standard methodologies. The particle size distribution of soils was determined using a mesh and hydrometer method [29,30,31]. Cation exchange capacity (CEC) was measured in the soil and biochar samples on a Microwave Plasma-Atomic Emission Spectrometer MP-AES 4200 (Agilent Technologies, Santa Clara, CA, USA) after sample extraction with 1 mol dm−3 ammonium acetate and pre-treatment with isopropanol [32]. The total organic carbon (TOC) and total nitrogen (TN) content in the substrates were analyzed on a TOC/TN analyzer (Elementar, Langenselbold, Germany). The ash content was calculated based on the loss of mass after combustion at 550 °C in a muffle furnace [33]. The properties of the substrates are presented in Table 1.
Table 1.
Characteristics of soils, biochars, and organic amendments used in the experiment.
Soils in the experiment differed in terms of texture and basic chemical properties. Loose loamy sand (SA) was characterized by low cation exchange capacity, organic carbon content (0.72%), and total nitrogen (0.04%), along with acidic pH. Silt loam (SiL) was more fertile, with a well-developed sorption complex and a significantly higher content of organic carbon (0.99%) and nitrogen (0.07%). Biochars obtained from different biomass exhibited varied basic properties. The pH of BCs was neutral to alkaline, and the carbon content ranged from 52% for kitchen waste BC, with lowest carbonization rate, up to 78% of C in the highly carbonized biochar from sunflower husk. In general, the carbonization rate of BCs obtained under similar temperature and time regime conditions correlates with the content of lignocellulose, as studies of other authors claim that woody biomasses tend to promote the carbonization of biochar due to higher lignin and cellulose contents, compared with grass or herbs [34]. The highest content of nitrogen (3.16%) was in coffee ground biochar, while an even tenfold lower content of TN was determined in wheat straw and sunflower husk BC (Table 1).
2.2. Incubation Experiment
Prior to the experiment, all of the substrates were manually crushed or, in the case of fresh clover, cut with scissors to pass a 2 mm sieve. Before cutting, the clover plants were rinsed with distilled water to avoid introducing contaminants with soil and dust particles. Amendments were thoroughly mixed with sandy and loamy soil at the following rates: 2% (v/w) of biochar, corresponding to 0.565–0.915 t ha−1, depending on the biochar’s bulk density, and 1% (w/w) of organic matter, which is an equivalent of 37.5 t ha−1 (Table 2). Then, 100 g of mixed substrates was placed in 550 mL glass vessels in three replicates and left open to allow gas exchange. The vessels were incubated at a constant temperature of 22 °C in a location protected from direct sunlight and watered with distilled water to maintain the moisture at 20%, by weight (Figure 2).
Table 2.
Summary of the treatments.
Figure 2.
Design of the experiment and scopes of the analyses.
2.3. Activity of Enzymes
The activity of all tested enzymes and dissolved organic carbon content in incubated samples was determined at days 30, 60, 90, and 180 and at the end of incubation (day 360). Concentration measurements based on colorimetry were performed using the Cary 60 UV-Vis spectrophotometer (Agilent, Santa Clara, CA, USA).
2.3.1. β-Glucosidase
β-Glucosidase (GA) in soils participates in the microbial degradation of sugars: maltose and cellobiose, which are utilized by microbes as a source of energy. Due to that, GA is considered a reliable indicator of organic matter turnover [35]. The activity of the enzyme was measured colorimetrically, based on the estimations of p-nitrophenol (PNP). The principle of this method is to determine the quantity of PNP, produced in the hydrolysis of p-nitrophenyl-beta-D-glucopyranoside. Briefly, 1 g of moist sample was incubated for 1 h in 37 °C with a buffer and toluene. Then, a yellow color was developed by the addition of 0.5 mol dm−3 CaCl2 and TRIS buffer with pH = 12 [35]. Measurements of absorbance were conducted in three replicates at 400 nm wavelength. The activity of β-glucosidase was expressed as micrograms of PNP released by 1 g of dry soil sample in one hour [36].
2.3.2. Dehydrogenase
Dehydrogenase (DHA) is often proposed as an indicator of microbial activity as well as changes in soil quality. This enzyme is crucial in the biological decomposition of organic matter by transferring the electrons and protons in the oxidative degradation (dehydrogenation) process. The assay applied in this study assumes the reduction of 2,3,5-triphenyltetrazolium chloride (TTC) to red-colored formazan (TPF), which can be measured colorimetrically. In this method, 6 g of moist sample was incubated for 20 h in 30 °C with a TTC solution, with the addition of CaCO3. After the incubation, 25 mL of ethanol was added to the suspension to extract produced TFP. A red solution was filtered, and the concentration of TPF was measured at a wavelength of 485 nm. The activity of dehydrogenase was expressed as millimoles of TPF released by 1 g of soil dry mass, during 20 h of incubation [37,38].
2.3.3. Cellulase
Cellulases (CAs) are a group of enzymes responsible for the degradation of cellulose, one of the most abundant organic components in the biosphere, that can be transformed by microorganisms into oligosaccharides. Since cellulose is the most common biopolymer in the environment, the activity of cellulase is crucial to understanding the soil C cycle and organic matter turnover [39]. The activity of this enzyme was estimated following the principles of the methodology described in detail by Zhang et al. [20] (in the Supplementary Materials), based on anthrone colorimetry [40]. A 1 g moist soil sample was treated with toluene and then incubated with a carboxymethyl-cellulose solution and acetate buffer. The samples were incubated in 37 °C for 3 h, and then, the temperature was increased to 90 °C for 15 min. The suspension was filtered, and an anthrone reagent was added to the clear filtrate. The samples were left for 10 min to develop a blue color. Cellulase activity was measured at 620 nm wavelength and expressed as micromoles of the enzyme per 1 g of dry soil mass per 24 h (1 day).
2.3.4. Dissolved Organic Carbon
Dissolved organic carbon (DOC) extraction methods described in the literature differ in terms of the main reagent and assume the use of distilled water, diluted NaOH or HCl, as well as neutral salts, mainly KCl and K2SO4 [22,41]. Considering the advantages and drawbacks of available approaches, the extraction of DOC with water was chosen as it reflects the natural conditions in soil without changes in pH [42]. Time of extraction is also a subject of discussion; however, as a result of our own observations, no significant differences were noted between the amount of DOC determined after 1 h and 24 h of extraction. The protocol applied in this study assumed the extraction of soil samples with ultrapure water in a 1:20 ratio. The samples were shaken on the rotary stirrer for 1 h; then, the suspension was pre-filtered with a cellulose filter. To ensure that the fraction that remained in the solution was DOC (particles smaller than 0.45 µm), the extracts were additionally filtered with MCE (mixed cellulose esters) syringe filters and pre-washed with 5 mL of distilled water, with pore diameters of 0.45 µm. The organic carbon content in extracts that reflect the DOC content was determined on a sample TOC/TN analyzer (Elementar, Langenselbold, Germany) (Figure 2).
2.4. Data Analysis and Visualization
The results of the experiment were stored and calculated using MS Excel Professional Plus 2019 Software (Microsoft, Redmond, WA, USA). The statistical tool used to compare effect of biochar on enzyme activity and DOC content was ANOVA, applied on cumulative results, in order to consider the whole incubation period, not only the varied observations of particular measurements. An ANOVA analysis was performed using R 4.3.1 software for Windows. The figures were prepared in GraphPad Prism 5 Software for Windows (GraphPad Software Inc., San Diego, CA, USA), along with the calculations of standard deviation. The charts were combined into collective graphics using the Canva application (Perth, Australia).
3. Results
3.1. β-Glucosidase Activity
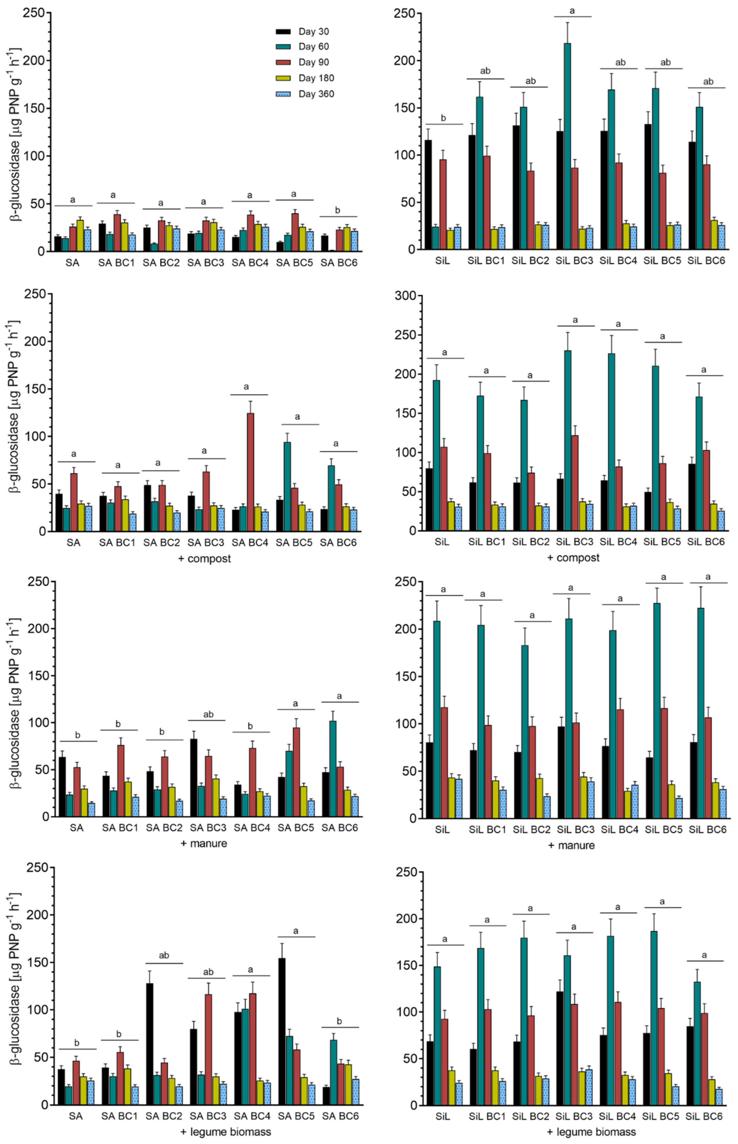
The results indicated that biochar application to soil had a relevant effect on the β-glucosidase activity (GA) (Figure 3). In sandy soil (SA), biochar application increased β-glucosidase activity between 60 and 180 days of incubation; however, no significant differences (p < 0.05) were observed between tested biochars originating from different biomass. The effect of the feedstock was more pronounced in the SiL BC3 treatment, indicating significantly (p < 0.05) higher values of GA in coffee-ground-biochar-treated soil (up to 230.2 µg PNP g−1 h−1). The application of organic matter also contributed to the process; nonetheless, a better response to exogenous organic matter was indicated on silt loam soil (SiL). On sandy soil, the highest peak of β-glucosidase activity was determined on treatments SA BC4 (wheat straw BC) and SA BC5 (sunflower husk BC) with additional compost application and SA BC2 (cut grass BC) along with SA BC5 for legume biomass treated soil. In SiL BC treatments, the application of CO, MA, or LE caused an increase in GA after 60 days from amendment application; however, changes between different SiL BC treatments were not statistically significant (p < 0.05). The β-glucosidase activity decreased with time, reaching the lowest values at the 12th month of the incubation experiment.
Figure 3.
β-glucosidase activity among tested treatments. SA = sandy soil, SiL = silt loam soil, BC1-6 = biochars (see Table 1). Values are means ± SD from three replicates. Letters indicate homogenous groups considering biochar type as a main factor (p < 0.05).
3.2. Dehydrogenase Activity
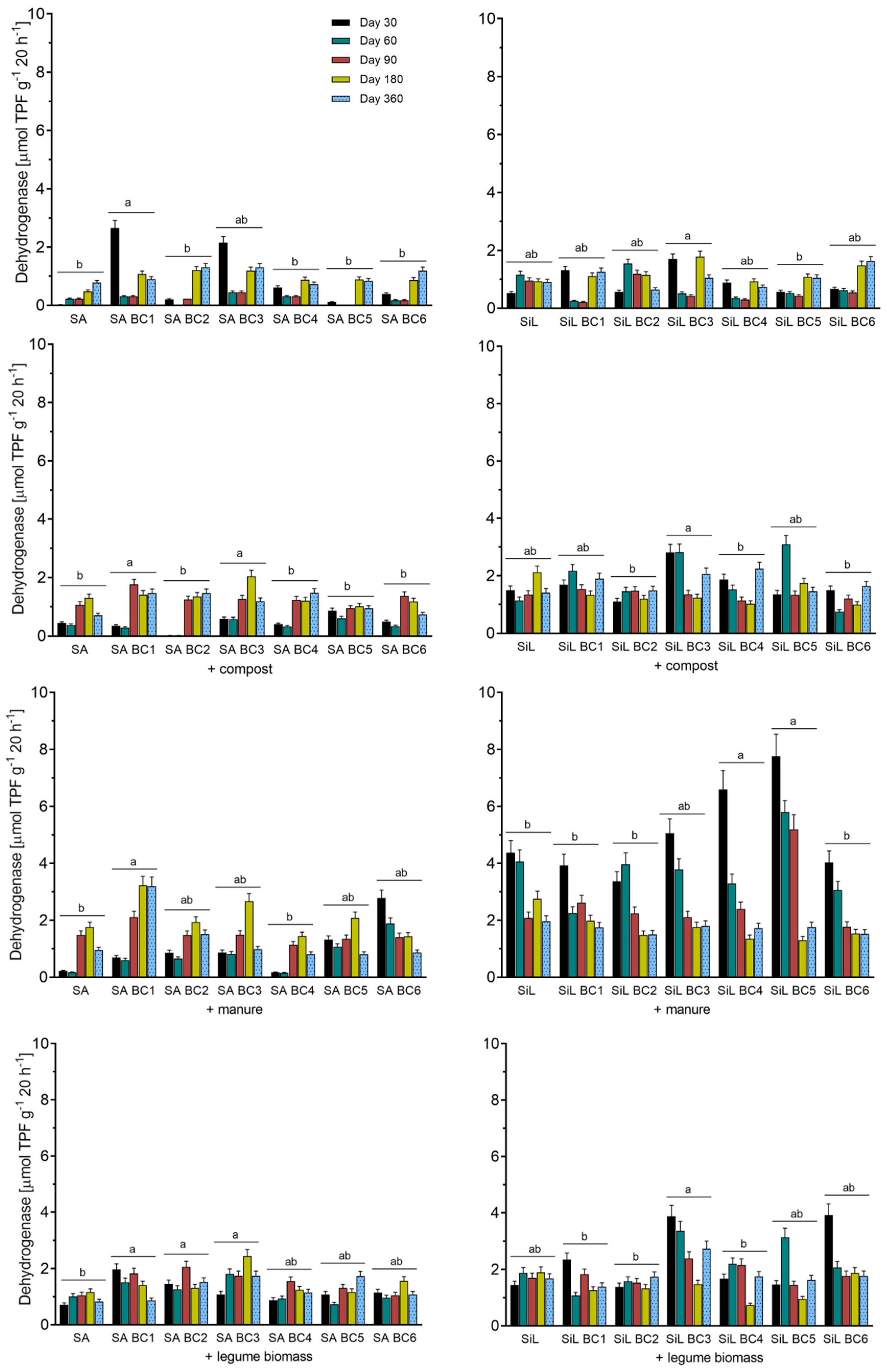
In all treatments, soil dehydrogenase activity (DHA) was higher in SiL compared with in SA (Figure 4). Biochar presence in the tested soils affected microbial activity with respect to untreated soil. Significant (p < 0.05) changes were indicated in the SA BC1 (food waste biochar) and SA BC3 (coffee ground biochar) treatments, while for SA BC5 and SA BC6, higher-than-detectable-by-the-method DHA values were registered 180 days after BC application, showing that less carbonized biochars with high TN content are more prone to microbial degradation compared with high lignocellulose biochars obtained from biomass with low TN values (Table 1). Considering the impact of additional organic amendments, there was a positive effect of manure (MA) on DHA in both soil types. Dehydrogenase activity reached up to 6.60 µmol TPF g−1 20 h−1 on SiL BC4 + MA or 7.76 µmol TPF g−1 20 h−1 on SiL BC5 + MA, being several times higher than that in other tested variants. The lowest values were noted on compost-amendment soils, up to 2–3 µmol TPF g−1 20 h−1; nonetheless, they were higher than that on soils with solely biochar addition (without organic fertilizers). In general, the effect of organic amendment on dehydrogenase activity was similar for both tested soil types. The greatest impact on DHA was observed for manure, followed by legume biomass, and the lowest was observed for compost.
Figure 4.
Dehydrogenase activity among tested treatments. SA = sandy soil, SiL = silt loam soil, BC1-6 = biochars (see Table 1). Values are means ± SD from three replicates. Letters indicate homogenous group considering biochar type as a main factor (p < 0.05).
3.3. Cellulase Activity
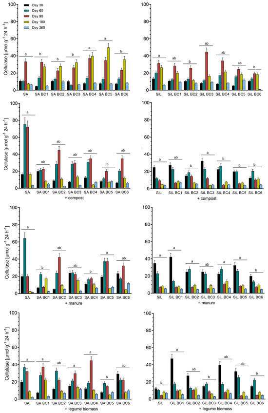
The opposite effect compared to GA and DHA was noticed for cellulase activity (CA), indicating higher values on sandy soil (SA) compared with silt loam soil (SiL) during the whole incubation period (Figure 5). In biochar-amended treatments, an increase in enzyme activity was observed between 90 and 180 days of incubation, decreasing rapidly with time. The highest peaks of CA were detected on the 180th day of incubation. Compost and manure application to sandy soils with biochar decreased CA compared with treatments without biochar addition. The highest values were measured in the control soil without biochar combined with manure or compost—peak 75.60 µmol g−1 24 h−1 in the SA + CO treatment (Figure 5). The opposite effect of enhanced CA activity was observed in SA BC treatments with the addition of fresh legume biomass; however, on SA BC5, the CA values were the lowest at a significant level (p < 0.05). In silt loam soil, CA was the highest in SiL BC3 and SiL BC4; however, the application of compost or manure did not enhance enzymatic activity. The co-application of biochar with organic amendments in some cases resulted in a significant inhibition of CA activity, compared with non-biochar-amended treatments (SiL BC3 + MA, SiL BC6 + MA). Increased CA was observed for both tested soils after the co-application of raw legume biomass with food waste biochar (BC1), wheat straw (BC4), and sunflower husk (BC5) (Figure 5).
Figure 5.
Cellulase activity among tested treatments. SA = sandy soil, SiL = silt loam soil, BC1-6 = biochars (see Table 1). Values are means ± SD from three replicates. Letters indicate homogenous group considering biochar type as a main factor (p < 0.05).
3.4. Dissolved Organic Carbon
Dissolved organic carbon (DOC) represents the mobile pool of organic matter, easily available to microbes. The application of biochar impacted the content of DOC; however, the effect was distinct in both tested soils. In SA treatments, the DOC content increased rapidly after BC application up to the first 90 days of incubation. The highest content of DOC was observed in SA BC1 and SA BC3, while some biochars, e.g., SA BC2, did not contribute to the process (Figure 6). In SA BC soils treated with compost, no significant changes were observed between the treatments, while the application of manure to SA BC soils increased the DOC content and surprisingly the highest peak was observed on SA BC2 with the lowest initial content of DOC. The application of raw organic matter in the form of legumes along with biochars did not significantly affect the DOC, with the exception of SA BC1 treatment (Figure 6). In SiL treatments, a significant (p < 0.05) increase in DOC after biochar application was only observed for SiL BC1, and similarly to SA, the effect of biochar application on DOC content was observed after 60 to 90 days of incubation. The co-application of biochars with compost and legume biomass did not significantly affect the DOC in silty soil, while the greatest significant (p < 0.05) effect was observed in the SiL BC1 + MA treatment. Depending on the variant of the experiment, the maximum concentrations of DOC were observed at different stages of incubation. In treatments with BC1 (kitchen waste biochar), DOC content was particularly high at the beginning (days 30 and 60). In soils amended with BC4 (wheat straw), BC5 (sunflower husks), or BC6 (wood chips biochar), the maxima of DOC concentration were observed at 60 and 90 days of incubation. Moreover, after 360 days, the DOC concentrations were higher in almost every treatment than at their previous measurement on day 180, probably due to the decomposition of tested organic amendments. Considering the effect of biochar type on the DOC content among the treatments, kitchen waste biochar (BC1) significantly (p < 0.05) increased the labile carbon pool in almost every tested combination. In most cases, however, no significant differences at (p < 0.05) were noted between studied biochars, considering the entire incubation period.
Figure 6.
Dissolved organic carbon content among tested treatments. SA = sandy soil, SiL = silt loam soil, BC1-6 = biochars (see Table 1). Values are means ± SD from three replicates. Letters indicate homogenous group considering biochar type as a main factor (p < 0.05).
4. Discussion
Although the biochar effect on soil properties has been recently studied and discussed by researchers, knowledge about BC’s role in C turnover and sequestration of CO2 is largely unknown. Microbial activity is crucial for the process of soil organic matter (SOM) mineralization. The addition of exogenous organic amendments like biochar, manure, or fresh biomass can affect the decomposition of SOM, mainly by becoming an additional source of C, nutrients, and moisture to soil microbes. Based on our previous research, the content of potentially available-to-microbes forms of C in biochars, e.g., DOC or polysaccharides, depends on biochar origin. Some biochars, due to their properties, can be more prone to microbial degradation, contributing to the process of C turnover in soil [43]. The addition of organic amendments influences the physical and chemical environment of the soil and therefore affects soil microorganisms [44]. Enzymatic activity helps to identify the main drivers of the C, N, and P biogeochemical cycles, and extracellular enzyme activity is considered as one of the most important indicators for assessing the stability of organic matter in soils amended with biochar [45,46]. One of the objectives of this research was to determine the effect of biochar derived from different feedstock on soil enzyme activity and to justify if soil enzymes are useful indicators of biochar impact on C cycle. For better understanding the effects of biochar addition on CO2 sequestration under field conditions, we compared the enzymatic activity from biochar-amended soils with that of soils amended with biochar and exogenous forms of organic matter that are commonly applied to soil due to agriculture practices (manure, compost, and fresh legume biomass).
The presented results confirm that enzymes are sensitive indicators of changes in soil environment caused by the addition of biochar or organic matter [47]. However, the effect of biochar and biochar co-application with unprocessed organic matter on soil enzyme activity was inconsistent. As our data showed, these responses vary depending on biochar origin soil type, the presence of exogenous organic carbon (EXOC), or even the tested extracellular enzyme. For example, biochar and EXOC application tended to increase the activities of dehydrogenase and β-glucosidase, while cellulase activity was inhibited compared with that in non-amended soils. Similar findings for the C-cycle enzymes were reported by Wang et al. [48] and by Khadem and Raiesi [49]. The effect of biochar on extracellular enzyme activity is known to depend on the interaction between the substrate and enzyme (e.g., in sorption and desorption processes) and could be affected by biochar porosity or specific surface area [50]. Biochars produced at high temperature, with more aromatic structure and well-developed functional groups on the surface tending to bind nutrients and extracellular enzymes, thus reducing the soil enzyme activity. In our study, biochars obtained at 550 °C did not reduce β-glucosidase and dehydrogenase activity; however, a lower carbonization rate, a higher total nitrogen content, and more aliphatic properties of biochars derived from kitchen wastes and coffee grounds seem to have more pronounced impacts on soil microbial activity [51]. The highest enzymatic activity in soils amended with kitchen waste (BC1) and coffee ground (BC3) biochars confirmed the findings of our previous analysis [43]. Biochars characterized with the high content of labile carbon fractions, such as DOC or water soluble carbohydrates (WSC), are more prone to degradation processes, becoming a source of easily utilized carbon for soil microbes, thus enhancing microbial activity [52,53]. Comparing the data regarding chemical characteristics of biochars with microbial activity after their application into the soil, we can conclude that biochar carbonization rates and H:C or O:C ratios are useful predictors of their recalcitrance in soil [49,54].
An increase in β-glucosidase and dehydrogenase activity in soils amended with BCs and EXOC stays in agreement with the findings of other studies [55,56] and can be explained as a consequence of increased soil organic carbon content, which is a source of energy for microorganisms and promotes microbial activity [57,58,59]. Mierzwa-Hersztek et al. [60] indicated that the application of wheat straw biochar with the co-application of nutrients increased the population of soil microorganism, thus increasing dehydrogenase activity. Bailey et al., studying the effects of biochar made from the fast pyrolysis of switchgrass, described increased β-glucosidase activity (up to seven folds) in shrub-steppe soil [61]. The opposite effect of biochar application to soils was indicated in terms of cellulase activity. The suppression of cellulase activity caused by biochar was reported by Feng et al. [62], who performed a comprehensive meta-analysis of the data from 130 research papers. Several factors were indicated as being responsible for cellulase activity inhibition, e.g., biochar feedstock type, pyrolysis temperature, or soil texture. It was noted that herb and wood biochars (BC2 and BC6 in this study) tended to significantly reduce cellulase activity, along with sandy and clayey soil texture [62]. The effect of suppressed cellulase activity can be attributed to the properties of biochar or changes in microbial community after amendment application. Biochar addition by introducing additional phenolic and lignin-like compounds can alter the chemical composition of soil organic matter, reducing the bioavailability of C compounds decomposable with cellulase [62,63]. In a meta-analysis, Li et al. [64] pointed out that biochar causes a shift towards a fungi-dominant microbial community, promoting ligninase activity and suppressing cellulase in biochar amended soils. The suppressed activity of the enzyme is beneficial for long-term carbon sequestration in soil, reducing the biodegradation of polysaccharides [65]. However, the response of cellulase to BC amendment often varies between short-term (<1 year) and long-term experiments, which may cause misleading conclusions regarding C-sequestration potential based on this parameter [66].
The response of soil enzymes to biochars was highly variable and depended not only on the biochar origin and properties but also on the soil properties, e.g., texture, pH, and carbon and nitrogen content. In this study, more activity by extracellular enzymes was observed on less acidic SiL soil with higher carbon and nitrogen contents. Also, clay minerals can contribute to this process [67], increasing the availability of mineral N [68] and promoting the production of C-decomposing enzymes [69]. Manure, compost, and legume biomass impacted the biochar-amended soil differently compared with the application of solely biochar. We assumed that partly decomposed organic matter from exogenous organic matter was easily available to microorganisms. Organic manure and compost are known to have a great impact on the carbon content and microbial activity, compared with mineral fertilizers [70]. The effect of manure and compost application on enzyme activity enhancement was often the greatest between days 60 and 180 from application, while microbes were able to utilize carbon and nitrogen from fresh legumes immediately after biomass application. The results of the study indicated that the co-application of biochar with fresh biomass on non-tillage agronomic practices accelerates the turnover of C in soil, thus limiting the efficiency of C sequestration processes in biochar-amended soils.
DOC analysis in soil can be also a useful tool in predicting the potential of organic amendment to increased/decreased soil microbial activity. In the study, we used this indicator to identify which of the tested biochars are potentially more prone to degradation processes. The DOC content in BCs corresponded well with changes in the enzymatic activity after biochar application. For example, the highest DOC content in soils with BC1 and BC3 was in line with the initial high DOC content in these biochars and enhanced the enzyme activity in the amended soils. Karimi et al. [71] and Wojewódzki et al. [47] reported that biochar application to soil increases DOC content, along with dehydrogenase activity, and described a positive correlation between DOC and enzyme concentration. A positive correlation was also found between DOC and β-glucosidase, suggesting that a labile carbon pool introduced into the soil provides energy for microbes and supports their activity [72]. In this context, why the content of DOC was quite equal between soil types despite the higher enzyme activity in SiL soil should be explained. Dissolved organic carbon is mobile and easily leachable. The accumulation and stabilization of organic compounds is affected by the presence of soil clay minerals [73]. As the clay content was higher in SiL soil, DOC was adsorbed and could be utilized as a source of energy for microbes, contrary to sandy substrate, where labile carbon fractions were easily leached in the first months of incubation.
The responses of enzyme activity and DOC to biochar and EXOC addition could have an effect on carbon sequestration. As EXOC acts as a source of carbon for microbes, which was expressed by the enhanced DOC content along with increased microbial activity in the treatments with compost, manure, or legumes, the co-application of BCs and EXOC may cause a positive priming effect and may reduce the carbon sequestration potential. However, a literature meta-analysis of the available data on the correlation between enzymes activity and carbon sequestration potential of biochar indicates that short-term and long-term results are often contradictory [62], and during the incubation period, some fluctuations were observed. Moreover, it is underlined that simple shifts in mobile carbon pool and microbial activity cannot fully explain the BC carbon sequestration potential, as other soil properties and processes could also significantly influence this process [74]. However, the described relationships between biochar properties such as molar ratio, labile carbon content, and enzyme activity allow certain conclusions to be drawn about the factors that promote biochar degradation in soils and about the potential of the tested biochars for carbon sequestration. The results showed that weakly carbonized biochars, such as those from food biomasses, will be more susceptible to microbial attacks and will decompose faster in the soil than more carbonized pyrolyzed high-lignocellulose biomasses.
5. Conclusions
The presented observations proved that the activity of the enzymes along with the dissolved organic carbon content differ depending on the soil type, biomass used as a feedstock for biochar production, or presence and type of exogenous organic matter. Considering the soil type, enzyme activity tended to be enhanced on silt loam, compared with loamy sand, as a result of its greater content and availability of organic C and N, acting as a source of energy for microbes. The addition of EXOC promoted microbial activity due to the incorporation of DOC and nutrients, causing a short-term priming effect. The response of the enzymatic activity varied between treatments and analyzed enzymes. The application of biochar increased β-glucosidase and dehydrogenase activity, similarly to the introduction of raw legume biomass, manure, or compost, while cellulase activity was suppressed, which can be explained by the changes in soil organic matter composition and the presence of lignin being more prone to degradation by fungi and with other enzymes, such as ligninase. Low-carbonized food waste biochars, containing a larger pool of labile compounds, were more susceptible to microbial attacks than well-charred wood or grass biomasses. Our findings support the hypothesis that biochar properties and the presence of additional organic matter greatly affect microbial response in soil and thus are important to the carbon sequestration potential. The application of well-carbonized biochars in soils with low organic matter contents may prevent organic carbon losses, thus contributing to C sequestration and maintaining soil quality. However, long-term studies are highly recommended to fully understand the mechanisms that determine the response of soil biota to biochar addition.
Author Contributions
Conceptualization, M.B. and A.M.-J.; methodology, M.B.; software, M.B. and M.D.; validation, M.B.; formal analysis, M.B.; investigation, M.B., A.M.-J. and M.D.; resources, A.M.-J.; data curation, M.B. and M.D.; writing—original draft preparation, M.B. and M.D.; writing—review and editing, A.M.-J. and I.Ć.-P.; visualization, M.B.; supervision, A.M.-J. and I.Ć.-P.; project administration, M.B., A.M.-J. and I.Ć.-P.; funding acquisition, M.B. All authors have read and agreed to the published version of the manuscript.
Funding
This work was supported by the Wroclaw University of Environmental and Life Sciences (Poland) as the Ph.D. research program “Innowacyjny Doktorat”, no. N070/0009/20.
Institutional Review Board Statement
Not applicable.
Informed Consent Statement
Not applicable.
Data Availability Statement
Data sharing is not applicable to this article.
Acknowledgments
Authors thank the laboratory staff at the Institute of Soil Science, Plant Nutrition and Environmental Protection, Wrocław University of Environmental and Life Sciences, for providing equipment and technical assistance during analysis.
Conflicts of Interest
The authors declare no conflict of interest.
References
- Mona, S.; Malyan, S.K.; Saini, N.; Deepak, B.; Pugazhendhi, A.; Kumar, S.S. Towards Sustainable Agriculture with Carbon Sequestration, and Greenhouse Gas Mitigation Using Algal Biochar. Chemosphere 2021, 275, 129856. [Google Scholar] [CrossRef] [PubMed]
- Hussain, S.; Hussain, S.; Guo, R.; Sarwar, M.; Ren, X.; Krstic, D.; Aslam, Z.; Zulifqar, U.; Rauf, A.; Hano, C.; et al. Carbon Sequestration to Avoid Soil Degradation: A Review on the Role of Conservation Tillage. Plants 2021, 10, 2001. [Google Scholar] [CrossRef] [PubMed]
- Steinbeiss, S.; Gleixner, G.; Antonietti, M. Effect of Biochar Amendment on Soil Carbon Balance and Soil Microbial Activity. Soil Biol. Biochem. 2009, 41, 1301–1310. [Google Scholar] [CrossRef]
- Gross, A.; Bromm, T.; Glaser, B. Soil Organic Carbon Sequestration after Biochar Application: A Global Meta-Analysis. Agronomy 2021, 11, 2474. [Google Scholar] [CrossRef]
- Lehmann, J.; Abiven, S.; Kleber, M.; Pan, G.; Singh, B.; Sohi, S.P.; Zimmerman, A.R. Persistence of Biochar in Soil. In Biochar for Environmental Management: Science, Technology and Implementation; Routledge, Taylor & Francis Group: London, UK; New York, NY, USA, 2015; pp. 267–314. ISBN 978-0-415-70415-1. [Google Scholar]
- Minasny, B.; Malone, B.P.; McBratney, A.B.; Angers, D.A.; Arrouays, D.; Chambers, A.; Chaplot, V.; Chen, Z.-S.; Cheng, K.; Das, B.S.; et al. Soil Carbon 4 per Mille. Geoderma 2017, 292, 59–86. [Google Scholar] [CrossRef]
- Fradette, O.; Marty, C.; Faubert, P.; Dessureault, P.-L.; Paré, M.; Bouchard, S.; Villeneuve, C. Additional Carbon Sequestration Potential of Abandoned Agricultural Land Afforestation in the Boreal Zone: A Modelling Approach. For. Ecol. Manag. 2021, 499, 119565. [Google Scholar] [CrossRef]
- Thibault, M.; Thiffault, E.; Bergeron, Y.; Ouimet, R.; Tremblay, S. Afforestation of Abandoned Agricultural Lands for Carbon Sequestration: How Does It Compare with Natural Succession? Plant Soil 2022, 475, 605–621. [Google Scholar] [CrossRef]
- Kumar, N.; Nath, C.P.; Hazra, K.K.; Das, K.; Venkatesh, M.S.; Singh, M.K.; Singh, S.S.; Praharaj, C.S.; Singh, N.P. Impact of Zero-till Residue Management and Crop Diversification with Legumes on Soil Aggregation and Carbon Sequestration. Soil Tillage Res. 2019, 189, 158–167. [Google Scholar] [CrossRef]
- Wang, H.; Wang, S.; Yu, Q.; Zhang, Y.; Wang, R.; Li, J.; Wang, X. No Tillage Increases Soil Organic Carbon Storage and Decreases Carbon Dioxide Emission in the Crop Residue-Returned Farming System. J. Environ. Manag. 2020, 261, 110261. [Google Scholar] [CrossRef]
- Gupta, D.K.; Gupta, C.K.; Dubey, R.; Fagodiya, R.K.; Sharma, G.; Noor Mohamed, M.B.; Dev, R.; Shukla, A.K. Role of Biochar in Carbon Sequestration and Greenhouse Gas Mitigation. In Biochar Applications in Agriculture and Environment Management; Singh, J.S., Singh, C., Eds.; Springer International Publishing: Cham, Switzerland, 2020; pp. 141–165. ISBN 978-3-030-40996-8. [Google Scholar]
- Smith, P. Soil Carbon Sequestration and Biochar as Negative Emission Technologies. Glob. Chang. Biol. 2016, 22, 1315–1324. [Google Scholar] [CrossRef]
- Glaser, B. Prehistorically Modified Soils of Central Amazonia: A Model for Sustainable Agriculture in the Twenty-First Century. Philos. Trans. R. Soc. B 2007, 362, 187–196. [Google Scholar] [CrossRef] [PubMed]
- Zhang, Y.; Hartemink, A.E.; Huang, J. Spectral Signatures of Soil Horizons and Soil Orders—An Exploratory Study of 270 Soil Profiles. Geoderma 2021, 389, 114961. [Google Scholar] [CrossRef]
- Ahmad Bhat, S.; Kuriqi, A.; Dar, M.U.D.; Bhat, O.; Sammen, S.S.; Towfiqul Islam, A.R.M.; Elbeltagi, A.; Shah, O.; AI-Ansari, N.; Ali, R.; et al. Application of Biochar for Improving Physical, Chemical, and Hydrological Soil Properties: A Systematic Review. Sustainability 2022, 14, 11104. [Google Scholar] [CrossRef]
- Paz-Ferreiro, J.; Lu, H.; Fu, S.; Méndez, A.; Gascó, G. Use of Phytoremediation and Biochar to Remediate Heavy Metal Polluted Soils: A Review. Solid Earth 2014, 5, 65–75. [Google Scholar] [CrossRef]
- Sánchez, E.; Zabaleta, R.; Fabani, M.P.; Rodriguez, R.; Mazza, G. Effects of the Amendment with Almond Shell, Bio-Waste and Almond Shell-Based Biochar on the Quality of Saline-Alkali Soils. J. Environ. Manag. 2022, 318, 115604. [Google Scholar] [CrossRef]
- Zabaleta, R.; Sánchez, E.; Fabani, P.; Mazza, G.; Rodriguez, R. Almond Shell Biochar: Characterization and Application in Soilless Cultivation of Eruca Sativa. Biomass Conv. Bioref. 2023. [Google Scholar] [CrossRef]
- Cheng, L.; Leavitt, S.W.; Kimball, B.A.; Pinter, P.J.; Ottman, M.J.; Matthias, A.; Wall, G.W.; Brooks, T.; Williams, D.G.; Thompson, T.L. Dynamics of Labile and Recalcitrant Soil Carbon Pools in a Sorghum Free-Air CO2 Enrichment (FACE) Agroecosystem. Soil Biol. Biochem. 2007, 39, 2250–2263. [Google Scholar] [CrossRef]
- Zhang, L.; Chen, X.; Xu, Y.; Jin, M.; Ye, X.; Gao, H.; Chu, W.; Mao, J.; Thompson, M.L. Soil Labile Organic Carbon Fractions and Soil Enzyme Activities after 10 Years of Continuous Fertilization and Wheat Residue Incorporation. Sci. Rep. 2020, 10, 11318. [Google Scholar] [CrossRef]
- Mahajan, N.C.; Mrunalini, K.; Prasad, K.S.K.; Naresh, R.K.; Sirisha, L. Soil Quality Indicators, Building Soil Organic Matter and Microbial Derived Inputs to Soil Organic Matter under Conservation Agriculture Ecosystem: A Review. Int. J. Curr. Microbiol. Appl. Sci. 2019, 8, 1859–1879. [Google Scholar] [CrossRef]
- Liu, C.-H.; Chu, W.; Li, H.; Boyd, S.A.; Teppen, B.J.; Mao, J.; Lehmann, J.; Zhang, W. Quantification and Characterization of Dissolved Organic Carbon from Biochars. Geoderma 2019, 335, 161–169. [Google Scholar] [CrossRef]
- Camino-Serrano, M.; Gielen, B.; Luyssaert, S.; Ciais, P.; Vicca, S.; Guenet, B.; Vos, B.D.; Cools, N.; Ahrens, B.; Altaf Arain, M.; et al. Linking Variability in Soil Solution Dissolved Organic Carbon to Climate, Soil Type, and Vegetation Type: Factors Controlling Soil Solution DOC. Glob. Biogeochem. Cycles 2014, 28, 497–509. [Google Scholar] [CrossRef]
- Moore, T.R. Dissolved Organic Carbon: Sources, Sinks, and Fluxes and Role in the Soil Carbon Cycle. In Soil Processes and the Carbon Cycle, 1st ed.; Lal, R., Kimble, J.M., Follett, R.F., Stewart, B.A., Eds.; CRC Press: Boca Raton, FL, USA, 2018; ISBN 978-0-203-73927-3. [Google Scholar]
- Demisie, W.; Liu, Z.; Zhang, M. Effect of Biochar on Carbon Fractions and Enzyme Activity of Red Soil. Catena 2014, 121, 214–221. [Google Scholar] [CrossRef]
- EBC (2012–2022). European Biochar Certificate—Guidelines for a Sustainable Production of Biochar; Carbon Standards International (CSI): Frick, Switzerland, 2022; Version 10.2 from 8 December 2022; Available online: http://european-biochar.org (accessed on 10 March 2023).
- Zalazar-Garcia, D.; Fernandez, A.; Rodriguez-Ortiz, L.; Torres, E.; Reyes-Urrutia, A.; Echegaray, M.; Rodriguez, R.; Mazza, G. Exergo-Ecological Analysis and Life Cycle Assessment of Agro-Wastes Using a Combined Simulation Approach Based on Cape-Open to Cape-Open (COCO) and SimaPro Free-Software. Renew. Energy 2022, 201, 60–71. [Google Scholar] [CrossRef]
- Jeong, C.Y.; Dodla, S.K.; Wang, J.J. Fundamental and Molecular Composition Characteristics of Biochars Produced from Sugarcane and Rice Crop Residues and By-Products. Chemosphere 2016, 142, 4–13. [Google Scholar] [CrossRef] [PubMed]
- Papuga, K.; Kaszubkiewicz, J.; Kawałko, D. Do We Have to Use Suspensions with Low Concentrations in Determination of Particle Size Distribution by Sedimentation Methods? Powder Technol. 2021, 389, 507–521. [Google Scholar] [CrossRef]
- Pansu, M.; Gautheyrou, J. Handbook of Soil Analysis: Mineralogical, Organic and Inorganic Methods; Springer: Berlin, Germany; New York, NY, USA, 2006; ISBN 978-3-540-31211-6. [Google Scholar]
- Beretta, A.N.; Silbermann, A.V.; Paladino, L.; Torres, D.; Bassahun, D.; Musselli, R.; García-Lamohte, A. Soil Texture Analyses Using a Hydrometer: Modification of the Bouyoucos Method. Ciencia Investigación Agrarian 2014, 41, 25–26. [Google Scholar] [CrossRef]
- Munera-Echeverri, J.L.; Martinsen, V.; Strand, L.T.; Zivanovic, V.; Cornelissen, G.; Mulder, J. Cation Exchange Capacity of Biochar: An Urgent Method Modification. Sci. Total Environ. 2018, 642, 190–197. [Google Scholar] [CrossRef]
- Hoogsteen, M.J.J.; Lantinga, E.A.; Bakker, E.J.; Groot, J.C.J.; Tittonell, P.A. Estimating Soil Organic Carbon through Loss on Ignition: Effects of Ignition Conditions and Structural Water Loss: Refining the Loss on Ignition Method. Eur. J. Soil Sci. 2015, 66, 320–328. [Google Scholar] [CrossRef]
- Ochiai, S.; Iwabuchi, K.; Itoh, T.; Watanabe, T.; Osaki, M.; Taniguro, K. Effects of Different Feedstock Type and Carbonization Temperature of Biochar on Oat Growth and Nitrogen Uptake in Coapplication with Compost. J. Soil Sci. Plant Nutr. 2021, 21, 276–285. [Google Scholar] [CrossRef]
- Günal, E.; Erdem, H.; Demirbaş, A. Effects of Three Biochar Types on Activity of β-Glucosidase Enzyme in Two Agricultural Soils of Different Textures. Arch. Agron. Soil Sci. 2018, 64, 1963–1974. [Google Scholar] [CrossRef]
- Gong, Z.; Alef, K.; Wilke, B.; Mai, M.; Li, P. Assessment of Microbial Respiratory Activity of a Manufactured Gas Plant Soil after Remediation Using Sunflower Oil. J. Hazard. Mater. 2005, 124, 217–223. [Google Scholar] [CrossRef] [PubMed]
- Brzezińska, M.; Włodarczyk, T. Enzymy wewnątrzkomórkowych przemian redoks (okydoreduktazy). Acta Agrophys. 2005, 3, 11–26. [Google Scholar]
- Kumar, S.; Chaudhuri, S.; Maiti, S.K. Soil Dehydrogenase Enzyme Activity in Natural and Mine Soil—A Review. Middle East. J. Sci. Res. 2013, 13, 898–906. [Google Scholar]
- Bakshi, M.; Varma, A. Soil Enzyme: The State-of-Art. In Soil Enzymology; Shukla, G., Varma, A., Eds.; Soil Biology; Springer Berlin Heidelberg: Berlin/Heidelberg, Germany, 2010; Volume 22, pp. 1–23. ISBN 978-3-642-14224-6. [Google Scholar]
- Safari Sinegani, A.A.; Safari Sinegani, M. The Effects of Carbonates Removal on Adsorption, Immobilization and Activity of Cellulase in a Calcareous Soil. Geoderma 2012, 173–174, 145–151. [Google Scholar] [CrossRef]
- Jones, D.; Willett, V. Experimental Evaluation of Methods to Quantify Dissolved Organic Nitrogen (DON) and Dissolved Organic Carbon (DOC) in Soil. Soil Biol. Biochem. 2006, 38, 991–999. [Google Scholar] [CrossRef]
- Lehmann, J.; Kleber, M. The Contentious Nature of Soil Organic Matter. Nature 2015, 528, 60–68. [Google Scholar] [CrossRef]
- Bednik, M.; Medyńska-Juraszek, A.; Ćwieląg-Piasecka, I. Effect of Six Different Feedstocks on Biochar’s Properties and Expected Stability. Agronomy 2022, 12, 1525. [Google Scholar] [CrossRef]
- Cleveland, C.C.; Nemergut, D.R.; Schmidt, S.K.; Townsend, A.R. Increases in Soil Respiration Following Labile Carbon Additions Linked to Rapid Shifts in Soil Microbial Community Composition. Biogeochemistry 2007, 82, 229–240. [Google Scholar] [CrossRef]
- Garbuz, S.; Mackay, A.; Camps-Arbestain, M.; DeVantier, B.; Minor, M. Biochar Increases Soil Enzyme Activities in Two Contrasting Pastoral Soils under Different Grazing Management. Crop Pasture Sci. 2022, 74, 101–111. [Google Scholar] [CrossRef]
- Ameloot, N.; De Neve, S.; Jegajeevagan, K.; Yildiz, G.; Buchan, D.; Funkuin, Y.N.; Prins, W.; Bouckaert, L.; Sleutel, S. Short-Term CO2 and N2O Emissions and Microbial Properties of Biochar Amended Sandy Loam Soils. Soil Biol. Biochem. 2013, 57, 401–410. [Google Scholar] [CrossRef]
- Wojewódzki, P.; Lemanowicz, J.; Debska, B.; Haddad, S.A. Soil Enzyme Activity Response under the Amendment of Different Types of Biochar. Agronomy 2022, 12, 569. [Google Scholar] [CrossRef]
- Wang, S.; Gao, B.; Zimmerman, A.R.; Li, Y.; Ma, L.; Harris, W.G.; Migliaccio, K.W. Physicochemical and Sorptive Properties of Biochars Derived from Woody and Herbaceous Biomass. Chemosphere 2015, 134, 257–262. [Google Scholar] [CrossRef]
- Khadem, A.; Raiesi, F. Influence of Biochar on Potential Enzyme Activities in Two Calcareous Soils of Contrasting Texture. Geoderma 2017, 308, 149–158. [Google Scholar] [CrossRef]
- Lammirato, C.; Miltner, A.; Kaestner, M. Effects of Wood Char and Activated Carbon on the Hydrolysis of Cellobiose by β-Glucosidase from Aspergillus Niger. Soil Biol. Biochem. 2011, 43, 1936–1942. [Google Scholar] [CrossRef]
- Ameloot, N.; Sleutel, S.; Case, S.D.C.; Alberti, G.; McNamara, N.P.; Zavalloni, C.; Vervisch, B.; Vedove, G.D.; De Neve, S. C Mineralization and Microbial Activity in Four Biochar Field Experiments Several Years after Incorporation. Soil Biol. Biochem. 2014, 78, 195–203. [Google Scholar] [CrossRef]
- Chen, G.; Fang, Y.; Van Zwieten, L.; Xuan, Y.; Tavakkoli, E.; Wang, X.; Zhang, R. Priming, Stabilization and Temperature Sensitivity of Native SOC Is Controlled by Microbial Responses and Physicochemical Properties of Biochar. Soil Biol. Biochem. 2021, 154, 108139. [Google Scholar] [CrossRef]
- Ouyang, L.; Yu, L.; Zhang, R. Effects of Amendment of Different Biochars on Soil Carbon Mineralisation and Sequestration. Soil Res. 2014, 52, 46. [Google Scholar] [CrossRef]
- Fang, Y.; Singh, B.; Singh, B.P. Effect of Temperature on Biochar Priming Effects and Its Stability in Soils. Soil Biol. Biochem. 2015, 80, 136–145. [Google Scholar] [CrossRef]
- Sandhu, S.; Sekaran, U.; Ozlu, E.; Hoilett, N.O.; Kumar, S. Short-Term Impacts of Biochar and Manure Application on Soil Labile Carbon Fractions, Enzyme Activity, and Microbial Community Structure. Biochar 2019, 1, 271–282. [Google Scholar] [CrossRef]
- Rasul, M.; Cho, J.; Shin, H.-S.; Hur, J. Biochar-Induced Priming Effects in Soil via Modifying the Status of Soil Organic Matter and Microflora: A Review. Sci. Total Environ. 2022, 805, 150304. [Google Scholar] [CrossRef]
- Lehmann, J.; Rillig, M.C.; Thies, J.; Masiello, C.A.; Hockaday, W.C.; Crowley, D. Biochar Effects on Soil Biota—A Review. Soil Biol. Biochem. 2011, 43, 1812–1836. [Google Scholar] [CrossRef]
- Shahbaz, M.; Kuzyakov, Y.; Sanaullah, M.; Heitkamp, F.; Zelenev, V.; Kumar, A.; Blagodatskaya, E. Microbial Decomposition of Soil Organic Matter Is Mediated by Quality and Quantity of Crop Residues: Mechanisms and Thresholds. Biol. Fertil. Soils 2017, 53, 287–301. [Google Scholar] [CrossRef]
- Zheng, J.; Chen, J.; Pan, G.; Liu, X.; Zhang, X.; Li, L.; Bian, R.; Cheng, K.; Zheng, J. Biochar Decreased Microbial Metabolic Quotient and Shifted Community Composition Four Years after a Single Incorporation in a Slightly Acid Rice Paddy from Southwest China. Sci. Total Environ. 2016, 571, 206–217. [Google Scholar] [CrossRef]
- Mierzwa-Hersztek, M.; Wolny-Koładka, K.; Gondek, K.; Gałązka, A.; Gawryjołek, K. Effect of Coapplication of Biochar and Nutrients on Microbiocenotic Composition, Dehydrogenase Activity Index and Chemical Properties of Sandy Soil. Waste Biomass Valor. 2020, 11, 3911–3923. [Google Scholar] [CrossRef]
- Bailey, V.L.; Fansler, S.J.; Smith, J.L.; Bolton, H. Reconciling Apparent Variability in Effects of Biochar Amendment on Soil Enzyme Activities by Assay Optimization. Soil Biol. Biochem. 2011, 43, 296–301. [Google Scholar] [CrossRef]
- Feng, J.; Yu, D.; Sinsabaugh, R.L.; Moorhead, D.L.; Andersen, M.N.; Smith, P.; Song, Y.; Li, X.; Huang, Q.; Liu, Y.; et al. Trade-offs in Carbon-degrading Enzyme Activities Limit Long-term Soil Carbon Sequestration with Biochar Addition. Biol. Rev. 2023, 98, 1184–1199. [Google Scholar] [CrossRef]
- Mitchell, P.J.; Simpson, A.J.; Soong, R.; Simpson, M.J. Biochar Amendment Altered the Molecular-Level Composition of Native Soil Organic Matter in a Temperate Forest Soil. Environ. Chem. 2016, 13, 854. [Google Scholar] [CrossRef]
- Li, X.; Wang, T.; Chang, S.X.; Jiang, X.; Song, Y. Biochar Increases Soil Microbial Biomass but Has Variable Effects on Microbial Diversity: A Meta-Analysis. Sci. Total Environ. 2020, 749, 141593. [Google Scholar] [CrossRef]
- Margida, M.G.; Lashermes, G.; Moorhead, D.L. Estimating Relative Cellulolytic and Ligninolytic Enzyme Activities as Functions of Lignin and Cellulose Content in Decomposing Plant Litter. Soil Biol. Biochem. 2020, 141, 107689. [Google Scholar] [CrossRef]
- Woolf, D.; Lehmann, J. Modelling the Long-Term Response to Positive and Negative Priming of Soil Organic Carbon by Black Carbon. Biogeochemistry 2012, 111, 83–95. [Google Scholar] [CrossRef]
- Wu, D.; Senbayram, M.; Zang, H.; Ugurlar, F.; Aydemir, S.; Brüggemann, N.; Kuzyakov, Y.; Bol, R.; Blagodatskaya, E. Effect of Biochar Origin and Soil pH on Greenhouse Gas Emissions from Sandy and Clay Soils. Appl. Soil Ecol. 2018, 129, 121–127. [Google Scholar] [CrossRef]
- Turner, B.L.; Hopkins, D.W.; Haygarth, P.M.; Ostle, N. β-Glucosidase Activity in Pasture Soils. Appl. Soil Ecol. 2002, 20, 157–162. [Google Scholar] [CrossRef]
- Keeler, B.L.; Hobbie, S.E.; Kellogg, L.E. Effects of Long-Term Nitrogen Addition on Microbial Enzyme Activity in Eight Forested and Grassland Sites: Implications for Litter and Soil Organic Matter Decomposition. Ecosystems 2009, 12, 1–15. [Google Scholar] [CrossRef]
- Chu, H.; Lin, X.; Fujii, T.; Morimoto, S.; Yagi, K.; Hu, J.; Zhang, J. Soil Microbial Biomass, Dehydrogenase Activity, Bacterial Community Structure in Response to Long-Term Fertilizer Management. Soil Biol. Biochem. 2007, 39, 2971–2976. [Google Scholar] [CrossRef]
- Karimi, A.; Moezzi, A.; Chorom, M.; Enayatizamir, N. Application of Biochar Changed the Status of Nutrients and Biological Activity in a Calcareous Soil. J. Soil Sci. Plant Nutr. 2020, 20, 450–459. [Google Scholar] [CrossRef]
- Song, X.; Razavi, B.S.; Ludwig, B.; Zamanian, K.; Zang, H.; Kuzyakov, Y.; Dippold, M.A.; Gunina, A. Combined Biochar and Nitrogen Application Stimulates Enzyme Activity and Root Plasticity. Sci. Total Environ. 2020, 735, 139393. [Google Scholar] [CrossRef]
- Singh, B.; Arbestain, M.C.; Lehmann, J. (Eds.) Biochar: A Guide to Analytical Methods; CSIRO Publishing: Clayton South, Australia, 2017; ISBN 978-1-4987-6553-4. [Google Scholar]
- Lehmann, J.; Cowie, A.; Masiello, C.A.; Kammann, C.; Woolf, D.; Amonette, J.E.; Cayuela, M.L.; Camps-Arbestain, M.; Whitman, T. Biochar in Climate Change Mitigation. Nat. Geosci. 2021, 14, 883–892. [Google Scholar] [CrossRef]
Disclaimer/Publisher’s Note: The statements, opinions and data contained in all publications are solely those of the individual author(s) and contributor(s) and not of MDPI and/or the editor(s). MDPI and/or the editor(s) disclaim responsibility for any injury to people or property resulting from any ideas, methods, instructions or products referred to in the content. |
© 2023 by the authors. Licensee MDPI, Basel, Switzerland. This article is an open access article distributed under the terms and conditions of the Creative Commons Attribution (CC BY) license (https://creativecommons.org/licenses/by/4.0/).





