Study on the Dynamic Stability of an Underground Engineering Rock Mass with a Fault-Slip Seismic Source: Case Study of a URL Exploration Tunnel
Abstract
1. Introduction
2. Finite Seismic Source Model of Fault Slip
2.1. Rectangular Seismic Source
2.2. Circular Seismic Source
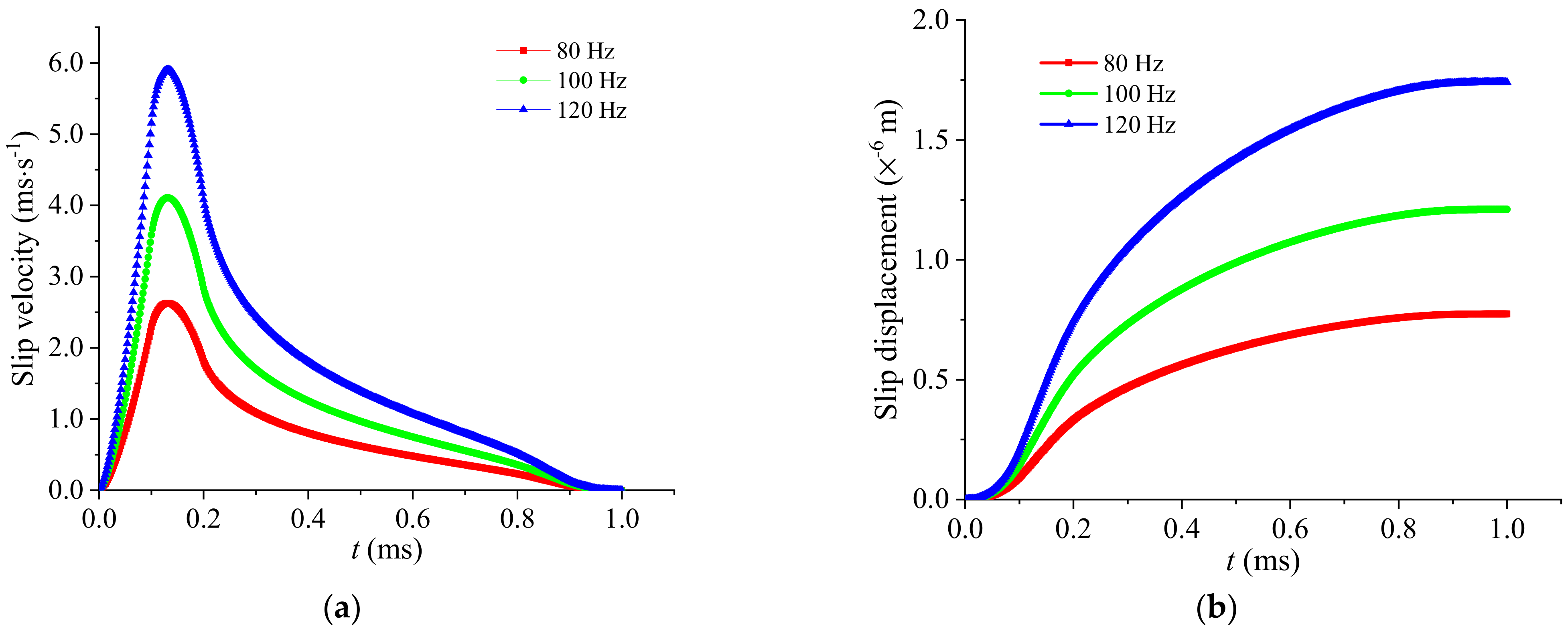
2.3. Time Function of Seismic Source
3. Numerical Modeling
3.1. Engineering Background
3.2. Rock Mechanical Parameters and In Situ Stress in Beishan
3.3. Establishment of the Seismic Source Model
4. Results and Discussions
4.1. Stress Wave Radiation Patterns
4.2. Peak Ground Motion Velocity (PGV)
4.2.1. The Effect of Source Type on PGV
4.2.2. The Influence of Source Radius on PGV
4.2.3. The Effect of Rupture Velocity on PGV
4.3. Sensitivity Analysis of Strain Energy Density (SED)
5. Engineering Applications
6. Conclusions
- (1)
- The results of the parametric sensitivity analysis proved that the establishment of the circular seismic source provided a novel method for reproducing microseismic events, and an accurate grasp of the dynamic characteristics of underground motion by source parameter optimization could be achieved.
- (2)
- It was found that by analyzing the two indices of PGV and SED, the differences in dynamic characteristics caused by seismic source types, source radius, and rupture velocity can be distinguished; thus, the two indices are effective.
- (3)
- The establishment of a circular seismic source considering the rupture process can provide a strong foundation for a series of subsequent studies—for example, the effect of microseismic events on underground structures, such as stopes, goafs, backfilling bodies, and supporting material, etc.
Author Contributions
Funding
Institutional Review Board Statement
Informed Consent Statement
Data Availability Statement
Conflicts of Interest
References
- Zhang, X.; Qu, T.; Wang, Y. Optimal strategies for stakeholders of Fukushima nuclear waste water discharge in Japan. Mar. Policy 2022, 135, 104881. [Google Scholar]
- Gallardo, A.H.; Matsuzaki, T.; Aoki, H. Geological storage of nuclear wastes: Insights following the Fukushima crisis. Energy Policy 2014, 73, 391–400. [Google Scholar] [CrossRef]
- Brunnengräber, A.; Schreurs, M. Nuclear energy and nuclear waste governance perspectives after the Fukushima nuclear disaster. In Nuclear Waste Governance; Springer: Wiesbaden, Germany, 2015; pp. 47–78. [Google Scholar]
- Hollister, C.D.; Anderson, D.R.; Health, G.R. Subseabed disposal of nuclear wastes. Science 1981, 213, 1321–1326. [Google Scholar] [CrossRef] [PubMed]
- Beswick, A.J.; Gibb, F.G.F.; Travis, K.P. Deep borehole disposal of nuclear waste: Engineering challenges. Proc. Inst. Civ. Eng.-Energy 2014, 167, 47–66. [Google Scholar] [CrossRef]
- Skarlatidou, A.; Cheng, T.; Haklay, M. What do lay people want to know about the disposal of nuclear waste? A mental model approach to the design and development of an online risk communication. Risk Anal. Int. J. 2012, 32, 1496–1511. [Google Scholar] [CrossRef]
- Zuo, J.P.; Wang, J.T.; Sun, Y.J.; Chen, Y.; Jiang, G.H.; Li, Y.H. Effects of thermal treatment on fracture characteristics of granite from Beishan, a possible high-level radioactive waste disposal site in China. Eng. Fract. Mech. 2017, 182, 425–437. [Google Scholar] [CrossRef]
- Wang, J.; Chen, L.; Su, R.; Zhao, X. The Beishan underground research laboratory for geological disposal of high-level radioactive waste in China: Planning, site selection, site characterization and in situ tests. J. Rock Mech. Geotech. Eng. 2018, 10, 411–435. [Google Scholar] [CrossRef]
- Zhang, Y.; Zhang, Q.Y.; Duan, K.; Yu, G.Y.; Jiao, Y.Y. Reliability analysis of deep underground research laboratory in Beishan for geological disposal of high-level radioactive waste. Comput. Geotech. 2020, 118, 103328. [Google Scholar] [CrossRef]
- Wei, X.; Guo, Y.; Cheng, H.; Meng, X.; Cheng, M.; Yang, T.; Xu, C. Rock Mass Characteristics in Beishan, A Preselected Area for China’s High-Level Radioactive Waste Disposal. Acta Geol. Sin.-Engl. Ed. 2019, 93, 362–372. [Google Scholar] [CrossRef]
- Li, H.; Wang, J.; Mao, L.; Zhao, S.; Jia, M.; Liu, Y.; Huang, S. Safety assessment of Beishan pre-selection area for geological disposal of high-level radioactive waste in China. J. Radioanal. Nucl. Chem. 2022, 331, 2573–2581. [Google Scholar] [CrossRef]
- Zhu, J.; Li, Y.; Peng, Q.; Deng, X.; Gao, M.; Zhang, J. Stress wave propagation across jointed rock mass under dynamic extension and its effect on dynamic response and supporting of underground opening. Tunn. Undergr. Space Technol. 2021, 108, 103648. [Google Scholar] [CrossRef]
- Vazaios, I.; Vlachopoulos, N.; Diederichs, M.S. Mechanical analysis and interpretation of excavation damage zone formation around deep tunnels within massive rock masses using hybrid finite–discrete element approach: Case of Atomic Energy of Canada Limited (AECL) Underground Research Laboratory (URL) test tunnel. Can. Geotech. J. 2019, 56, 35–59. [Google Scholar]
- Abbas, Y.M.; Hegazy, T.M.; Nassif, M.S.; Shoeib, M.Y.; Abd-Elraheem, A.F. Measurement of 226Ra concentration and radon exhalation rate in rock samples from Al-Qusair area using CR-39. J. Radiat. Res. Appl. Sci. 2020, 13, 102–110. [Google Scholar] [CrossRef]
- Pereira, A.; Lamas, R.; Miranda, M.; Domingos, F.; Neves, L.; Ferreira, N.; Costa, L. Estimation of the radon production rate in granite rocks and evaluation of the implications for geogenic radon potential maps: A case study in Central Portugal. J. Environ. Radioact. 2017, 166, 270–277. [Google Scholar] [CrossRef]
- Xie, C.; Xiong, G.; Chen, Z. Using CFD to Simulate the Concentration of Polluting and Harmful Gases in the Roadway of Non-Metallic Mines Reveals Its Migration Law. Sustainability 2022, 14, 13349. [Google Scholar] [CrossRef]
- Khayrutdinov, M.M.; Golik, V.I.; Aleksakhin, A.V.; Trushina, E.V.; Lazareva, N.V.; Aleksakhina, Y.V. Proposal of an Algorithm for Choice of a Development System for Operational and Environmental Safety in Mining. Resources 2022, 11, 88. [Google Scholar] [CrossRef]
- Rybak, J.; Khayrutdinov, M.M.; Kuziev, D.A.; Kongar-Syuryun, C.B.; Babyr, N.V. Prediction of the geomechanical state of the rock mass when mining salt deposits with stowing. J. Min. Inst. 2022, 253, 61–70. [Google Scholar] [CrossRef]
- Litvinenko, V. Advancement of geomechanics and geodynamics at the mineral ore mining and underground space development. In EUROCK2018: Geomechanics and Geodynamics of Rock Masses; CRC Press: Boca Raton, FL, USA, 2018; pp. 3–16. [Google Scholar]
- Kongar-Syuryun, C.; Ubysz, A.; Faradzhov, V. Models and algorithms of choice of development technology of deposits when selecting the composition of the backfilling mixture. In IOP Conference Series: Earth and Environmental Science; IOP Publishing: Bristol, UK, 2021; Volume 684, p. 012008. [Google Scholar]
- Jing, L.; Feng, X. Main rock mechanics issues in geological disposal of radioactive wastes. Chin. J. Rock Mech. Eng. 2006, 25, 833–841. [Google Scholar]
- Niu, L. In-Situ Stress Measurement in Nuclear Waste Disposal Sites Preselected Area. Master’s Thesis, Chinese Academy of Geological Sciences, Beijing, China, 2015. [Google Scholar]
- Yang, J.H. Coupling Effect of Blasting and Transient Release of In-Situ Stress during Deep Rock Mass Excavation. Ph.D. Thesis, Wuhan University, Wuhan, China, 2014. [Google Scholar]
- Kwon, S.; Min, K.B. Fracture transmissivity evolution around the geological repository of nuclear waste caused by the excavation damage zone, thermoshearing and glaciation. Int. J. Rock Mech. Min. Sci. 2021, 137, 104554. [Google Scholar] [CrossRef]
- Lei, Q.; Loew, S. Modelling coseismic displacements of fracture systems in crystalline rock during large earthquakes: Implications for the safety of nuclear waste repositories. Int. J. Rock Mech. Min. Sci. 2021, 138, 104590. [Google Scholar] [CrossRef]
- Chen, G.; Li, X.; Zhang, P. Simulation of fault slip rockburst seismic source based on improved Haskell model. China Saf. Sci. J. 2016, 26, 122–127. [Google Scholar]
- Chen, G.H.; Li, X.; Zhang, P.; Lu, J.T.; Dong, L.J. Dynamic response of rockmass under fault-slip rockburst based on focal mechanism. China Saf. Sci. J. 2016, 26, 121–126. [Google Scholar]
- Lan, M.; Zhang, C.X.; Hong, C.X.; Li, X.Y. Response Characteristics of Rock Mass in Different Radiation Zones under Disturbance of Fault Slip. J. Univ. South China (Sci. Technol.) 2020, 34, 36–42. [Google Scholar]
- Haskell, N.A. Elastic displacements in the near-field of a propagating fault. Bull. Seismol. Soc. Am. 1969, 59, 865–908. [Google Scholar]
- Madariaga, R. Seismic source theory. Earthq. Seismol. 2007, 4, 59–82. [Google Scholar]
- Nielsen, S.; Madariaga, R. On the self-healing fracture mode. Bull. Seismol. Soc. Am. 2003, 93, 2375–2388. [Google Scholar] [CrossRef]
- Sato, T.; Hirasawa, T. Body wave spectra from propagating shear cracks. J. Phys. Earth 1973, 21, 415–431. [Google Scholar]
- Ma, L.K. Study on the Long-Term Stability of Beishan Granitic Host Rock for High-Level Radioactive Waste Repository in the Beishan Area in Gansu Province. Ph.D. Thesis, Beijing Research Institute of Uranium Geology, Beijing, China, 2017. [Google Scholar]
- He, S.S.; Zhou, H.W.; Wang, S.C.; Wang, Z.H.; Chen, L.; Liu, J.F. Fisher Discriminant Analysis Model for Microseismic Events of Beishan Granite Area. J. Xi’an Univ. Sci. Technol. 2017, 37, 515–521. [Google Scholar]
- Gao, F.; Kang, H.; Li, J. Numerical simulation of fault-slip rockbursts using the distinct element method. Tunn. Undergr. Space Technol. 2021, 110, 103805. [Google Scholar]
- Wang, S.; Zhu, S.B. Finite element method simulations of the influences of fault rupture velocities on ground motions and seismic hazards. Chin. J. Geophys. 2022, 65, 686–697. [Google Scholar]



















| Density (ρ)/Kg∙m−3 | Young’s Modulus (E)/GPa | Poisson’s Ratio (v) | Uniaxial Compressive Strength (σc)/MPa | Tensile Strength (σt)/MPa | Cohesion (c)/MPa | Friction Angle (φ)/° |
|---|---|---|---|---|---|---|
| 2800 | 65.25 | 0.21 | 159.04 | 8.7 | 25 | 45 |
| Shear Modulus (G)/GPa | Slippage Displacement (D)/m | Rupture Area (S)/m2 | Seismic Moment (M0)/(N·m−1) | Fault Radius (R0)/m |
|---|---|---|---|---|
| 25.72 | 1.21 × 10−10 | 1.54 × 106/ | 4.79 × 106 | 699.77/f0 |
| 25.72 | 7.74 × 10−7 | 240.4 | 4.79 × 106 | 8.75 |
| 25.72 | 1.21 × 10−6 | 153.9 | 4.79 × 106 | 7.00 |
| 25.72 | 1.74 × 10−6 | 106.7 | 4.79 × 106 | 5.83 |
| Seismic Simulated Model | Considering Factors | |||||||||
|---|---|---|---|---|---|---|---|---|---|---|
| Source Type | Source Radius (m) | Rupture Velocity (m/s) | ||||||||
| Rectangle | Circle | 8.75 | 7.00 | 5.83 | 2100 | 2800 | 3500 | 4800 | ||
| 1 | ||||||||||
| 2 | ||||||||||
| 3 | ||||||||||
| 4 | ||||||||||
| 5 | ||||||||||
| 6 | ||||||||||
| 7 | ||||||||||
| 8 | ||||||||||
| 9 | ||||||||||
| 10 | ||||||||||
| 29 | ||||||||||
| 30 | ||||||||||
Disclaimer/Publisher’s Note: The statements, opinions and data contained in all publications are solely those of the individual author(s) and contributor(s) and not of MDPI and/or the editor(s). MDPI and/or the editor(s) disclaim responsibility for any injury to people or property resulting from any ideas, methods, instructions or products referred to in the content. |
© 2023 by the authors. Licensee MDPI, Basel, Switzerland. This article is an open access article distributed under the terms and conditions of the Creative Commons Attribution (CC BY) license (https://creativecommons.org/licenses/by/4.0/).
Share and Cite
Lan, M.; Yang, R.; He, Y.; Kang, Q. Study on the Dynamic Stability of an Underground Engineering Rock Mass with a Fault-Slip Seismic Source: Case Study of a URL Exploration Tunnel. Sustainability 2023, 15, 1711. https://doi.org/10.3390/su15021711
Lan M, Yang R, He Y, Kang Q. Study on the Dynamic Stability of an Underground Engineering Rock Mass with a Fault-Slip Seismic Source: Case Study of a URL Exploration Tunnel. Sustainability. 2023; 15(2):1711. https://doi.org/10.3390/su15021711
Chicago/Turabian StyleLan, Ming, Rong Yang, Yan He, and Qian Kang. 2023. "Study on the Dynamic Stability of an Underground Engineering Rock Mass with a Fault-Slip Seismic Source: Case Study of a URL Exploration Tunnel" Sustainability 15, no. 2: 1711. https://doi.org/10.3390/su15021711
APA StyleLan, M., Yang, R., He, Y., & Kang, Q. (2023). Study on the Dynamic Stability of an Underground Engineering Rock Mass with a Fault-Slip Seismic Source: Case Study of a URL Exploration Tunnel. Sustainability, 15(2), 1711. https://doi.org/10.3390/su15021711
