Effects of the Transverse Deck-Roadbed Pounding on the Seismic Behaviors of the Prefabricated Frame Bridge
Abstract
1. Introduction
2. Prefabricated Frame Bridge Structure and Finite Element Model
2.1. Layout of the Prefabricated Frame Bridge
2.2. Structure Analysis Model
2.3. Consideration of the Pounding Element and the Soil
2.4. Artificial Seismic Excitation
3. Results and Observation
3.1. Seismic Response Analysis
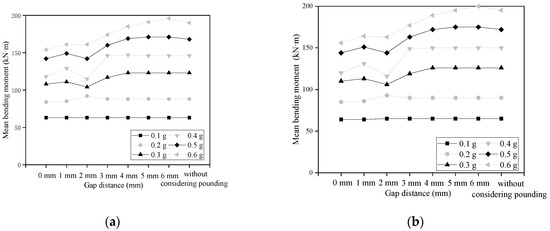
3.2. Response Characteristics According to Various Gap Distances
4. Conclusions
- (1)
- Pounding effects do not always exist under seismic excitation. When the pounding occurs, some seismic energy will be consumed, and the seismic response of the components will decrease;
- (2)
- The smaller the gap distance and the higher intensity of the seismic excitation, the higher the pounding potential is. When the PGA is not higher than 0.2 g, the pounding effect can be ignored;
- (3)
- The minimum negative deformation value will reach 104 mm at most when the pounding effect is considered, which is still much lower than the overlapping length between the bridge deck and the original roadbed, so the safety of the superstructure is ensured due to the cantilever state of the bridge deck is not occur.
Author Contributions
Funding
Institutional Review Board Statement
Informed Consent Statement
Data Availability Statement
Conflicts of Interest
References
- Zhong, J.; Shi, L.; Yang, T.; Liu, X.; Wang, Y. Probabilistic seismic demand model of UBPRC columns conditioned on Pulse-Structure parameters. Eng. Struct. 2022, 270, 114829. [Google Scholar] [CrossRef]
- Chen, L.; Sun, T.; Hu, K.; Zhong, J. Probabilistic seismic assessment of a new elastoplastic column-deck joint on the prefabricated frame-bridge. Structures 2021, 34, 3099–3112. [Google Scholar] [CrossRef]
- Hu, Z.; Wei, B.; Jiang, L.; Li, S.; Min, H. Track structural damage index for high-speed railway girder bridges considering residual deformations due to earthquake. Bull. Earthq. Eng. 2022, 20, 6587–6609. [Google Scholar] [CrossRef]
- Zhong, J.; Wan, H.-P.; Yuan, W.; He, M.; Ren, W.-X. Risk-informed sensitivity analysis and optimization of seismic mitigation strategy using Gaussian process surrogate model. Soil Dyn. Earthq. Eng. 2020, 138, 106284. [Google Scholar] [CrossRef]
- Orcesi, A.D.; Frangopol, D.M. Optimization of bridge maintenance strategies based on structural health monitoring information. Struct. Saf. 2011, 33, 26–41. [Google Scholar] [CrossRef]
- JTGT 2231-01-2020; Specification for Seismic Design of Highway Bridges. China Communications Press: Beijing, China, 2020.
- Jankowski, R. Earthquake-induced pounding between equal height buildings with substantially different dynamic properties. Eng. Struct. 2008, 30, 2818–2829. [Google Scholar] [CrossRef]
- Crozet, V.; Politopoulos, I.; Yang, M.; Martinez, J.-M.; Erlicher, S. Sensitivity analysis of pounding between adjacent structures. Earthq. Eng. Struct. Dyn. 2018, 47, 219–235. [Google Scholar] [CrossRef]
- Amjadian, M.; Agrawal, A.K. Rigid-Body Motion of Horizontally Curved Bridges Subjected to Earthquake-Induced Pounding. J. Bridge Eng. 2016, 21, 04016090. [Google Scholar] [CrossRef]
- Li, N.; Xu, W.; Chen, Y.; Yan, W. Experimental research on adjacent pounding effect of midspan curved bridge with longitudinal slope. Eng. Struct. 2019, 196, 109320. [Google Scholar] [CrossRef]
- Zhao, L.; Hao, H.; Bi, K.; Li, X. Numerical Study of the Seismic Responses of Precast Segmental Column Bridge under Spatially Varying Ground Motions. J. Bridge Eng. 2018, 23, 04018096. [Google Scholar] [CrossRef]
- Won, J.-H.; Mha, H.-S.; Kim, S.-H. Effects of the earthquake-induced pounding upon pier motions in the multi-span simply supported steel girder bridge. Eng. Struct. 2015, 93, 1–12. [Google Scholar] [CrossRef]
- Guo, A.; Li, Z.; Li, H.; Ou, J. Experimental and analytical study on pounding reduction of base-isolated highway bridges using MR dampers. Earthq. Eng. Struct. Dyn. 2009, 38, 1307–1333. [Google Scholar] [CrossRef]
- Shrestha, B.; Hao, H.; Bi, K. Effectiveness of using rubber bumper and restrainer on mitigating pounding and unseating damage of bridge structures subjected to spatially varying ground motions. Eng. Struct. 2014, 79, 195–210. [Google Scholar] [CrossRef]
- Dimitrakopoulos, E.G. Seismic response analysis of skew bridges with pounding deck–abutment joints. Eng. Struct. 2011, 33, 813–826. [Google Scholar] [CrossRef]
- Kun, C.; Jiang, L.; Chouw, N. Influence of pounding and skew angle on seismic response of bridges. Eng. Struct. 2017, 148, 890–906. [Google Scholar] [CrossRef]
- Li, B.; Bi, K.; Chouw, N.; Butterworth, J.W.; Hao, H. Effect of abutment excitation on bridge pounding. Eng. Struct. 2013, 54, 57–68. [Google Scholar] [CrossRef]
- Chouw, N.; Hao, H. Significance of SSI and nonuniform near-fault ground motions in bridge response I: Effect on response with conventional expansion joint. Eng. Struct. 2008, 30, 141–153. [Google Scholar] [CrossRef]
- Raheem, S.E.A. Pounding mitigation and unseating prevention at expansion joints of isolated multi-span bridges. Eng. Struct. 2009, 31, 2345–2356. [Google Scholar] [CrossRef]
- Won, J.-H.; Mha, H.-S.; Cho, K.-I.; Kim, S.-H. Effects of the restrainer upon bridge motions under seismic excitations. Eng. Struct. 2008, 30, 3532–3544. [Google Scholar] [CrossRef]
- Kun, C.; Yang, Z.; Chouw, N. Seismic performance of skewed bridges with simultaneous effects of pounding and supporting soil. Eng. Struct. 2018, 174, 26–38. [Google Scholar] [CrossRef]
- Li, B.; Chouw, N. Experimental investigation of inelastic bridge response under spatially varying excitations with pounding. Eng. Struct. 2014, 79, 106–116. [Google Scholar] [CrossRef]
- Huo, Y.; Zhang, J. Effects of Pounding and Skewness on Seismic Responses of Typical Multispan Highway Bridges Using the Fragility Function Method. J. Bridge Eng. 2013, 18, 499–515. [Google Scholar] [CrossRef]
- Desroches, R.; Muthukumar, S. Effect of Pounding and Restrainers on Seismic Response of Multiple-Frame Bridges. J. Struct. Eng. 2002, 128, 860–869. [Google Scholar] [CrossRef]
- Opensees Manual, O. Open System for Earthquake Engineering Simulation User Command-Language Manual; Pacifc Earthquake Engineering Research Centre University of California: Berkeley, CA, USA, 2009. [Google Scholar]
- Linhai, H. Concrete-Filled Steel Tubular Structures; Science Press: Beijing, China, 2000. [Google Scholar]
- GB50017-2017; Standard for Design of Steel Structures. China Architecture & Building Press: Beijing, China, 2017.
- Yang, T.; Yuan, X.; Zhong, J.; Yuan, W. Near-fault Pulse Seismic Ductility Spectra for Bridge Columns Based on Machine Learning. Soil Dyn. Earthq. Eng. 2023, 164, 107582. [Google Scholar] [CrossRef]
- Shamsabadi, A.; Rollins, K.M.; Kapuskar, M. Nonlinear Soil–Abutment–Bridge Structure Interaction for Seismic Performance-Based Design. J. Geotech. Geoenviron. Eng. 2007, 133, 707–720. [Google Scholar] [CrossRef]
- Jankowski, R. Analytical expression between the impact damping ratio and the coefficient of restitution in the non-linear viscoelastic model of structural pounding. Earthq. Eng. Struct. Dyn. 2006, 35, 517–524. [Google Scholar] [CrossRef]
- Bi, K.; Hao, H. Numerical simulation of pounding damage to bridge structures under spatially varying ground motions. Eng. Struct. 2013, 46, 62–76. [Google Scholar] [CrossRef]
- Shi, Z.; Dimitrakopoulos, E.G. Comparative evaluation of two simulation approaches of deck-abutment pounding in bridges. Eng. Struct. 2017, 148, 541–551. [Google Scholar] [CrossRef]
- Khatiwada, S.; Chouw, N.; Butterworth, J.W. A generic structural pounding model using numerically exact displacement proportional damping. Eng. Struct. 2014, 62–63, 33–41. [Google Scholar] [CrossRef]
- Jankowski, R.; Wilde, K.; Fujino, Y. Pounding of superstructure segments in isolated elevated bridge during earthquakes. Earthq. Eng. Struct. Dyn. 2015, 27, 487–502. [Google Scholar] [CrossRef]
- Jankowski, R.; Wilde, K.; Fujino, Y. Reduction of pounding effects in elevated bridges during earthquakes. Earthq. Eng. Struct. Dyn. 2015, 29, 195–212. [Google Scholar] [CrossRef]
- Zhong, J.; Zheng, X.; Wu, Q.; Jiang, L.; He, M.; Dang, X. Seismic fragility and resilience assessment of bridge columns with dual-replaceable composite link beam under near-fault GMs. Structures 2023, 47, 412–424. [Google Scholar] [CrossRef]
- Hu, Z.; Wei, B.; Jiang, L.; Li, S.; Yu, Y.; Xiao, C. Assessment of optimal ground motion intensity measure for high-speed railway girder bridge (HRGB) based on spectral acceleration. Eng. Struct. 2022, 252, 113728. [Google Scholar] [CrossRef]
- Hu, Z.L.; Wei, B.; He, X.H.; Jiang, L.Z.; Li, S.S. Effects of spatial variation of ground motion (SVGM) on seismic vulnerability of ultra-high tower and multi-tower cable-stayed bridges. J. Earthq. Eng. 2022, 26, 8495–8524. [Google Scholar] [CrossRef]
















Disclaimer/Publisher’s Note: The statements, opinions and data contained in all publications are solely those of the individual author(s) and contributor(s) and not of MDPI and/or the editor(s). MDPI and/or the editor(s) disclaim responsibility for any injury to people or property resulting from any ideas, methods, instructions or products referred to in the content. |
© 2023 by the authors. Licensee MDPI, Basel, Switzerland. This article is an open access article distributed under the terms and conditions of the Creative Commons Attribution (CC BY) license (https://creativecommons.org/licenses/by/4.0/).
Share and Cite
Wang, Y.; Zhang, J.; Zhang, Y.; Zuo, R.; Chen, L.; Sun, T. Effects of the Transverse Deck-Roadbed Pounding on the Seismic Behaviors of the Prefabricated Frame Bridge. Sustainability 2023, 15, 1554. https://doi.org/10.3390/su15021554
Wang Y, Zhang J, Zhang Y, Zuo R, Chen L, Sun T. Effects of the Transverse Deck-Roadbed Pounding on the Seismic Behaviors of the Prefabricated Frame Bridge. Sustainability. 2023; 15(2):1554. https://doi.org/10.3390/su15021554
Chicago/Turabian StyleWang, Yuwei, Jinli Zhang, Yingao Zhang, Rui Zuo, Liang Chen, and Tianyue Sun. 2023. "Effects of the Transverse Deck-Roadbed Pounding on the Seismic Behaviors of the Prefabricated Frame Bridge" Sustainability 15, no. 2: 1554. https://doi.org/10.3390/su15021554
APA StyleWang, Y., Zhang, J., Zhang, Y., Zuo, R., Chen, L., & Sun, T. (2023). Effects of the Transverse Deck-Roadbed Pounding on the Seismic Behaviors of the Prefabricated Frame Bridge. Sustainability, 15(2), 1554. https://doi.org/10.3390/su15021554
