Physical and Thermal Properties of Coarse-Fragment Soil in the Moraine-Talus Zone of the Qilian Mountains
Abstract
1. Introduction
2. Materials and Methods
3. Results
3.1. Spatial Distribution of the MTZ
3.2. Soil Physical Properties
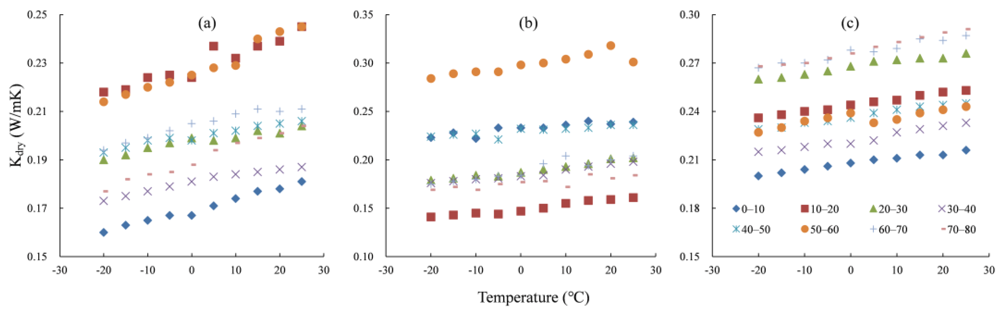
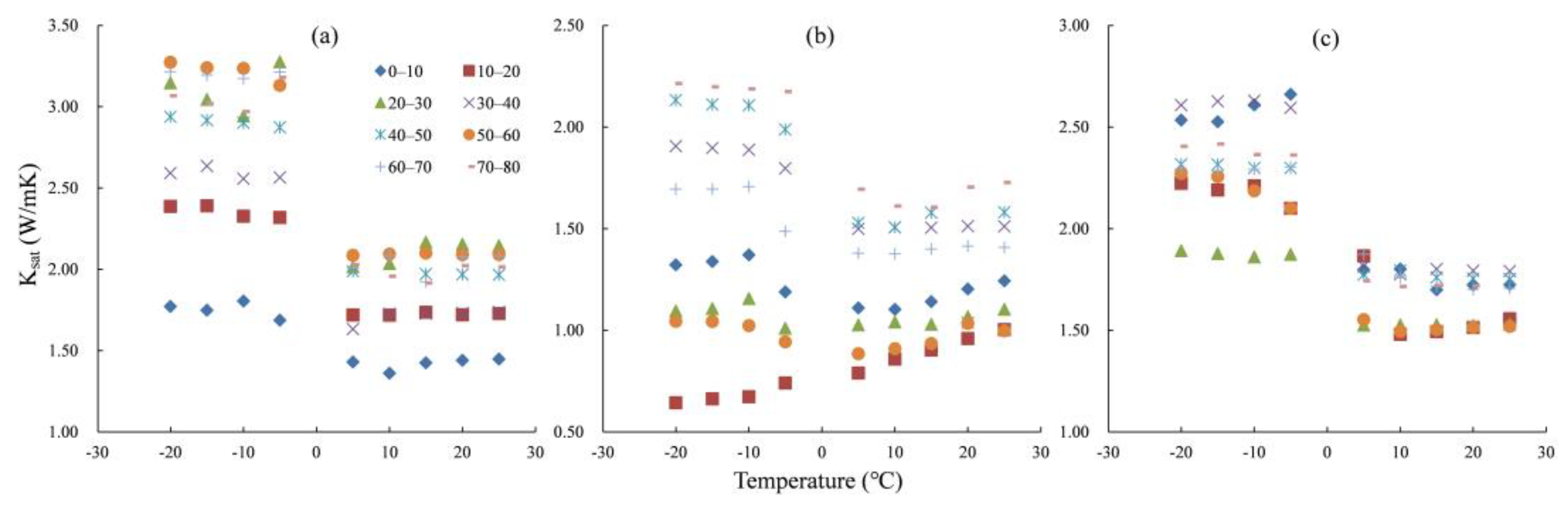
3.3. Soil Thermal Properties
4. Discussion
5. Conclusions
Supplementary Materials
Author Contributions
Funding
Institutional Review Board Statement
Informed Consent Statement
Data Availability Statement
Acknowledgments
Conflicts of Interest
References
- Chen, R.; Han, C. Hydrology, ecology and climate significance and its research progress of the Alpine cold desert. Adv. Earth Sci. 2010, 25, 255–263. [Google Scholar] [CrossRef]
- Li, J. On the landform genetic processes of alpine periglacial zones in continental climate. J. Glaciol. Geocryol. 1983, 5, 1–11. [Google Scholar]
- Barsch, D.; Caine, N. The Nature of Mountain Geomorphology. Mt. Res. Dev. 1984, 4, 287–298. [Google Scholar] [CrossRef]
- Somers, L.D.; McKenzie, J.M. A review of groundwater in high mountain environments. WIREs Water 2020, 7, e1475. [Google Scholar] [CrossRef]
- Barr, I.D.; Lovell, H. A review of topographic controls on moraine distribution. Geomorphology 2014, 226, 44–64. [Google Scholar] [CrossRef]
- Meybeck, M.; Green, P.A.; Vörösmarty, C.J. A new typology for mountains and other relief classes: An application to global continental water resources and population distribution. Mt. Res. Dev. 2001, 21, 34–45. [Google Scholar] [CrossRef]
- Clow, D.W.; Schrott, L.; Webb, R.; Campbell, D.H.; Torizzo, A.; Dornblaser, M. Ground water occurrence and contributions to streamflow in an alpine catchment, Colorado Front Range. Groundwater 2003, 41, 937–950. [Google Scholar] [CrossRef]
- Gordon, R.P.; Lautz, L.K.; McKenzie, J.M.; Mark, B.G.; Chavez, D.; Baraer, M. Sources and pathways of stream generation in tropical proglacial valleys of the Cordillera Blanca, Peru. J. Hydrol. 2015, 522, 628–644. [Google Scholar] [CrossRef]
- Hood, J.L.; Hayashi, M. Characterization of snowmelt flux and groundwater storage in an alpine headwater basin. J. Hydrol. 2015, 521, 482–497. [Google Scholar] [CrossRef]
- Szmigielski, J.T.; Barbour, S.L.; Carey, S.K.; Kurylo, J.; McClymont, A.F.; Hendry, M.J. Hydrogeology of a montane headwater groundwater system downgradient of a coal-mine waste rock dump: Elk Valley, British Columbia, Canada. Hydrol. J. 2018, 26, 2341–2356. [Google Scholar] [CrossRef]
- Hayashi, M. Alpine hydrogeology: The critical role of groundwater in sourcing the headwaters of the world. Groundwater 2020, 58, 498–510. [Google Scholar] [CrossRef] [PubMed]
- Magnusson, J.; Kobierska, F.; Huxol, S.; Hayashi, M.; Jonas, T.; Kirchner, J.W. Melt water driven stream and groundwater stage fluctuations on a glacier forefield (Dammagletscher, Switzerland). Hydrol. Processes 2014, 28, 823–836. [Google Scholar] [CrossRef]
- Rogger, M.; Chirico, G.B.; Hausmann, H.; Krainer, K.; Brückl, E.; Stadler, P.; Blöschl, G. Impact of mountain permafrost on flow path and runoff response in a high alpine catchment. Water Resour. Res. 2017, 53, 1288–1308. [Google Scholar] [CrossRef]
- Knowles, J.F.; Harpold, A.A.; Cowie, R.; Zeliff, M.; Barnard, H.R.; Burns, S.P.; Blanken, P.D.; Morse, J.F.; Williams, M.W. The relative contributions of alpine and subalpine ecosystems to the water balance of a mountainous, headwater catchment. Hydrol. Processes 2015, 29, 4794–4808. [Google Scholar] [CrossRef]
- Käser, D.; Hunkeler, D. Contribution of alluvial groundwater to the outflow of mountainous catchments. Water Resour. Res. 2016, 52, 680–697. [Google Scholar] [CrossRef]
- Liu, F.; Williams, M.W.; Caine, N. Source waters and flow paths in an alpine catchment, Colorado Front Range, United States. Water Resour. Res. 2004, 40. [Google Scholar] [CrossRef]
- Chen, R.; Wang, G.; Yang, Y.; Liu, J.; Han, C.; Song, Y.; Liu, Z.; Kang, E. Effects of cryospheric change on alpine hydrology: Combining a model with observations in the upper reaches of the Hei River, China. J. Geophys. Res. Atmos. 2018, 123, 3414–3442. [Google Scholar] [CrossRef]
- Chen, R.; Yang, Y.; Han, C.; Liu, J.; Kang, E.; Song, Y.; Liu, Z. Field experimental research on hydrological function over several typical underlying surfaces in the cold regions of western China. Adv. Earth Sci. 2014, 29, 507–514. [Google Scholar] [CrossRef]
- Yang, Z.; Liu, X.; Zeng, Q.; Chen, Z. Hydrology of Cold Regions in China; Science Press: Beijing, China, 2000; p. 238. [Google Scholar]
- Wang, X.; Chen, R.; Liu, G.; Han, C.; Yang, Y.; Song, Y.; Liu, J.; Liu, Z.; Liu, X.; Guo, S.; et al. Response of low flows under climate warming in high-altitude permafrost regions in western China. Hydrol. Process. 2019, 33, 66–76. [Google Scholar] [CrossRef]
- Zhou, Y.; Guo, D.; Qiu, G.; Cheng, G.; Li, S. Geocryology in China; Science Press: Beijing, China, 2010. [Google Scholar]
- Cheng, G.; Wang, S. On the zonation of high-altitude permafrost in China. J. Glaciol. Geocryol. 1982, 4, 1–17. [Google Scholar]
- Cuo, L.; Zhang, Y.; Bohn, T.J.; Zhao, L.; Li, J.; Liu, Q.; Zhou, B. Frozen soil degradation and its effects on surface hydrology in the northern Tibetan Plateau. J. Geophys. Res. Atmos. 2015, 120, 8276–8298. [Google Scholar] [CrossRef]
- Lai, Y.; Xu, X.; Dong, Y.; Li, S. Present situation and prospect of mechanical research on frozen soils in China. Cold Reg. Sci. Technol. 2013, 87, 6–18. [Google Scholar] [CrossRef]
- Mu, C.; Zhang, T.; Wu, Q.; Peng, X.; Cao, B.; Zhang, X.; Cao, B.; Cheng, G. Organic carbon pools in permafrost regions on the Qinghai-Xizang (Tibetan) Plateau. Cryosphere 2015, 9, 479–486. [Google Scholar] [CrossRef]
- Turetsky, M.R.; Abbott, B.W.; Jones, M.C.; Anthony, K.W.; Olefeldt, D.; Schuur, E.A.G.; Grosse, G.; Kuhry, P.; Hugelius, G.; Koven, C.; et al. Carbon release through abrupt permafrost thaw. Nat. Geosci. 2020, 13, 138–143. [Google Scholar] [CrossRef]
- Biskaborn, B.K.; Smith, S.L.; Noetzli, J.; Matthes, H.; Vieira, G.; Streletskiy, D.A.; Schoeneich, P.; Romanovsky, V.E.; Lewkowicz, A.G.; Abramov, A.; et al. Permafrost is warming at a global scale. Nat. Commun. 2019, 10, 264. [Google Scholar] [CrossRef]
- He, Y.; Yi, S.; Guo, X. Experimental study on thermal conductivity of soil with gravel on the Qinghai-Tibet Plateau. J. Glaciol. Geocryol. 2017, 39, 343–350. [Google Scholar] [CrossRef]
- Yi, S.; He, Y.; Guo, X.; Chen, J.; Wu, Q.; Qin, Y.; Ding, Y. The physical properties of coarse-fragment soils and their effects on permafrost dynamics: A case study on the central Qinghai–Tibetan Plateau. Cryosphere 2018, 12, 3067–3083. [Google Scholar] [CrossRef]
- Johansen, O.E. In Thermal Conductivity of Soils. Ph.D. Thesis, University of Trondheim, Trondheim, Norway, 1975. [Google Scholar]
- Farouki, O.T. The thermal properties of soils in cold regions. Cold Reg. Sci. Technol. 1981, 5, 67–75. [Google Scholar] [CrossRef]
- Santa, G.D.; Peron, F.; Galgaro, A.; Cultrera, M.; Bertermann, D.; Mueller, J.; Bernardi, A. Laboratory measurements of gravel thermal conductivity: An update methodological approach. Energy Procedia 2017, 125, 671–677. [Google Scholar] [CrossRef]
- Pan, Y.; Lyu, S.; Li, S.; Gao, Y.; Meng, X.; Ao, Y.; Wang, S. Simulating the role of gravel in freeze–thaw process on the Qinghai–Tibet Plateau. Theor. Appl. Climatol. 2017, 127, 1011–1022. [Google Scholar] [CrossRef]
- Yi, S.; Chen, J.; Wu, Q.; Ding, Y. Simulating the role of gravel on the dynamics of permafrost on the Qinghai-Tibetan Plateau. Cryosphere Discuss. 2013, 2013, 4703–4740. [Google Scholar] [CrossRef]
- Dai, Y.; Wei, N.; Yuan, H.; Zhang, S.; Shangguan, W.; Liu, S.; Lu, X.; Xin, Y. Evaluation of soil thermal conductivity schemes for use in land surface modeling. J. Adv. Model. Earth Syst. 2019, 11, 3454–3473. [Google Scholar] [CrossRef]
- Côté, J.; Konrad, J.-M. A generalized thermal conductivity model for soils and construction materials. Can. Geotech. J. 2005, 42, 443–458. [Google Scholar] [CrossRef]
- Tarnawski, V.R.; McCombie, M.L.; Leong, W.H.; Coppa, P.; Corasaniti, S.; Bovesecchi, G. Canadian Field Soils IV: Modeling Thermal Conductivity at Dryness and Saturation. Int. J. Thermophys. 2018, 39, 35. [Google Scholar] [CrossRef]
- Pepin, N.; Bradley, R.S.; Diaz, H.F.; Baraer, M.; Caceres, E.B.; Forsythe, N.; Fowler, H.; Greenwood, G.; Hashmi, M.Z.; Liu, X.D.; et al. Elevation-dependent warming in mountain regions of the world. Nat. Clim. Chang. 2015, 5, 424–430. [Google Scholar] [CrossRef]
- Arocena, J.; Hall, K.; Zhu, L. Soil formation in high elevation and permafrost areas in the Qinghai Plateau (China). Spanish J. Soil Sci. 2012, 2, 34–49. [Google Scholar] [CrossRef]
- Chen, J.; Yi, S.; Qin, Y. The contribution of plateau pika disturbance and erosion on patchy alpine grassland soil on the Qinghai-Tibetan Plateau: Implications for grassland restoration. Geoderma 2017, 297, 1–9. [Google Scholar] [CrossRef]
- Du, Z.; Cai, Y.; Yan, Y.; Wang, X. Embedded rock fragments affect alpine steppe plant growth, soil carbon and nitrogen in the northern Tibetan Plateau. Plant Soil 2017, 420, 79–92. [Google Scholar] [CrossRef]
- Qin, Y.; Yi, S.; Chen, J.; Ren, S.; Ding, Y. Effects of gravel on soil and vegetation properties of alpine grassland on the Qinghai-Tibetan plateau. Ecol. Eng. 2015, 74, 351–355. [Google Scholar] [CrossRef]
- Wu, X.; Zhao, L.; Fang, H.; Zhao, Y.; Smoak, J.M.; Pang, Q.; Ding, Y. Environmental controls on soil organic carbon and nitrogen stocks in the high-altitude arid western Qinghai-Tibetan Plateau permafrost region. J. Geophys. Res. Biogeosci. 2016, 121, 176–187. [Google Scholar] [CrossRef]
- Wu, J.; Sheng, Y.; Li, J.; Wang, J. Permafrost in Source Areas of Shule River in Qilian Mountains. Acta Geogr. Sin. 2009, 64, 571–580. [Google Scholar] [CrossRef]
- Zhang, G.; Gong, Z. Soil Survey Laboratory Methods; Science Press: Beijing, China, 2012. [Google Scholar]
- Chen, Y.; Yang, K.; Tang, W.; Qin, J.; Zhao, L. Parameterizing soil organic carbon’s impacts on soil porosity and thermal parameters for Eastern Tibet grasslands. Sci. China Earth Sci. 2012, 55, 1001–1011. [Google Scholar] [CrossRef]
- Tian, Z.; Ren, T.; Horton, R.; Heitman, J.L. Estimating soil bulk density with combined commercial soil water content and thermal property sensors. Soil Tillage Res. 2020, 196, 104445. [Google Scholar] [CrossRef]
- Barry-Macaulay, D.; Bouazza, A.; Singh, R.M.; Wang, B.; Ranjith, P.G. Thermal conductivity of soils and rocks from the Melbourne (Australia) region. Eng. Geol. 2013, 164, 131–138. [Google Scholar] [CrossRef]
- Borbon-Almada, A.C.; Rodriguez-Muñoz, N.A.; Najera-Trejo, M. Energy and economic impact on the application of low-cost lightweight materials in economic housing located in dry climates. Sustainability 2019, 11, 1586. [Google Scholar] [CrossRef]
- Fan, Y.; Liu, S.; Zhang, S.; Deng, L. Background organic carbon storage of topsoil and whole profile of soils from Tibet District and their spatial distribution. Acta Ecol. Sin. 2006, 26, 2834–2946. [Google Scholar]
- Wu, X.; Zhao, L.; Fang, H.; Chen, J.; Pang, Q.; Wang, Z.; Chen, M.; Ding, Y. Soil enzyme activities in permafrost regions of the western Qinghai-Tibetan Plateau. Soc. Am. J. 2012, 76, 1280–1289. [Google Scholar] [CrossRef]
- Wu, X.; Nan, Z. A multilayer soil texture dataset for permafrost modeling over Qinghai-Tibetan Plateau. In Proceedings of the 2016 IEEE International Geoscience and Remote Sensing Symposium (IGARSS), Beijing, China, 10–15 July 2016; pp. 4917–4920. [Google Scholar]
- Al-Qinna, M.; Scott, H.D.; Brye, K.R.; Van Brahana, J.; Sauer, T.J.; Sharpley, A. Coarse fragments affect soil properties in a mantled-karst landscape of the Ozark Highlands. Soil Sci. 2014, 179, 42–50. [Google Scholar] [CrossRef]
- Baetens, J.M.; Verbist, K.; Cornelis, W.M.; Gabriels, D.; Soto, G. On the influence of coarse fragments on soil water retention. Water Resour. Res. 2009, 45. [Google Scholar] [CrossRef]
- Ravina, I.; Magier, J. Hydraulic conductivity and water retention of clay soils containing coarse fragments. Soc. Am. J. 1984, 48, 736–740. [Google Scholar] [CrossRef]
- Wu, X.; Nan, Z.; Zhao, S.; Zhao, L.; Cheng, G. Spatial modeling of permafrost distribution and properties on the Qinghai-Tibet Plateau. Permafrost Periglac. 2018, 29, 86–99. [Google Scholar] [CrossRef]
- Xu, X.; Wang, J.; Zhang, L. Physics of Frozen Soil; Science Press: Beijing, China, 2010. [Google Scholar]
- Yuan, X.; Li, N.; Zhao, X.; Li, J. Study of thermal conductivity model for unsaturated unfrozen and frozen soils. Rock Soil Mech. 2010, 31, 2689–2694. [Google Scholar]
- Zhang, Z.F.; Ward, A.L.; Keller, J.M. Determining the porosity and saturated hydraulic conductivity of binary mixtures. Vadose Zone J. 2011, 10, 313–321. [Google Scholar] [CrossRef]
- Shao, M.A.; Ma, D.; Zhu, W.; Wang, H.; Zhou, B. Study on Soil Moisture of Soil Rock Mixture in Loess Plateau; Science Press: Beijing, China, 2010. [Google Scholar]
- Du, Y.; Li, R.; Zhao, L.; Yang, C.; Wu, T.; Hu, G.; Xiao, Y.; Zhu, X.; Yang, S.; Ni, J.; et al. Evaluation of 11 soil thermal conductivity schemes for the permafrost region of the central Qinghai-Tibet Plateau. Catena 2020, 193, 104608. [Google Scholar] [CrossRef]
- Li, R.; Zhao, L.; Wu, T.; Wang, Q.X.; Ding, Y.; Yao, J.; Wu, X.; Hu, G.; Xiao, Y.; Du, Y.; et al. Soil thermal conductivity and its influencing factors at the Tanggula permafrost region on the Qinghai–Tibet Plateau. Agric. For. Meteorol. 2019, 264, 235–246. [Google Scholar] [CrossRef]
- Pei, W.; Yu, W.; Li, S.; Zhou, J. A new method to model the thermal conductivity of soil–rock media in cold regions: An example from permafrost regions tunnel. Cold Reg. Sci. Technol. 2013, 95, 11–18. [Google Scholar] [CrossRef]
- Nicolsky, D.J.; Romanovsky, V.E.; Alexeev, V.A.; Lawrence, D.M. Improved modeling of permafrost dynamics in a GCM land-surface scheme. Geophys. Res. Lett. 2007, 34. [Google Scholar] [CrossRef]
- Goodrich, L.E. Field measurements of soil thermal conductivity. Can. Geotech. J. 1986, 23, 51–59. [Google Scholar] [CrossRef]
- Tian, Z.; Lu, Y.; Horton, R.; Ren, T. A simplified de Vries-based model to estimate thermal conductivity of unfrozen and frozen soil. Eur. J. Soil Sci. 2016, 67, 564–572. [Google Scholar] [CrossRef]
- Orakoglu, M.E.; Liu, J.; Niu, F. Experimental and modeling investigation of the thermal conductivity of fiber-reinforced soil subjected to freeze-thaw cycles. Appl. Therm. Eng. 2016, 108, 824–832. [Google Scholar] [CrossRef]








| Soil Layer (cm) | S14 | S16 | S21 | ||||||
|---|---|---|---|---|---|---|---|---|---|
| Frozen | 0 °C | Unfrozen | Frozen | 0 °C | Unfrozen | Frozen | 0 °C | Unfrozen | |
| 0–10 | 1.754 | 16.687 | 1.421 | 1.305 | 0 | 1.16 | 2.583 | 2.162 | 1.421 | 
| 10–20 | 2.356 | 36.153 | 1.725 | 0.681 | 2.998 | 0.903 | 2.182 | 0 | 1.725 | 
| 20–30 | 3.103 | 50.106 | 2.104 | 1.092 | 0.529 | 1.054 | 1.876 | 1.546 | 2.104 | 
| 30–40 | 2.587 | 15.788 | 1.711 | 1.872 | 13.255 | 1.507 | 2.615 | 9.936 | 1.711 | 
| 40–50 | 2.907 | 32.12 | 1.588 | 2.085 | 7.428 | 1.447 | 2.307 | 2.038 | 1.588 | 
| 50–60 | 3.221 | 41.733 | 2.093 | 1.014 | 3.411 | 0.953 | 2.205 | 12.32 | 2.093 | 
| 60–70 | 3.199 | 44.583 | 2.035 | 1.646 | 5.339 | 1.396 | 2.294 | 1.789 | 2.035 | 
| 70–80 | 3.06 | 0 | 1.988 | 2.194 | 8.131 | 1.669 | 2.388 | 31.006 | 1.988 | 
| Disclaimer/Publisher’s Note: The statements, opinions and data contained in all publications are solely those of the individual author(s) and contributor(s) and not of MDPI and/or the editor(s). MDPI and/or the editor(s) disclaim responsibility for any injury to people or property resulting from any ideas, methods, instructions or products referred to in the content. | 
© 2023 by the authors. Licensee MDPI, Basel, Switzerland. This article is an open access article distributed under the terms and conditions of the Creative Commons Attribution (CC BY) license (https://creativecommons.org/licenses/by/4.0/).
Share and Cite
Wang, X.; Chen, R.; Sun, H. Physical and Thermal Properties of Coarse-Fragment Soil in the Moraine-Talus Zone of the Qilian Mountains. Sustainability 2023, 15, 1183. https://doi.org/10.3390/su15021183
Wang X, Chen R, Sun H. Physical and Thermal Properties of Coarse-Fragment Soil in the Moraine-Talus Zone of the Qilian Mountains. Sustainability. 2023; 15(2):1183. https://doi.org/10.3390/su15021183
Chicago/Turabian StyleWang, Xiqiang, Rensheng Chen, and Hongjie Sun. 2023. "Physical and Thermal Properties of Coarse-Fragment Soil in the Moraine-Talus Zone of the Qilian Mountains" Sustainability 15, no. 2: 1183. https://doi.org/10.3390/su15021183
APA StyleWang, X., Chen, R., & Sun, H. (2023). Physical and Thermal Properties of Coarse-Fragment Soil in the Moraine-Talus Zone of the Qilian Mountains. Sustainability, 15(2), 1183. https://doi.org/10.3390/su15021183
 
        


 
       