Assessing the Potential of Hybrid-Based Metaheuristic Algorithms Integrated with ANNs for Accurate Reference Evapotranspiration Forecasting
Abstract
:1. Introduction
- Use multiple preprocessing techniques, such as singular spectrum analysis (SSA) to clean noise from the data, and the tolerance method to find the optimum input model scenario.
- Examine PSOGWO, hybrid-based, in conjunction with ANN as a predictive tool for ETo, which represents the novelty of this study.
- Apply three other algorithms: CPSOCGSA, hybrid-based; and MPA, single-based, and SMA, single-based, integrated with ANN, to assess and confirm the PSOGWO model. Multiple error indicators were employed to compare the performance of the applied techniques.
2. Materials
2.1. Study Area and Data Used
2.2. FAO 56 PM Method
3. Methodology
3.1. Pre-Processing Methods
3.2. The Hybrid Particle Swarm Optimisation–Grey Wolf Optimiser Algorithm (PSOGWO)
| Algorithm 1: Hybrid PSOGWO |
| The user-specified: maximum number of iterations (MAXi), number of population sizes (PS), small possibility rate (prob), Small population Size = psizesmall, Possibility rate = prob. 1 Initialise population 2 For Iteration = 1 to Max. Iteration do 3 for iteration count do 4 for population size do 5 r1 = rand; r2 = rand; 6 Update a, A and C vectors 7 Update alfa, beta, and delta 8 Call PSO routine 9 Update PSO position 10 end 11 end 12 end 13 end |
3.3. Artificial Neural Network (ANN)
3.4. Model Performance Assessment
4. Results
4.1. Input Data Analysis
4.2. Configuring the Model
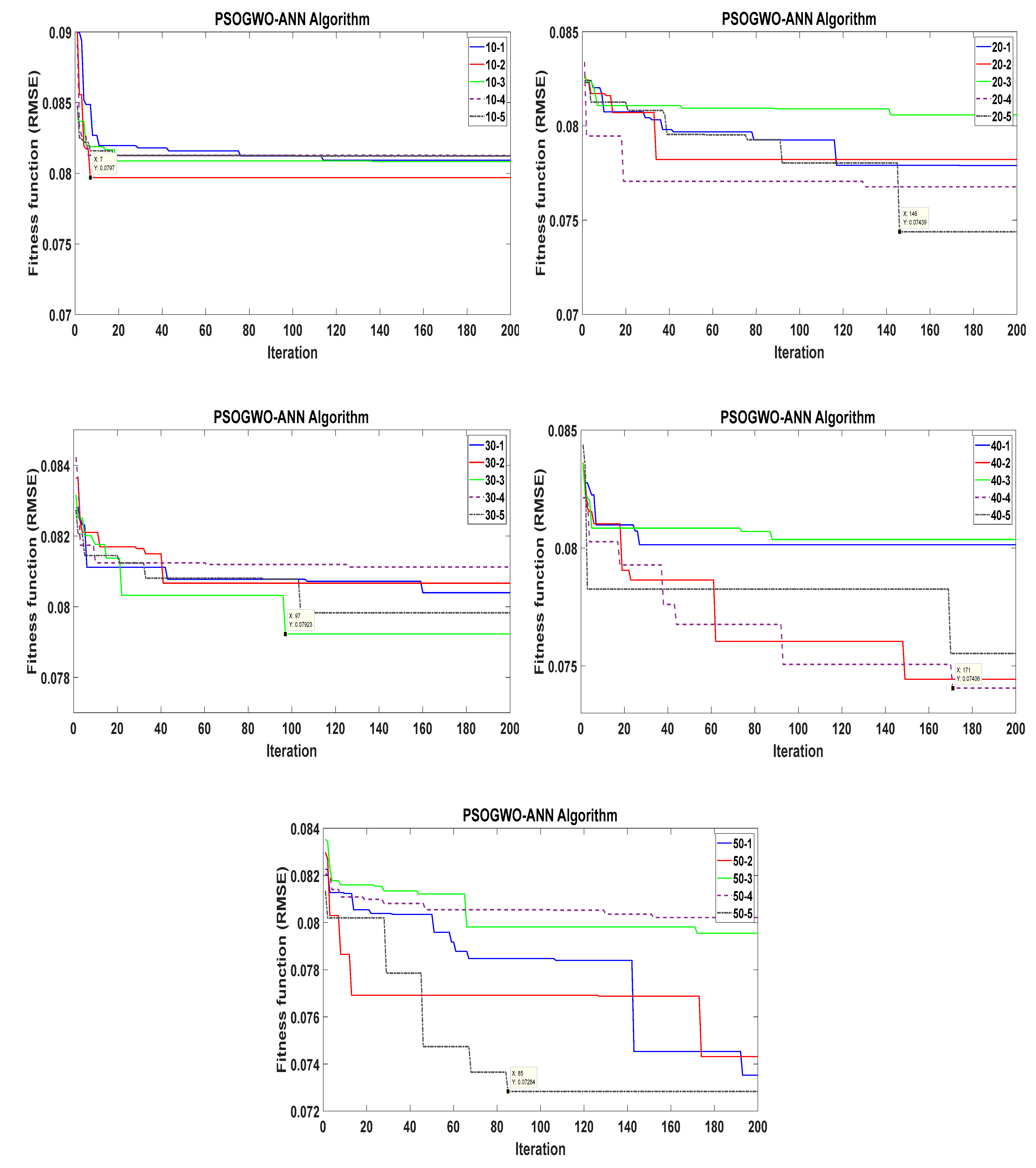
4.3. Performance Evaluation
5. Discussion
6. Conclusions
- The preprocessing method revealed that the WSmax, P, and Tmin are the best set of inputs for the model. This was deduced based on the tolerance coefficients.
- ANN is a powerful prediction tool; its use in conjunction with metaheuristic algorithms has the benefit of overcoming overfitting restrictions, as well as enhancing performance and saving time by selecting the optimal Lr coefficient and N1 and N2 for the hidden layers.
- All of the forecasting models performed excellently. However, hybrid-based algorithms (PSOGWO and CPSOCGSA) somewhat outperformed the single-based algorithms (SMA and MPA).
- The PSOGWO–ANN algorithm was the best, which had the following metrics: R2 = 0.977, RMSE = 0.07809, MAE = 0.14456, NSE = 0.9763, and NMSE = 0.97492, demonstrating that this methodology is a reliable approach for predicting monthly ETo.
Author Contributions
Funding
Institutional Review Board Statement
Informed Consent Statement
Data Availability Statement
Conflicts of Interest
References
- Yu, J.; Zheng, W.; Xu, L.; Zhangzhong, L.; Zhang, G.; Shan, F. A PSO-XGBoost Model for Estimating Daily Reference Evapotranspiration in the Solar Greenhouse. Intell. Autom. Soft Comput. 2020, 26, 989–1003. [Google Scholar] [CrossRef]
- Zhu, B.; Feng, Y.; Gong, D.; Jiang, S.; Zhao, L.; Cui, N. Hybrid particle swarm optimization with extreme learning machine for daily reference evapotranspiration prediction from limited climatic data. Comput. Electron. Agric. 2020, 173, 105430. [Google Scholar] [CrossRef]
- Allen, R.G.; Pereira, L.S.; Raes, D.; Smith, M. Crop Evapotranspiration-Guidelines for Computing Crop Water Requirements-FAO Irrigation and Drainage Paper 56; FAO: Rome, Italy, 1998; Volume 300, p. D05109. [Google Scholar]
- Ding, Z.; Ali, E.F.; Elmahdy, A.M.; Ragab, K.E.; Seleiman, M.F.; Kheir, A.M.S. Modeling the combined impacts of deficit irrigation, rising temperature and compost application on wheat yield and water productivity. Agric. Water Manag. 2021, 244, 106626. [Google Scholar] [CrossRef]
- Gavilán, P.; Lorite, I.; Tornero, S.; Berengena, J. Regional calibration of Hargreaves equation for estimating reference ET in a semiarid environment. Agric. Water Manag. 2006, 81, 257–281. [Google Scholar] [CrossRef]
- Yan, S.; Wu, L.; Fan, J.; Zhang, F.; Zou, Y.; Wu, Y. A novel hybrid WOA-XGB model for estimating daily reference evapotranspiration using local and external meteorological data: Applications in arid and humid regions of China. Agric. Water Manag. 2021, 244, 106594. [Google Scholar] [CrossRef]
- Wu, L.; Zhou, H.; Ma, X.; Fan, J.; Zhang, F. Daily reference evapotranspiration prediction based on hybridized extreme learning machine model with bio-inspired optimization algorithms: Application in contrasting climates of China. J. Hydrol. 2019, 577, 123960. [Google Scholar] [CrossRef]
- Tikhamarine, Y.; Malik, A.; Souag-Gamane, D.; Kisi, O. Artificial intelligence models versus empirical equations for modeling monthly reference evapotranspiration. Environ. Sci. Pollut. Res. Int. 2020, 27, 30001–30019. [Google Scholar] [CrossRef]
- Jing, W.; Yaseen, Z.M.; Shahid, S.; Saggi, M.K.; Tao, H.; Kisi, O.; Salih, S.Q.; Al-Ansari, N.; Chau, K.-W. Implementation of evolutionary computing models for reference evapotranspiration modeling: Short review, assessment and possible future research directions. Eng. Appl. Comput. Fluid Mech. 2019, 13, 811–823. [Google Scholar] [CrossRef]
- Zeinolabedini Rezaabad, M.; Ghazanfari, S.; Salajegheh, M. ANFIS Modeling with ICA, BBO, TLBO, and IWO Optimization Algorithms and Sensitivity Analysis for Predicting Daily Reference Evapotranspiration. J. Hydrol. Eng. 2020, 25, 04020038. [Google Scholar] [CrossRef]
- Wu, L.; Peng, Y.; Fan, J.; Wang, Y.; Huang, G. A novel kernel extreme learning machine model coupled with K-means clustering and firefly algorithm for estimating monthly reference evapotranspiration in parallel computation. Agric. Water Manag. 2021, 245, 106624. [Google Scholar] [CrossRef]
- Adnan, R.M.; Mostafa, R.R.; Islam, A.R.M.T.; Kisi, O.; Kuriqi, A.; Heddam, S. Estimating reference evapotranspiration using hybrid adaptive fuzzy inferencing coupled with heuristic algorithms. Comput. Electron. Agric. 2021, 191, 106541. [Google Scholar] [CrossRef]
- Elgeldawi, E.; Sayed, A.; Galal, A.R.; Zaki, A.M. Hyperparameter tuning for machine learning algorithms used for arabic sentiment analysis. Informatics 2021, 8, 79. [Google Scholar] [CrossRef]
- Kheir, A.M.; Elnashar, A.; Mosad, A.; Govind, A.J.H. An improved deep learning procedure for statistical downscaling of climate data. Heliyon 2023, 9, e18200. [Google Scholar] [CrossRef]
- Kheir, A.M.; Ammar, K.A.; Amer, A.; Ali, M.G.; Ding, Z.; Elnashar, A.J.C.; Agriculture, E.i. Machine learning-based cloud computing improved wheat yield simulation in arid regions. Comput. Electron. Agric. 2022, 203, 107457. [Google Scholar] [CrossRef]
- Ahmed, A.N.; Van Lam, T.; Hung, N.D.; Van Thieu, N.; Kisi, O.; El-Shafie, A.J.A.S.C. A comprehensive comparison of recent developed meta-heuristic algorithms for streamflow time series forecasting problem. Appl. Soft Comput. 2021, 105, 107282. [Google Scholar] [CrossRef]
- Lai, V.; Essam, Y.; Huang, Y.F.; Ahmed, A.N.; El-Shafie, A. Investigating dam reservoir operation optimization using metaheuristic algorithms. Appl. Water Sci. 2022, 12, 280. [Google Scholar] [CrossRef]
- Adetunji, K.E.; Hofsajer, I.W.; Abu-Mahfouz, A.M.; Cheng, L.J.I.A. A review of metaheuristic techniques for optimal integration of electrical units in distribution networks. IEEE Access 2020, 9, 5046–5068. [Google Scholar] [CrossRef]
- Muhammad Adnan, R.; Chen, Z.; Yuan, X.; Kisi, O.; El-Shafie, A.; Kuriqi, A.; Ikram, M. Reference Evapotranspiration Modeling Using New Heuristic Methods. Entropy 2020, 22, 547. [Google Scholar] [CrossRef]
- Tikhamarine, Y.; Malik, A.; Kumar, A.; Souag-Gamane, D.; Kisi, O. Estimation of monthly reference evapotranspiration using novel hybrid machine learning approaches. Hydrol. Sci. J. 2019, 64, 1824–1842. [Google Scholar] [CrossRef]
- Tikhamarine, Y.; Malik, A.; Pandey, K.; Sammen, S.S.; Souag-Gamane, D.; Heddam, S.; Kisi, O. Monthly evapotranspiration estimation using optimal climatic parameters: Efficacy of hybrid support vector regression integrated with whale optimization algorithm. Environ. Monit. Assess 2020, 192, 696. [Google Scholar] [CrossRef]
- Maroufpoor, S.; Bozorg-Haddad, O.; Maroufpoor, E. Reference evapotranspiration estimating based on optimal input combination and hybrid artificial intelligent model: Hybridization of artificial neural network with grey wolf optimizer algorithm. J. Hydrol. 2020, 588, 125060. [Google Scholar] [CrossRef]
- Roy, D.K.; Barzegar, R.; Quilty, J.; Adamowski, J. Using ensembles of adaptive neuro-fuzzy inference system and optimization algorithms to predict reference evapotranspiration in subtropical climatic zones. J. Hydrol. 2020, 591, 125509. [Google Scholar] [CrossRef]
- Mehdizadeh, S.; Mohammadi, B.; Pham, Q.B.; Duan, Z. Development of Boosted Machine Learning Models for Estimating Daily Reference Evapotranspiration and Comparison with Empirical Approaches. Water 2021, 13, 3489. [Google Scholar] [CrossRef]
- Krishnashetty, P.H.; Balasangameshwara, J.; Sreeman, S.; Desai, S.; Kantharaju, A.B.J.C.S.R. Cognitive computing models for estimation of reference evapotranspiration: A review. Cogn. Syst. Res. 2021, 70, 109–116. [Google Scholar] [CrossRef]
- Khairan, H.E.; Zubaidi, S.L.; Muhsen, Y.R.; Al-Ansari, N. Parameter Optimisation Based Hybrid Reference Evapotranspiration Prediction Models A Systematic Review of Current Implementations and Future Research Directions. Atmosphere 2022, 14, 77. [Google Scholar] [CrossRef]
- Eiben, A.E.; Schippers, C.A. On evolutionary exploration and exploitation. Fundam. Informaticae 1998, 35, 35–50. [Google Scholar] [CrossRef]
- Al-Ansari, N. Topography and climate of Iraq. J. Earth Sci. Geotech. Eng. 2021, 11, 1–13. [Google Scholar] [CrossRef]
- Muter, S.A.; Nassif, W.G.; Al-Ramahy, Z.A.; Al-Taai, O.T. Analysis of seasonal and annual relative humidity using GIS for selected stations over Iraq during the period (1980–2017). J. Green Eng. 2020, 10, 9121–9135. [Google Scholar]
- Sheina, S.; Muhsin, M.; Girya, L. Application technology solar thermal power plant in Al-Kut. E3S Web Conf. 2021, 263, 05019. [Google Scholar] [CrossRef]
- Al-Abadi, A.; Al-Aboodi, A.H.D. Optimum rain-gauges network design of some cities in Iraq. J. Babylon Univ./Eng. Sci. 2014, 22, 946–958. [Google Scholar]
- Alawsi, M.A.; Zubaidi, S.L.; Al-Ansari, N.; Al-Bugharbee, H.; Ridha, H.M. Tuning ANN Hyperparameters by CPSOCGSA, MPA, and SMA for Short-Term SPI Drought Forecasting. Atmosphere 2022, 13, 1436. [Google Scholar] [CrossRef]
- Tayyeh, H.K.; Mohammed, R. Analysis of NASA POWER reanalysis products to predict temperature and precipitation in Euphrates River basin. J. Hydrol. 2023, 619, 129327. [Google Scholar] [CrossRef]
- Capt, T.; Mirchi, A.; Kumar, S.; Walker, W.S. Urban water demand: Statistical optimization approach to modeling daily demand. J. Water Resour. Plan. Manag. 2021, 147, 04020105. [Google Scholar] [CrossRef]
- Singh, D.; Singh, B. Investigating the impact of data normalization on classification performance. Appl. Soft Comput. 2020, 97, 105524. [Google Scholar] [CrossRef]
- Espinosa, F.; Bartolomé, A.B.; Hernández, P.V.; Rodriguez-Sanchez, M. Contribution of Singular Spectral Analysis to Forecasting and Anomalies Detection of Indoors Air Quality. Sensors 2022, 22, 3054. [Google Scholar] [CrossRef]
- Mohammadi, B.; Mehdizadeh, S. Modeling daily reference evapotranspiration via a novel approach based on support vector regression coupled with whale optimization algorithm. Agric. Water Manag. 2020, 237, 106145. [Google Scholar] [CrossRef]
- Ruiming, F.; Shijie, S. Daily reference evapotranspiration prediction of Tieguanyin tea plants based on mathematical morphology clustering and improved generalized regression neural network. Agric. Water Manag. 2020, 236, 106177. [Google Scholar] [CrossRef]
- Pallant, J. SPSS Survival Manual: A Step by Step Guide to Data Analysis Using IBM SPSS; McGraw-Hill Education: London, UK, 2020. [Google Scholar]
- Kennedy, J.; Eberhart, R. Particle swarm optimization. In Proceedings of the ICNN’95-International Conference on Neural Networks, Perth, Australia, 27 November–1 December 1995; pp. 1942–1948. [Google Scholar]
- Suman, G.K.; Guerrero, J.M.; Roy, O.P. Optimisation of solar/wind/bio-generator/diesel/battery based microgrids for rural areas: A PSO-GWO approach. Sustain. Cities Soc. 2021, 67, 102723. [Google Scholar] [CrossRef]
- Adnan, R.M.; Mostafa, R.R.; Kisi, O.; Yaseen, Z.M.; Shahid, S.; Zounemat-Kermani, M. Improving streamflow prediction using a new hybrid ELM model combined with hybrid particle swarm optimization and grey wolf optimization. Knowl.-Based Syst. 2021, 230, 107379. [Google Scholar] [CrossRef]
- Mirjalili, S.; Mirjalili, S.M.; Lewis, A. Grey wolf optimizer. Adv. Eng. Softw. 2014, 69, 46–61. [Google Scholar] [CrossRef]
- Dong, J.; Liu, X.; Huang, G.; Fan, J.; Wu, L.; Wu, J. Comparison of four bio-inspired algorithms to optimize KNEA for predicting monthly reference evapotranspiration in different climate zones of China. Comput. Electron. Agric. 2021, 186, 106211. [Google Scholar] [CrossRef]
- El-Kenawy, E.M.; Zerouali, B.; Bailek, N.; Bouchouich, K.; Hassan, M.A.; Almorox, J.; Kuriqi, A.; Eid, M.; Ibrahim, A. Improved weighted ensemble learning for predicting the daily reference evapotranspiration under the semi-arid climate conditions. Environ. Sci. Pollut. Res. Int. 2022, 29, 81279–81299. [Google Scholar] [CrossRef]
- Şenel, F.A.; Gökçe, F.; Yüksel, A.S.; Yiğit, T. A novel hybrid PSO–GWO algorithm for optimization problems. Eng. Comput. 2019, 35, 1359–1373. [Google Scholar] [CrossRef]
- Gocić, M.; Arab Amiri, M. Reference Evapotranspiration Prediction Using Neural Networks and Optimum Time Lags. Water Resour. Manag. 2021, 35, 1913–1926. [Google Scholar] [CrossRef]
- Tabachnick, B.G.; Fidell, L.S.; Ullman, J.B. Using Multivariate Statistics; Pearson: Boston, MA, USA, 2013; Volume 6. [Google Scholar]
- Dawson, C.W.; Abrahart, R.J.; See, L.M. HydroTest: A web-based toolbox of evaluation metrics for the standardised assessment of hydrological forecasts. Environ. Model. Softw. 2007, 22, 1034–1052. [Google Scholar] [CrossRef]
- Potter, K. Methods for presenting statistical information: The box plot. In Visualization of Large and Unstructured Data Sets, GI-Edition Lecture Notes in Informatics (LNI); Hagen, H., Kerren, A., Dannenmann, P., Eds.; 2006; Volume S-4, pp. 97–106. Available online: https://www.sci.utah.edu/~kpotter/publications/potter-2006-MPSI.pdf (accessed on 1 September 2023).
- Hu, K. Become competent within one day in generating boxplots and violin plots for a novice without prior R experience. Methods Protoc. 2020, 3, 64. [Google Scholar] [CrossRef]
- Alawsi, M.A.; Zubaidi, S.L.; Al-Bdairi, N.S.S.; Al-Ansari, N.; Hashim, K. Drought Forecasting: A Review and Assessment of the Hybrid Techniques and Data Pre-Processing. Hydrology 2022, 9, 115. [Google Scholar] [CrossRef]
- Khudhair, Z.S.; Zubaidi, S.L.; Ortega-Martorell, S.; Al-Ansari, N.; Ethaib, S.; Hashim, K. A Review of Hybrid Soft Computing and Data Pre-Processing Techniques to Forecast Freshwater Quality’s Parameters: Current Trends and Future Directions. Environments 2022, 9, 85. [Google Scholar] [CrossRef]
- Mohammed, S.J.; Zubaidi, S.L.; Ortega-Martorell, S.; Al-Ansari, N.; Ethaib, S.; Hashim, K. Application of hybrid machine learning models and data pre-processing to predict water level of watersheds: Recent trends and future perspective. Cogent Eng. 2022, 9, 2143051. [Google Scholar] [CrossRef]
- Jiao, P.; Hu, S.-J. Optimal Alternative for Quantifying Reference Evapotranspiration in Northern Xinjiang. Water 2021, 14, 1. [Google Scholar] [CrossRef]
- Ahmadi, F.; Mehdizadeh, S.; Mohammadi, B.; Pham, Q.B.; Doan, T.N.C.; Vo, N.D. Application of an artificial intelligence technique enhanced with intelligent water drops for monthly reference evapotranspiration estimation. Agric. Water Manag. 2021, 244, 106622. [Google Scholar] [CrossRef]
- Shah, M.I.; Javed, M.F.; Alqahtani, A.; Aldrees, A. Environmental assessment based surface water quality prediction using hyper-parameter optimized machine learning models based on consistent big data. Process Saf. Environ. Prot. 2021, 151, 324–340. [Google Scholar] [CrossRef]
- Karbasi, M.; Jamei, M.; Ali, M.; Malik, A.; Yaseen, Z.M. Forecasting weekly reference evapotranspiration using Auto Encoder Decoder Bidirectional LSTM model hybridized with a Boruta-CatBoost input optimizer. Comput. Electron. Agric. 2022, 198, 107121. [Google Scholar] [CrossRef]
- Alizamir, M.; Kisi, O.; Muhammad Adnan, R.; Kuriqi, A. Modelling reference evapotranspiration by combining neuro-fuzzy and evolutionary strategies. Acta Geophys. 2020, 68, 1113–1126. [Google Scholar] [CrossRef]
- Almubaidin, M.A.A.; Ahmed, A.N.; Sidek, L.B.M.; Elshafie, A. Using Metaheuristics Algorithms (MHAs) to Optimize Water Supply Operation in Reservoirs: A Review. Arch. Comput. Methods Eng. 2022, 29, 3677–3711. [Google Scholar] [CrossRef]
- Ridha, H.M.; Hizam, H.; Mirjalili, S.; Othman, M.L.; Ya’acob, M.E.; Abualigah, L. A Novel Theoretical and Practical Methodology for Extracting the Parameters of the Single and Double Diode Photovoltaic Models. IEEE Access 2022, 10, 11110–11137. [Google Scholar] [CrossRef]










| Climatic Factors | Tolerance |
|---|---|
| P | 0.271 |
| Tmin | 0.185 |
| WSmax | 0.246 |
| Data | p | Tmin | WSmax |
|---|---|---|---|
| Raw | −0.610 ** | 0.946 ** | 0.898 ** |
| Preprocessed | −0.853 ** | 0.956 ** | 0.942 ** |
| Hyperparameter | PSOGWO–ANN | CPSOCGSA–ANN | SMA–ANN | MPA–ANN |
|---|---|---|---|---|
| N1 | 2 | 2 | 1 | 2 |
| N2 | 12 | 17 | 8 | 20 |
| LR | 0.7858 | 0.2191 | 0.7846 | 0.9780 |
| Model | RMSE | MAE | NSE | NMSE | R2 |
|---|---|---|---|---|---|
| PSOGWO–ANN | 0.0781 | 0.1446 | 0.9763 | 0.9749 | 0.9772 |
| CPSOCGSA–ANN | 0.0787 | 0.1560 | 0.9760 | 0.9746 | 0.9767 |
| SMA–ANN | 0.0844 | 0.1507 | 0.9724 | 0.9730 | 0.9743 |
| MPA–ANN | 0.0799 | 0.1711 | 0.9753 | 0.9696 | 0.9765 |
Disclaimer/Publisher’s Note: The statements, opinions and data contained in all publications are solely those of the individual author(s) and contributor(s) and not of MDPI and/or the editor(s). MDPI and/or the editor(s) disclaim responsibility for any injury to people or property resulting from any ideas, methods, instructions or products referred to in the content. |
© 2023 by the authors. Licensee MDPI, Basel, Switzerland. This article is an open access article distributed under the terms and conditions of the Creative Commons Attribution (CC BY) license (https://creativecommons.org/licenses/by/4.0/).
Share and Cite
Khairan, H.E.; Zubaidi, S.L.; Al-Mukhtar, M.; Dulaimi, A.; Al-Bugharbee, H.; Al-Faraj, F.A.; Ridha, H.M. Assessing the Potential of Hybrid-Based Metaheuristic Algorithms Integrated with ANNs for Accurate Reference Evapotranspiration Forecasting. Sustainability 2023, 15, 14320. https://doi.org/10.3390/su151914320
Khairan HE, Zubaidi SL, Al-Mukhtar M, Dulaimi A, Al-Bugharbee H, Al-Faraj FA, Ridha HM. Assessing the Potential of Hybrid-Based Metaheuristic Algorithms Integrated with ANNs for Accurate Reference Evapotranspiration Forecasting. Sustainability. 2023; 15(19):14320. https://doi.org/10.3390/su151914320
Chicago/Turabian StyleKhairan, Hadeel E., Salah L. Zubaidi, Mustafa Al-Mukhtar, Anmar Dulaimi, Hussein Al-Bugharbee, Furat A. Al-Faraj, and Hussein Mohammed Ridha. 2023. "Assessing the Potential of Hybrid-Based Metaheuristic Algorithms Integrated with ANNs for Accurate Reference Evapotranspiration Forecasting" Sustainability 15, no. 19: 14320. https://doi.org/10.3390/su151914320
APA StyleKhairan, H. E., Zubaidi, S. L., Al-Mukhtar, M., Dulaimi, A., Al-Bugharbee, H., Al-Faraj, F. A., & Ridha, H. M. (2023). Assessing the Potential of Hybrid-Based Metaheuristic Algorithms Integrated with ANNs for Accurate Reference Evapotranspiration Forecasting. Sustainability, 15(19), 14320. https://doi.org/10.3390/su151914320

