Analysing the Sustainability of the Production of Solid Recovered Fuel from Screening Waste
Abstract
:1. Introduction
2. Materials and Methods
2.1. Description of Scenarios
- The proposed scenarios are shown in Figure 1 and described below.
- Scenario 0. Disposal in landfill: the current elimination of waste in the landfill of will be considered.
- Scenario 1. Production of non-densified SRF with solar drying: greenhouse drying will be considered and a shredded fuel with homogeneous particle size will be obtained.
- Scenario 2. Production of non-densified SRF with thermal drying: for this scenario, drying will be conventional by means of thermal heating, obtaining the same fuel after shredding as in the previous scenario.
- Scenario 3. Production of densified SRF with solar drying: as a continuation of scenario 1 and as a post-treatment to improve SRF characteristics, in this case, the fuel obtained will be in the form of pellets.
- Scenario 4. Production of densified SRF with thermal drying: Scenario 2 will be complemented with the densification stage to obtain pellets as SRF.
2.2. Cost/Benefit Assessment
2.3. Economical Analysis; Financial Net Present Value (NPVf)
2.4. Environmental Analysis: Social NPV
2.5. Monte Carlo Simulation
3. Results and Discussion
3.1. Economic Analysis
3.1.1. Initial Costs
3.1.2. Operation and Maintenance Costs
3.1.3. Scenario Costs
3.2. Environmental Analysis
3.2.1. CO2 Emission
3.2.2. Social NPV
4. Conclusions
- In the decision making, both the initial costs and the operation and maintenance costs (OMCs) should be considered, as well as the costs derived from CO2 emissions, which can be combined with the net present value. MC simulation is a valuable tool for quantitative risk analysis.
- Current landfill disposal does not require any investment costs. However, the costs derived from its management and the high CO2 emissions produce NPVs of −1052.60 EUR/t. This value, compared to that determined for the other scenarios (−53.91 to −38.39 EUR/t), means that landfill disposal is not considered a viable option. The values of the SRF production scenarios vary: firstly, according to the type of drying, solar drying being the least harmful in terms of CO2 emissions; and secondly, according to the inclusion of densification in the process.
- Drying costs are the most relevant in SRF production, regardless of whether it is densified or not. Although the OMC values for thermal drying are slightly higher than those for solar drying, the initial investment is substantially lower, making thermal drying the most economically viable option.
- The densification of the SRF implies an increase in the simulated selling price of 7.88% (solar drying) and 8.48% (thermal drying). However, this economic difference must be evaluated concerning the logistical benefits attributed to densified SRF to evaluate the effectiveness of densification.
Author Contributions
Funding
Institutional Review Board Statement
Informed Consent Statement
Data Availability Statement
Conflicts of Interest
Abbreviations
References
- Gherghel, A.; Teodosiu, C.; De Gisi, S. A Review on Wastewater Sludge Valorisation and Its Challenges in the Context of Circular Economy. J. Clean. Prod. 2019, 228, 244–263. [Google Scholar] [CrossRef]
- Puyol, D.; Batstone, D.J.; Hülsen, T.; Astals, S.; Peces, M.; Krömer, J.O. Resource Recovery from Wastewater by Biological Technologies: Opportunities, Challenges, and Prospects. Front. Microbiol. 2017, 7, 2106. [Google Scholar] [CrossRef] [PubMed]
- Cadavid-Rodriguez, L.S.; Horan, N. Reducing the Environmental Footprint of Wastewater Screenings through Anaerobic Digestion with Resource Recovery. Water Environ. J. 2012, 26, 301–307. [Google Scholar] [CrossRef]
- Boni, M.R.; Polettini, A.; Pomi, R.; Rossi, A.; Filippi, A.; Cecchini, G.; Frugis, A.; Leoni, S. Valorisation of Residues from Municipal Wastewater Sieving through Anaerobic (Co-)Digestion with Biological Sludge. Waste Manag. Res. 2021, 40, 814–821. [Google Scholar] [CrossRef] [PubMed]
- Tsiakiri, E.P.; Mpougali, A.; Lemonidis, I.; Tzenos, C.A.; Kalamaras, S.D.; Kotsopoulos, T.A.; Samaras, P. Estimation of Energy Recovery Potential from Primary Residues of Four Municipal Wastewater Treatment Plants. Sustainability 2021, 13, 7198. [Google Scholar] [CrossRef]
- European Parliament and Council. Directive (EU) 2018/850 of the European Parliament and of the Council of 30 May 2018 Amending Directive 1999/31/EC on the Landfill of Waste. Off. J. Eur. Union 2018, 2018, 100–108. [Google Scholar]
- Ballesteros, I.; Duque, A.; Negro, M.J.; Coll, C.; Latorre-Sánchez, M.; Hereza, J.; Iglesias, R. Valorisation of Cellulosic Rejections from Wastewater Treatment Plants through Sugar Production. J. Environ. Manag. 2022, 312, 114931. [Google Scholar] [CrossRef]
- Wid, N.; Horan, N.J. Anaerobic Digestion of Screenings for Biogas Recovery. In Green Energy and Technology; Springer: Singapore, 2018; pp. 85–103. [Google Scholar] [CrossRef]
- De la Torre-Bayo, J.J.; Martín-pascual, J.; Torres-rojo, J.C.; Zamorano, M.; Jesús, J.; Torre-bayo, D.; Martín-pascual, J.; Torres-rojo, J.C. Characterization of Screenings from Urban Wastewater Treatment Plants: Alternative Approaches to Landfill Disposal. J. Clean. Prod. 2022, 380, 134884. [Google Scholar] [CrossRef]
- Norma Española 21640:2021; Combustibles Sólidos Recuperados Especificaciones y Clases. AENOR: Madrid, Spain, 2021.
- Wu, H.; Glarborg, P.; Frandsen, F.J.; Dam-Johansen, K.; Jensen, P.A.; Sander, B. Trace Elements in Co-Combustion of Solid Recovered Fuel and Coal. Fuel Process. Technol. 2013, 105, 212–221. [Google Scholar] [CrossRef]
- Bessi, C.; Lombardi, L.; Meoni, R.; Canovai, A.; Corti, A. Solid Recovered Fuel: An Experiment on Classification and Potential Applications. Waste Manag. 2016, 47, 184–194. [Google Scholar] [CrossRef]
- Garg, A.; Smith, R.; Hill, D.; Longhurst, P.J.; Pollard, S.J.T.; Simms, N.J. An Integrated Appraisal of Energy Recovery Options in the United Kingdom Using Solid Recovered Fuel Derived from Municipal Solid Waste. Waste Manag. 2009, 29, 2289–2297. [Google Scholar] [CrossRef] [PubMed]
- Di Lonardo, M.C.; Franzese, M.; Costa, G.; Gavasci, R.; Lombardi, F. The Application of SRF vs. RDF Classification and Specifications to the Material Flows of Two Mechanical-Biological Treatment Plants of Rome: Comparison and Implications. Waste Manag. 2016, 47, 195–205. [Google Scholar] [CrossRef] [PubMed]
- Kaartinen, T.; Sormunen, K.; Rintala, J. Case Study on Sampling, Processing and Characterization of Landfilled Municipal Solid Waste in the View of Landfill Mining. J. Clean. Prod. 2013, 55, 56–66. [Google Scholar] [CrossRef]
- Kaless, M.; Palmowski, L.; Pinnekamp, J. Carbon Recovery from Screenings for Energy-Efficient Wastewater Treatment. Water Sci. Technol. 2017, 76, 3299–3306. [Google Scholar] [CrossRef]
- Đurđević, D.; Blecich, P.; Jurić, Ž. Energy Recovery from Sewage Sludge: The Case Study of Croatia. Energies 2019, 12, 1927. [Google Scholar] [CrossRef]
- Juchelková, D. Drying Methods for Municipal Solid Waste Quality Improvement in the Developed and Developing Countries: A Review. Environ. Eng. Res. 2019, 24, 529–542. [Google Scholar]
- Le Hyaric, R.; Canler, J.P.; Barillon, B.; Naquin, P.; Gourdon, R. Characterization of Screenings from Three Municipal Wastewater Treatment Plants in the Region Rhône-Alpes. Water Sci. Technol. 2009, 60, 525–531. [Google Scholar] [CrossRef]
- Gilbert, P.; Ryu, C.; Sharifi, V.; Swithenbank, J. Effect of Process Parameters on Pelletisation of Herbaceous Crops. Fuel 2009, 88, 1491–1497. [Google Scholar] [CrossRef]
- Nixon, J.D.; Dey, P.K.; Ghosh, S.K.; Davies, P.A. Evaluation of Options for Energy Recovery from Municipal Solid Waste in India Using the Hierarchical Analytical Network Process. Energy 2013, 59, 215–223. [Google Scholar] [CrossRef]
- Jewiarz, M.; Mudryk, K.; Dziedzic, K. Parameters Affecting RDF-Based Pellet Quality. Energies 2020, 13, 910. [Google Scholar] [CrossRef]
- Fernández-González, J.M.; Grindlay, A.L.; Serrano-Bernardo, F.; Rodríguez-Rojas, M.I.; Zamorano, M. Economic and Environmental Review of Waste-to-Energy Systems for Municipal Solid Waste Management in Medium and Small Municipalities. Waste Manag. 2017, 67, 360–374. [Google Scholar] [CrossRef] [PubMed]
- Iacovidou, E.; Hahladakis, J.; Deans, I.; Velis, C.; Purnell, P. Technical Properties of Biomass and Solid Recovered Fuel (SRF) Co-Fired with Coal: Impact on Multi-Dimensional Resource Recovery Value. Waste Manag. 2018, 73, 535–545. [Google Scholar] [CrossRef]
- Reza, B.; Soltani, A.; Ruparathna, R.; Sadiq, R.; Hewage, K. Environmental and Economic Aspects of Production and Utilization of RDF as Alternative Fuel in Cement Plants: A Case Study of Metro Vancouver Waste Management. Resour. Conserv. Recycl. 2013, 81, 105–114. [Google Scholar] [CrossRef]
- Arena, U.; Di Gregorio, F.; De Troia, G.; Saponaro, A. A Techno-Economic Evaluation of a Small-Scale Fluidized Bed Gasifier for Solid Recovered Fuel. Fuel Process. Technol. 2015, 131, 69–77. [Google Scholar] [CrossRef]
- Matignon, G.P. Trends in the Use of Solid Recovered Fuels; IAE Bioenergy: Ottawa, Canada, 2020; ISBN 9781910154724. [Google Scholar]
- Chavando, J.A.M.; Silva, V.B.; Tarelho, L.A.C.; Cardoso, J.S.; Eusébio, D. Snapshot Review of Refuse-Derived Fuels. Util. Policy 2022, 74, 101316. [Google Scholar] [CrossRef]
- Shen, Y.; Linville, J.L.; Ignacio-de Leon, P.A.A.; Schoene, R.P.; Urgun-Demirtas, M. Towards a Sustainable Paradigm of Waste-to-Energy Process: Enhanced Anaerobic Digestion of Sludge with Woody Biochar. J. Clean. Prod. 2016, 135, 1054–1064. [Google Scholar] [CrossRef]
- Ni, T.; Si, J.; Lu, F.; Zhu, Y.; Pan, M. Performance Analysis and Optimization of Cascade Waste Heat Recovery System Based on Transcritical CO2 Cycle for Waste Heat Recovery in Waste-to-Energy Plant. J. Clean. Prod. 2022, 331, 129949. [Google Scholar] [CrossRef]
- Alwaeli, M. Economic Calculus of the Effectiveness of Waste Utilization Processed as Substitutes of Primary Materials. Environ. Prot. Eng. 2011, 37, 51–58. [Google Scholar]
- Cucchiella, F.; D’Adamo, I.; Gastaldi, M. Sustainable Waste Management: Waste to Energy Plant as an Alternative to Landfill. Energy Convers. Manag. 2017, 131, 18–31. [Google Scholar] [CrossRef]
- Alao, M.A.; Popoola, O.M.; Ayodele, T.R. Projecting the Energetic Potential and Economic Viability of Renewable Power Generation from Municipal Solid Waste: Indication from South African Provinces. Energy Sustain. Dev. 2022, 71, 352–367. [Google Scholar] [CrossRef]
- Ministerio de Hacienda. Real Decreto 1098/2001; Ministerio de Hacienda: Madrid, Spain, 2001; pp. 1–111.
- Martín-Pascual, J.; Fernández-González, J.M.; Ceccomarini, N.; Ordoñez, J.; Zamorano, M. The Study of Economic and Environmental Viability of the Treatment of Organic Fraction of Municipal Solid Waste Using Monte Carlo Simulation. Appl. Sci. 2020, 10, 9028. [Google Scholar] [CrossRef]
- Bennamoun, L.; Arlabosse, P.; Léonard, A. Review on Fundamental Aspect of Application of Drying Process to Wastewater Sludge. Renew. Sustain. Energy Rev. 2013, 28, 29–43. [Google Scholar] [CrossRef]
- Mathioudakis, V.L.; Kapagiannidis, A.G.; Athanasoulia, E.; Paltzoglou, A.D.; Melidis, P.; Aivasidis, A. Sewage Sludge Solar Drying: Experiences from the First Pilot-Scale Application in Greece. Dry. Technol. 2013, 31, 519–526. [Google Scholar] [CrossRef]
- Boguniewicz-Zablocka, J.; Klosok-Bazan, I.; Capodaglio, A.G. Sustainable Management of Biological Solids in Small Treatment Plants: Overview of Strategies and Reuse Options for a Solar Drying Facility in Poland. Environ. Sci. Pollut. Res. 2021, 28, 24680–24693. [Google Scholar] [CrossRef] [PubMed]
- Kamarulzaman, A.; Hasanuzzaman, M.; Rahim, N.A. Global Advancement of Solar Drying Technologies and Its Future Prospects: A Review. Sol. Energy 2021, 221, 559–582. [Google Scholar] [CrossRef]
- Janjai, S. A Greenhouse Type Solar Dryer for Small-Scale Dried Food Industries: Development and Dissemination. Int. J. Energy Environ. 2012, 3, 383–398. [Google Scholar]
- Risueño, M.L.C.F.V. Secado Solar de Lodos de Depuradora para el Ahorro Energético en los Procesos de Post-Tratamiento. Master’s Thesis, Universidad Politécnica de Madrid, Madrid, Spain, 2020. No. Enero. [Google Scholar]
- Kurt, M.; Aksoy, A.; Sanin, F.D. ScienceDirect Evaluation of Solar Sludge Drying Alternatives by Costs and Area Requirements. Water Res. 2015, 82, 47–57. [Google Scholar] [CrossRef]
- Li, X.; Takaoka, M.; Zhu, F.; Wang, J.; Oshita, K.; Mizuno, T. Environmental and Economic Assessment of Municipal Sewage Sludge Management-A Case Study in Beijing, China. Water Sci. Technol. 2013, 67, 1465–1473. [Google Scholar] [CrossRef]
- Kelessidis, A.; Stasinakis, A.S. Comparative Study of the Methods Used for Treatment and Final Disposal of Sewage Sludge in European Countries. Waste Manag. 2012, 32, 1186–1195. [Google Scholar] [CrossRef] [PubMed]
- Del Giudice, A.; Acampora, A.; Santangelo, E.; Pari, L.; Bergonzoli, S.; Guerriero, E.; Petracchini, F.; Torre, M.; Paolini, V.; Gallucci, F. Wood Chip Drying through the Using of a Mobile Rotary Dryer. Energies 2019, 12, 1590. [Google Scholar] [CrossRef]
- Mobini, M.; Sowlati, T.; Sokhansanj, S. A Simulation Model for the Design and Analysis of Wood Pellet Supply Chains. Appl. Energy 2013, 111, 1239–1249. [Google Scholar] [CrossRef]
- Pirraglia, A.; Gonzalez, R.W.; Saloni, D. Techno-Economical Analysis of Wood Pellets Production for US Manufacturers. BioResources 2010, 5, 2374–2390. [Google Scholar] [CrossRef]
- Thek, G.; Obernberger, I. Wood Pellet Production Costs under Austrian and in Comparison to Swedish Framework Conditions. Biomass Bioenergy 2004, 27, 671–693. [Google Scholar] [CrossRef]
- Zakrisson, M. Comparison of International Pellet Production Costs, Examensarbeten Nr 39; Department of Forest Management and Products: Uppsala, Sweden, 2002.
- Urbanowski, E. Strategic Analysis of a Pellet Fuel Opportunity in Northwest British Columbia. Master’s Thesis, Simon Fraser University, Burnaby, BC, Canada, 2005. [Google Scholar]
- Khanlari, A.; Gungor, A. Energetic, Environmental and Economic Analysis of Drying Municipal Sewage Sludge with a Modified Sustainable Solar Drying System. Sol. Energy 2020, 208, 787–799. [Google Scholar] [CrossRef]
- Paredes, L.; Murgolo, S.; Dzinun, H.; Dzarfan Othman, M.H.; Ismail, A.F.; Carballa, M.; Mascolo, G. Application of Immobilized TiO2 on PVDF Dual Layer Hollow Fibre Membrane to Improve the Photocatalytic Removal of Pharmaceuticals in Different Water Matrices. Appl. Catal. B Environ. 2019, 240, 9–18. [Google Scholar] [CrossRef]
- Velis, C.A.; Longhurst, P.J.; Drew, G.H.; Smith, R.; Pollard, S.J.T. Biodrying for Mechanical-Biological Treatment of Wastes: A Review of Process Science and Engineering. Bioresour. Technol. 2009, 100, 2747–2761. [Google Scholar] [CrossRef] [PubMed]
- Štofová, L.; Szaryszová, P.; Mihalčová, B. Testing the Bioeconomic Options of Transitioning to Solid Recovered Fuel: A Case Study of a Thermal Power Plant in Slovakia. Energies 2021, 14, 1720. [Google Scholar] [CrossRef]
- Tan, S.T.; Ho, W.S.; Hashim, H.; Lee, C.T.; Taib, M.R.; Ho, C.S. Energy, Economic and Environmental (3E) Analysis of Waste-to-Energy (WTE) Strategies for Municipal Solid Waste (MSW) Management in Malaysia. Energy Convers. Manag. 2015, 102, 111–120. [Google Scholar] [CrossRef]
- De la Torre-Bayo, J.J.; Zamorano, M.; Torres-Rojo, J.C.; Rodríguez, M.L.; Martín-Pascual, J.; Jesús, J.; Torre-Bayo, D.; Torres-rojo, J.C.; Rodríguez, M.L.; Martín-Pascual, J.; et al. Analyzing the Production, Quality, and Potential Uses of Solid Recovered Fuel from Screening Waste of Municipal Wastewater Treatment Plants. Process Saf. Environ. Prot. 2023, 172, 950–970. [Google Scholar] [CrossRef]
- Kliopova, I.; Makarskiene, K. Improving Material and Energy Recovery from the Sewage Sludge and Biomass Residues. Waste Manag. 2015, 36, 269–276. [Google Scholar] [CrossRef]
- Thirugnanasambandam, M.; Iniyan, S.; Goic, R. A Review of Solar Thermal Technologies. Renew. Sustain. Energy Rev. 2010, 14, 312–322. [Google Scholar] [CrossRef]
- Hilber, T.; Maier, J.; Scheffknecht, G.; Agraniotis, M.; Grammelis, P.; Kakaras, E.; Glorius, T.; Becker, U.; Derichs, W.; Schiffer, H.-P.; et al. Advantages and Possibilities of Solid Recovered Fuel Cocornbustion in the European Energy Sector. J. Air Waste Manag. Assoc. 2007, 57, 1178–1189. [Google Scholar] [CrossRef]
- Ramos Casado, R.; Arenales Rivera, J.; Borjabad García, E.; Escalada Cuadrado, R.; Fernández Llorente, M.; Bados Sevillano, R.; Pascual Delgado, A. Classification and Characterisation of SRF Produced from Different Flows of Processed MSW in the Navarra Region and Its Co-Combustion Performance with Olive Tree Pruning Residues. Waste Manag. 2016, 47, 206–216. [Google Scholar] [CrossRef] [PubMed]
- Gollapalli, M.; Kota, S.H. Methane Emissions from a Landfill in North-East India: Performance of Various Landfill Gas Emission Models. Environ. Pollut. 2018, 234, 174–180. [Google Scholar] [CrossRef] [PubMed]
- Friedrich, E.; Trois, C. GHG Emission Factors Developed for the Collection, Transport and Landfilling of Municipal Waste in South African Municipalities. Waste Manag. 2013, 33, 1013–1026. [Google Scholar] [CrossRef]
- IEA Bioenergy. Municipal Solid Waste and Its Role in Sustainability; IEA Bioenergy: Rotorua, New Zealand, 2003. [Google Scholar]
- Wittmaier, M.; Langer, S.; Sawilla, B. Possibilities and Limitations of Life Cycle Assessment (LCA) in the Development of Waste Utilization Systems-Applied Examples for a Region in Northern Germany. Waste Manag. 2009, 29, 1732–1738. [Google Scholar] [CrossRef]
- Abeliotis, K.; Chroni, C.; Lasaridi, K.; Terzis, E.; Galliou, F.; Manios, T. Environmental Impact Assessment of a Solar Drying Unit for the Transformation of Food Waste into Animal Feed. Resources 2022, 11, 117. [Google Scholar] [CrossRef]
- Eltawil, M.A.; Azam, M.M.; Alghannam, A.O. Energy Analysis of Hybrid Solar Tunnel Dryer with PV System and Solar Collector for Drying Mint (MenthaViridis). J. Clean. Prod. 2018, 181, 352–364. [Google Scholar] [CrossRef]
- Saini, V.; Tiwari, S.; Tiwari, G.N. Environ Economic Analysis of Various Types of Photovoltaic Technologies Integrated with Greenhouse Solar Drying System. J. Clean. Prod. 2017, 156, 30–40. [Google Scholar] [CrossRef]
- Chauhan, P.S.; Kumar, A.; Nuntadusit, C. Thermo-Environomical and Drying Kinetics of Bitter Gourd Flakes Drying under North Wall Insulated Greenhouse Dryer. Sol. Energy 2018, 162, 205–216. [Google Scholar] [CrossRef]



| Process | Initial Cost (EUR/t) | OMC (EUR/t) | ||
|---|---|---|---|---|
| Min | Max | Min | Max | |
| Solar drying | 116.26 | 230.33 | 0.97 | 38.23 |
| Thermal drying | 2.45 | 22.93 | 9.54 | 61.45 |
| Shredding | 0.74 | 3.56 | 2.30 | 5.07 |
| Pelletising | 1.58 | 18.74 | 3.63 | 13.00 |
| Items | Scenario 1 | Scenario 2 | Scenario 3 | Scenario 4 | |||||
|---|---|---|---|---|---|---|---|---|---|
| Min | Max | Min | Max | Min | Max | Min | Max | ||
| Cost | Initial Cost | 116.54 | 231.67 | 2.73 | 24.27 | 117.13 | 238.74 | 3.32 | 31.34 |
| OMC | 1.84 | 40.14 | 10.41 | 63.36 | 3.21 | 45.11 | 11.78 | 68.33 | |
| Items | Value | Scenario 1 | Scenario 2 | Scenario 3 | Scenario 4 |
|---|---|---|---|---|---|
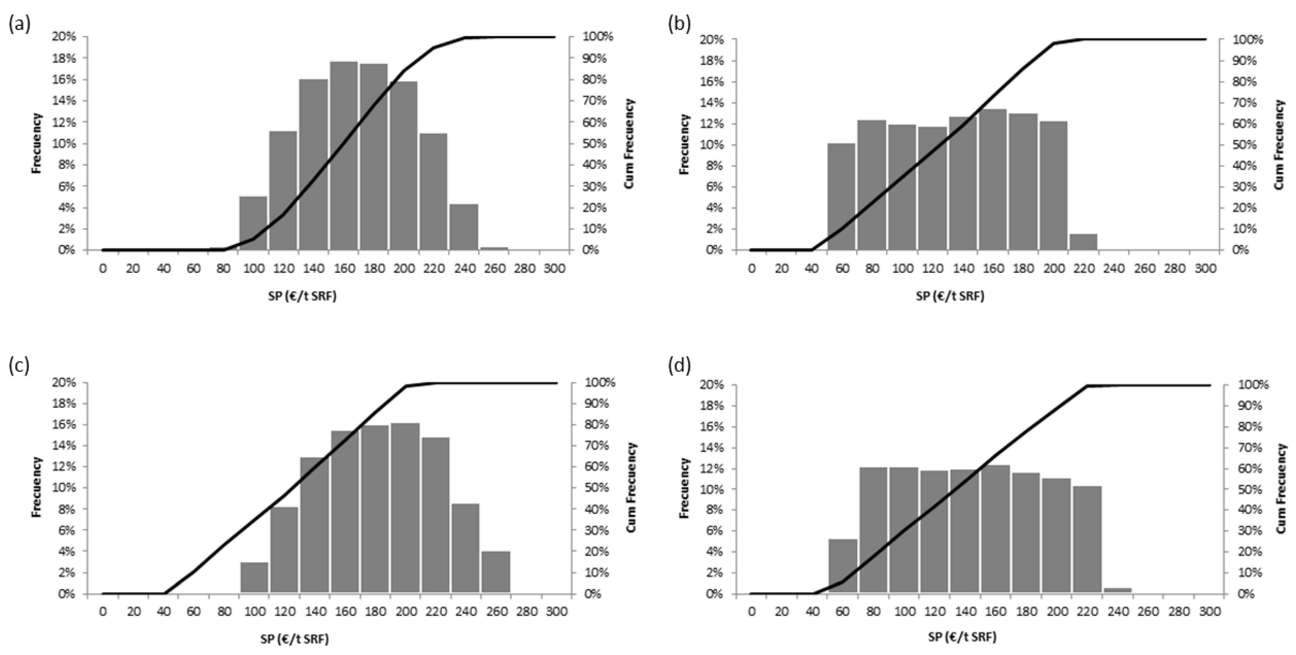
| SP (EUR/t SRF) | Min | 74.30 | 39.49 | 79.63 | 44.06 |
| Max | 245.42 | 207.01 | 264.10 | 224.77 | |
| Av | 159.96 | 123.25 | 172.57 | 133.71 |
| Process | CO2 Emissions (kg CO2/t) | |
|---|---|---|
| Min | Max | |
| Landfilling | 145.00 | 1610.00 |
| Solar drying | 12.16 | 141.73 |
| Thermal drying | 62.58 | 137.56 |
| Shredding | 0.75 | 39.30 |
| Pelletising | 1.22 | 56.90 |
| Items | Value | Scenario 0 | Scenario 1 | Scenario 2 | Scenario 3 | Scenario 4 |
|---|---|---|---|---|---|---|
| CO2 emissions (kg CO2/t) | Min | 145.00 | 12.44 | 62.86 | 12.90 | 63.32 |
| Max | 1610.00 | 156.55 | 152.38 | 178.00 | 173.83 | |
| CO2 cost (EUR/t) | Min | 11.73 | 1.01 | 5.08 | 1.04 | 5.12 |
| Max | 130.20 | 12.66 | 12.32 | 14.39 | 14.06 |
| Items | Value | Scenario 0 | Scenario 1 | Scenario 2 | Scenario 3 | Scenario 4 |
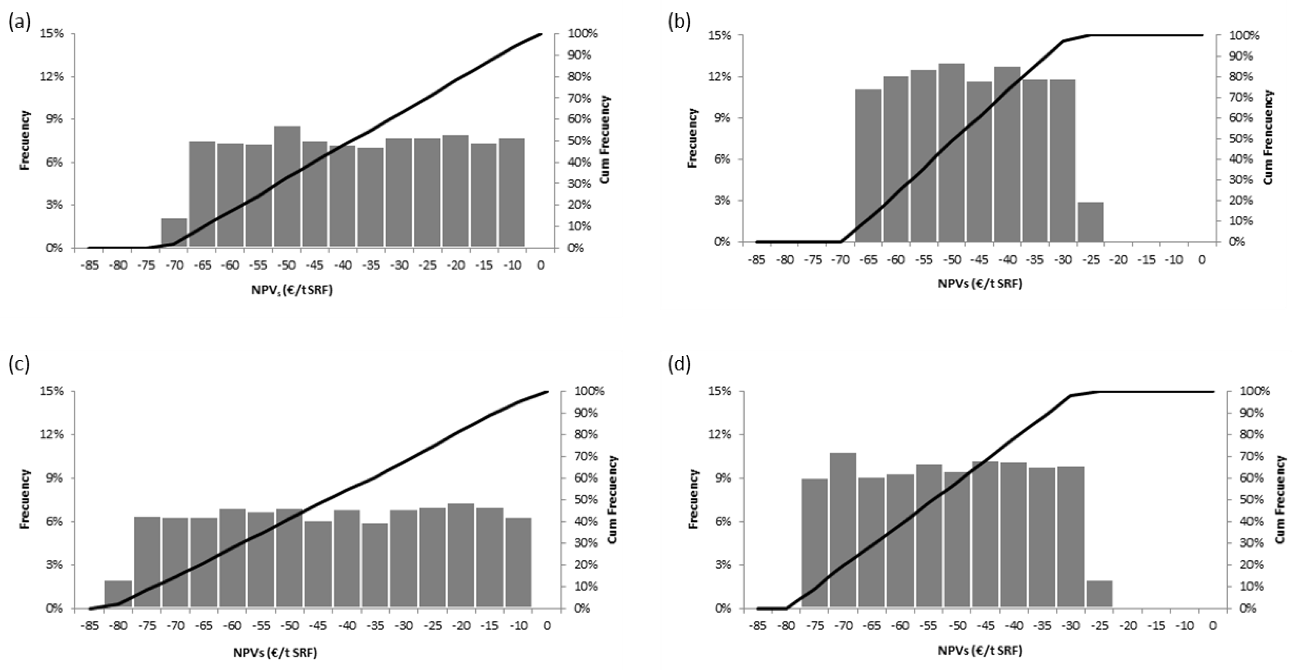
|---|---|---|---|---|---|---|
| NPVs (EUR/t) | Min | −1384.93 | −71.53 | −69.62 | −81.33 | −79.43 |
| Max | −716.29 | −5.69 | −28.73 | −5.90 | −28.94 | |
| Av | −1052.60 | −38.39 | −49.25 | −43.90 | −53.91 |
Disclaimer/Publisher’s Note: The statements, opinions and data contained in all publications are solely those of the individual author(s) and contributor(s) and not of MDPI and/or the editor(s). MDPI and/or the editor(s) disclaim responsibility for any injury to people or property resulting from any ideas, methods, instructions or products referred to in the content. |
© 2023 by the authors. Licensee MDPI, Basel, Switzerland. This article is an open access article distributed under the terms and conditions of the Creative Commons Attribution (CC BY) license (https://creativecommons.org/licenses/by/4.0/).
Share and Cite
De la Torre Bayo, J.J.; Zamorano Toro, M.; Ruiz, L.M.; Torres Rojo, J.C.; Martín Pascual, J. Analysing the Sustainability of the Production of Solid Recovered Fuel from Screening Waste. Sustainability 2023, 15, 13841. https://doi.org/10.3390/su151813841
De la Torre Bayo JJ, Zamorano Toro M, Ruiz LM, Torres Rojo JC, Martín Pascual J. Analysing the Sustainability of the Production of Solid Recovered Fuel from Screening Waste. Sustainability. 2023; 15(18):13841. https://doi.org/10.3390/su151813841
Chicago/Turabian StyleDe la Torre Bayo, Juan Jesús, Montserrat Zamorano Toro, Luz Marina Ruiz, Juan Carlos Torres Rojo, and Jaime Martín Pascual. 2023. "Analysing the Sustainability of the Production of Solid Recovered Fuel from Screening Waste" Sustainability 15, no. 18: 13841. https://doi.org/10.3390/su151813841
APA StyleDe la Torre Bayo, J. J., Zamorano Toro, M., Ruiz, L. M., Torres Rojo, J. C., & Martín Pascual, J. (2023). Analysing the Sustainability of the Production of Solid Recovered Fuel from Screening Waste. Sustainability, 15(18), 13841. https://doi.org/10.3390/su151813841

