Abstract
In recent decades, sustainability reporting has received increasing business and academic attention. However, the management literature is limited regarding recent trends in the issues disclosed in these reports. In this era of multiple socio-economic crises (e.g., the global energy crisis, the Russo–Ukrainian war, and the COVID-19 pandemic), large companies have an even greater responsibility to the communities in which they operate. Given the above, the aim of this study was to examine recent sustainability reports and identify issues related to community impact. Specifically, the sustainability reports of S&P500 companies were analyzed using the Structural Topic Model in R. The results showed that the most common topics in sustainability disclosures related to community impact were “donations” and “STEM education”. Although “donations” as a topic was expected, “STEM education” emerged to highlight the importance of technology in today’s business world. These findings have important managerial and theoretical implications for sustainability reporting.
1. Introduction
In recent years, there has been an increased number of companies communicating their sustainability performance and practices through reporting [1]. As stakeholders have become more demanding, they expect from companies and entrepreneurs a diverse range of actions regarding the three pillars of sustainable development: environment, society, and economy [2]. Except for stakeholder demand, laws and regulations force companies to disclose not only their financial information but also their practices concerning social and environmental capital [3]. As a result, sustainability reporting attracts increasing interest in the academic and business world.
For decades, companies had the notion that their sole responsibility was to maximize their economic profits [4]. Carroll [5] introduced a CSR framework including not only the economic and legal responsibilities of businesses but also the obligations they have from an ethical and philanthropic perspective. Thus, the first attempt at sustainability reporting was focused mainly on the social aspect of sustainability, while after the report by the World Commission on Environment and Development: “Our Common Future” [6], companies switched their focus and emphasized mainly environmental issues in their reports. However, in the last three decades, companies have followed Elkington’s [7] triple-bottom line (TBL) framework and addressed the three dimensions of sustainability (economic, social, and environmental).
Based on the evolution of sustainability reporting, different types of reports have been developed, such as sustainability reports, corporate social responsibility (CSR) reports, and environmental, social, and governance (ESG) reports. However, these reports serve the same purpose: to communicate sustainability practices [8]. These practices are of utmost importance, especially in this period of multiple crises [9], including, for example, COVID-19, the Russo–Ukrainian war, and the global energy crisis. Crises, such as the pandemic, are forcing companies to reassess their responsibilities and their commitment to sustainable development [10]. Companies should play an active and supportive role in the communities in which they operate [11] and disclose their contribution to society. In addition, large companies not only have the capacity and the resources to implement sustainability practices [12,13] and significantly impact communities, but they can also serve as reference points for other companies. Given the above, the main questions are: (i) what are the current trends in sustainability reporting and (ii) what kind of support do large companies provide to communities?
Previous research has focused on the significance of sustainability reporting [14], the incorporation of reporting into business practices [15], sustainability reporting tools [8], and the driving forces for sustainability reporting [16]. Although there are studies that identify trends in sustainability reporting, most of them are limited to a specific industry. For instance, Perez and Sanchez [17] study the mining sector, Fonseca et al. [18] explore sustainability reporting in universities, and Khan et al. [19] study commercial banks. Moreover, many of the studies on sustainability reporting focus on the environmental dimension of sustainable development [20,21]. However, given that social issues are paramount in this time of socio-economic crises, more research is needed on the social dimension of sustainable development.
Finally, although the main methodological approach of the previous studies is a content analysis of sustainability reports [22,23], the literature lacks studies that analyze reports using the Structural Topic Model in R, a tool released in 2019. The main advantage of this method is that it uses statistical techniques to interpret textual data and metadata to identify the main topics present. In addition, this novel approach allows us to examine hundreds of reports, while many previous studies were limited only to a few dozen reports [17,24].
In light of the above, the aim of this study is to examine the sustainability reports of large companies and analyze their support with respect to communities. In particular, we use the Structural Topic Model in R methodology to explore the sustainability reports of companies in the S&P500 Index and identify the main topics of discussion regarding their contribution at the societal level. The study contributes to the sustainability literature by exploring current trends in sustainability reporting by examining companies from a wide range of sectors using an R package developed over the last few years.
The paper is structured as follows. Section 2 reviews relevant studies on sustainable development and sustainability reporting. In Section 3, we describe our methodology using the Structural Topic Model. Section 4 presents the findings, while Section 5 discusses the results. Section 6 provides our concluding remarks, while the Section 7 presents the limitations of this study and suggestions for future research.
2. Literature Review
In recent years, sustainable development has evolved into an important aspect of a firm’s strategy. Sustainable growth is vital in business activity and relates to three dimensions: environment, social, and governance (ESG). Sustainable rules point out alternative ways to explore natural resources to satisfy the needs of societies while allowing firms to have uninterrupted development. The importance of studying the relationship between the three dimensions of sustainable development and business activity is highlighted in several initiatives the United Nations took on sustainable growth. In its 2030 Agenda for Sustainable Development [25], the realization of the 17 Sustainable Development Goals (SDGs) was identified as the ultimate target. The definition of sustainable development has been strengthened and diffused across the globe by the United Nations [26] and other major organizations (ECB, Federal Reserve System, among others).
According to the relevant literature, environmental (E), social (S), and governance (G) factors can be considered important determinants that affect the sustainable development of businesses, especially decision-making and investment analysis [9,27,28,29]. This increased attention by policymakers has also driven an increasing number of institutional and individual investors to incorporate ESG factors into their selection process or even invest in ESG funds [30,31]. Although much attention has been given to the analysis of the environmental and economic dimensions of sustainable growth, less attention has been given to the social dimension of sustainability [32,33].
Regarding the social aspect of sustainability, Bowen [34] first defines the concept of how businesses can be socially responsible, and according to recent studies, an ESG index is examined based on investments, focusing on how ESG factors can contribute to responsible investing [35,36,37]. Further to the investment sector, other scholars examine the relationship between ESG factors in socially responsible investment (SRI). According to Widyawati [38], ESG metrics are important for sustainability performance; however, limited transparency and convergence suggest that these metrics may not be totally reliable [39,40].
In addition, ESG is used for measuring the sustainability performance of businesses. According to Drempetic et al. [41], there is a positive correlation between a firm’s impact and the available ESG resources. In emerging economies, a positive correlation between ESG performance and investment efficiency is also verified by Al-Hiyari et al. [42]. Further to this argument, the (E) environmental, (S) social, and (G) governance factors interact with each other, affecting the sustainable development of businesses [9]. Ziolo et al. [43] examine the interaction of ESG factors in the decision-making process and other scholars have found that a better ESG performance increases the firm value [44,45,46], while environment (E) empowers financing with the appropriate strategy of social responsibility [47].
On the other hand, the impact of ESG on economic consequences could not be omitted since there are mixed results. Many authors have found a positive correlation between ESG activities and firms’ financial performance [48]. In addition, the social dimension of sustainability underlines the firm’s impact on society and issues ranging from community relations to social support and philanthropy [33,49]. Jayachandran et al. [50] examine the impact of corporate social performance focusing on two dimensions: the environment and the product. They found that the former’s positive impact is higher than the latter’s and that the social dimension has a greater value on corporate performance. Moreover, Wang and Qian [51] argue that stakeholders may favor firms with a higher impact on philanthropy, providing them with political resources. Therefore, corporate philanthropy is positively correlated with a firm’s financial performance since it paves the way for more significant political and financial support.
On the other hand, other scholars found a negative correlation between ESG and economic consequences. For instance, ref. [52] examined the impact of corporate social responsibility on shareholder value and concluded that there is a negative correlation between these two variables because “mandatory CSR activities can impose social burdens on business activities at the expense of shareholders” [52] (p. 1296). Similar to this study, Chen et al. [53] examine the impact of mandatory corporate social responsivity (CSR) on a firm’s performance and its social externalities in China. Their results suggest that the mandatory disclosure of CSR creates insufficient spending, and as a result, it raises the CSR cost, thus reducing its potential positive impact.
Related to social sustainability is the concept of social capital, which involves a direction toward binding society through the conversion of individuals into community members. Furthermore, the social dimension of sustainability brings to the surface prevalent social issues that are significant to the successful implementation of initiatives driven by society, such as community relations, social support and consumer choice, among others [54,55,56]. Within this context, corporate social responsibility (CSR) is another important element linked with the social dimension of sustainable growth. The concept of CSR is also linked with the community and external stakeholders [32], while it is considered the main vehicle firms adopt to return to society a share of the gains from its business activity. Moreover, the rise of socially responsible approaches to business activities and investing has refocused the priorities of both corporate management and investors, even if they do not believe in the company’s social aims. Therefore, CSR and ESG are also considered to optimize stockholders’ interest through the increased social value of the firm [57]. Agency theory and stakeholder theory provide the main theoretical framework to discuss social sustainability as well as sustainability reporting [58].
In agency theory, the separation of ownership, management and the board is central to the implementation of CSR and ESG reporting [59,60]. Contrary to Friedman’s [4] view, other academics and practitioners believe that companies should be more “socially responsible” than in the past. Stakeholder theory provides the dominant theory in explaining social sustainability, analyzing the influences of different interest groups of stakeholders besides shareholders [61]. The main argument of stakeholder theory is that business partners, employees, customers, and financial and societal stakeholders are interrelated. Firms are engaged in various activities with their stakeholders to achieve several goals. According to Freeman and Reed [62], two frameworks capture the concept of stakeholders: the first is related to policy and business planning, and the second provides the guidelines for corporate social responsibility implemented by both management and stakeholders. Therefore, Freeman and Reed [62] argue that the first framework deals with the relationship between the firm and its stakeholders and how it is designed and managed. In contrast, the second one focuses on external influences depending on the firm, and they may come from the government, communities, and other groups that promote social issues. Furthermore, stakeholder theory provides good reasoning for sustainability reporting since, as Vitola [63] argues from a stakeholder perspective, it motivates and directs firms to prepare quality reports that integrate all relevant information, including financial, social, governance, and environmental data.
Perez-Lopez et al. [64] focus on sustainability management practices as they have developed over the last two decades, analyzing the link between public disclosure and internal corporate sustainability practices. The literature has shown that sustainability reporting has been adopted due to external pressures, although several internal motives for sustainability reporting have recently emerged [65]. With the application of four company-level sustainability reporting configurations based on external and internal motives for sustainability reporting at different levels, Perez-Lopez et al. [64] find that both external and internal factors are significant in understanding the contribution of sustainability reporting.
Perez-Lopez et al. [66] underline the fact that firms face increased pressure for accountability requirements since various groups of stakeholders demand the disclosure of the social and environmental actions and outcomes of companies. These requirements are closely associated with decision-making. Therefore, this call from society has led to an increased interest in non-financial reporting standards as well as the designing and development of compliance codes. Such requirements call for developing robust measurement and reporting frameworks that will lead to the strategic implementation of corporate social responsibility, at the same time providing a clear response to the demands for accountability by the stakeholders of the company.
Vieira et al. [67] discuss the three dimensions of sustainability and their relationship with social indicators of responsibility. The analysis is focused on creating a map of social sustainability indicators centered on the social dimension of responsibility and sustainability reporting. Thus, they argue that sustainability reporting is essential to measure the social impact of firms’ business activity. To this end, accounting plays an important role in bringing social actions to the surface and measuring these impacts on the community. Sustainability reporting is a significant tool for companies, organizations, and institutions to design and implement their short-and long-term goals [65]. Wei [68] provides a textual analysis of corporate communications of environmental responsibility based on searching official corporate websites. Two main findings stem from the analysis. First, there are two broad subjects underlying corporate disclosure, and second, there is evidence that there are associations between pronoun usage and corporate social responsibility, while it was shown that the present textual analysis exhibits certain communication patterns.
In the same strand of the literature, Fuadah et al. [69] analyze the effect of sustainability reporting on tax avoidance and firm performance in the region of Palembang, Indonesia. Their main findings lead to the conclusion that sustainability reporting positively affects tax avoidance, while tax avoidance has a statistically significant effect on firm performance. Prihanti-Nugraheni et al. [70] examine the social dimension of sustainable tourism development with an application to Indonesia. They provide a conceptual analysis of social sustainability and its interdisciplinary, including corporate social responsibility and business activity. The main conclusion of the analysis is that tourism social sustainability includes a range of activities related to decision-making by governments, societies, and communities.
Talan [71] provides a thorough analysis of the social dimension of sustainability, paying particular attention to the determinants that drive businesses’ decision-making to achieve the social responsibility goal. Moreover, it is shown that the government’s policies are also important to achieve social sustainability. These factors reflect the wide variety of interrelated concepts, including financial and non-financial factors affecting social sustainability. Moreover, ref. [72] focuses on public and third-sector organizations and critically analyzes the sustainability reporting (SR) guidelines. According to the paper, sustainability reporting guidelines fail to promote an ecologically informed approach that could lead to the decreased utility of the reports. Due to the unique and demanding features of public and third-sector organizations, the research highlights the need to produce self-accounts of their activities rather than applying fit-all guidelines.
Many researchers focus on trends in sustainability reporting over time. One of the first studies to look at this empirically, ref. [73] examines the Fortune Global 250 companies between 1998 and 2001. His research reveals a substantial increase in reporting over these years. He also finds that companies pay more attention to issues related to the physical environment and their employees than to external social capital. In the same vein of research, Perez and Sanchez [17] examine the evolution of reporting in four large mining companies. The results indicate that over the period 2001–2006, the reports contained more meaningful information, and references to the social dimension developed significantly. In addition, Leszczynska [74] examines sustainability reports from two different periods, 2005 and 2010, and concludes that the most recent reports have better quality and more information on the three dimensions of sustainable development.
Other studies focus on the themes that are disclosed in the reports. In particular, Khan et al. [19] explore the sustainability reporting in commercial banks in Bangladesh. Their findings reveal that although there is detailed information regarding society, there is little information about product stewardship and human rights. With the same research aim, Aggarwal and Singh [24] investigate sustainability reporting in 60 companies in India. The analysis demonstrates that companies tend to focus on issues regarding society in their reports. On the other hand, they do not put emphasis on issues related to their internal human capital. In a different context, Fonseca et al. [18] focus their research on higher education institutes in Canada. Their findings reveal that the reports have a narrow scope and emphasize eco-efficiency.
An essential aspect of sustainability reporting is stakeholder engagement. Specifically, Torelli et al. [23], by reviewing 152 reports of public interest entities in Italy, reveal that stakeholder engagement can enhance the quality of reports. In another study, Manetti [22] evaluates 174 reports from the GRI database to identify the stakeholder engagement level in reporting. The results demonstrate an approach more focused on stakeholder management approach than on engagement. Thus, in order to have a better quality of disclosures, companies have to put more effort into engaging their stakeholders and reassess their motives while reporting their practices. In a recent research, Landrum and Ohsowski [75] investigated 230 US companies’ reports in order to reveal their worldviews on sustainability. The study shows that the majority of companies focus on disclosing practices that bring benefits to them. Finally, some discouraging findings come from the Sawani et al. [76] study. They assess the reporting of 12 Malaysian organizations, concluding that managers provide selective reporting to benefit shareholders (Table 1).
Table 1.
Studies on sustainability reporting.
3. Methodology
The S&P500 Index was used to determine the population examined in this research. This index was chosen as it is frequently cited as the top indicator of U.S. large-sized companies and accounts for 80% of the total market value [77,78]. As of 5 February 2023 [79], three companies had two share classes in the S&P500 Index. In particular, News Corporation and Fox Corporation have both Class A and Class B shares in the index, while Alphabet Inc. has Class A and Class C.
Companies publish their sustainability practices and actions in one of the following reports (i) Sustainability Report, (ii) CSR Report, (iii) ESG Report, (iv) Impact Report, (v) Corporate Citizenship Report. We downloaded the latest report of each company from their official website. Of the 500 companies, 5 had a report for 2020, 356 for 2021 and 112 for 2022. In order to ensure that the content selection remained consistent, we manually extracted the text related to community impact. The selected texts were sections within the reports, either in a separate chapter with a title referring to the communities (e.g., communities, community impact, community support) or a subsection with a corresponding title. Of 500 companies, 26 had no clear section about communities, while 2 had the same report (General Electric Company and GE Healthcare Technologies Inc., Chicago, IL, USA). Thus, the final analysis was conducted on 473 companies.
In order to identify the main themes discussed in the business reports, we used the Structural Topic Model (STM) in R. The STM is a statistical method for analyzing text data based on previous probabilistic topic models with the advantage of taking into account metadata. The model’s objective is to make it possible for scholars to identify themes/topics within text documents and evaluate how related they are to documents’ metadata [80]. In this research, the companies’ industry and the year of the report were used as metadata, as these two variables can influence the topics.
At the stage of text data preprocessing, the words “community” and “communities” were removed. As the analysis was focused on the content related to community impact, these two words were frequently used in the relevant chapters, and as a result, they did not add value to the results. In order to make our analysis more effective, we also removed stop-words, numbers, and punctuation, converted all letters to lowercase, and performed stemming by keeping the root form of each word.
4. Findings
The next step was to select the number of topics (k). Although the STM performs the text analysis unsupervised, the researcher has to specify the topics to be found in the texts [81]. Determining the exact number of topics suitable for a particular corpus is complex, and there is no correct answer [82]. Thus, we used a combination of algorithms in order to select the number of topics for this research. First, we used the algorithm of Lee and Jung [83]. This algorithm has the benefit of choosing the topics automatically and can be used as a starting point in selecting the number of topics [80]. In our case, when running the “stm” function with k = 0, the results indicated 44 topics.
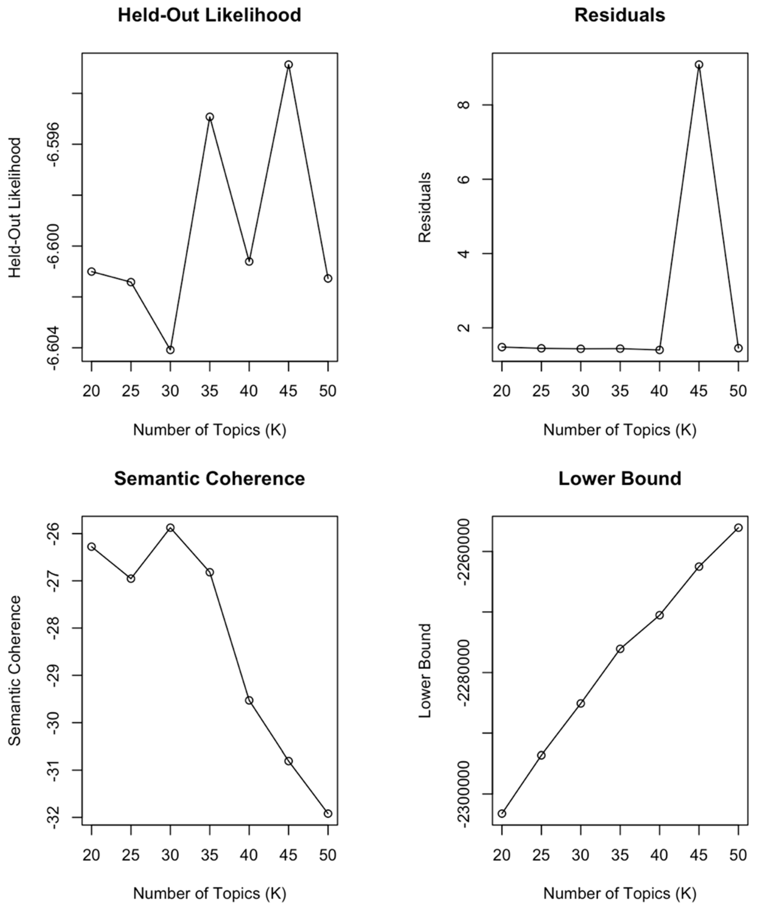
Then, we used the function “search”, which runs automated tests on a predetermined number of topics specified by the researcher [84]. Based on our previous test, we ran the function with a number of topics near 44. Thus, we estimated a model for 20, 25, 30, 35, 40, 45, and 50 topics (75 iterations). After examining the held-out likelihood, residuals, semantic coherence, and lower bound [85] (Figure 1), a number of topics between 32 and 38 could be considered appropriate.
Figure 1.
Diagnostic values by number of topics (testing 20, 25, 30, 35, 40, 45 and 50 topics).
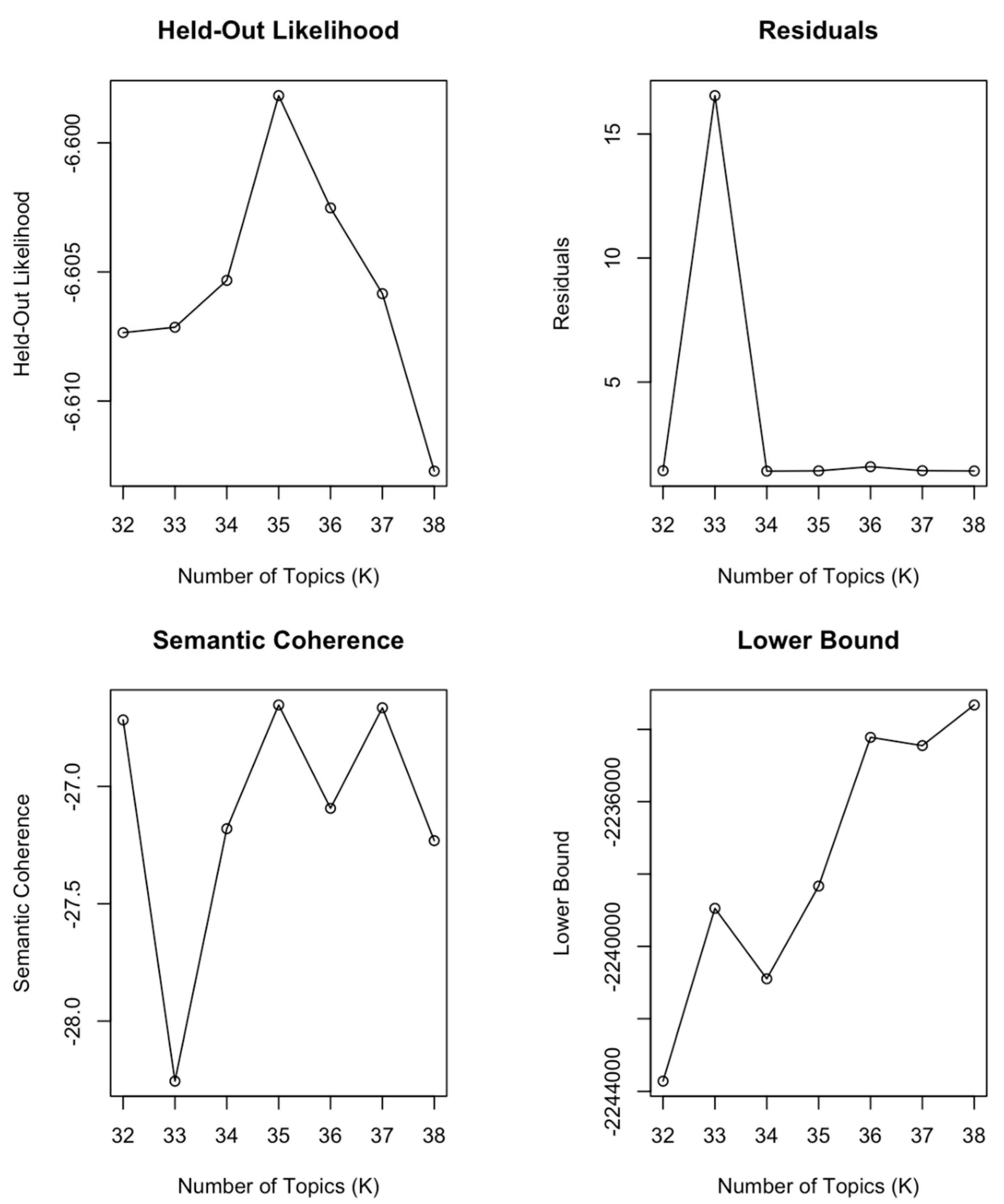
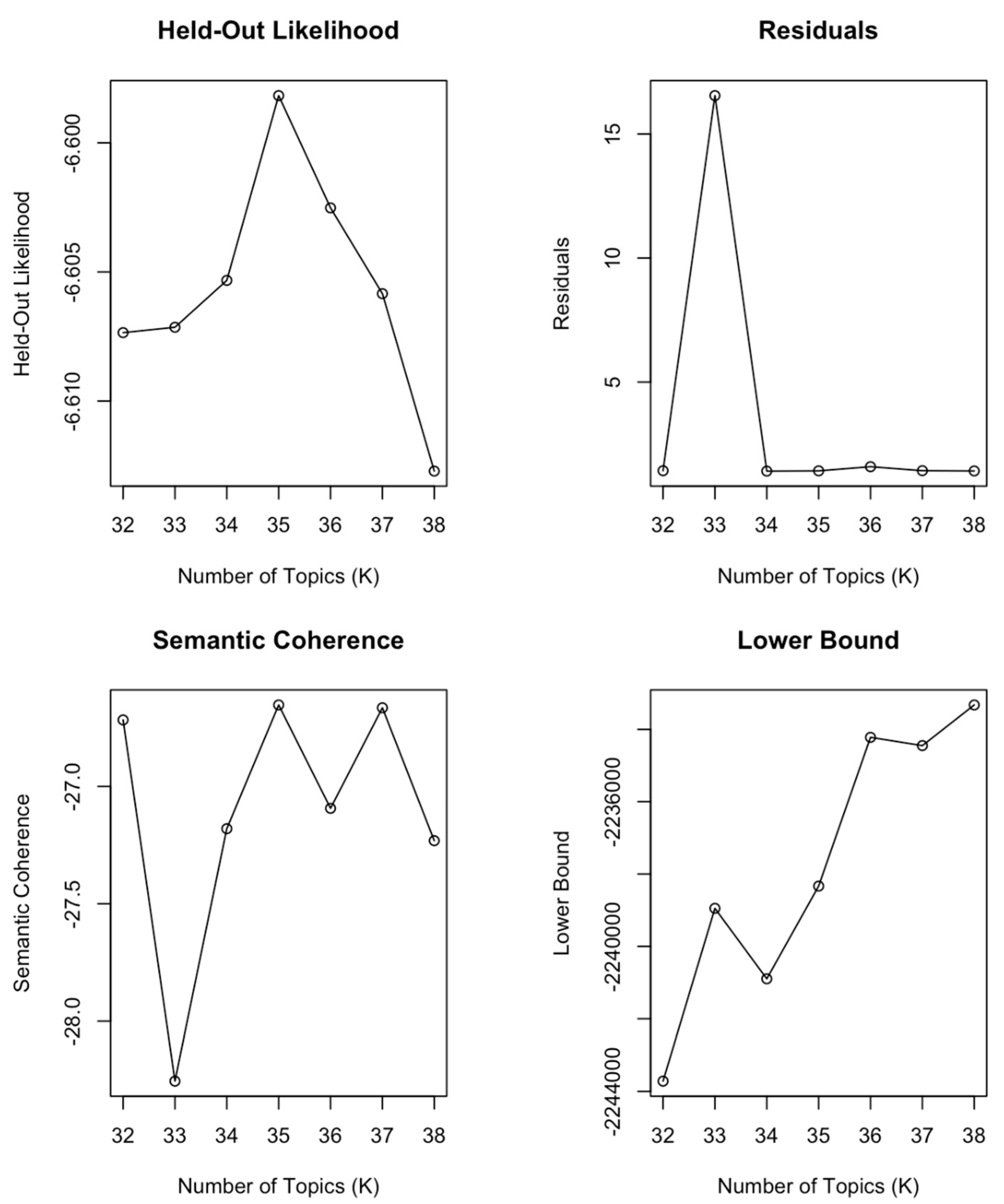
Thus, we ran the “search” function again, this time estimating a model for 32 to 38 topics (no other parameters set). The new diagnostic plots indicated that 35 is a good number of topics as there is a high held-out likelihood and semantic coherence, while there are low residuals (Figure 2).
Figure 2.
Diagnostic values by the number of topics (testing 32 to 38 topics).
Table 2 shows the 35 topics with their top words using four metrics: Highest Probability, FREX, LIFT, and Score. Probability indicates the most common terms in a topic, FREX is described as the relationship between a word’s exclusivity and frequency, LIFT is based on a word’s appearance frequency in a specific topic in comparison to other topics prioritizing the less frequent words in other topics, and Score is similar to LIFT, but it uses the log frequency. We labeled the topics with a suggested name based on the interpretation of the top words and the texts highly associated with each topic.
Table 2.
Topic summary.
Moreover, Figure 3 shows the predicted percentage of the corpus related to each topic, revealing that the most common topics are Topic 3 and Topic 15. Topic 3 is related to donations, while Topic 15 focuses on science, technology, engineering, and mathematics (STEM) education.
Figure 3.
Top topics.
The main two topics (Topics 3 and 15) are followed by Topics 1, 28, 13, 25, 20, and 33. Topic 1 is related to employee engagement, emphasizing employees’ volunteerism, while Topic 28 covers practices regarding social equity, such as support to organizations that promote diversity and inclusion. Moreover, Topic 13 is about practices contributing to education, like offering scholarships and providing educational equipment. Topic 25 is related to actions for supporting teens from disinvested communities, including financial support, education, training, and mentorship, whereas Topic 20 discusses companies’ associates and how they contribute to the social capital. Furthermore, Topic 33 communicates practices about food like meal provision and food banks.
Next, Topics 6, 34, 9, 21, 19, 11, 31, 17, 7, and 24 are displayed. Topic 6 communicates a more general approach to volunteerism, Topic 34 is related to support after disasters, Topic 9 focuses on sustainable business practices and the supply chain, and Topic 21 refers to actions regarding the protection of the cultural heritage of indigenous people. Moreover, Topic 19 presents how to support the veterans, whereas Topic 11 is related to the contribution to Black and Latino communities. Topic 31 mentions COVID-19 and Topic 17 covers skills development. In addition, Topic 7 discusses dental healthcare issues, while Topic 24 is about aiding Ukrainian people during the war.
Following, there are Topics 16, 5, 29, 32, 12, 2, 10, 22, 23, 30, and 14. Topic 16 refers to actions regarding women’s empowerment, Topic 5 discusses energy issues related to communities, Topic 29 focuses on financial support, Topic 32 refers to medicine provision and Topic 12 is related to practices regarding clean water. Furthermore, Topic 2 covers actions regarding vaccinations, Topic 10 is about wildlife protection and recycling, and Topic 22 is related to agriculture and farming. In addition, Topic 23 communicates support actions in the form of housing, Topic 30 analyses practices to eliminate human trafficking, and Topic 14 is about animal protection.
Finally, the less common topics in our analysis are Topics 27, 18, 26, 8, 4, and 35. Topic 27 is related to organizing or sponsoring different types of tournaments, especially for charity reasons; Topic 18 communicates support to people who experienced cancer, while Topic 26 is about connectivity and digital literacy. Moreover, Topic 8 discusses customers and data policies, Topic 4 mentions support to communities through travel, and Topic 35 covers stakeholder issues.
5. Discussion
The purpose of this research is to examine digital business reports about sustainability in order to identify the main topics of discussion related to external social sustainability practices. Our analysis reveals that there are 35 main topics of discussion. The most common topic among the reports is Topic 3, related to donations.
This result is aligned with previous studies [74] as donations constitute an essential action regarding social responsibility in which companies have actively engaged in in recent decades. This activity can easily improve branding and customers’ perception of the company [86]. For instance, Leszczyska [74], when examining 29 multinational firms’ sustainability reports from 2005 and 2010, found that donation is a dominant theme in all of them, and they highlight a wide variety of actions. In addition, when Khan et al. [19] analyzed business annual reports in the banking industry, they found that all the banks that were included in the research had given donations to people who suffered from disasters (e.g., flood), while some of the banks donated money for education (scholarships) and culture.
Our results confirm previous studies as the reports of S&P500 companies during 2020–2022 reveal that donations are a must-have theme of discussion and communication regarding the social dimension of sustainability. In our study, the S&P500 companies included in their reports donations in different fields, such as donations to healthcare organizations, food banks, non-profit organizations, schools, small businesses suffering from COVID-19 or other disasters, and organizations that support diversity and equitability. Moreover, many S&P500 companies have adopted a Matching Gift Program, a type of donation when businesses match the number of donations their employees have made to charity organizations [87]. Moreover, our study showed that the S&P500 companies, regarding their donations, try to contribute to a substantial number of the Sustainable Development Goals (SDGs) set by the United Nations. The related goals are: “SDG1 -No Poverty”, “SDG2—Zero Hunger”, “SDG3—Good Health and Well-Being”, “SDG4—Quality Education”, “SDG5—Gender Equality”, and “SDG10—Reduced Equalities” [88].
Moreover, the analysis reveals that the second-most-common topic in the business reports is Topic 15, related to STEM education. While technology is at the heart of today’s business world [89], there is an increasing demand for STEM-related experts in the marketplace [90]. Moreover, in this field, there is a need for the continuous development of soft and hard skills [90]; thus, multinational companies have come to close this gap by supporting STEM education [83]. Our research confirms previous studies [83,90] as the majority of the S&P500 companies support STEM education in multiple ways. The analysis shows that the companies invest in STEM education by organizing robotics contests, creating maker spaces, developing educational programs, supporting educators, donating to organizations, and initiatives regarding STEM training. The companies’ main focus is to reach and support teens from underrepresented and vulnerable communities so they can have the same opportunities and access to STEM education. Moreover, the companies communicate in their reports that this type of support and mentoring would inspire young people to become scientists and contribute to the future of innovation and technology.
The support of the S&P500 companies regarding STEM education is directly aligned with SDG4—Quality Education, of which the aim is to offer everyone equal opportunities for quality education. However, supporting STEM education to teens from unprivileged communities and groups indirectly contributes to other SDGs such as “SDG8—Decent Work and Economic Growth”, “SDG10—Reduced Inequalities”, and “SDG5—Gender Equality”. Moreover, as many of the S&P500 companies are multinationals, it must be considered that STEM education practices also align with the European Commission’s digital objectives 2030 for enhancing the population’s digital skills [91].
Finally, this research reveals that companies tend to report actions and practices regarding social equity, women’s empowerment, and disinvested communities and to be active in current issues like COVID-19 and the Russo–Ukrainian war. Comparing these results with Kolk’s [73] research, it is evident that, during recent years, large companies have made significant improvements in addressing broader social issues.
6. Conclusions
Modern entrepreneurship mandates the return of dividends to all stakeholders of a company or an organization without exceptions, as opposed to what happened in the past, where the main objective of a corporation was mainly to maximize the profits of shareholders. The question of sustainability and in particular the way that a company or an organization contributes to the prosperity of society is considered a main parameter for success, but it is also a basic prerequisite for the acceptance of the company or the organization as a critical component of smooth functioning and effectiveness.
The growth of the global economy requires, more than ever, excellent differentiation in the approach of companies and organizations to their corporate methods, moving them towards a future that is better than yesterday in terms of environmental protection and the healthy living of citizens. This includes the flora and fauna, the business world and the groups involved, the local community and society as a whole, and the international community and its main actors. The existence of rules for the operation and growth of a corporation should be based on a commonly accepted denominator. This is now imperative for reasons of comparability, control, and therefore improvement of the existing operational structures of companies and organizations, for the ultimate benefit of the contribution to society. The environmental, social, and governmental dimension of sustainability (ESG) is directly related to the capabilities of companies and organizations since it is expected to contribute to their efforts to meet the interests of their stakeholders. The ESG dimension is seen as a useful framework that assists any related stakeholder in realizing the entrepreneurial process in order to manage risks and opportunities around sustainability issues. Annual social and corporate accounting reports are now required to list all those available data that are necessary to ensure the social responsibility of businesses to interested parties, on the basis of which it is possible to evaluate and call for corrective and improvement actions in each subsequent period of use.
The usage of the sustainability parameter in companies and organizations is an important and auspicious practice for wider society and the role of companies towards it, as dealing with the major challenges from the external environment cannot occur through individual actions and fragmented efforts. The prevention of future crises in the economies of countries, and consequently in the profitability and growth of companies and organizations, is expected to provide and secure the required background for their healthy sustainable development in an environment that will work cooperatively towards the achievement of common values for the good of wider society.
The main variable of this research was the social dimension of sustainable development, more specifically the part that concerns the external stakeholders of a company or organization, with a particular focus on communities. The purpose of this paper was to analyze the published results regarding the ESG, sustainability, or CSR reports of the companies belonging to the S&P500 Index, while at the same time, it aims to identify the practices followed by the specific companies regarding their contribution to society. In the research conducted, to identify the social dimension of the sustainable development of the indexed companies, the authors used statistical analysis methods, and an analysis was conducted to evaluate the social dimension of sustainable development. The necessity of changing the management model of the development of businesses or organizations in the modern era in order to improve sustainability seems to be a one-way and correct choice. As a result, it was concluded that modern global entrepreneurship should go hand in hand with the strategy of the social dimension of sustainable development.
The S&P500 Index was used to determine the population examined in this research. This index was chosen as it is frequently cited as the top indicator of U.S. large-sized companies and accounts for 80% of the total market value. Companies publish their sustainability practices and actions in one of the following reports (i) Sustainability Report, (ii) CSR Report, (iii) ESG Report, (iv) Impact Report, or (v) Corporate Citizenship Report. In order to select the number of topics, a combination of algorithms was used, and 35 topics appeared alongside their top words using four metrics: Highest Probability, FREX, LIFT, and Score.
The most common topics identified are those related to donations and focused on science, technology, engineering, and mathematics (STEM) education. These topics are followed by topics related to employee engagement, emphasizing employees’ volunteerism, and practices regarding social equity, such as support to organizations that promote diversity and inclusion. The results of this research are aligned with previous studies since donations constitute an essential action regarding social responsibility in which companies have taken an active role in the past. In addition, the findings are supported by Carroll’s framework [5] of corporate social responsibility, as the practices identified in this research relate to ethical and discretionary responsibilities.
In the fast-changing reporting landscape, analyzing the sustainability reports of S&P500 companies has important implications for managers and practitioners. Managers can utilize sustainability reports as a communication tool and strategic driver that describes the implementation of current and planned strategies. Moreover, sustainability-related performance results, in line with the company’s broader sustainability objectives, lead to the enhancement of the awareness of the company’s values and objectives. It also provides significant insights to stakeholders on the fulfillment of the firm’s commitments.
Decoding the topics in sustainability disclosures could shift companies to the next stage of reporting, which should guide corporate decisions and actions. Moreover, understanding the issues disclosed in these reports can influence the development of a company’s sustainability strategy. This type of strategy will allow companies to align themselves with the SDGs [92,93] and take advantage of a wide array of opportunities set by the 2030 Agenda for Sustainable Development.
The findings of this study can further help organizations observe which sustainability dimensions have to be encouraged through company policies. Such a framework would allow companies to move towards a more sustainable business model and develop a novel perspective of reporting that is more in line with the current sustainability challenges. Finally, in a crisis period, given the constraints imposed and the absence of investment [94], managers would know which practices they should prioritize.
7. Limitations and Future Research
There are many opportunities for further research based on the findings of this study. First, this research focused on the community impact of S&P500 companies. The data analyzed are limited to external social business practices, so a similar methodology can be applied to internal social, environmental, and economic data. The findings from the three aspects of sustainable development could help academics and practitioners further investigate the current trends in sustainability reporting more holistically.
In addition, this study collects the most recent sustainability reports from S&P500 companies, as the aim is to examine current trends in sustainability reporting. However, future research could collect reports from a different time frame (e.g., five/ten years before/after) in order to compare trends and gain important insights into changes in companies’ contribution to society. With the exception of the time frame, this study is limited to S&P500 companies. Future research could extend the report analysis to other indices or European companies to identify similarities and differences in sustainability practices. In addition, research could be conducted in other types of organizations, such as social enterprises [95].
Future research could go beyond the analysis of sustainability reporting and focus on different aspects of the reported practices. For example, conducting interviews with company executives would be very revealing, allowing for the development of a deeper and more thorough understanding of firms’ motives and challenges in reporting on their sustainability practices. Finally, researchers could further examine the context or the environment in which sustainability practices take place and how the S&P500 companies manage to affect other companies.
Author Contributions
Conceptualization, V.P., F.F., G.A.D. and K.K.A.; Methodology, V.P., F.F., G.A.D. and K.K.A.; Validation, V.P., F.F., G.A.D. and K.K.A.; Investigation, V.P., F.F., G.A.D. and K.K.A.; Resources, V.P., F.F., G.A.D. and K.K.A.; Data curation, V.P., F.F., G.A.D. and K.K.A.; Writing—original draft, V.P., F.F., G.A.D. and K.K.A.; Writing—review & editing, V.P., F.F., G.A.D. and K.K.A.; Visualization, G.A.D. All authors have read and agreed to the published version of the manuscript.
Funding
This research received no external funding.
Institutional Review Board Statement
Not applicable.
Informed Consent Statement
Not applicable.
Data Availability Statement
The data are derived from publicly available sustainability reports of companies listed on the S&P500 index. These reports can be accessed from the respective companies’ official websites.
Conflicts of Interest
The authors declare no conflict of interest.
References
- Herzig, C.; Schaltegger, S. Corporate sustainability reporting. In Sustainability Communication: Interdisciplinary Perspectives and Theoretical Foundation; Springer: Dordrecht, The Netherlands, 2011; pp. 151–169. [Google Scholar]
- Hahn, R.; Kühnen, M. Determinants of sustainability reporting: A review of results, trends, theory, and opportunities in an expanding field of research. J. Clean. Prod. 2013, 59, 5–21. [Google Scholar] [CrossRef]
- Ioannou, I.; Serafeim, G. The Consequences of Mandatory Corporate Sustainability Reporting; Harvard Business School Research, Working Paper No. 11-100. 2017. Available online: https://papers.ssrn.com/sol3/papers.cfm?abstract_id=1799589 (accessed on 15 May 2023).
- Friedman, M. A Friedman Doctrine: The Social Responsibility of Business Is to Increase Its Profits. The New York Times Magazine, 13 September 1970; 32–33. [Google Scholar]
- Carroll, A.B. A three-dimensional conceptual model of corporate performance. Acad. Manag. Rev. 1979, 4, 497–505. [Google Scholar] [CrossRef]
- WCED, Special Working Session. World commission on environment and development. Our Common Futur. 1987, 17, 1–91. [Google Scholar]
- Elkington, J. Cannibals with Forks: The Triple Bottom Line of 21st Century Business; John Wiley & Sons: Hoboken, NJ, USA, 1997. [Google Scholar]
- Siew, R.Y. A review of corporate sustainability reporting tools (SRTs). J. Environ. Manag. 2015, 164, 180–195. [Google Scholar] [CrossRef] [PubMed]
- Li, T.T.; Wang, K.; Sueyoshi, T.; Wang, D.D. ESG: Research progress and future prospects. Sustainability 2021, 13, 11663. [Google Scholar] [CrossRef]
- Apostolopoulos, N.; Ratten, V.; Petropoulos, D.; Liargovas, P.; Anastasopoulou, E. Agri-food sector and entrepreneurship during the COVID-19 crisis: A systematic literature review and research agenda. Strateg. Chang. 2021, 30, 159–167. [Google Scholar] [CrossRef]
- Carroll, A.B.; Shabana, K.M. The business case for corporate social responsibility: A review of concepts, research and practice. Int. J. Manag. Rev. 2010, 12, 85–105. [Google Scholar] [CrossRef]
- Deirmentzoglou, G.A.; Agoraki, K.A.; Patsoulis, P. The nexus between cultural values and perceptions of corporate sustainable development. Soc. Responsib. J. 2023, in press. [Google Scholar] [CrossRef]
- Gomes, C.M.; Kneipp, J.M.; Kruglianskas, I.; da Rosa, L.A.B.; Bichueti, R.S. Management for sustainability: An analysis of the key practices according to the business size. Ecol. Indic. 2015, 52, 116–127. [Google Scholar] [CrossRef]
- Kolk, A. A decade of sustainability reporting: Developments and significance. Int. J. Environ. Sustain. Dev. 2004, 3, 51–64. [Google Scholar] [CrossRef]
- Adams, C.A.; Frost, G.R. Integrating sustainability reporting into management practices. Account. Forum 2008, 32, 288–302. [Google Scholar] [CrossRef]
- Dienes, D.; Sassen, R.; Fischer, J. What are the drivers of sustainability reporting? A systematic review. Sustain. Account. Manag. Policy J. 2016, 7, 154–189. [Google Scholar] [CrossRef]
- Perez, F.; Sanchez, L.E. Assessing the evolution of sustainability reporting in the mining sector. Environ. Manag. 2009, 43, 949–961. [Google Scholar] [CrossRef] [PubMed]
- Fonseca, A.; Macdonald, A.; Dandy, E.; Valenti, P. The state of sustainability reporting at Canadian universities. Int. J. Sustain. High. Educ. 2011, 12, 22–40. [Google Scholar] [CrossRef]
- Khan, H.U.Z.; Azizul Islam, M.; Kayeser Fatima, J.; Ahmed, K. Corporate sustainability reporting of major commercial banks in line with GRI: Bangladesh evidence. Soc. Responsib. J. 2011, 7, 347–362. [Google Scholar] [CrossRef]
- Khatri, I.; Kjærland, F. Sustainability reporting practices and environmental performance amongst nordic listed firms. J. Clean. Prod. 2023, 418, 138172. [Google Scholar] [CrossRef]
- Braam, G.J.; De Weerd, L.U.; Hauck, M.; Huijbregts, M.A. Determinants of corporate environmental reporting: The importance of environmental performance and assurance. J. Clean. Prod. 2016, 129, 724–734. [Google Scholar] [CrossRef]
- Manetti, G. The quality of stakeholder engagement in sustainability reporting: Empirical evidence and critical points. Corp. Soc. Responsib. Environ. 2011, 18, 110–122. [Google Scholar] [CrossRef]
- Torelli, R.; Balluchi, F.; Furlotti, K. The materiality assessment and stakeholder engagement: A content analysis of sustainability reports. Corp. Soc. Responsib. Environ. 2020, 27, 470–484. [Google Scholar] [CrossRef]
- Aggarwal, P.; Singh, A.K. CSR and sustainability reporting practices in India: An in-depth content analysis of top-listed companies. Soc. Responsib. J. 2019, 15, 1033–1053. [Google Scholar] [CrossRef]
- The United Nations. 2030 Agenda for Sustainable Development. 2016. Available online: https://sdgs.un.org/2030agenda (accessed on 20 December 2022).
- United Nations. Business and the SDGs. 2021. Available online: https://www.undp.org/sdg-accelerator/business-and-sdgs (accessed on 20 December 2022).
- Mahmood, F.; Qadeer, F.; Saleem, M.; Han, H.; Ariza Montes, A. Corporate social responsibility and firms’ financial performance: A multi-level serial analysis underpinning social identity theory. Econ. Res.–Ekon. Istraživanja 2021, 34, 2447–2468. [Google Scholar] [CrossRef]
- Roscoe, S.; Subramanian, N.; Jabbour, C.J.; Chong, T. Green human resource management and the enablers of green organisational culture: Enhancing a firm’s environmental performance for sustainable development. Bus. Strategy Environ. 2019, 28, 737–749. [Google Scholar] [CrossRef]
- Sadiq, M.; Ngo, T.Q.; Pantamee, A.A.; Khudoykulov, K.; Thi Ngan, T.; Tan, L.P. The role of environmental social and governance in achieving sustainable development goals: Evidence from ASEAN countries. Econ. Res.–Ekon. Istraživanja 2023, 36, 170–190. [Google Scholar] [CrossRef]
- Bruno, M.; Lagasio, V. An Overview of the European Policies on ESG in the Banking Sector. Sustainability 2021, 13, 12641. [Google Scholar] [CrossRef]
- Gambetta, N.; Azcárate-Llanes, F.; Sierra-García, L.; García-Benau, M.A. Financial Institutions’ Risk Profile and Contribution to the Sustainable Development Goals. Sustainability 2021, 13, 7738. [Google Scholar] [CrossRef]
- Szczuka, M. Social dimension of sustainability in CSR standards. Procedia Manuf. 2015, 3, 4800–4807. [Google Scholar] [CrossRef]
- Ferreira, M.C.; de Carvalho, R.; Amorim, S.V.; Kimura, H.; de Moraes Barboza, F.L. A systematic review of literature about finance and sustainability. J. Sustain. Financ. Investig. 2016, 6, 112–147. [Google Scholar]
- Bowen, H.R. Social Responsibility of the Businessman; University of Iowa Press: Iowa City, IA, USA, 1953. [Google Scholar]
- Daugaard, D. Emerging new themes in environmental, social and governance investing: A systematic literature review. Account. Financ. 2020, 60, 1501–1530. [Google Scholar] [CrossRef]
- Caplan, L.; Griswold, J.S.; Jarvis, W.F. From SRI to ESG: The Changing World of Responsible Investing; Commonfund Institute: Wilton, CT, USA, 2013. [Google Scholar]
- Eccles, R.G.; Kastrapeli, M.D.; Potter, S.J. How to integrate ESG into investment decision-making: Results of a global survey of institutional investors. J. Appl. Corp. Financ. 2017, 29, 125–133. [Google Scholar] [CrossRef]
- Widyawati, L. A systematic literature review of socially responsible investment and environmental social governance metrics. Bus. Strategy Environ. 2020, 29, 619–637. [Google Scholar] [CrossRef]
- Dorfleitner, G.; Halbritter, G.; Nguyen, M. Measuring the level and risk of corporate responsibility—An empirical comparison of different ESG rating approaches. J. Asset Manag. 2015, 16, 450–466. [Google Scholar] [CrossRef]
- Semenova, N.; Hassel, L.G. On the validity of environmental performance metrics. J. Bus. Ethics 2015, 135, 249–258. [Google Scholar] [CrossRef]
- Drempetic, S.; Klein, C.; Zwergel, B. The influence of firm size on the ESG score: Corporate sustainability ratings under review. J. Bus. Ethics 2020, 167, 333–360. [Google Scholar] [CrossRef]
- Al-Hiyari, A.; Ismail, A.I.; Kolsi, M.C.; Kehinde, O.H. Environmental, social and governance performance (ESG) and firm investment efficiency in emerging markets: The interaction effect of board cultural diversity. Corp. Gov. Int. J. Bus. Soc. 2023, 23, 650–673. [Google Scholar] [CrossRef]
- Ziolo, M.; Filipiak, B.Z.; Bąk, I.; Cheba, K. How to design more sustainable financial systems: The roles of environmental, social, and governance factors in the decision-making process. Sustainability 2019, 11, 5604. [Google Scholar] [CrossRef]
- Duque-Grisales, E.; Aguilera-Caracuel, J. Environmental, social and governance (ESG) scores and financial performance of multilatinas: Moderating effects of geographic international diversification and financial slack. J. Bus. Ethics 2021, 168, 315–334. [Google Scholar] [CrossRef]
- Fatemi, A.; Fooladi, I.; Tehranian, H. Valuation effects of corporate social responsibility. J. Bank. Financ. 2015, 59, 182–192. [Google Scholar] [CrossRef]
- Huang, D.Z. Environmental, social and governance (ESG) activity and firm performance: A review and consolidation. Account. Financ. 2021, 61, 335–360. [Google Scholar] [CrossRef]
- Davidson, R.H.; Dey, A.; Smith, A.J. CEO materialism and corporate social responsibility. Account. Rev. 2019, 94, 101–126. [Google Scholar] [CrossRef]
- Mackey, A.; Mackey, T.B.; Barney, J.B. Corporate social responsibility and firm performance: Investor preferences and corporate strategies. Acad. Manag. Rev. 2007, 32, 817–835. [Google Scholar] [CrossRef]
- Godfrey, P.C. The relationship between corporate philanthropy and shareholder wealth: A risk management perspective. Acad. Manag. Rev. 2005, 30, 777–798. [Google Scholar] [CrossRef]
- Jayachandran, S.; Kalaignanam, K.; Eilert, M. Product and environmental social performance: Varying effect on firm performance. Strateg. Manag. J. 2013, 34, 1255–1264. [Google Scholar] [CrossRef]
- Wang, H.; Qian, C. Corporate philanthropy and corporate financial performance: The roles of stakeholder response and political access. Acad. Manag. J. 2011, 54, 1159–1181. [Google Scholar] [CrossRef]
- Manchiraju, H.; Rajgopal, S. Does corporate social responsibility (CSR) create shareholder value? Evidence from the Indian Companies Act 2013. J. Account. Res. 2017, 55, 1257–1300. [Google Scholar] [CrossRef]
- Chen, Y.C.; Hung, M.; Wang, Y. The effect of mandatory CSR disclosure on firm profitability and social externalities: Evidence from China. J. Account. Econ. 2018, 65, 169–190. [Google Scholar] [CrossRef]
- Engle, R.; Brogi, M.; Cucari, N.; Lagasio, V. Environmental, Social, Governance: Implications for businesses and effects for stakeholders. Corp. Soc. Responsib. Environ. Manag. 2021, 28, 1423–1425. [Google Scholar] [CrossRef]
- Aspinall, N.G.; Jones, S.R.; McNeill, E.H.; Werner, R.A.; Zalk, T. Sustainability and the financial system. Review of literature 2015. Br. Actuar. J. 2018, 23, E10. [Google Scholar] [CrossRef]
- Kim, J. Social dimension of sustainability: From community to social capital. J. Acad. Mark. Sci. 2018, 28, 175–181. [Google Scholar] [CrossRef]
- Jo, H.; Kim, H.; Park, K. Corporate Environmental Responsibility and Firm Performance in the Financial Services Sector. J. Bus. Ethics 2015, 131, 257–284. [Google Scholar] [CrossRef]
- Fernando, S.; Lawrence, S. A theoretical framework for CSR practices: Integrating legitimacy theory, stakeholder theory and institutional theory. J. Theor. Account. Res. 2014, 10, 149–178. [Google Scholar]
- Calvo, N.; Calvo, F. Corporate social responsibility and multiple agency theory: A case study of internal stakeholder engagement. Corp. Soc. Responsib. Environ. Manag. 2018, 25, 1223–1230. [Google Scholar] [CrossRef]
- Deegan, C. An overview of legitimacy theory as applied within the social and environmental accounting literature. Sustain. Account. Manag. 2014, 2, 248–272. [Google Scholar]
- Brown, J.A.; Forster, W.R. CSR and Stakeholder Theory: A Tale of Adam Smith. J. Bus. Ethics 2013, 112, 301–312. [Google Scholar] [CrossRef]
- Freeman, R.E.; Reed, D.L. Stockholders and stakeholders: A new perspective on corporate governance. Calif. Manag. Rev. 1983, 25, 88–106. [Google Scholar] [CrossRef]
- Vitola, F.; Raimo, N.; Rubino, M.; Garzoni, A. The impact of national culture on integrated reporting quality, A stakeholder theory approach. Bus. Strategy Environ. 2019, 28, 1558–1571. [Google Scholar] [CrossRef]
- Perez-Lopez, D.; Moreno-Romero, A.; Barkemeyer, R. Exploring the relationship between sustainability reporting and sustainability management practices. Bus. Strategy Environ. 2015, 24, 720–734. [Google Scholar] [CrossRef]
- Wang, X.; Cao, F.; Ye, K. Mandatory corporate social responsibility (CSR) reporting and financial reporting quality: Evidence from a quasi-natural experiment. J. Bus. Ethics 2018, 152, 253–274. [Google Scholar] [CrossRef]
- Perez-Lopez, D.; Moreno-Romero, A. Exploring the relationship between sustainability reporting and corporate social responsibility implementation. In Proceedings of the Corporate Responsibility Research Conference, Leeds University, Leeds, UK, 12–14 September 2012. [Google Scholar]
- Vieira, M.T.; Cremonezi, G.O.G.; Rueda Spers, V.E.; Medeiros, A.L.; Morales Rigolid, A.G. Sustainability in the economic environmental and social dimensions and the relationship with social responsibility indicators. Acad. Entrep. J. 2021, 27, 1528–2686. [Google Scholar]
- Wei, L. Examining corporate communications of environmental responsibility on corporate websites: Main themes, linguistic features, and text reuse. J. Promot. Manag. 2020, 26, 1013–1037. [Google Scholar] [CrossRef]
- Fuadah, L.L.; Dewi, K.; Mukhtaruddin, M.; Kalsum, U.; Arisman, A. The relationship between sustainability reporting, e-commerce, firm performance and tax avoidance with organizational culture as moderating variable in small and medium enterprises in Palembang. Sustainability 2022, 14, 3738. [Google Scholar] [CrossRef]
- Prihanti Nugraheni, A.I.; Kuntoro Priyambodo, T.; Adji Kusworo, H.; Sutikno, B. The social dimension of sustainable development: Defining tourism social responsibility. In Proceedings of the 1st International Conference on Engineering, Science, and Commerce, ICESC 2019, Labuan Bajo, Nusa Tenggara Timur, Indonesia, 18–19 October 2019. [Google Scholar]
- Talan, A.; Tyagi, R.D.; Surampalli, R.Y. Social dimensions of sustainability. In Sustainability: Fundamentals and Applications, 1st ed.; Surampalli, R.Y., Zhang, T.C., Goyal, M.K., Brar, S.K., Tyagi, R.D., Eds.; John Wiley & Sons Ltd.: New York, NY, USA, 2020; Chapter 9. [Google Scholar]
- Dumay, J.; Guthrie, J.; Farneti, F. GRI sustainability reporting guidelines for public and third sector organizations: A critical review. Public Manag. Rev. 2010, 12, 531–548. [Google Scholar] [CrossRef]
- Kolk, A. Trends in sustainability reporting by the Fortune Global 250. Bus. Strategy Environ. 2003, 12, 279–291. [Google Scholar] [CrossRef]
- Leszczynska, A. Towards shareholders’ value: An analysis of sustainability reports. Ind. Manag. Data Syst. 2012, 112, 911–928. [Google Scholar] [CrossRef]
- Landrum, N.E.; Ohsowski, B. Identifying worldviews on corporate sustainability: A content analysis of corporate sustainability reports. Bus. Strateg. Environ. 2018, 27, 128–151. [Google Scholar] [CrossRef]
- Sawani, Y.; Mohamed Zain, M.; Darus, F. Preliminary insights on sustainability reporting and assurance practices in Malaysia. Soc. Responsib. J. 2010, 6, 627–645. [Google Scholar] [CrossRef]
- S&P Dow Jones Indices. “S&P 500”. 2023. Available online: https://www.spglobal.com/spdji/en/indices/equity/sp-500/#overview (accessed on 5 May 2023).
- Baral, N.; Pokharel, M.P. How sustainability is reflected in the S&P 500 companies’ strategic documents. Organ. Environ. 2017, 30, 122–141. [Google Scholar]
- Slickcharts.com. “S&P 500 Companies by Weight”. 2023. Available online: https://www.slickcharts.com/sp500 (accessed on 5 February 2023).
- Roberts, M.E.; Stewart, B.M.; Tingley, D. Stm: An R package for structural topic models. J. Stat. Softw. 2019, 91, 1–40. [Google Scholar] [CrossRef]
- Srivastava, A.; Kumar, V. Hotel attributes and overall customer satisfaction: What did COVID-19 change? Tour. Manag. Perspect. 2021, 40, 100867. [Google Scholar] [CrossRef]
- Grimmer, J.; Stewart, B.M. Text as data: The promise and pitfalls of automatic content analysis methods for political texts. Political Anal. 2013, 21, 267–297. [Google Scholar] [CrossRef]
- Lee, S.Y.; Jung, M. Exploring competing perspectives on how to design open innovation program for high school STEM education: A case study. Educ. Sci. 2021, 11, 322. [Google Scholar] [CrossRef]
- Wallach, H.M.; Murray, I.; Salakhutdinov, R.; Mimno, D. Evaluation methods for topic models. In Proceedings of the 26th Annual International Conference on Machine Learning, Montreal, QC, Canada, 14–18 June 2009; pp. 1105–1112. [Google Scholar]
- Pandur, M.B.; Dobša, J.; Kronegger, L. Topic modelling in social sciences: Case study of web of science. In Proceedings of the Central European Conference on Information and Intelligent Systems, Varazdin, Croatia, 7–9 October 2020. [Google Scholar]
- Modak, N.M.; Kazemi, N.; Cárdenas-Barrón, L.E. Investigating structure of a two-echelon closed-loop supply chain using social work donation as a Corporate Social Responsibility practice. Int. J. Prod. Econ. 2019, 207, 19–33. [Google Scholar] [CrossRef]
- Rondeau, D.; List, J.A. Matching and challenge gifts to charity: Evidence from laboratory and natural field experiments. Exp. Econ. 2008, 11, 253–267. [Google Scholar] [CrossRef]
- United Nations. The 17 Goals. 2023. Available online: https://sdgs.un.org/goals (accessed on 18 May 2023).
- Deirmentzoglou, G.A.; Deirmentzoglou, E.A. Pest Analysis of the E-commerce Industry: The Case of Greece. In Business Development and Economic Governance in Southeastern Europe: 13th International Conference on the Economies of the Balkan and Eastern European Countries (EBEEC), Pafos, Cyprus, 14–16 May 2021; Springer International Publishing: Cham, Switzerland, 2021; pp. 315–323. [Google Scholar]
- Vennix, J.; den Brok, P.; Taconis, R. Do outreach activities in secondary STEM education motivate students and improve their attitudes towards STEM? Int. J. Sci. Educ. 2018, 40, 1263–1283. [Google Scholar] [CrossRef]
- European Commission. Europe’s Digital Decade: Digital Targets for 2030. 2023. Available online: https://commission.europa.eu/strategy-and-policy/priorities-2019-2024/europe-fit-digital-age/europes-digital-decade-digital-targets-2030_en (accessed on 11 May 2023).
- Apostolopoulos, N.; Al-Dajani, H.; Holt, D.; Jones, P.; Newbery, R. Entrepreneurship and the sustainable development goals. In Entrepreneurship and the Sustainable Development Goals; Emerald Publishing Limited: Bingley, UK, 2018; pp. 1–7. [Google Scholar]
- Liargovas, P.; Apostolopoulos, N.; Pappas, I.; Kakouris, A. SMEs and green growth: The effectiveness of support mechanisms and initiatives matters. In Green Economy in the Western Balkans: Towards a Sustainable Future; Emerald Publishing Limited: Bingley, UK, 2017; pp. 79–108. [Google Scholar]
- Tsilika, T.; Kakouris, A.; Apostolopoulos, N.; Dermatis, Z. Entrepreneurial bricolage in the aftermath of a shock. Insights from Greek SMEs. J. Small Bus. Entrep. 2020, 32, 635–652. [Google Scholar] [CrossRef]
- Apostolopoulos, N.; Newbery, R.; Gkartzios, M. Social enterprise and community resilience: Examining a Greek response to turbulent times. J. Rural Stud. 2019, 70, 215–224. [Google Scholar] [CrossRef]
Disclaimer/Publisher’s Note: The statements, opinions and data contained in all publications are solely those of the individual author(s) and contributor(s) and not of MDPI and/or the editor(s). MDPI and/or the editor(s) disclaim responsibility for any injury to people or property resulting from any ideas, methods, instructions or products referred to in the content. |
© 2023 by the authors. Licensee MDPI, Basel, Switzerland. This article is an open access article distributed under the terms and conditions of the Creative Commons Attribution (CC BY) license (https://creativecommons.org/licenses/by/4.0/).


