Modeling to Achieve Area Business Continuity Management Implementation via a Fuzzy Cognitive Map
Abstract
:1. Introduction
- To what extent do defined factors influence the Area-BCM implementation in different scenarios?
2. Materials and Methods
2.1. Fuzzy Cognitive Map
2.1.1. State Vector
- is a positive causality when an increase or decrease of increases or decreases the value of , respectively;
- is a negative causality when an increase or decrease of increases or decreases the value of , respectively;
- is no influence between and .
2.1.2. Threshold Functions
2.1.3. Map Aggregation
2.1.4. Structural Analysis
2.2. Development Process
2.3. Data Collection
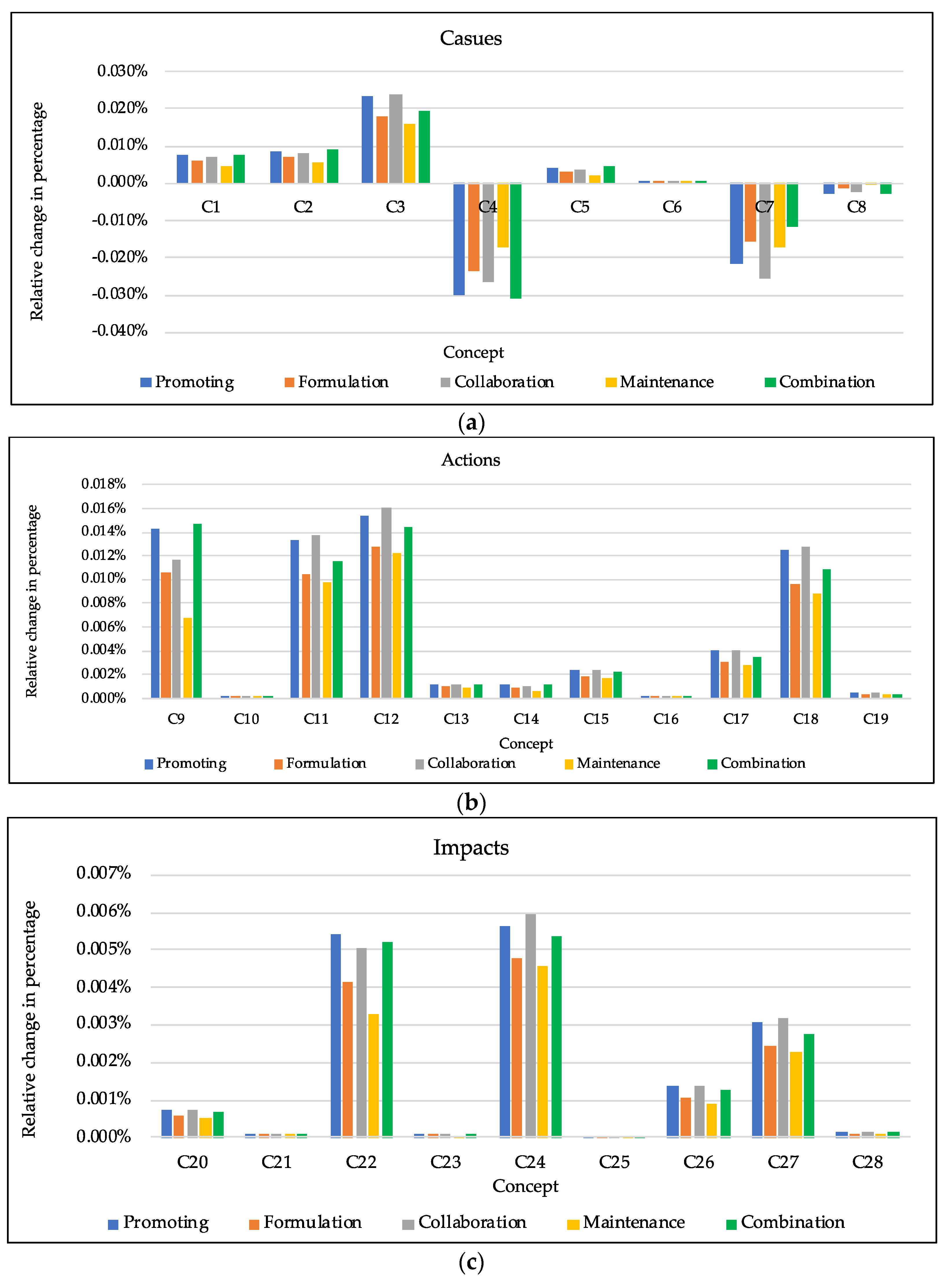
3. Application of FCM to Area-BCM Implementation
3.1. Area Business Continuity Management
3.2. Concepts of Causes-Actions-Impacts
| Concepts | Description | Sources |
|---|---|---|
| Causes | ||
| C1. Government support | Supporting actions and activities to introduce Area-BCM by the government. | [6,7,16,43] |
| C2. External requirement | Expectations to establish Area-BCM from external stakeholders. | [46] |
| C3. Top management commitment | A commitment of an organizational leader to building, allocating, and spending resources for Area-BCM. | [14,16] |
| C4. Natural hazards | Impacts of natural hazards on industry and community. | [8] |
| C5. Availability of common resources | Non-disruptive infrastructure (i.e., electricity, gas, water supply, and transportation roads) during disasters). | [6,7,8] |
| C6. Workload | The excessive tasks in Area-BCM implementation. | [7] |
| C7. Lack of human resources | Insufficient human resources to implement Area-BCM and continue activities. | [5] |
| C8. Change of conditions | Changing of components to develop Area-BCM (i.e., new risks, key business, stakeholders, and responsibility). | [7] |
| Actions | ||
| C9. Promotion of Area-BCM | Introducing an Area-BCM framework and presenting incentives to new users/ industrial complexes/ companies. | [8] |
| C10. Risk assessment | Analysis of potential hazards and risks that can harm people, facilities, and services. | [47,48] |
| C11. Workshop | An activity that gathers stakeholders to do an exercise and prepare for disasters. | [7,46] |
| C12. Identifying stakeholders | Knowing the stakeholders who are related to your business and should participate in the implementation of Area-BCM. | [7,48] |
| C13. Area-BIA | Analysis of the impacts of the disaster on society and business in the entire area. | [44,48] |
| C14. Defining a common goal | The goal of implementing the Area-BCM defined by stakeholders. | [7,14] |
| C15. Determining recovery time | A desirable time to get business operations back from suspension due to disasters. | [7] |
| C16. Defining strategy | Obtaining a strategy to improve the capacity for business continuity and recovery of an area. | [7,9] |
| C17. Defining responsibility | Responsibility of all stakeholders to participate in Area-BCM. | [7,9] |
| C18. Training in organization | A process to train and communicate the Area-BCM with staff in one’s organization. | [7,16] |
| C19. Continuous improvement | An improvement activity of Area-BCM by repeating the cycle to update information. | [7,8,14] |
| Impacts | ||
| C20. Working team | Forming a working team to work on implementation of Area-BCM. | [6,7,14] |
| C21. Collaboration | Actions among stakeholders to solve the problems of the area. | [6,46] |
| C22. Risk perception | Individual judgments and beliefs about the potential risk and the possibility of losses. | [29] |
| C23. Information sharing | Sharing of disaster information to prioritize activities for sustainable development. | [6,46] |
| C24. Communication channel | A channel to communicate Area-BCM with internal and external stakeholders. | [29] |
| C25. Decision-making | Understanding the weaknesses of the business and formulating strategies for the area together with the stakeholders. | [7] |
| C26. Area-BCP | A document of procedures in Area-BCM implementation. | [7,8] |
| C27. Awareness raising | Fostering information and knowledge to improve understanding of hazards’ consequences. | [7,16] |
| C28. Effective Area-BCM | Achieving business continuity and recovery quickly. | [7] |
3.3. Development of Input Concepts for Scenarios
- The baseline scenario comprises all concept values set to zero, but a concept of natural hazards (C4) is activated [20,25]. The situation of existing hazards is represented without taking any action. This scenario is a base for exploring the different concept values between a steady state of the baseline scenario and the other developed scenarios.
- Scenario 1 is defined as an Area-BCM promoting phase. In other words, this is the state before the Area-BCM cycle begins. After two major disasters, namely, the 2011 Great East Japan Earthquake and the 2011 Thailand flood [6], the Area-BCM was established in 2013 and implemented in three pilot areas: the Philippines, Vietnam, and Indonesia [6]. Educating practitioners about the Area-BCM remains a significant challenge. Therefore, to initiate Area-BCM in any region, we need to promote the features and illustrate the concerns of stakeholders about the risks of disaster [8]. Furthermore, the Akemi industrial park indicated the key role of governments and leaders in initiating the park-wide BCP [43]. Since experts have experienced introducing Area-BCM to new users, we asked them about the important concepts in this situation. The concepts mentioned include government support (C1), top management commitment (C3), impacts of natural hazards (C4), promotion (C9), workshop (C11), risk perception (C22), and awareness raising (C27). Those concepts represent the potential incentives to trigger participation in the next step.
- Scenario 2 is a situation in which stakeholders must participate to understand the area and follow the process as an Area-BCM cycle [7]. The primary activity is risk analysis to comprehend potential risks and develop Area-BCP [6,47]. Experts suggested that a workshop would aid practitioners in developing Area-BCM; as a result, the majority of the significant factors were chosen to represent operating actions [7,46]. Government support (C1), external requirement (C2), top management commitment (C3), natural hazards (C4), risk assessment (C10), workshop (C11), Area-BIA (C13), defining common goal (C14), and working team (C20) are the nine input vectors associated with this scenario.
- Scenario 3 is to foster collaboration for Area-BCM since the scale of Area-BCM depends on participants; the more parties, the greater the capacity of the disaster to encounter disasters [7]. Therefore, the activated concepts of this scenario emphasize interactions among stakeholders, including government support (C1), external requirements (C2), top management commitment (C3), natural hazards (C4), workshop (C11), collaboration (C21), information sharing (C23), and communication channel (C24).
- Scenario 4 is the maintenance state. Once the Area-BCM system has been placed, stakeholders must repeat the cycle to update any changes in conditions. In this context, practitioners obtain Area-BCP and implement measures and project improvement for Area-BCM [7,16]. Therefore, experts identified the activated concepts to keep Area-BCM alive, namely top management commitment (C3), natural hazards (C4), change of conditions (C8), workshop (C11), training in organization (C18), continuous improvement (C19), and Area-BCP (C26).
- Scenario 5 is defined as a full execution scenario in which all 28 input vectors are set to one. A rationale for simulating this scenario is to observe the impacts on the Area-BCM system when the required processes have been executed.
4. Results
4.1. Aggregated Fuzzy Cognitive Map
4.1.1. Map Characteristics
4.1.2. FCM Steady State Analysis
4.2. Scenario Analysis
5. Discussion
5.1. FCM Implications
5.2. FCM-Based Strategy Development
6. Conclusions
Author Contributions
Funding
Institutional Review Board Statement
Informed Consent Statement
Data Availability Statement
Acknowledgments
Conflicts of Interest
Appendix A
| C1 | C2 | C3 | C4 | C5 | C6 | C7 | C8 | C9 | C10 | C11 | C12 | C13 | C14 | C15 | C16 | C17 | C18 | C19 | C20 | C21 | C22 | C23 | C24 | C25 | C26 | C27 | C28 | |
|---|---|---|---|---|---|---|---|---|---|---|---|---|---|---|---|---|---|---|---|---|---|---|---|---|---|---|---|---|
| C1 | 0 | 0 | 1 | −0.8 | 0.8 | 0 | 0 | 0 | 0.7 | 0.8 | 0 | 0 | 0 | 0 | 0 | 0 | 0 | 0 | 1 | 0 | 1 | 0 | 0.8 | 0 | 0 | 0 | 0 | 0 |
| C2 | 0 | 0 | 1 | 0 | 0 | 0.6 | 0 | 0 | 0 | 0.8 | 0.8 | 0 | 0 | 0 | 1 | 0.8 | 0 | 0 | 1 | 1 | 0 | 0 | 0 | 0 | 0.6 | 1 | 0 | 0 |
| C3 | 0 | 0 | 0 | 0 | 0 | 0.6 | 0 | 0 | 0 | 0.8 | 1 | 0 | 0 | 0 | 0.7 | 1 | 0.8 | 0.8 | 1 | 1 | 1 | 0 | 1 | 0 | 0.6 | 1 | 0 | 0 |
| C4 | 0 | 0 | 0 | 0 | −0.6 | 0 | 0 | 0.4 | 0 | 0 | 0 | 0 | 0 | 0 | 0 | 0 | 0 | 0 | 0 | 0 | 0 | 0 | 0 | 0 | −0.8 | 0 | 0 | 0 |
| C5 | 0 | 0 | 0 | 0 | 0 | 0 | 0 | 0 | 0 | 0 | 0 | 0 | 0 | 0 | 0 | 0 | 0 | 0 | 0 | 0 | 0 | 0 | 0 | 0 | 0.8 | 0 | 0 | 0 |
| C6 | 0 | 0 | −0.8 | 0 | 0 | 0 | 1 | 0 | 0 | 0 | 0 | 0 | 0 | 0 | 0 | 0 | 0 | 0 | −0.6 | 0 | 0 | 0 | 0 | 0 | 0 | 0 | 0 | 0 |
| C7 | 0 | 0 | −0.8 | 0 | 0 | 0 | 0 | 0 | 0 | 0 | −0.4 | 0 | 0 | 0 | 0 | 0 | 0 | 0 | −1 | 0 | 0 | 0 | 0 | 0 | 0 | 0 | 0 | 0 |
| C8 | 0 | 0 | −0.2 | 0 | 0 | 0 | 0 | 0 | 0 | 0 | 0 | 0 | 0 | 0 | 0 | 0 | 0 | 0 | 0 | 0 | 0 | 0 | 0 | 0 | 0 | −0.6 | 0 | −0.6 |
| C9 | 0 | 0 | 0 | 0 | 0 | 0.6 | 0 | 0 | 0 | 0.8 | 0 | 0 | 0 | 0 | 0 | 0 | 0 | 0 | 0 | 0 | 0 | 0.6 | 0.6 | 0 | 0 | 0 | 0 | 0 |
| C10 | 0 | 0 | 0 | 0 | 0 | 0 | 0 | 0.6 | 0 | 0 | 0 | 0 | 0.6 | 0.8 | 0 | 0 | 0 | 0 | 0 | 0 | 0.6 | 0 | 0 | 0 | 0 | 0 | 0 | 0 |
| C11 | 0 | 0 | 0 | 0 | 0 | 0 | 0 | 0 | 0 | 0.8 | 0 | 0.8 | 0 | 0 | 0.8 | 0 | 0 | 0.9 | 0 | 0.87 | 0.8 | 0.8 | 0.6 | 0.6 | 0 | 0 | 1 | 0.6 |
| C12 | 0 | 0 | 0 | 0 | 0 | 0 | 0 | 0 | 0 | 0 | 0.6 | 0 | 0.6 | 0 | 0 | 0 | 0 | 0 | 0 | 0 | 0 | 0 | 0 | 0.6 | 0 | 0 | 0 | 0 |
| C13 | 0 | 0 | 0 | 0 | 0 | 0.6 | 0 | 0 | 0 | 0 | 0 | 0 | 0 | 0 | 0 | 0.8 | 0.6 | 0 | 0 | 0 | 0 | 0 | 0 | 0 | 1 | 0 | 0 | 0 |
| C14 | 0 | 0 | 0 | 0 | 0 | 0.6 | 0 | 0 | 0 | 0 | 0 | 0 | 0 | 0 | 1 | 0.9 | 0 | 0 | 1 | 1 | 1 | 0 | 0 | 0 | 0.6 | 1 | 0 | 0 |
| C15 | 0 | 0 | 0 | 0 | 0 | 0 | 0 | 0 | 0 | 0 | 0 | 0 | 0 | 0 | 0 | 0.6 | 0 | 0 | 0 | 0 | 0 | 0 | 0 | 0 | 0 | 0 | 0 | 0 |
| C16 | 0 | 0 | 0 | −0.7 | 0 | 0 | 0 | 0 | 0 | 0 | 0 | 0 | 0 | 0 | 0 | 0 | 0.8 | 0 | 0 | 0 | 0.6 | 0 | 1 | 0 | 1 | 0.8 | 0 | 0 |
| C17 | 0 | 0 | 0 | 0 | 0 | 0.6 | 0 | 0.4 | 0 | 0 | 0 | 0 | 0 | 0 | 0 | 0 | 0 | 0 | 0 | 0.6 | 0.6 | 0 | 0 | 0 | 0 | 0 | 0 | 0 |
| C18 | 0 | 0 | 0 | 0 | 0 | 0 | −0.4 | 0 | 0 | 0 | 0 | 0 | 0 | 0 | 0 | 0 | 0 | 0 | 0.6 | 0 | 0 | 0 | 0.6 | 0 | 0 | 0 | 0.8 | 0 |
| C19 | 0 | 0 | 0.4 | 0 | 0 | 0.4 | 0 | −0.7 | 0 | 0 | 0 | 0 | 0 | 0 | 0 | 0.8 | 0 | 0 | 0 | 0 | 0 | 0 | 0 | 0 | 0 | 0 | 0 | 0.8 |
| C20 | 0 | 0 | 0 | 0 | 0 | 0 | 0 | 0 | 0 | 0.8 | 0 | 0 | 0.8 | 0 | 0 | 0 | 0 | 0 | 0 | 0 | 0 | 0 | 0.8 | 0 | 0 | 0 | 0 | 0.8 |
| C21 | 0 | 0 | 0 | 0 | 0 | 0 | −0.6 | 0 | 0 | 0.6 | 0 | 0 | 0 | 0.4 | 0 | 0.8 | 0 | 0 | 1 | 0 | 0 | 0 | 0.6 | 0.6 | 0 | 0.6 | 0 | 0.8 |
| C22 | 0.8 | 0.6 | 0.6 | 0 | 0 | 0 | 0 | 0 | 0 | 0.8 | 0 | 0 | 0 | 0.6 | 0 | 0 | 0 | 0 | 0 | 0 | 0 | 0 | 0.6 | 0 | 0.8 | 0 | 0 | 0 |
| C23 | 0 | 0 | 0 | 0 | 0 | 0 | 0 | 0 | 0 | 0.6 | 0 | 0 | 0.6 | 0 | 0 | 0 | 0 | 0 | 0 | 0 | 0 | 0.6 | 0 | 0 | 0.8 | 0 | 0.8 | 0.8 |
| C24 | 0 | 0 | 0 | 0 | 0 | 0 | 0 | 0 | 0 | 0 | 0 | 0 | 0 | 0 | 0 | 0 | 0 | 0 | 0 | 0.6 | 0.8 | 0 | 0.73 | 0 | 0 | 0 | 0 | 0 |
| C25 | 0 | 0 | 0 | −0.8 | 0 | 0 | 0 | 0 | 0 | 0 | 0 | 0 | 0 | 0 | 0 | 0 | 0 | 0 | 0 | 0 | 0 | 0 | 0 | 0 | 0 | 0 | 0 | 1 |
| C26 | 0 | 0 | 0 | 0 | 0 | 0.6 | 0 | 0 | 0 | 0 | 0 | 0 | 0 | 0 | 0 | 0 | 0 | 0 | 0.6 | 0 | 0 | 0 | 0 | 0 | 0.2 | 0 | 0 | 0 |
| C27 | 0 | 0 | 0 | 0 | 0 | 0 | 0 | 0 | 0 | 0 | 0 | 0 | 0 | 0 | 0 | 0 | 0 | 0 | 1 | 0 | 0.6 | 0 | 0 | 0 | 0.8 | 0 | 0 | 0.6 |
| C28 | 0 | 0 | 0 | −0.8 | 0.8 | 0 | 0 | 0 | 0 | 0 | 0 | 0 | 0 | 0 | 0 | 0 | 0 | 0 | 0 | 0 | 0 | 0 | 0 | 0 | 0 | 0 | 0 | 0 |
References
- Tokunaga, S.; Resosudarmo, B.P. Spatial economic modelling of Megathrust Earthquake in Japan. In New Frontiers in Regional Science: Asian Perspectives; Springer: Singapore, 2017. [Google Scholar]
- World Bank. Infrastructure Rehabilitation. In Learning from Megadisasters: Lessons from the Great East Japan Earthquake; Ranghieri, M., Ishiwatari, F., Eds.; The World Bank: Washington, DC, USA, 2014. [Google Scholar]
- World Bank. Thai Floods 2011: Rapid Assessment for Resilient Recovery and Reconstruction Planning; The World Bank: Bangkok, Thailand, 2012. [Google Scholar]
- Haraguchi, M.; Lall, U. Flood risks and impacts: A case study of Thailand’s floods in 2011 and research questions for supply chain decision making. Int. J. Disaster Risk Reduct. 2015, 14, 256–272. [Google Scholar] [CrossRef]
- Meechang, K.; Watanabe, K.; Ino, E. The Successes and Challenges of Disaster Response: Practices in Thailand Industrial Areas. In Proceedings of the 18th Annual Meeting of the Asia Oceania Geosciences Society (AOGS 2021), Singapore, 1–6 August 2022. [Google Scholar]
- Baba, H.; Watanabe, T.; Nagaishi, M.; Matsumoto, H. Area Business Continuity Management, a New Opportunity for Building Economic Resilience. Procedia Econ. Financ. 2014, 18, 296–303. [Google Scholar] [CrossRef]
- Japan International Cooperation Agency. Planning Guide for Area Business Continuity: Area BCM Toolkits: Main Volume; Japan International Cooperation Agency: OYO International Corp.: Mitsubishi Research Institute, Inc.: CTI Engineering In-ternational Co., Ltd.: Tokyo, Japan, 2015.
- Baba, H.; Adachi, I.; Takabayashi, H.; Nagatomo, N.; Nakasone, S.; Matsumoto, H.; Shimano, T. Introductory study on Disaster Risk Assessment and Area Business Continuity Planning in industry agglomerated areas in the ASEAN. J. Disaster Risk Manag. 2013, 3, 184–195. [Google Scholar] [CrossRef]
- ADPC. Nutural Disaster Risk Assessment and Area Business Continuity Plan Formulation; Asian Disaster Preparedness Center: Bangkok, Thailand, 2017. [Google Scholar]
- Reed, M.S. Stakeholder participation for environmental management: A literature review. Biol. Conserv. 2008, 141, 2417–2431. [Google Scholar] [CrossRef]
- Shokouhyar, S.; Pahlevani, N.; Mir Mohammad Sadeghi, F. Scenario analysis of smart, sustainable supply chain on the basis of a fuzzy cognitive map. Manag. Res. Rev. 2019, 43, 463–496. [Google Scholar] [CrossRef]
- Kumar, N.; Mathiyazhagan, K.; Mathivathanan, D. Modelling the interrelationship between factors for adoption of sustainable lean manufacturing: A business case from the Indian automobile industry. Int. J. Sustain. Eng. 2020, 13, 93–107. [Google Scholar] [CrossRef]
- Rajak, S.; Parthiban, P.; Dhanalakshmi, R. Analysing barriers of sustainable transportation systems in India using Grey-DEMATEL approach: A supply chain perspective. Int. J. Sustain. Eng. 2021, 14, 419–432. [Google Scholar] [CrossRef]
- Sapapthai, S.; Leelawat, N.; Tang, J.; Kodaka, A.; Ino, E. Success Factors of Business Continuity Management Implementation Using Analytic Hierarchy Process—A case study of an automotive part company in Ayutthaya Province, Thailand. In Proceedings of the 2021 3rd International Conference on Management Science and Industrial Engineering, Osaka, Japan, 2–4 April 2021. [Google Scholar]
- Montshiwa, A.L.; Nagahira, A.; Ishida, S. Modifying business continuity plan (BCP) towards an effective auto-mobile business continuity management (BCM): A quantitative approach. J. Disaster Res. 2016, 11, 691–698. [Google Scholar] [CrossRef]
- Meechang, K.; Watanabe, K. Implementing Area Business Continuity Management for Large-Scale Disaster: A Total Interpretive Structural Modeling Approach. J. Disaster Res. 2023, 18, 513–523. [Google Scholar] [CrossRef]
- Barbrook-Johnson, P.; Penn, A.S. Fuzzy Cognitive Mapping. In Systems Mapping: How to Build and Use Causal Models of Systems; Springer: Berlin/Heidelberg, Germany, 2022. [Google Scholar]
- Felix, G.; Nápoles, G.; Falcon, R.; Froelich, W.; Vanhoof, K.; Bello, R. A review on methods and software for fuzzy cognitive maps. Artif. Intell. Rev. 2019, 52, 1707–1737. [Google Scholar] [CrossRef]
- Groumpos, P.P. Modelling business and management systems using fuzzy cognitive maps: A critical overview. IFAC-PapersOnLine 2015, 48, 207–212. [Google Scholar] [CrossRef]
- Papageorgiou, K.; Singh, P.K.; Papageorgiou, E.; Chudasama, H.; Bochtis, D.; Stamoulis, G. Fuzzy cognitive map-based sustainable socio-economic development planning for rural communities. Sustainability 2019, 12, 305. [Google Scholar] [CrossRef]
- Mehryar, S.; Surminski, S. Investigating flood resilience perceptions and supporting collective decision-making through fuzzy cognitive mapping. Sci. Total Environ. 2022, 837, 155854. [Google Scholar] [CrossRef]
- Bevilacqua, M.; Ciarapica, F.E.; Marcucci, G.; Mazzuto, G. Fuzzy cognitive maps approach for analysing the domino effect of factors affecting supply chain resilience: A fashion industry case study. Int. J. Prod. Res. 2020, 58, 6370–6398. [Google Scholar] [CrossRef]
- Büyüközkan, G.; Vardaloğlu, Z. Analyzing of CPFR success factors using fuzzy cognitive maps in retail industry. Expert Syst. Appl. 2012, 39, 10438–10455. [Google Scholar] [CrossRef]
- Kosko, B. Adaptive inference in fuzzy knowledge networks. In Readings in Fuzzy Sets for Intelligent Systems; Morgan Kaufmann: San Francisco, CA, USA, 1993; pp. 888–891. [Google Scholar]
- Singh, P.K.; Chudasama, H. Pathways for climate resilient development: Human well-being within a safe and just space in the 21st century. Glob. Environ. Change 2021, 68, 102277. [Google Scholar] [CrossRef]
- Azadeh, A.; Salehi, V.; Arvan, M.; Dolatkhah, M. Assessment of resilience engineering factors in high-risk environments by fuzzy cognitive maps: A petrochemical plant. Saf. Sci. 2014, 68, 99–107. [Google Scholar] [CrossRef]
- Nápoles, G.; Papageorgiou, E.; Bello, R.; Vanhoof, K. On the convergence of sigmoid fuzzy cognitive maps. Inf. Sci. 2016, 349, 154–171. [Google Scholar] [CrossRef]
- Özesmi, U.; Özesmi, S.L. Ecological models based on people’s knowledge: A multi-step fuzzy cognitive mapping approach. Ecol. Modell. 2004, 176, 43–64. [Google Scholar] [CrossRef]
- Meechang, K.; Leelawat, N.; Tang, J.; Ino, E.; Kodaka, A.; Chintanapakdee, C.; Watanabe, K. Affecting factors on perceived usefulness of area-business continuity management: A perspective from employees in industrial areas in Thailand. In Proceedings of the IOP Conference Series: Earth and Environmental Science, Sendai, Japan, 7–8 November 2019. [Google Scholar]
- Kodaka, A.; Leelawat, N.; Ino, E.; Tang, J.; Park, J.; Kohtake, N. The Impact of Employee Behavior on Business Continuity at an Industrial Complex. In Proceedings of the 2021 IEEE International Symposium on Systems Engineering (ISSE), Veinna, Austria, 13 September–13 October 2021. [Google Scholar]
- Dickerson, J.A.; Kosko, B. Virtual worlds as fuzzy cognitive maps. Presence Teleoperators Virtual Environ. 1994, 3, 173–189. [Google Scholar] [CrossRef]
- Papageorgiou, E.; Stylios, C.; Groumpos, P. Fuzzy cognitive map learning based on nonlinear Hebbian rule. In Proceedings of the AI 2003: Advances in Artificial Intelligence: 16th Australian Conference on AI, Perth, Australia, 3–5 December 2003. [Google Scholar]
- Chen, C.T.; Chiu, Y.T. A study of dynamic fuzzy cognitive map model with group consensus based on linguistic variables. Technol. Forecast. Soc. Change 2021, 171, 120948. [Google Scholar] [CrossRef]
- Nápoles, G.; Espinosa, M.L.; Grau, I.; Vanhoof, K. FCM expert: Software tool for scenario analysis and pattern classification based on fuzzy cognitive maps. Int. J. Artif. Intell. Tools 2018, 27, 1860010. [Google Scholar] [CrossRef]
- Yager, R.R.; Kacprzyk, J. The Ordered Weighted Averaging Operators: Theory and Applications; Springer Science & Business Media: New York, NY, USA, 2012. [Google Scholar]
- Mourhir, A.; Papageorgiou, E.I.; Kokkinos, K.; Rachidi, T. Exploring precision farming scenarios using fuzzy cognitive maps. Sustainability 2017, 9, 1241. [Google Scholar] [CrossRef]
- Carvalho, J.P.; Tomé, J.A.B. Rule Based Fuzzy Cognitive Maps in Socio-Economic Systems. In Proceedings of the IFSA/EUSFLAT Conference, Lisbon, Portugal, 20–24 July 2009; pp. 1821–1826. [Google Scholar]
- Gray, S.R.J.; O’Mahony, C.; O’Dwyer, B.; Gray, S.A.; Gault, J. Caught by the fuzz: Using FCM to prevent coastal adaptation stakeholders from fleeing the scene. Mar. Policy 2019, 109, 103688. [Google Scholar] [CrossRef]
- Wasserman, S.; Faust, K. Social Network Analysis: Methods and Applications; Cambridge University Press: Cambridge, UK, 1994. [Google Scholar]
- Papageorgiou, E.; Kontogianni, A. Using fuzzy cognitive mapping in environmental decision making and management: A methodological primer and an application. In International Perspectives on Global Environmental Change; Stephen, S.Y., Steven, E.S., Eds.; InTech: Rijeka, Croatia, 2021; pp. 427–450. [Google Scholar]
- Stach, W.; Kurgan, L.; Pedrycz, W. A Survey of Fuzzy Cognitive Map Learning Methods. Available online: http://128.172.132.65/papers/chapterSurveyFCM2003.pdf (accessed on 2 April 2023).
- Nápoles, G.; Grau, I.; León, M.; Grau, R. Modelling, aggregation and simulation of a dynamic biological system through Fuzzy Cognitive Maps. In Proceedings of the Advances in Computational Intelligence: 11th Mexican International Conference on Artificial Intelligence, MICAI 2012, San Luis Potosí, Mexico, 27 October–4 November 2012. [Google Scholar]
- World Bank. Resilient Industries in Japan: Lessons Learned in Japan on Enhancing Competitive Industries in the Face of Disasters Caused by Natural Hazards; The World Bank: Washington, DC, USA, 2020. [Google Scholar]
- Kodaka, A.; Leelawat, N.; Watanabe, K.; Park, J.; Tang, J.; Ino, E.; Kohtake, N. Industrial Area Business Continuity Management Exercise: An Experimental Validation for Flood in Thailand. J. Disaster Res. 2022, 17, 853–860. [Google Scholar] [CrossRef]
- Falcone, P.M.; Lopolito, A.; Sica, E. The networking dynamics of the Italian biofuel industry in time of crisis: Finding an effective instrument mix for fostering a sustainable energy transition. Energy Policy 2018, 112, 334–348. [Google Scholar] [CrossRef]
- Japan Cabinet Office, 2019 Survey of BCP Development and Disaster Reduction Measures within Companies. 2021. Available online: https://www.pref.kyoto.jp/kikikanri/documents/bcpjissekityousagaiyou.pdf (accessed on 10 March 2023).
- Kakinuma, D.; Miyamoto, M.; Nakamura, Y.; Sriariyawat, A.; Visessri, S. Development of an Inundation Model for Creating Industrial Park-Scale Risk Information for Area-BCM. J. Disaster Res. 2022, 17, 877–888. [Google Scholar] [CrossRef]
- Kodaka, A.; Ono, T.; Watanabe, K.; Leelawat, N.; Chintanapakdee, C.; Tang, J.; Kohtake, N. A dependent activities elicitation method for designing area business continuity management. In Proceedings of the 2020 IEEE International Symposium on Systems Engineering (ISSE), Vienna, Austria, 12 October–12 November 2020. [Google Scholar]
- Dikopoulou, Z.; Papageorgiou, E.; Jetter, A.; Bochtis, D. Open source tool in R language to estimate the inference of the Fuzzy Cognitive Map in environmental decision making. In Proceedings of the 9th International Congress on Environmental Modelling and Software, Ft. Collins, CO, USA, 24–28 June 2018. [Google Scholar]
- Gray, S.A.; Gray, S.; Cox, L.J.; Henly-Shepard, S. Mental modeler: A fuzzy-logic cognitive mapping modeling tool for adaptive environmental management. In Proceedings of the 2013 46th Hawaii International Conference on System Sciences, Maui, HI, USA, 7–10 January 2013. [Google Scholar]
- Bastian, M.; Heymann, S.; Jacomy, M. Gephi: An open source software for exploring and manipulating networks. In Proceedings of the International AAAI Conference on Web and Social Media, San Jose, CA, USA, 17–20 May 2009. [Google Scholar]
- Landherr, A.; Friedl, B.; Heidemann, J. A critical review of centrality measures in social networks. Bus. Inf. Syst. Eng. 2010, 2, 371–385. [Google Scholar] [CrossRef]
- Falcone, P.M.; De Rosa, S.P. Use of fuzzy cognitive maps to develop policy strategies for the optimization of municipal waste management: A case study of the land of fires (Italy). Land Use Policy 2020, 96, 104680. [Google Scholar] [CrossRef]
- Barbara, M. Determining the Critical Success Factors of an Effective Business Continuity: Disaster Recovery Program in a Post 9/11 World: A Multi-Method Approach. Master’s Thesis, Concordia University, Montreal, QC, Canada, 2006. [Google Scholar]






| Concepts | Out-Degree | In-Degree | Centrality | Base Scenario | Scenario 1 | Scenario 2 | Scenario 3 | Scenario 4 | Scenario 5 | ||||||
|---|---|---|---|---|---|---|---|---|---|---|---|---|---|---|---|
| IV | FV | IV | FV | IV | FV | IV | FV | IV | FV | IV | FV | ||||
| C1 | 6.90 | 0.80 | 7.70 | 0 | 0.8295 | 1 | 0.8295 | 1 | 0.8295 | 1 | 0.8295 | 0 | 0.8295 | 1 | 0.8295 |
| C2 | 8.60 | 0.60 | 9.20 | 0 | 0.7958 | 0 | 0.7958 | 1 | 0.7958 | 1 | 0.7958 | 0 | 0.7958 | 1 | 0.7958 |
| C3 | 11.30 | 4.80 | 16.10 | 0 | 0.8798 | 1 | 0.8800 | 1 | 0.8800 | 1 | 0.8801 | 1 | 0.8800 | 1 | 0.8800 |
| C4 | 1.80 | 3.10 | 4.90 | 1 | 0.0518 | 1 | 0.0518 | 1 | 0.0518 | 1 | 0.0518 | 1 | 0.0518 | 1 | 0.0518 |
| C5 | 0.80 | 2.20 | 3.00 | 0 | 0.9123 | 0 | 0.9124 | 0 | 0.9123 | 0 | 0.9123 | 0 | 0.9123 | 1 | 0.9124 |
| C6 | 2.40 | 4.60 | 7.00 | 0 | 0.9944 | 0 | 0.9945 | 0 | 0.9945 | 0 | 0.9945 | 0 | 0.9945 | 1 | 0.9945 |
| C7 | 2.20 | 2.00 | 4.20 | 0 | 0.6666 | 0 | 0.6665 | 0 | 0.6665 | 0 | 0.6665 | 0 | 0.6665 | 1 | 0.6665 |
| C8 | 1.40 | 2.10 | 3.50 | 0 | 0.7394 | 0 | 0.7394 | 0 | 0.7394 | 0 | 0.7394 | 1 | 0.7394 | 1 | 0.7394 |
| C9 | 2.60 | 0.70 | 3.30 | 0 | 0.7988 | 1 | 0.7989 | 0 | 0.7989 | 0 | 0.7989 | 0 | 0.7989 | 1 | 0.7989 |
| C10 | 2.60 | 6.80 | 9.40 | 0 | 0.9992 | 0 | 0.9992 | 1 | 0.9992 | 0 | 0.9992 | 0 | 0.9992 | 1 | 0.9992 |
| C11 | 8.57 | 2.80 | 11.37 | 0 | 0.9359 | 1 | 0.9361 | 1 | 0.9360 | 1 | 0.9361 | 1 | 0.9360 | 1 | 0.9360 |
| C12 | 1.80 | 0.80 | 2.60 | 0 | 0.8288 | 0 | 0.8289 | 0 | 0.8289 | 0 | 0.8289 | 0 | 0.8288 | 1 | 0.8289 |
| C13 | 3.00 | 2.60 | 5.60 | 0 | 0.9696 | 0 | 0.9696 | 1 | 0.9696 | 0 | 0.9696 | 0 | 0.9696 | 1 | 0.9696 |
| C14 | 7.10 | 1.80 | 8.90 | 0 | 0.9371 | 0 | 0.9371 | 1 | 0.9371 | 0 | 0.9371 | 0 | 0.9371 | 1 | 0.9371 |
| C15 | 0.60 | 3.50 | 4.10 | 0 | 0.9834 | 0 | 0.9834 | 0 | 0.9834 | 0 | 0.9834 | 0 | 0.9834 | 1 | 0.9834 |
| C16 | 4.90 | 5.70 | 10.60 | 0 | 0.9982 | 0 | 0.9982 | 0 | 0.9982 | 0 | 0.9982 | 0 | 0.9982 | 1 | 0.9982 |
| C17 | 2.20 | 2.20 | 4.40 | 0 | 0.9543 | 0 | 0.9543 | 0 | 0.9543 | 0 | 0.9543 | 0 | 0.9543 | 1 | 0.9543 |
| C18 | 2.40 | 1.70 | 4.10 | 0 | 0.9218 | 0 | 0.9219 | 0 | 0.9219 | 0 | 0.9219 | 1 | 0.9219 | 1 | 0.9219 |
| C19 | 3.10 | 8.80 | 11.90 | 0 | 0.9982 | 0 | 0.9982 | 0 | 0.9982 | 0 | 0.9982 | 1 | 0.9982 | 1 | 0.9982 |
| C20 | 3.20 | 5.07 | 8.27 | 0 | 0.9961 | 0 | 0.9961 | 1 | 0.9961 | 0 | 0.9961 | 0 | 0.9961 | 1 | 0.9961 |
| C21 | 6.00 | 7.00 | 13.00 | 0 | 0.9994 | 0 | 0.9994 | 0 | 0.9994 | 1 | 0.9994 | 0 | 0.9994 | 1 | 0.9994 |
| C22 | 4.80 | 2.00 | 6.80 | 0 | 0.9409 | 1 | 0.9410 | 0 | 0.9410 | 0 | 0.9410 | 0 | 0.9410 | 1 | 0.9410 |
| C23 | 4.20 | 7.33 | 11.53 | 0 | 0.9996 | 0 | 0.9996 | 0 | 0.9996 | 1 | 0.9996 | 0 | 0.9996 | 1 | 0.9996 |
| C24 | 2.13 | 1.80 | 3.93 | 0 | 0.9301 | 0 | 0.9301 | 0 | 0.9301 | 1 | 0.9301 | 0 | 0.9301 | 1 | 0.9301 |
| C25 | 1.80 | 8.00 | 9.80 | 0 | 0.9996 | 0 | 0.9996 | 0 | 0.9996 | 0 | 0.9996 | 0 | 0.9996 | 1 | 0.9996 |
| C26 | 1.40 | 5.00 | 6.40 | 0 | 0.9896 | 0 | 0.9896 | 0 | 0.9896 | 0 | 0.9896 | 1 | 0.9896 | 1 | 0.9896 |
| C27 | 3.00 | 2.60 | 5.60 | 0 | 0.9690 | 1 | 0.9690 | 0 | 0.9690 | 0 | 0.9690 | 0 | 0.9690 | 1 | 0.9690 |
| C28 | 1.60 | 6.00 | 7.60 | 0 | 0.9972 | 0 | 0.9972 | 0 | 0.9972 | 0 | 0.9972 | 0 | 0.9972 | 1 | 0.9972 |
Disclaimer/Publisher’s Note: The statements, opinions and data contained in all publications are solely those of the individual author(s) and contributor(s) and not of MDPI and/or the editor(s). MDPI and/or the editor(s) disclaim responsibility for any injury to people or property resulting from any ideas, methods, instructions or products referred to in the content. |
© 2023 by the authors. Licensee MDPI, Basel, Switzerland. This article is an open access article distributed under the terms and conditions of the Creative Commons Attribution (CC BY) license (https://creativecommons.org/licenses/by/4.0/).
Share and Cite
Meechang, K.; Watanabe, K. Modeling to Achieve Area Business Continuity Management Implementation via a Fuzzy Cognitive Map. Sustainability 2023, 15, 13531. https://doi.org/10.3390/su151813531
Meechang K, Watanabe K. Modeling to Achieve Area Business Continuity Management Implementation via a Fuzzy Cognitive Map. Sustainability. 2023; 15(18):13531. https://doi.org/10.3390/su151813531
Chicago/Turabian StyleMeechang, Kunruthai, and Kenji Watanabe. 2023. "Modeling to Achieve Area Business Continuity Management Implementation via a Fuzzy Cognitive Map" Sustainability 15, no. 18: 13531. https://doi.org/10.3390/su151813531
APA StyleMeechang, K., & Watanabe, K. (2023). Modeling to Achieve Area Business Continuity Management Implementation via a Fuzzy Cognitive Map. Sustainability, 15(18), 13531. https://doi.org/10.3390/su151813531

