Abstract
Given the freezing temperatures and extended winters, heating is essential for residents living in Northeast China. When selecting the optimum heating mode for the region, various factors are taken into consideration, such as the impact on the environment, financial cost and energy consumption. However, it is uncertain which heating mode can fulfill all conditions and requirements. In this study, seven heating modes were selected from the national and northeastern heating strategies. A comprehensive index system based on the life cycle theory was developed from the perspectives of energy, the environment, the economy, technology and society. Additionally, a comprehensive evaluation of the seven heating modes was performed using the analytical hierarchy process (AHP) and gray relation analysis. The results of this research showed that, from a complete standpoint, the ground-source heat pump heating mode (HMg) had the best comprehensive benefit, with a correlation of 0.8173, followed by the coal-fired cogeneration heating mode (HMcc), which had the highest correlation degree among the centralized heating modes at 0.6111. Based on the findings of our thorough examination, a recommended scheme made up of HMg, HMcc, the electro-thermal membrane heating mode (HMef), the natural gas boiler room regional central heating mode (HMgrc) and the natural gas boiler room decentralized heating mode (HMgrd) was established. The recommended scheme can provide a theoretical basis for the implementation of clean heating policies in Northeast China.
1. Introduction
The demand for energy in China has significantly increased with the rapid development of the economy. In 2020, China’s total energy consumption was 49.8 × 108 tce, an increase of 29% compared to 2011 [1]. Specifically, the energy consumption in building operation accounts for up 21.3% of total consumption, with 10.6 × 108 tce [2]. According to the Energy Consumption Standard for Civil Buildings (GB/T51161-2016), building operation energy consumption refers to the energy input from outside during the use of a building, including the energy used to maintain the building environment (such as heating, cooling, ventilation, air conditioning and lighting) and the energy used for various building activities (such as offices, home appliances, lifts, domestic hot water, etc.), with heating having the highest energy consumption, especially for Northeast China [3]. Northeast China straddles the mid-temperate and cold temperate zones from south to north and has a temperate monsoon climate. Therefore, it has a lower winter temperature and longer heating cycle for the extended winter season. In Northeast China, heating is important, and heating energy is mainly derived from coal [4], which makes the air quality worse during the heating season and affects people’s physical and mental health. In addition, the urbanization rate in Northeast China has been increasing at an annual rate of 1.2% since 2010 [5,6,7], which makes the heating energy consumption and pollution problems of new residences more serious. Thus, it is necessary to find a more environmentally friendly and energy-efficient heating mode that is suitable for the residents of the Northeast.
With the improvement in economic standards, people are seeking a high quality of life. As a result, the demand for heating modes is not only limited to the economy, energy and the environment, but also requires heating equipment that is aesthetically beautiful and safe. Recently, comparative studies of heating modes have been conducted from the perspective of energy [8], the economy [9], technology [10] and the environment [11]. However, some scholars have analyzed different heating modes from a single perspective. For example, Xie et al. [12] concluded that the economic cost of electric heating is higher than that of coal-fired boiler heating. Additionally, there are also scholars who have analyzed heating modes from multiple perspectives. Kroetz et al. [8] analyzed the heating modes in Northern England from economic and energy perspectives, and concluded that the region was suitable for heating modes using wood energy as the heat source. Xu et al. [13] constructed a comprehensive evaluation index system for clean heating energy solutions in rural northern China from energy, economic and social perspectives. Cui et al. [14] concluded that gas heating had fewer pollutant emissions than coal heating, but challenges existed, including less gas storage and weak peaking capacity [15]. However, most research aims to compare one or two aspects, including the economy, energy consumption and environmental benefit, and do not consider the whole life cycle process of the heating system.
Once the evaluation perspectives and evaluation indexes have been determined based on the whole life cycle process, a comprehensive analysis of the heating modes is required. This means that the results of the evaluation from the different perspectives mentioned above are used to obtain a combined value by applying some kind of calculation method. A variety of methods have been selected to evaluate heating modes, including the analytical hierarchy process, grey relational analysis and fuzzy comprehensive evaluation analysis. The analytic hierarchy process method is a systematic analysis method proposed by the American operations researcher Saaty [16]. According to the nature of the problem and the overall goal to be achieved, this method decomposes the problem into different constituent factors, and aggregates and combines the factors at different levels according to the interrelated influence and affiliation relationships between the factors to form a multi-level analytical structure model. The advantages are the possibility of combining qualitative analysis and quantitative calculations [17,18], as well as the flexibility to integrate various assessment factors [19]. At present, this method is mainly used to construct hierarchical models and determine weights, and in combination with other evaluation methods [20]. Based on the similarity of the set shapes of the reference data column and several comparison data columns, the gray relational analysis method determines the closeness of the connection, so as to determine the correlation degree. When combined with the analytical hierarchy process method, the strength and magnitude of the relationships between factors can be described using the grey correlation degree [21]. This method does not have excessive requirements for the size of the sample, and the calculation amount is relatively small. In contrast, when the number of indicators is large, the use of the fuzzy comprehensive evaluation method [22] will lead to small weight coefficients and ultra-ambiguity, resulting in evaluation failure. Therefore, the analytic hierarchy method and grey correlation analysis were selected in this paper to determine the index evaluation model and comprehensively evaluate different heating modes.
Under the incentive of national policies, China’s heating industry has formed a market pattern dominated by coal-fired heating, gas-fired heating and electric heating. Among them, scientifically and reasonably choosing a heating mode that is more suitable for China’s energy structure, ecological environment, economic level, technical level and social status has become a major problem. It is more difficult to build a suitable heating system according to different geographical areas in China. So, in order to analyze the heating system of Northeast China, evaluation indexes based on the whole life cycle theory were created from energy, environmental, economic, technical, and social perspectives. Then, a comprehensive evaluation model that applied the hierarchical structure of the AHP method was constructed to derive the weights of different indexes. Additionally, the gray relational analysis method was used to calculate the correlation coefficients under different perspectives to evaluate heating modes. After performing the comparison, heating modes with the highest comprehensive efficiency were selected as the recommended solution in our study. Accordingly, the recommended scheme was simulated with other heating scenarios in terms of pollutant emissions, aiming to provide viable solutions for implementing clean heating in Northeast China. Further, this will contribute to improving the energy structure of the heating industry and to the achievement of carbon neutrality.
2. Materials and Methods
2.1. Research Subject
The study area of this paper includes three provinces in Northeast China, Heilongjiang, Jilin and Liaoning, as shown in Figure 1. The common heating modes in Northeast China are shown in Table 1.
Figure 1.
Research scope of Northeast China (Map source: BIGEMAP).
Table 1.
Policies of different heating modes.
According to the policy requirements, the small coal-fired boiler room heating, coal-fired decentralized heating, bulk coal heating and gas cogeneration heating modes were excluded. In the electric heating modes, compared with the direct electric heating mode, an electric boiler with heat reservoir heating has the benefit of low-cost electricity at night for heat storage, thus extending the heating time and helping to mitigate power supply constraints. Compared to the heating cable heating mode, the electro-thermal membrane heating mode is easy to install, simple to maintain, and simple and safe to use without dangerous hazards [23]. Heat pumps for heating are divided into air-source heat pumps and ground-source heat pumps. Since the air temperature is too low in the northeast of China, relying only on the heat provided by air-source heat pumps cannot guarantee the heating of residential buildings, and the power consumption of ground-source heat pump systems is less than that of air-source heat pumps, so air-source heat pump heating was not considered [24].
To sum up, the final selected heating modes and their representation symbols are shown in Table 2. Among them, the centralized heating modes include HMcc, HMcr, HMgrc and HMre, and the others are decentralized heating modes.
Table 2.
Commonly used heating modes in Northeast China.
2.2. Evaluation Index System
According to the whole life cycle theory [25], residential building heating systems can be divided into three main stages (planning and design, operation and maintenance and scrap recycling), as shown in Figure 2. In the planning and design phase, the scope of heating needs to be determined, the heating area and heat load calculated, and based on this the infrastructure costs, piping costs and purchased energy costs calculated. In the operation maintenance phase, the issues involved include the maintenance costs of the equipment, the heating costs for the residents, the suitability of the room temperature, the availability of a stable supply of energy, the emission of pollutants from coal- and gas-fired heating and the safety of the heating system. The heating medium absorbs heat at the heat source and is transported through the pipe network to the heat consumer’s end, where issues such as whether there are heat losses and whether they can be reduced need to be considered. In the scrap recycling phase, the focus needs to be on the operating costs of the system, the costs of dismantling the site at end-of-life, etc.
Figure 2.
The life cycle model of the heating system.
The above three phases include energy, environmental, economic, technological and social aspects, from which 15 evaluation indexes were selected. The index layers were clustered and combined in layers according to the mutual influence and affiliation between evaluation angles and evaluation indexes to form a stepped and ordered hierarchical structure model, as shown in Figure 3. Among them, the target layer A includes a comprehensive evaluation of different heating modes in residential buildings. The rule layer B includes the above five perspectives. There are 15 indexes in index C. More detailed explanations of the evaluation indexes are shown in Table 3.
Figure 3.
Evaluation indexes of heating modes in Northeast China.
Table 3.
Interpretation of evaluation indexes.
2.3. Calculation Method of Evaluation Indexes
2.3.1. Qualitative Index
C1, C2, C3, C8, C12, C13, C14 and C15 are all qualitative indexes. The procedure of determining the value of the qualitative index is as follows: The first is advantage rating. According to the content of each index, the advantages of energy and heating modes are ranked, and then, the value interval is divided. According to the rating series in step one, 0~100 is divided into the corresponding value range of the series. Finally, the value is determined from the divided value interval.
2.3.2. Quantitative Index
- (1)
- Pollutant emissions per heating area (C4~C7) [26]
In the above equation, Ei,n is the emission of pollutant i from the n energy source per heating area, g/m2; mn is the n energy consumption per heating area, as shown in Equation (6); EFi,n is the emission factor of pollutant i from the n energy source, where the units of emission factors for coal, natural gas and electricity are g/kg, g/m3 and g/kW·h, respectively; and pollutant type i includes soot, SO2, NOx and CO2.
- (2)
- Infrastructure investment per unit area (C9)
The infrastructure investment includes the investment costs of heating equipment, heating pipe network and heating equipment. Due to the different service lives of heating equipment, this paper used the annual cost (AC) method to calculate infrastructure investment, as shown in Equation (2) [27]:
where kj is the capital construction investment of the heating system j, CNY; i is the base discount rate, taking 8% within the department [28]; and n is the usage life. Based on a survey of online equipment data from heating companies, the service life of a boiler is 15 years, that of a ground-source heat pump is 25 years, that of primary and secondary pipe networks is 15 years, that of household equipment is 50 years, and that of electric heating is 30 years.
- (3)
- Operating expenses per unit area (C10)
The cost mainly comprises fuel cost, maintenance cost and depreciation cost, and the rest of the cost is difficult to calculate accurately, so it is not considered. Fuel cost, maintenance cost and depreciation cost are shown in Equations (3)~(5) [29], respectively:
where C is the fuel cost per unit area, CNY/m2; mn is the energy consumption per unit area, and its units are kg/(m2·a) (coal), m3/(m2·a) (natural gas) and kW·h/(m2·a) (electricity); and c is the unit price of fuel, and its units are CNY/kg (coal), CNY/m3 (natural gas) and CNY/kW·h (electricity), respectively.
In Equation (4), ηwx is the maintenance rate of the heating system. With a boiler room heating system taking a value of 2~3%, this paper takes an average 2.5% [27]; the other heating systems take a value of 0.5~0.8%, and this paper takes a value of 0.75% [30]; n is the coefficient, taking a value of 95% [30]; T is the infrastructure investment of each heating system, CNY/m2; az is the basic depreciation rate, taking a value of 6.3% for heat and pipe networks and 1.9% for household equipment [30,31]; and Gy is the original value of fixed assets, CNY/m2.
- (4)
- Energy consumption per unit heating area (C11) [32]
In the above equation, m is the energy consumption per unit heating area (kg/(m2∙a) (coal), m3/(m2·a) (natural gas), kW·h/(m2·a) (electricity)); t is the annual heating time in Northeast China, 160 days; q is the comprehensive heating index, W/m2; IPER is the primary energy ratio; Qdw is the low heat of standard coal; ms is the energy consumption per unit heating quantity, kg/GJ.
2.3.3. Data Sources
By searching the Statistical Yearbooks of Heilongjiang, Jilin and Liaoning Provinces and the related literature, the following data were identified:
- ①
- Heating days in Northeast China: Heating in Northeast China lasts 160 days, from November to April.
- ②
- The comprehensive index in Northeast China is set at 57 W/m2, according to the design specification of urban thermal pipe network (2002) [33].
- ③
- The energy price in 2022 and a low calorific value are shown in Table 4. The coal price came from survey data.
Table 4. Energy price and low calorific value. - ④
- Some heating modes pose a great threat to the environment, mainly from the combustion of fuel in the heating process. The emission of pollutants is divided into two forms: the first is that pollutants from fuel combustion are directly emitted into the air; the second is that the electricity required for electric heating mainly comes from fossil fuel combustion, which leads to indirect emissions of pollutants in the process of electricity generation. Four pollutants, soot, SO2, NOx and CO2, were selected for this paper. Their emission factors are shown in Table 5.
Table 5. Pollutant emission factors of different heating modes [32,40]. - ⑤
- Based on the equipment costs [27] collected for the seven heating modes, the infrastructure investment cost is calculated using Equation (2), as shown in Table 6. HMg has the highest infrastructure investment cost of 215 CNY/m2, which is 2.1 times that of HMgrd with the lowest investment cost.
Table 6. Infrastructure investment per unit area of different heating modes (CNY/m2). - ⑥
- The primary energy utilization rate is shown in Table 7.
Table 7. The primary energy utilization rate of each heating mode [41].
2.4. Weights of Different Evaluation Indicators
In this paper, the AHP method was chosen to calculate the weights of different evaluation indicators, i.e., the degree of influence of each level of factors on the previous level [16,42]. The specific calculation process is as follows:
Firstly, the degree to which elements contained in the same level affect the indicators of the previous level is compared, and a comparison matrix according to the degree of impact is constructed, as shown in Equation (8):
where aij > 0, aji = 1/aij (i ≠ j), aii = 1, i, j = 1, 2, 3, 4 … n. aij is derived from the judgment matrix scale (Table S1); the specific data are shown in Tables S2–S8.
Secondly, arithmetic averaging is used to calculate the weights.
where λmax is the largest feature root, ; RI is the random consistency index, as shown in Table S9; and CR is the test coefficient. When CR < 0.10, the weight value of the indicator is reasonable; otherwise, it needs to be recalculated until CR < 0.10.
When CRA ≤ 0.10, the synthetic weights of each indicator for the total target are calculated.
2.5. Correlation Degree of Different Heating Modes
Based on the weights of different indicators, the proximity of different solutions to the ideal solution is calculated using grey correlation analysis, i.e., the grey correlation degree [43]. These data are used as a basis for evaluating different heating modes, and the calculation process [29] is as follows:
where is the absolute difference between the value and the value ; is the minimum value of the difference, and is the maximum value of the difference; and is the resolution coefficient, whereby the smaller its value, the greater the resolution ability, and this paper takes a value of 0.5.
Combining the weights pi of each indicator with the correlation coefficient matrix R, the correlation degree can be calculated as follows:
3. Results and Discussion
3.1. Analysis of Evaluation Index Weights
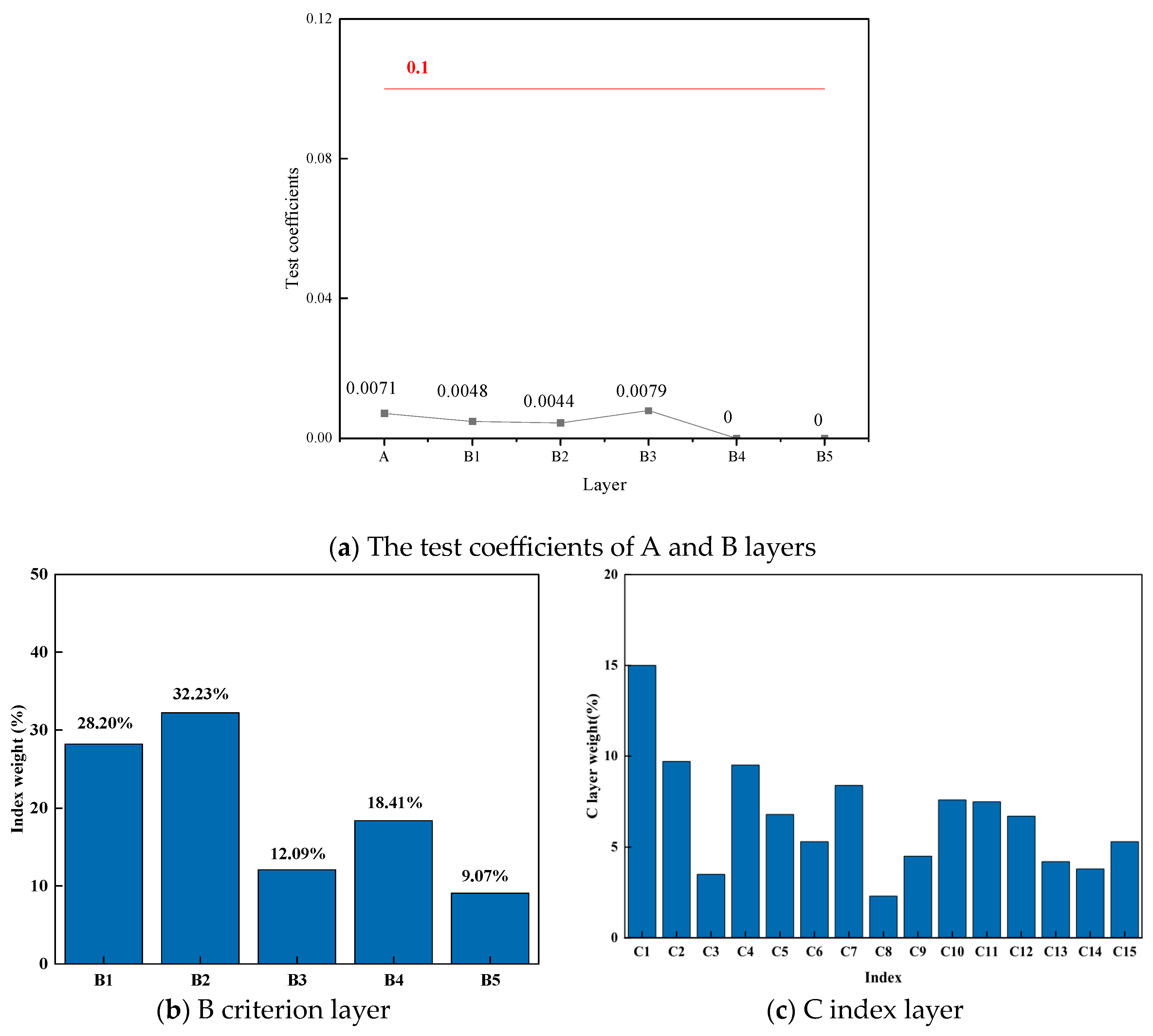
The test coefficients and weights are shown in Figure 4.
Figure 4.
The test coefficients and index weights.
In Figure 4a, the test coefficients of both the A and B layers are less than 0.1, indicating that the hierarchical structure constructed in this paper meets the requirements.
In Figure 4b, the relative importance of each subsystem in the criterion layer B is ranked as B2 > B1 > B4 > B3 > B5. This indicates that environmental and energy issues in the Northeast are important influencing factors.
In Figure 4c, the top rank indexes are C1 and C2 with weighting of 15.0% and 9.7%, respectively. This highlights that energy reserves and energy accessibility are crucial considerations to prioritize when dealing with heating solutions in Northeast China. And the heat sources should be selected according to local conditions. In addition, soot emissions are weighted at 9.5% and ranked third in the total indexes. Coal combustion leads to more severe haze in the northeast, and the government of Liaoning Province has set a target of reducing the province’s PM2.5 concentration to 42 μg/m3 by 2020 [44].
3.2. Analysis of Evaluation Indexes
3.2.1. Energy Indexes
The heat sources include coal, natural gas and electricity in several heating modes. The indexes of heating modes with the same heat source take the same value, as shown in Figure 5. For index C1, the policy of the Three-Year Rolling Plan for Clean Heating requires acceleration of the development of natural gas heating modes, making HMgrc and HMgrd take the largest value. On the contrary, for indexes C2 and C3, HMgrc and HMgrd take the lowest values. This is because natural gas needs to be imported to meet the demand in Northeast China, and the access method is harder than coal-fired heating and electric heating. In addition, the natural gas heating modes often have poor emergency reserve capacity due to low gas storage.
Figure 5.
Energy index values and correlation coefficient of different heating modes.
Based on the index values and weights, the correlation coefficient from the energy perspective is calculated. The correlation coefficients of the different heating modes are ranked as HMgrc = HMgrd > HMcc > HMcr > HMre = HMef = HMg. Natural gas heating modes have the highest correlation of 0.6880, which is strongly promoted by the state. This is followed by coal-fired heating with a correlation of 0.6453, and finally, electric heating with a correlation of 0.5573, which is 81% of the value of natural gas heating. The energy correlation coefficient of electric heating modes can be increased by increasing the proportion of electricity generated from renewable sources.
3.2.2. Environment Indexes
The values and environmental correlation coefficients of the different evaluation indicators are shown in Figure 6.
Figure 6.
Environmental index values and correlation coefficient of different heating modes.
For index C4, it ranks first among the environmental indicators, with weights 1.40, 1.79 and 1.13 times those of C5, C6 and C7, respectively. Among the different heating modes, the highest emission of soot is from HMre with 9.87 g/m2, while HMg has the lowest emission with 1.88 g/m2. In terms of different heat sources, electric heating modes emit more soot than gas heating modes, which is mainly due to the fact that the northeast region is dominated by thermal power generation, which accounts for 79.16%. The coal-fired heating modes emit less soot than the gas-fired heating modes, which is mainly related to the implementation of the ultra-low emission policy for coal-fired and gas-fired boilers in the Northeast. Coal-fired boilers are required to emit a soot concentration of 10 mg/m3, which is 50% that of gas-fired boilers. For indexes C5 and C7, emissions from electric heating modes are the highest, with a similar trend to C4. For indicator C6, natural gas heating modes have the highest NOx emissions, with HMgrc and HMgrd being 71.72 g/m2 and 64.67 g/m2, respectively. To reduce the NOx emission level, the government needs to step up its efforts in controlling the emissions from newly built gas boilers.
For index C8, only the heating modes with coal as the heat source and a ground-source heat pump heating mode produce unique pollution. During the heating season, heating systems with coal-fired heat sources emit large amounts of PM2.5, which seriously affects people’s physical and mental health. The unique pollution of the ground-source heat pump heating mode mainly arises from the impact of buried pipes on groundwater. Therefore, among the seven heating modes, the severity of the unique pollution situation is as follows: coal-fired >> ground-source heat pump > electricity = natural gas.
For the environmental correlation coefficient, the ranking of the different heating modes is HMg >> HMgrd > HMcc > HMgrc> HMef > HMre> HMcr. HMg is the most environmentally friendly with a correlation of 0.8310, while the correlations of the other heating modes are similar. For centralized heating, HMcc has the highest correlation of 0.4260, while HMg is the most environmentally friendly among the decentralized heating modes.
3.2.3. Economy Indexes
The values and economy correlation coefficient of the different evaluation indicators are shown in Figure 7.
Figure 7.
Economic index values and correlation coefficient of different heating modes.
In Figure 7, the infrastructure cost of HMgrc reaches the highest value, at 22.31 CNY/m2, which is 2.3 times higher than that of HMgrd, mainly because the former requires a higher cost for the pipe network. In terms of operating costs, the annual operating cost per unit heating area of HMcc is the lowest, at 32.81 CNY/m2, which is related to the lower price of coal and higher utilization of primary energy. HMre has the highest operating cost per unit area due to high fuel cost, at 11 times higher than that of HMcc. With flexible opening and closing methods, the annual operating cost per unit heating area of the natural gas decentralized heating mode is less than that of HMgrc, which is the same as the status quo of the high price and high burden of residents for gas and electric heating. Especially for electric heating, the feasibility of this method is really too low without reducing the economic burden of residents.
For the economy correlation coefficient, the correlation degree is ranked as HMcc > HMgrd > HMef > HMg > HMcr > HMgrc > HMre. Due to the absence of heat loss from the pipe network, decentralized heating has advantages over centralized heating, among which the advantage of HMgrd is the most obvious, with a correlation of 0.5833, second only to HMcc.
3.2.4. Technology Index
The values and technology correlation coefficient of the different evaluation indexes are shown in Figure 8.
Figure 8.
Technical index values and correlation coefficient of different heating modes.
In Figure 8, for index C11, HMgrd is the lowest, at 9.58 m3/GJ. For index C12, the safety of electric heating is better than that of natural gas and coal-fired heating, which is because coal-fired heating modes have the risk of gas poisoning, while natural gas decentralized heating modes have the problems of natural gas leakage. Collectively, the heating methods under this index are ranked as HMg > HMef > HMre > HMcc > HMcr > HMgrd > HMgrc. For index C13, the larger the heating area, the more difficult it is to regulate the convenience, so the indexes of centralized heating modes take lower values than decentralized heating modes, where HMcc is the lowest at 8.35.
For the technology correlation coefficient, it was found that the ground-source heat pump heating mode is the most compliant, with a correlation of 0.9359, followed by HMre, which is 2.2 and 1.6 times higher than HMcr, respectively. This proves that decentralized heating meets the requirements better than centralized heating under the technical index requirements.
3.2.5. Society Index
The values and society correlation coefficient of the different evaluation indexes are shown in Figure 9.
Figure 9.
Social index values and correlation coefficient of different heating modes.
In Figure 9, for social index C14, the ranking of heating modes is HMcc > HMre = HMgrc > HMef = HMg > HMgrd > HMcr, due to the strong support for “coal to gas” and “coal to electricity” in China, which gives priority to centralized heating modes and supports the construction of cogeneration in Northeast China. For index C15, the satisfaction degree of residents is determined by three conditions: the level of fees, the degree of controllability and whether it affects the aesthetics of the city. Among them, the tariff and the degree of adjustable convenience have been analyzed in the economic and technical indexes, and thus, the degree of aesthetic impact is analyzed here. The ranking of different heating modes in terms of aesthetics is: HMg > HMef > HMre > HMgrd > HMcc > HMcr > HMgrc.
For the society correlation coefficient, after considering the national policy direction and residents’ satisfaction, the three heating modes that best meet the demand are ground-source heat pump heating (0.7623), the coal-fired cogeneration heating mode (0.7087) and the electro-thermal membrane heating mode (0.6545). Therefore, coal-fired cogeneration is best for the centralized heating modes, and the decentralized heating modes suits the electro-thermal membrane heating mode or the ground-source heat pump heating mode well according to their own conditions.
3.3. Comprehensive Evaluation
Based on the above index data and index weights, the comprehensive benefits of heating modes are calculated according to the gray correlation method, as shown in Figure 10.
Figure 10.
Comprehensive evaluation of different heating modes.
In Figure 10, the overall benefits of the centralized heating modes are ranked as HMcc > HMgrc > HMcr > HMre. And the overall benefits of the decentralized heating modes are ranked as HMg > HMgrd > HMef. It can be seen that the correlation coefficient of the ground-source heat pump heating mode is the highest at 0.8173, which is 1.3 times that of HMcc. This is mainly because the fuel price and infrastructure cost of HMcc are lower than that of HMg. On the contrary, from the residents’ point of view, with government subsidies, residents only need to pay for electricity for heating. In this case, the relevance of HMg is much higher than that of HMcc. By the same token, this is another reason for the lower overall benefits of the electric heating modes in this paper. According to the assessment of Hubei DiDa heat energy technology Co., Ltd. (Wuhan, China) [45], ground-source heat pumps are the best solution for winter heating in the northeast. This is because the outdoor temperature in winter can be as low as −20 °C, but the temperature of groundwater at a depth of 80 to 160 m is maintained at a stable temperature of around 12 °C to 14 °C all year round. In winter, the ground-source heat pump unit absorbs heat from the groundwater through a compressor and heat exchanger, and the temperature of the water can reach up to 90 °C when heating. In addition, the largest demonstration base of ground-source heat pumps for clean energy supply in Northeast China will be constructed in 2023 [46].
In addition, natural gas heating modes are more suitable for Northeast China than electric heating modes. The comprehensive benefits of HMgrc and HMgrd are 0.5493 and 0.5675, respectively, which are 1.2 and 1.3 times higher than those of HMre. According to the China Bulk Coal Comprehensive Management Research Report 2021, it is required to take into account the economic effect of reducing pollution and carbon, and to give priority to industrial waste heat, cogeneration and geothermal heat in urban centralized heating areas. In urban villages with the necessary foundation and conditions, direct heaters and storage heaters are promoted cautiously, and “coal to gas” is consolidated and steadily promoted. This is the same as the result of our comprehensive evaluation.
Compared with the evaluation of heating modes in other regions, the comprehensive evaluation results are different due to the different heating modes, evaluation perspectives, research methods and other factors. For example, according to the heating situation in Xi’an, Meng [27] compared the comprehensive benefits of cogeneration heating, large coal-fired boiler room central heating, oil-fired boiler central heating, gas boiler central heating, small gas furnace heating, electric heating film heating and heat pump heating (including energy, environmental, economic, technological and social perspectives), and believed that HMcc had the highest comprehensive benefit, while the heat pump heating mode ranked third. In addition, Hou [47] compared the heating modes in North China, comprehensively considered technical, energy consumption, economic and environmental factors, and determined that the comprehensive benefit of the ground-source heat pump heating mode was the best. Taking Urumqi as their research area, Li [29] recommended the use of gas wall-hung furnace heating and did not recommend HMcc under the comprehensive consideration of resource, environmental, economic, technological and social perspectives.
3.4. Scenario Analysis
3.4.1. Scenario Building
From the comprehensive evaluation ranking, the top five heating modes were selected as the recommended solution because they have fewer restrictions and are more widely used. In addition to the recommended heating options, the top 5 heating modes were selected from the energy, environmental, economic, technical and social perspectives to form the scenarios, respectively. According to the Plan for Clean Winter Heating in Northern Areas (2017–2021), the proportion of various heat sources in the heating industry in northern areas of China in 2020 was plotted. Among them, the proportion of clean coal is 58%, natural gas 14%, electric heating 8%, ground-source heat pumps 4%, biomass 15% and other heat sources 1%. Based on the proportion of heat sources and the gray correlation obtained from the above analysis, the proportion of each heating mode in the six scenarios was derived, as shown in Figure 11.
Figure 11.
Percentages of different heating modes.
3.4.2. Pollutant Emissions of Different Scenarios
As shown in Figure 12, Scenario 4 and Scenario 5 have the highest soot emissions at 248,048 t and 247,466 t, respectively. As a comparison, Scenario 1 (the recommended scenario) has a soot emission of 131,067 t. It can be seen that the haze phenomenon in the Northeast will become more and more serious if only economic and technological factors are taken into consideration while environmental factors are ignored. For CO2 emissions, the recommended scenario has the lowest emissions of 161,997,786 t, which is 12,967,360 t less than the emissions from Scenario 4 (the economic scenario). For other pollutant emissions, the recommended scenario also demonstrates significant emission reduction advantages and is suitable for promotion and use in the northeastern region.
Figure 12.
Pollutant and CO2 emissions of different scenarios.
4. Conclusions
This paper analyzed seven heating modes in Northeast China and constructed an evaluation index system covering energy, the environment, the economy, technology and society. The conclusions are as follows:
- (1)
- From an energy perspective, the natural gas heating mode has the highest correlation of 0.6880, followed by the coal-fired heating modes and the electric heating modes.
- (2)
- From an environmental perspective, on the premise that thermal power is the energy supply, the correlation degree is ranked as HMg > HMgrd > HMcc > HMgrc > HMef > HMre > HMcr. HMg is the most environmentally friendly with a correlation of 0.8310, and the other heating modes have similar relevance.
- (3)
- From an economic perspective, the correlation degree is ranked as HMcc > HMgrd > HMef > HMg > HMcr > HMgrc > HMre. It is more advantageous to use coal as a heat source in addition to the natural gas decentralized heating mode.
- (4)
- From a technical perspective, the correlation degree is ranked as HMg > HMef > HMre > HMcc > HMgrd > HMcr > HMgrc. The advantages of electric heating modes are more obvious, in which the ground-source heat pump heating mode has the highest correlation of 0.9359.
- (5)
- From an social perspective, the correlation degree is ranked as HMg > HMcc > HMef > HMre > HMgrc > HMgrd > HMcr. HMg has the highest correlation of 0.7623, followed by the coal-fired cogeneration heating mode.
In our comprehensive view, the correlation ranking is HMg (0.8173) > HMcc (0.6111) > HMgrd (0.5675) > HMgrc (0.5493) > HMef (0.4909) > HMcr (0.4831) > HMre (0.4479). The top five heating modes are selected as the recommended scenario in Northeast China, which is consistent with the national policy. The emissions of soot pollutant, SO2, NOx and CO2 from the recommended scenario in Northeast China are 131,067 t, 34,501 t, 65,485 t and 161,997,786 t, respectively. The recommended scenario has significant emission reduction advantages compared to the other scenario options.
Supplementary Materials
The following supporting information can be downloaded at: https://www.mdpi.com/article/10.3390/su151813494/s1, Table S1: The judgment matrix scale; Table S2: Weight of indexes in A layer; Table S3: Weight of indexes in B1 layer; Table S4: Weight of indexes in B2 layer; Table S5: Weight of indexes in B3 layer; Table S6: Weight of indexes in B4 layer; Table S7: Weight of indexes in B5 layer; Table S8: Total weight of indexes for A layer; Table S9: Mean randomized consistency indicator (RI) standard value.
Author Contributions
Conceptualization, C.G. and H.Y.; methodology, C.G. and H.Y.; data curation, Y.W. and M.T.; writing—original draft preparation, H.Y.; writing—review and editing, C.G. and M.T.; project administration, C.G. All authors have read and agreed to the published version of the manuscript.
Funding
This research was funded by the Based Research Projects of National Natural Science Foundation of China (No. 41871212).
Institutional Review Board Statement
Not applicable.
Informed Consent Statement
Not applicable.
Data Availability Statement
Data sharing not applicable.
Conflicts of Interest
The authors declare no conflict of interest.
References
- National Bureau of Statistics. China Statistical Yearbook; China Statistics Press: Beijing, China, 2021. [Google Scholar]
- China Association of Building Energy Efficiency. China Urban and Rural Construction Carbon Emissions Series Research Report; China Association of Building Energy Efficiency: Beijing, China, 2022. [Google Scholar]
- Ruan, Z.P.; Wang, Z.Q.; Sha, Y.H.; Xu, X.; He, F.F. Research on key technologies for energy-saving rural residential buildings in the alpine region of Northeast China. Anhui Archit. 2021, 28, 77–80. [Google Scholar]
- Chen, L.; Fang, X.; Li, S. Impacts of climate warming on heating energy consumption and southern boundaries of severe cold and cold regions in China. Chin. Sci. Bull. 2007, 52, 2854–2858. [Google Scholar] [CrossRef]
- Heilongjiang Bureau of Statistics. Heilongjiang Statistical Yearbook; China Statistics Press: Beijing, China, 2021. [Google Scholar]
- Jilin Bureau of Statistics. Jilin Statistical Yearbook; China Statistics Press: Beijing, China, 2021. [Google Scholar]
- Liaoning Bureau of Statistics. Liaoning Statistical Yearbook; China Statistics Press: Beijing, China, 2021. [Google Scholar]
- Kroetz, K.M.; Friedland, A.J. Comparing costs and emissions of northern New England space heating fuel options. Biomass Bioenergy 2009, 32, 1359–1366. [Google Scholar] [CrossRef]
- Jie, X.; Zhang, X.S. Evaluation of several heating methods in clean heating. Dist. Heat. 2018, 192, 44–50. [Google Scholar]
- Long, T.; Qiao, Z.; Wang, M.; Li, Y.; Lu, J.; Li, W.; Zeng, L.; Huang, S. Performance analysis and optimization of a solar-air source heat pump heating system in Tibet China. Energy Build. 2020, 220, 110084. [Google Scholar] [CrossRef]
- Ge, D.; Liu, X.Y.; Gao, B.Y.; Wang, T. Environmental feasibility analysis of heating boiler energy substitution. In Proceedings of the 2015 International Conference on Materials, Environmental and Biological Engineering, Guilin, China, 28–30 March 2015. [Google Scholar]
- Xie, F.; Sun, Z.J.; Zhou, X.N.; Fu, C.G.; Yang, J. Economic analysis of electric heating based on critical electricity price. Mater. Sci. Energy Technol. Power Eng. II 2018, 1971, 040044. [Google Scholar]
- Xu, S.; Ge, J.P. Sustainable development of clean heating in rural northern China: Locally tailored energy options. Sustain. Prod. Consum. 2023, 35, 655–667. [Google Scholar] [CrossRef]
- Cui, K.; Yu, Y.Z.; Wang, J.; Wang, Y. Comprehensive analysis and comparison between coal-fired and gas-fired heating modes. Gas Heat. 2015, 35, 6–8. [Google Scholar]
- Zhang, F.X. Research on the Key Problems of Natural Gas in Heating Application; Shandong Jianzhu University: Jinan, China, 2017. [Google Scholar]
- Saaty, T.L. A scaling method for priorities in hierarchical structures. J. Math. Psychol. 1977, 15, 234–281. [Google Scholar] [CrossRef]
- Fang, J.H.; Long, T.R.; Qiang, H.; Wang, R.C. Project optimization of wastewater treatment work based on analytic hierarchy process. J. Cent. South Univ. 2006, 13, 128–132. [Google Scholar]
- Guo, X.S.; Kapucu, N. Assessing social vulnerability to earthquake disaster using rough analytic hierarchy process method: A case study of Hanzhong City, China. Saf. Sci. 2020, 125, 104625. [Google Scholar] [CrossRef]
- Lyu, H.M.; Zhou, W.H.; Shen, S.L.; Zhou, A.N. Inundation risk assessment of metro system using AHP and TFN-AHP in Shenzhen. Sustain. Cities Soc. 2020, 56, 102103. [Google Scholar] [CrossRef]
- Mathew, M.; Chakrabortty, R.K.; Ryan, M.J. Selection of an optimal maintenance strategy under uncertain conditions: An interval Type-2 Fuzzy AHP-TOPSIS Method. IEEE Trans. Eng. Manag. 2022, 69, 1121–1134. [Google Scholar] [CrossRef]
- Ding, Y.Q.; Hong, Z.L.; Jin, G.; Zhang, Y.P.; Yang, J.H. Calculation and evaluation of the comprehensive benefit ratio of energy utilization: Taking clean energy heating in Guanzhong Plain as an example. J. Nat. Resour. 2020, 35, 2759–2769. [Google Scholar] [CrossRef]
- Cao, Y.; Chen, G.M.; Xu, W.F. Optimization of heating modes for medium and large cities. Heat. Vent. Air Cond. 2002, 32, 5–8. [Google Scholar]
- Zheng, H.J. Study on Feasibility of Electric Heating in Xinjiang Region; Xinjiang University: Urumqi, China, 2018. [Google Scholar]
- Widiatmojo, A.; Chokchai, S.; Takashima, I. Ground-source heat pumps with horizontal heat exchangers for space cooling in the hot tropical climate of Thailand. Energies 2019, 12, 1274. [Google Scholar] [CrossRef]
- Gao, C.K.; Na, H.M.; Song, K.H.; Dyer, N.; Tian, F.; Xu, Q.J.; Xing, Y.H. Environmental impact analysis of power generation from biomass and wind farms in different locations. Renew. Sustain. Energy Rev. 2019, 102, 307–317. [Google Scholar] [CrossRef]
- He, K.B. An Emission Inventory Compilation for Air Pollution Sources in Urban Environment; Ministry of Ecology and Environment of the People’s Republic of China: Beijing, China, 2015. [Google Scholar]
- Meng, J. Comparative Study on Heating Modes of Residential Building; Xi’an University of Architecture and Technology: Xi’an, China, 2009. [Google Scholar]
- Ministry of Housing and Urban-Rural Development of the People’s Republic of China. Economic Evaluation Methods and Parameters of Construction Projects; China Planning Press: Beijing, China, 2006. [Google Scholar]
- Li, C. Evaluation and Research on Different Heating Modes of Residential Buildings in Urumqi; Xinjiang University: Urumqi, China, 2013. [Google Scholar]
- Li, S.H.; Kang, H. Practical Central Heating Brochure; China Electric Power Press: Beijing, China, 2006. [Google Scholar]
- The People’s Republic of China on the State Council. Trial Regulations on Depreciation of Fixed Assets of State-Owned Enterprises. Beijing Court Regulation Search. 1985. Available online: http://fgcx.bjcourt.gov.cn:4601/law?fn=chl012s036.txt&dbt=chl (accessed on 29 August 2023).
- Zhang, F.X.; Tian, G.S.; Wei, J.Y. Environmental and economic comparison among heating modes using different types of energy sources. Gas Heat. 2016, 36, 14–18. [Google Scholar]
- Ministry of Housing and Urban-Rural Development of the People’s Republic of China. Design Code of District Heating Network; China Architecture and Building Press: Beijing, China, 2002. [Google Scholar]
- Harbin Development and Reform Commission. Notice on Streamlining the Selling Price of Pipeline Natural Gas for Urban Residents. 2019. Available online: https://hrbzqgas.com/a/5853.html (accessed on 29 August 2023).
- Changchun Development and Reform Commission. Notice of the General Office of Changchun Municipal People’s Government on Adjusting the Price of Natural Gas for Urban Residents in Changchun City. 2019. Available online: http://drc.changchun.gov.cn/fzgg/jggl/201910/t20191009_2033066.html (accessed on 29 August 2023).
- Shenyang Development and Reform Commission. Notice on Adjustment of Non-Resident Natural Gas Sales Prices. 2019. Available online: http://fgw.shenyang.gov.cn/files/ueditor/SYFGW/jsp/upload/file/20190910/1568076566671073054.pdf (accessed on 29 August 2023).
- Notice of Power Outage. Heilongjiang Harbin Residential Electricity Charging Standard. 2022. Available online: https://www.jdianfei.com/1372.html (accessed on 29 August 2023).
- Jinlin Province Development and Reform Commission. Notice on Matters Related to the Adjustment of the Sales Price of Our Province’s Catalogue. 2021. Available online: http://jldrc.jl.gov.cn/zycpjg/dj/202110/t20211028_8262190.html (accessed on 29 August 2023).
- State Grid Liaoning Electric Power Co., Ltd. Information Disclosure Annual Report. 2022. Available online: http://www.ln.sgcc.com.cn/html/files/2023-01/31/20230131105541620961338.pdf (accessed on 29 August 2023).
- Liu, J.J. Comprehensive Evaluation of Heating Heat Source Methods in a County in North China; North China Electric Power University: Beijing, China, 2017. [Google Scholar]
- Sun, S.Q. Study on the Evaluation System of the Operational Carrying Capacity of the Existing Hot Water Heating Pipe Network; School of Architecture of Harbin Institute of Technology: Harbin, China, 2012. [Google Scholar]
- Shi, L. Evaluation method for students’ grade statistics system based on fuzzy analytic hierarchy process. Adv. Mat. Res. 2012, 433–440, 5339–5343. [Google Scholar]
- Xu, S.; Yue, Q.D.; Lu, B.B. Grey correlation analysis on the synergistic development between innovation-driven strategy and marine industrial agglomeration: Based on China’s coastal provinces. Grey Syst. Theory Appli. 2020, 12, 269–289. [Google Scholar] [CrossRef]
- The People’s Government of Liaoning Province. Three-Year Action Plan to Fight Air Pollution (2018–2020); The People’s Government of Liaoning Province: Shenyang, China, 2019. [Google Scholar]
- Hubei Dida Heat Energy Technology Co., Ltd. Ground Source Heat Pump Central Heating Is the Best Solution for Winter Heating in Northeast China. 2022. Available online: http://dyrb.hbddrn.com/hangyexinwen/894.html (accessed on 29 August 2023).
- China Power. Liaoning Will Build the Largest Ground-Source Heat Pump Clean Energy Supply Demonstration Base in Northeast China. 2023. Available online: http://www.chinapower.com.cn/jnhb/zhxw/20230328/194187.html (accessed on 29 August 2023).
- Hou, Y.C. Comprehensive Benefit Evaluation of Office Building Heating Mode in North China; Shenyang Jianzhu University: Shenyang, China, 2022. [Google Scholar]
Disclaimer/Publisher’s Note: The statements, opinions and data contained in all publications are solely those of the individual author(s) and contributor(s) and not of MDPI and/or the editor(s). MDPI and/or the editor(s) disclaim responsibility for any injury to people or property resulting from any ideas, methods, instructions or products referred to in the content. |
© 2023 by the authors. Licensee MDPI, Basel, Switzerland. This article is an open access article distributed under the terms and conditions of the Creative Commons Attribution (CC BY) license (https://creativecommons.org/licenses/by/4.0/).











