Can Digital Economy Drive Income Level Growth in the Context of Sustainable Development? Fresh Evidence from “Broadband China”
Abstract
:1. Introduction
2. Literature Review
3. Materials and Methods
3.1. Theoretical Analysis
3.2. Typical Facts
3.3. Methods Selection
3.3.1. Dynamic Model
3.3.2. Base Regression Model
3.3.3. Instrumental Variables Method
3.3.4. Variable Selection, Data Source, and Processing
Variable Selection
Data Source and Processing
4. Results
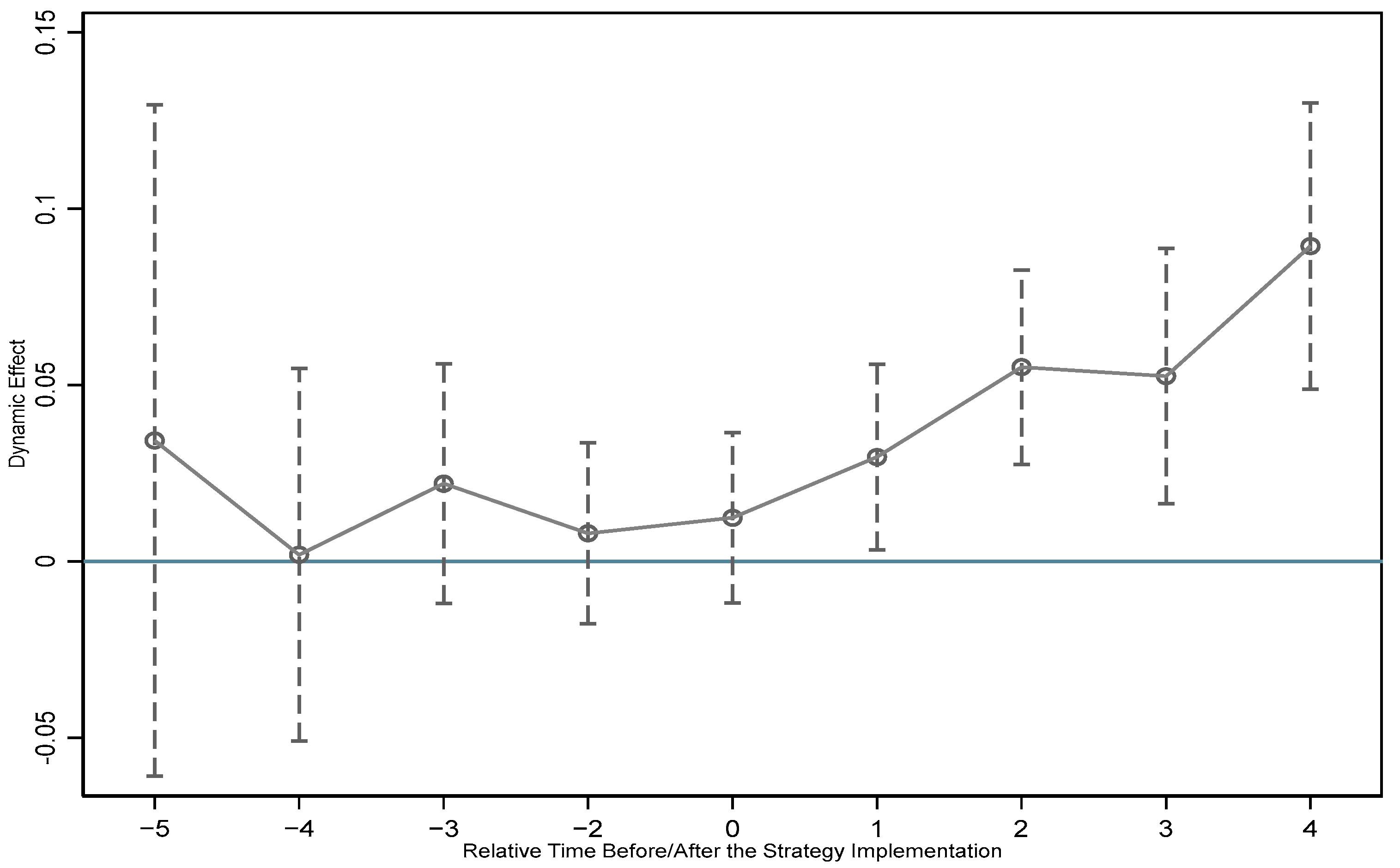
4.1. Event Analysis Method
4.2. Benchmark Regression
4.3. Endogeneity Issues
4.4. Robustness Test
4.4.1. Propensity Score Matching
4.4.2. Placebo Test
4.4.3. Confounding Policies
4.5. Further Discussion and Mechanism Test
4.5.1. Influences of “Broadband China” on the Income of Labor Force with Different Skills
4.5.2. Mechanism Test
5. Conclusions and Implications
5.1. Conclusions
5.2. Policy Implications
- (1)
- The relevant departments should further promote the process of network infrastructure construction and further intensify the implementation of the “Broadband China” strategy through rational planning of the process so that more laborers can enjoy the dividends brought by the digital economy. Developed countries have long used the information technology revolution to promote the economic growth with superb technical advantages. Developing countries should seize the opportunities brought by the digital revolution to actively promote the economic development, guide more workers to improve their income levels with the aid of the digital economy, and eventually achieve sustainable development in developing countries. By rationally planning the process of the “Broadband China” strategy, we will make further steps to strengthen its implementation.
- (2)
- Efforts shall be intensified to improve the institutional environment, accelerate the introduction of relevant laws and regulations, clarify the legal status of broadband networks as national public infrastructure, and strengthen the protection of broadband network facilities. We should protect personal information in accordance with the law, create a safe and trustworthy network environment, promote the development of broadband applications, and standardize the construction order. In accordance with the Urban and Rural Planning Law; the Land Management Law and the Urban Communications Engineering Planning Code; and other laws, regulations, and norms, broadband network construction will be incorporated into urban and rural planning and overall land use planning in various places. Attention shall also be paid to effectively implement the engineering design, construction, and acceptance specifications for broadband network facilities in residential neighborhoods and residential buildings. The broadband network shall be well connected with the planning and construction of highways, railroads, airports, and other transportation facilities.
- (3)
- We will go a step further to encourage the entrepreneurial enthusiasm of the labor force, pay attention to skill bias, and optimize the employment structure. We should cultivate an innovative and risk-taking labor force and improve the human capital accumulation of the medium- and low-skilled labor force through multiple channels to enhance their entrepreneurial efficiency. At the same time, in the face of the individual skills gap in the context of digital development, the medium- and low-skilled labor force should actively participate in the training of big-data-related skills and continuously improve their ability and quality through “learning by doing”, as well as gradually extending their education. Relevant departments should increase the proportion of financial education investment, gradually popularize and introduce information technology into the basic education system, expand the scope of information database application, and take effective measures to further increase the income of medium- and low-skilled labor force. For high-skilled talent, a good working and R&D environment should be created, and fairness and efficiency should be paid equal attention.
5.3. Limitations and Future Research Directions
Author Contributions
Funding
Institutional Review Board Statement
Informed Consent Statement
Data Availability Statement
Acknowledgments
Conflicts of Interest
References
- Eva, M.; Popescu, M.E.; Cristescu, A.; Vasilescu, M.D. Assessing minimum wage policy implications upon income inequalities. The case of romania. Sustainability 2019, 11, 2542. [Google Scholar] [CrossRef]
- Le, T.-H.; Nguyen, C.P.; Su, T.D.; Tran-Nam, B. The Kuznets curve for export diversification and income inequality: Evidence from a global sample. Econ. Anal. Policy 2019, 65, 21–39. [Google Scholar] [CrossRef]
- Cong, B.T.; Van, T.Q. The Impacts of Spatial Interaction on Agricultural Productivity and Average Income: A Case of Vietnam. J. La Soc. 2021, 2, 12–20. [Google Scholar] [CrossRef]
- Ravallion, M. Income inequality in the developing world. Science 2014, 344, 851–855. [Google Scholar] [CrossRef]
- Sungmun, C. Is the Current Trend of Income Inequality Sustainable? Sustainability 2019, 11, 5329. [Google Scholar] [CrossRef]
- Balcerzak, P.A.; Pietrzak, B.M. Digital Economy in Visegrad Countries. Multiple-criteria Decision Analysis at Regional Level in The Years 2012 and 2015. J. Compet. 2017, 9, 5–18. [Google Scholar] [CrossRef]
- Harb, G. The economic impact of the Internet penetration rate and telecom investments in Arab and Middle Eastern countries. Econ. Anal. Policy 2017, 56, 148–162. [Google Scholar] [CrossRef]
- Ali, M.A.; Alam, K.; Taylor, B.; Rafiq, S. Does ICT maturity catalyse economic development? Evidence from a panel data estimation approach in OECD countries. Econ. Anal. Policy 2020, 68, 163–174. [Google Scholar] [CrossRef] [PubMed]
- Li, H.; Yang, S.G. The Road to Common Prosperity: Can the Digital Countryside Construction Increase Household Income? Sustainability 2023, 15, 4020. [Google Scholar] [CrossRef]
- CAOC. Digital China Development Report 2022. Available online: http://www.cac.gov.cn/2023-05/22/c_1686402318492248.htm?eqid=e964285800089bd400000004646d59f6 (accessed on 23 May 2023).
- Xue, C.; Meng, Q.X.; He, X.J. Network Infrastructure and the Diffusion of Technological Knowledge: Evidence from a Quasi-natural Experiment. J. Financ. Econ. 2020, 46, 48–62. [Google Scholar] [CrossRef]
- Central Government of the People’s Republic of China. The State Council on the issuance of the “Broadband China” Strategy and Notice of Implementation Plan. Available online: https://www.gov.cn/zwgk/2013-08/17/content_2468348.htm (accessed on 17 August 2013).
- Central Government of the People’s Republic of China. Communications Industry Statistical Bulletin 2022. Available online: https://www.gov.cn/xinwen/2023-02/02/content_5739680.htm?eqid=f1980c9900002b9b000000056459bf36 (accessed on 2 February 2023).
- Govindan, P. The Digital Divide and Increasing Returns: Contradictions of Informational Capitalism. Inf. Soc. 2007, 21, 41–51. [Google Scholar] [CrossRef]
- Dimaggio, P.; Bonikowski, B. Make Money Surfing the Web? The Impact of Internet Use on the Earnings of U.S. Workers. Am. Sociol. Rev. 2008, 73, 227–250. [Google Scholar] [CrossRef]
- Cheng, M.W.; Zhang, J.P. Internet Popularization and Urban-rural Income Gap: A Theoretical and Empirical Analysis. Chin. Rural. Econ. 2019, 2, 19–41. Available online: https://kns.cnki.net/kcms2/article/abstract?v=3uoqIhG8C44YLTlOAiTRKibYlV5Vjs7iLik5jEcCI09uHa3oBxtWoMrudmJ7cUEQLiUkGOH-UH4Ap9z4Vt8jE_rkIa8kc7PK&uniplatform=NZKPT&src=copy (accessed on 23 July 2023).
- Dutta, P.V. Trade Protection and Industry Wages in India. ILR Rev. 2007, 60, 268–286. [Google Scholar] [CrossRef]
- Lu, D.X.; Cai, W.G. Effective Factor Endowments, Trade Openness and Income Distribution in China. Front. Econ. China 2011, 6, 188–210. [Google Scholar] [CrossRef]
- Truong, C.B. The nexus between spatial structure and labour income: Evidence from Vietnam. Reg. Stud. Reg. Sci. 2023, 10, 294–311. [Google Scholar] [CrossRef]
- Leuven, E.; Oosterbeek, H. Overeducation and Mismatch in the Labor Market. Handb. Econ. Educ. 2011, 4, 283–326. [Google Scholar] [CrossRef]
- Javier, S. The employment and wage effects of import competition in Switzerland. Int. J. Manpow. 1998, 19, 438–448. [Google Scholar] [CrossRef]
- Yang, Y.; Jiang, W.H.; Zhang, W.F. Can Ageing of Population, Biased Technology Progress Reduce the Labor Income Share in China: Theoretical and Empirical Analysis Based on Provincial Panel of China. Econ. Probl. 2018, 6, 6–13. [Google Scholar] [CrossRef]
- Loukas, K.; Brent, N.M. The Global Decline of the Labor Share. Q. J. Econ. 2014, 129, 61–103. [Google Scholar] [CrossRef]
- Qing, M.; Qi, Y. Research on Income Distribution Effect of Environmental Regulation. Economics and management studies. Res. Econ. Manag. 2019, 40, 70–81. [Google Scholar] [CrossRef]
- Park, K.H. Educational expansion and educational inequality on income distribution. Econ. Educ. Rev. 1996, 15, 51–58. [Google Scholar] [CrossRef]
- Ma, S.Z.; Wu, P.; Pan, G.J. Internet Use, Consumer Service Industry Expansion and Labor Income Differentiation. Econ. Dyn. 2022, 2, 68–84. Available online: https://kns.cnki.net/kcms2/article/abstract?v=3uoqIhG8C44YLTlOAiTRKibYlV5Vjs7iJTKGjg9uTdeTsOI_ra5_Xa5LQr3cFVxvyEvySg2NQzYdB6Ky77USoKKSpxRggmEx&uniplatform=NZKPT&src=copy (accessed on 23 July 2023).
- Abdul, J. Modeling income inequality and openness in the framework of Kuznets curve: New evidence from China. Econ. Model. 2012, 29, 309–315. [Google Scholar] [CrossRef]
- Afesorgbor, S.K.; Mahadevan, R. The Impact of Economic Sanctions on Income Inequality of Target States. World Dev. 2016, 83, 1–11. [Google Scholar] [CrossRef]
- Murakami, Y. Trade liberalization and wage inequality: Evidence from Chile. J. Int. Trade Econ. Dev. 2021, 30, 407–438. [Google Scholar] [CrossRef]
- Rolim, L.N.; Baltar, C.T.; Lima, G.T. Income distribution, productivity growth, and workers’ bargaining power in an agent-based macroeconomic model. J. Evol. Econ. 2023, 33, 473–516. [Google Scholar] [CrossRef]
- Antonelli, C.; Tubiana, M. The rate and direction of technological change and wealth and income inequalities in advanced countries. Technol. Forecast. Soc. Chang. 2023, 191, 122508. [Google Scholar] [CrossRef]
- Tang, G.J.; Yan, D.Y.; Feng, S.Z. A Path Towards Common Prosperity: The Effect of Redistribution Policies on Income Distribution. Econ. Res. J. 2023, 58, 23–39. Available online: https://kns.cnki.net/kcms2/article/abstract?v=3uoqIhG8C44YLTlOAiTRKibYlV5Vjs7ioT0BO4yQ4m_mOgeS2ml3UH49Bw-lXUbWf0WkJYP8sVOMgk4vJn11lVAoAsn0d73g&uniplatform=NZKPT&src=copy (accessed on 23 July 2023).
- Qiu, L.J.; Zhong, S.B.; Sun, B.W. Blessing or curse? The effect of broadband Internet on China’s inter-city income inequality. Econ. Anal. Policy 2021, 72, 626–650. [Google Scholar] [CrossRef]
- Madon, S. The Internet and socio-economic development: Exploring the interaction. Inf. Technol. People 2000, 13, 85–101. [Google Scholar] [CrossRef]
- Litan, R.E.; Rivlin, A.M. Projecting the Economic Impact of the Internet. Am. Econ. Rev. 2001, 91, 313–317. [Google Scholar] [CrossRef]
- Brown, C.; Campbell, B.A. The Impact of Technological Change on Work and Wages. Ind. Relat. 2002, 41, 1–33. [Google Scholar] [CrossRef]
- Xiao, T.S.; Sun, R.Q.; Yuan, C.; Sun, J. Digital transformation, human capital restructuring and labor income share in enterprises. J. Manag. World 2022, 38, 220–237. [Google Scholar]
- Liu, C.H. The impact of digital economy on industrial structure upgrading and entrepreneurship growth. Chin. J. Popul. Sci. 2022, 2, 112–128. Available online: https://kns.cnki.net/kcms2/article/abstract?v=3uoqIhG8C44YLTlOAiTRKibYlV5Vjs7iJTKGjg9uTdeTsOI_ra5_XRx8dQl7G4l6EXvk6wYP1nH6bM6j4UI0DXD0Qqeri3Iv&uniplatform=NZKPT&src=copy (accessed on 23 July 2023).
- Zhang, X.; Wan, G.H.; Zhang, J.J.; He, Z.Y. Digital Economy, Financial Inclusion, and Inclusive Growth. Econ. Res. J. 2019, 8, 71–86. Available online: https://kns.cnki.net/kcms2/article/abstract?v=3uoqIhG8C44YLTlOAiTRKibYlV5Vjs7iLik5jEcCI09uHa3oBxtWoHGwy9XepWzLFTF3B_FHQzTBVrZfn3j1RYNNBDsw-g9k&uniplatform=NZKPT&src=copy (accessed on 23 July 2023).
- Zhao, T.; Zhang, Z.; Liang, S.K. Digital Economy, Entrepreneurial Activity and High Quality Development-Empirical Evidence from Chinese Cities. J. Manag. World 2020, 36, 65–76. [Google Scholar] [CrossRef]
- Liu, G.; Zhang, L.R.; Liang, H.; Wang, Z.Y. A study on information sharing mechanism of Internet entrepreneurship—A two-stage model integrating online crowdfunding and social data. J. Manag. World 2021, 37, 107–125. [Google Scholar] [CrossRef]
- Peng, K.Q.; Liu, X.L. Farmers’ income growth, formal credit availability and off-farm entrepreneurship. J. Manag. World 2016, 7, 88–97. [Google Scholar] [CrossRef]
- Yang, W.M.; Su, L.; Wang, M.W. Digital Financial Inclusion and Income of Urban and Rural Residents: Based on the Intermediary Effect of Economic Growth and Entrepreneurial Behavior. J. Shanghai Univ. Financ. Econ. 2020, 22, 83–94. [Google Scholar] [CrossRef]
- Hua, Y.; Zhang, H.Y. Internet Penetration and Income Inequality: Evidence from the Chinese Young Labor Market. Appl. Econ. 2022, 1–15. [Google Scholar] [CrossRef]
- Wang, L.H.; Hu, S.M.; Dong, Z.Q. Does Artificial Intelligence Technology Induce Labor Income Inequality—A Model Inference and Classification Assessment. China Ind. Econ. 2020, 4, 97–115. [Google Scholar] [CrossRef]
- Pissarides, C.A. Learning by Trading and the Returns to Human Capital in Developing Countries. World Bank Econ. Rev. 1997, 11, 17–32. [Google Scholar] [CrossRef]
- Acemoglu, D. Patterns of skill premia. Rev. Econ. Stud. 2003, 70, 199–230. [Google Scholar] [CrossRef]
- Sun, Y.P.; Xu, Y.B. A study on the impact of Internet penetration on income distribution in China—An empirical analysis based on CFPS data. Macroeconomics 2021, 7, 161–175. [Google Scholar] [CrossRef]
- Autor, D.H.; Levy, F.; Murnane, R.J. The Skill Content of Recent Technological Change: An Empirical Exploration. Q. J. Econ. 2003, 118, 1279–1333. [Google Scholar] [CrossRef]
- Maarten, G.; Manning, A.; Salomons, A. Job Polarization in Europe. Am. Econ. Rev. 2009, 99, 58–63. [Google Scholar] [CrossRef]
- Lu, J.L. Capital Accumulation and Skill Premium: Evidence from China. China Econ. Q. 2017, 16, 577–598. [Google Scholar] [CrossRef]
- Beck, T.; Levine, R.; Levkov, A. Big Bad Banks? The Winners and Losers from Bank Deregulation in the United States. J. Finance 2010, 65, 1637–1667. [Google Scholar] [CrossRef]
- Card, D.; Krueger, A.B. Minimum Wages and Employment: A Case Study of the Fast-Food Industry in New Jersey and Pennsylvania: Reply. Am. Econ. Rev. 2000, 90, 1397–1420. [Google Scholar] [CrossRef]
- Liu, C.M.; Ma, Q.S. Study on the Impact of Network Infrastructure Construction on Total Factor Productivity Growth: A Quasi-Natural Experiment Based on the “Broadband China” Pilot Policy. Chin. J. Popul. Sci. 2020, 3, 75–128. Available online: https://kns.cnki.net/kcms2/article/abstract?v=3uoqIhG8C44YLTlOAiTRKibYlV5Vjs7i8oRR1PAr7RxjuAJk4dHXoqmsJ0NR0BTUPX6p0OhhYlR0XedZy38Hq8why09YBEyW&uniplatform=NZKPT&src=copy (accessed on 23 July 2023).
- Nunn, N.; Qian, N. US Food Aid and Civil Conflict. Am. Econ. Rev. 2014, 104, 1630–1666. [Google Scholar] [CrossRef]
- Angrist, J.D.; Krueger, A.B. Does compulsory school attendance affect schooling and earnings? Q. J. Econ. 1991, 106, 979–1014. [Google Scholar] [CrossRef]
- Lee, C.-Y. The differential effects of public R&D support on firm R&D: Theory and evidence from multi-country data. Technovation 2011, 31, 256–269. [Google Scholar] [CrossRef]
- Chang, G.H. The cause and cure of China’s widening income disparity. China Econ. Rev. 2002, 13, 335–340. [Google Scholar] [CrossRef]
- Chen, W.; Wu, Y. Digital Economy’s Development, Digital Divide and the Income Gap Between Urban and Rural Residents. South China J. Econ. 2021, 11, 1–18. [Google Scholar] [CrossRef]
- Central Government of the People’s Republic of China. 2021 Migrant Worker Monitoring Survey Report. Available online: https://www.gov.cn/xinwen/2022-04/29/content_5688043.htm (accessed on 29 April 2022).
Variables | Variable Description | Sample Size | Mean | SE | Max | Min |
---|---|---|---|---|---|---|
wageit | Monthly income of the labor force of city i in year t | 1560 | 3389.343 | 965.230 | 8637.5 | 695.556 |
wageith | Monthly income of the high-skilled labor force of city i in year t | 1560 | 3776.970 | 1397.034 | 16,100 | 750 |
wageitl | Monthly income of the medium- and low-skilled labor force of city i in year t | 1560 | 3320.728 | 942.983 | 10,580 | 680 |
tec | Financial expenditure on science and technology | 1560 | 1.851 | 1.656 | 16.273 | 0.068 |
upgrading | Upgrading of industrial structure | 1560 | 0.960 | 0.502 | 4.348 | 0.114 |
edu | Scale of science education | 1560 | 2.270 | 2.690 | 13.112 | 0.001 |
unemploymentit | Unemployment rate | 1560 | 0.035 | 0.043 | 0.471 | 0.012 |
unemploymentith | Unemployment rate of high-skilled labor force | 1560 | 0.026 | 0.007 | 0.467 | 0.001 |
unemploymentitl | Unemployment rate of medium- and low-skilled labor force | 1560 | 0.045 | 0.011 | 0.533 | 0.017 |
Variables | Explained Variables: ln(wageit) | |||
---|---|---|---|---|
(1) | (2) | (3) | (4) | |
D | 0.3631 *** (0.0187) | 0.1727 *** (0.0186) | 0.0248 ** (0.0136) | 0.0231 ** (0.0135) |
tec | 0.0382 *** (0.0079) | 0.0127 ** (0.0053) | ||
upgrading | 0.4753 *** (0.0293) | 0.0092 ** (0.0258) | ||
edu | 0.0604 *** (0.0140) | 0.0028 ** (0.0093) | ||
unemploymentit | −0.0001 *** (0.0000) | −0.0001 *** (0.0000) | ||
Year fixed effect | No | No | Yes | Yes |
City fixed effect | Yes | Yes | Yes | Yes |
R2 | 0.2163 | 0.4146 | 0.7441 | 0.7502 |
N | 1560 | 1560 | 1560 | 1560 |
Variables | Phase I of 2SLS | Phase II of 2SLS |
---|---|---|
(1) | (2) | |
D | 0.4920 *** (0.0981) | |
Z | 0.2118 *** (0.0265) | |
Control variables | Yes | Yes |
KP-F statistic | 45.925 |
Variables | One Year in Advance | Two Years in Advance | Three Years in Advance | Excluding Female Samples | Excluding 70 Cities |
---|---|---|---|---|---|
(1) | (2) | (3) | (4) | (5) | |
D | 0.0088 (0.0139) | −0.0003 (0.0155) | 0.0076 (0.0197) | 0.0228 ** (0.0527) | 0.0201 ** (0.0204) |
tec | 0.0129 * (0.0052) | 0.0130 * (0.0052) | 0.0131 * (0.0053) | 0.0038 ** (0.0205) | 0.0347 ** (0.0115) |
upgrading | 0.0012 (0.0272) | 0.0121 (0.0272) | 0.0119 (0.0272) | 0.0187 * (0.1061) | 0.0058 * (0.0340) |
edu | 0.0020 (0.0093) | 0.0016 (0.0093) | 0.0017 (0.0093) | 0.0490 * (0.0361) | 0.0145 * (0.0197) |
unemploymentit | −0.0001 *** (0.0000) | −0.0001 *** (0.0000) | −0.0001 *** (0.0000) | −0.0002 *** (0.0001) | −0.0001 ** (0.0000) |
Year/City fixed effects | Yes | Yes | Yes | Yes | Yes |
R2 | 0.7497 | 0.7496 | 0.7497 | 0.6951 | 0.6874 |
N | 1560 | 1560 | 1560 | 1560 | 1048 |
Variables | ln(wageitl) | ln(wageith) | ln(wageitl) | ln(wageith) |
---|---|---|---|---|
(1) | (2) | (3) | (4) | |
D | 0.3518 *** (0.0192) | 0.9012 *** (0.0691) | 0.0234 ** (0.0137) | 0.0633 ** (0.0738) |
tec | 0.0111 ** (0.0053) | 0.0205 ** (0.0287) | ||
upgrading | 0.0033 (0.0261) | 0.0861 (0.1412) | ||
edu | 0.0005 (0.0094) | 0.0457 (0.0506) | ||
unemploymentitl unemploymentith | −0.0141 *** (0.0012) | −0.0006 *** (0.0002) | ||
Year/City fixed effects | Yes | Yes | Yes | Yes |
R2 | 0.1964 | 0.1107 | 0.7526 | 0.3813 |
N | 1560 | 1560 | 1560 | 1560 |
Variables | Entrehitl | Entrehith | Techniitl | Techniith |
---|---|---|---|---|
(1) | (2) | (3) | (4) | |
D | 0.0401 *** (0.0129) | 0.0232 ** (0.0109) | 0.0029 *** (0.0011) | 0.0157 *** (0.0053) |
Control variables | Control | Control | Control | Control |
Year/City fixed effects | Yes | Yes | Yes | Yes |
R2 | 0.1576 | 0.1078 | 0.0410 | 0.0297 |
N | 1560 | 1560 | 1560 | 1560 |
Disclaimer/Publisher’s Note: The statements, opinions and data contained in all publications are solely those of the individual author(s) and contributor(s) and not of MDPI and/or the editor(s). MDPI and/or the editor(s) disclaim responsibility for any injury to people or property resulting from any ideas, methods, instructions or products referred to in the content. |
© 2023 by the authors. Licensee MDPI, Basel, Switzerland. This article is an open access article distributed under the terms and conditions of the Creative Commons Attribution (CC BY) license (https://creativecommons.org/licenses/by/4.0/).
Share and Cite
Kong, D.; Li, J.; Jin, Z. Can Digital Economy Drive Income Level Growth in the Context of Sustainable Development? Fresh Evidence from “Broadband China”. Sustainability 2023, 15, 13170. https://doi.org/10.3390/su151713170
Kong D, Li J, Jin Z. Can Digital Economy Drive Income Level Growth in the Context of Sustainable Development? Fresh Evidence from “Broadband China”. Sustainability. 2023; 15(17):13170. https://doi.org/10.3390/su151713170
Chicago/Turabian StyleKong, Dandan, Jing Li, and Zehu Jin. 2023. "Can Digital Economy Drive Income Level Growth in the Context of Sustainable Development? Fresh Evidence from “Broadband China”" Sustainability 15, no. 17: 13170. https://doi.org/10.3390/su151713170
APA StyleKong, D., Li, J., & Jin, Z. (2023). Can Digital Economy Drive Income Level Growth in the Context of Sustainable Development? Fresh Evidence from “Broadband China”. Sustainability, 15(17), 13170. https://doi.org/10.3390/su151713170