Response of the Anchoring Performance at Betula platyphylla’s Root–Soil Interface to Cyclic Loading
Abstract
:1. Introduction
2. Materials and Methods
2.1. Study Area
2.2. Soil and Root Collection
2.3. Test Device
2.4. Test Methods
- First, an appropriate amount of soil samples is taken and prepared as samples with different gradients of water content according to the specified experimental design. Once prepared, the different soil samples are divided into five layers in the specimen box and compacted to avoid soil stratification. When filling the third layer of soil, a portion of the soil is added first, and then the roots are buried into the pre-arranged gaps in the specimen box, adjusting the depth of the roots. After, a second filling and compaction are performed to ensure even stress distribution on the roots;
- The reserved length for all roots outside the specimen box is 150 mm, including 50 mm of free length and 100 mm for clamping. The root part buried in the soil is divided into three sections of equal length, marked with a red marker pen, and the diameter of each section is measured using a caliper and averaged. If the diameter discrepancy among the three segments exceeds 0.5 mm, the root should be replaced. After completing the preparation of the specimens, allow them to stand for 24 h to reach a relatively stable state of contact between the roots and the soil. Seal the specimens with plastic wrap to prevent moisture loss from the soil in the specimen box, which may affect the experimental results;
- After 24 h, fix the specimen box on the loading platform with the gap surface facing upwards and secure the roots with the clamp connected to the crossbeam. Then, pull the roots out of the soil at a constant speed of 10 mm/min while simultaneously collecting the force and displacement data of the root during the pulling process. Table 2 shows the experimental design and root physical parameters under monotonic loading;
- Select the roots fully pulled out in the above steps without damage to the outer layer and are suitable for a second pull-out test. Clean the roots and prepare the specimens using the same method described above. After 24 h of standing, pull the roots out repeatedly for 100 cycles using a maximum cyclic pull-out force set at 25%, 50%, and 75% of the peak pull-out force. Once the preset force is reached, unload the roots until the load drops to approximately zero. Table 3 shows the experimental design under cyclic loading and the statistical number of roots under two failure modes.
3. Results
3.1. Failure Mode Analysis of Pull-Out after Cyclic Loading
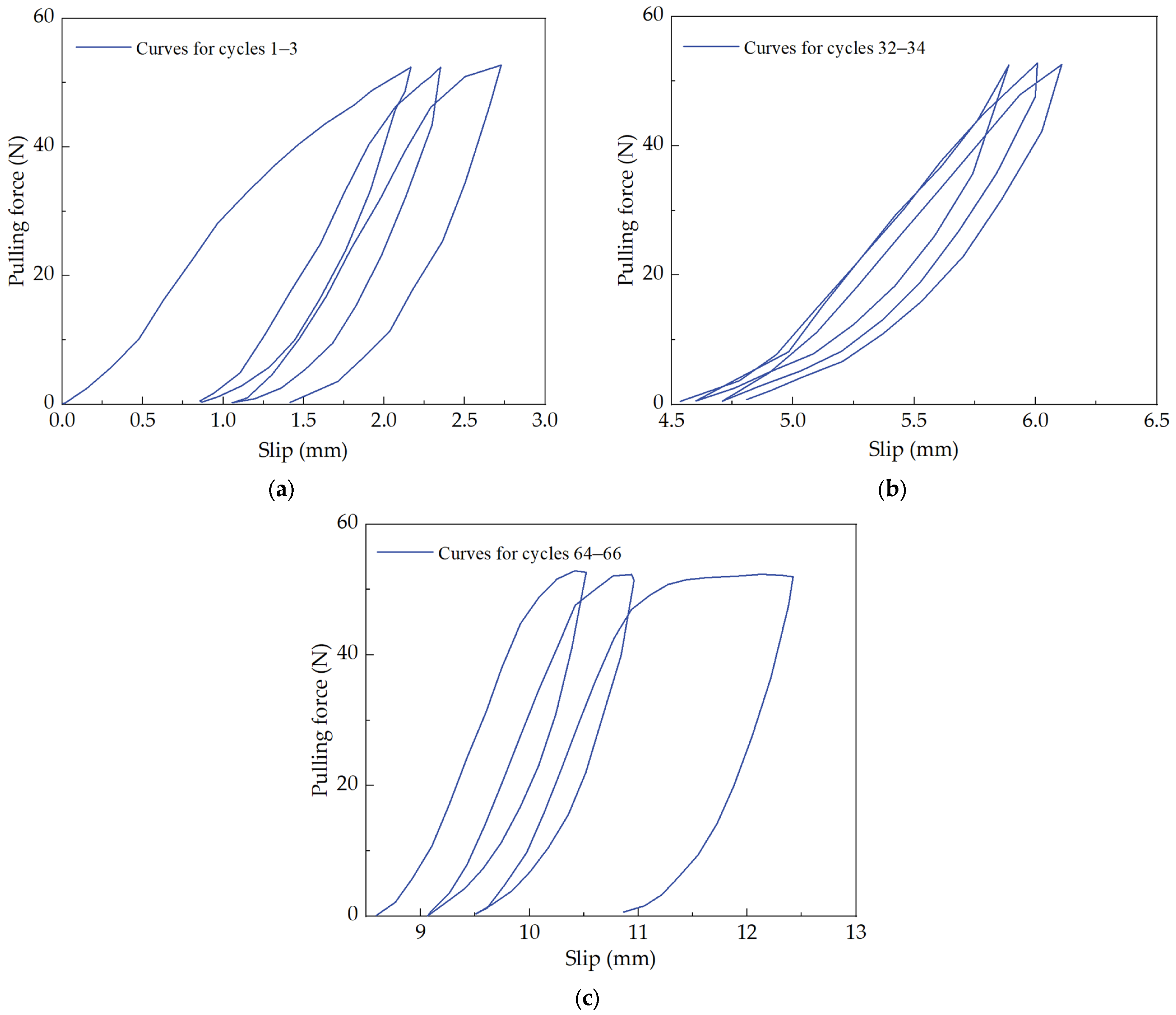
3.2. Evolution Characteristics of Root Pull-Out Force–Slip Curve under Cyclic Load
3.3. Trends in Cumulative Residual Slip at Different Loading Amplitudes
3.4. Comparison of Characteristic Slip under Different Load Amplitudes
3.5. Effects of Diameter, Moisture Content, and Burial Depth on the Friction Anchoring Performance of the Root–Soil Interface under Cyclic Loading
4. Discussion
5. Conclusions
- (1)
- During the cyclic loading process, the root system exhibits two failure modes, and the root pull-out force–slip curves exhibit different phase characteristics under different failure modes. The cyclic loading process is accompanied by the accumulation of bonding damage between the root system and soil interface, resulting in a maximum interface friction force after cyclic loading that is smaller than the maximum interface friction force during direct pull-out.
- (2)
- The hysteretic curve demonstrates varying evolutionary patterns under different cyclic loading magnitudes. As the amplitude of the cyclic load increases, more energy is dissipated, the residual slip becomes greater, and the damage to the root–soil interface intensifies.
- (3)
- The root reaches a relative ‘equilibrium state’ under a certain extent of cyclic load, wherein the cyclic load has less impact on anchoring capacity. However, this state is rapidly disrupted under high amplitudes.
- (4)
- Cyclic loading reduces the adhesion performance at the root–soil interface, resulting in a peak slip after cyclic loading that is less than the peak slip during direct pull-out. Under higher cyclic loads, a stronger nonlinear effect occurs due to high fatigue stress levels, resulting in a significant increase in residual slip.
- (5)
- Increases in soil moisture content, root burial depth, and diameter reduce the effect of cyclic loading on the anchoring capacity of the root system in the soil. With the increase in the amplitude of cyclic load, the anchoring ability of roots in soil is more significantly affected.
Author Contributions
Funding
Institutional Review Board Statement
Informed Consent Statement
Data Availability Statement
Conflicts of Interest
References
- Wang, M.; Liu, Q.; Pang, X. Evaluating ecological effects of roadside slope restoration techniques: A global meta-analysis. J. Environ. Manag. 2020, 281, 111867. [Google Scholar] [CrossRef] [PubMed]
- Bojie, F.; Yanxu, L.; Meadows, M.E. Ecological restoration for sustainable development in China. Natl. Sci. Rev. 2023, 10, nwad033. [Google Scholar]
- Capilleri, P.P.; Motta, E.; Raciti, E. Experimental Study on Native Plant Root Tensile Strength for Slope Stabilization. Procedia Eng. 2016, 158, 116–121. [Google Scholar] [CrossRef]
- Liang, T.; Bengough, A.G.; Knappett, J.A.; MuirWood, D.; Loades, K.W.; Hallett, P.; Boldrin, D.; Leung, A.K.; Meijer, G.J. Scaling of the reinforcement of soil slopes by living plants in a geotechnical centrifuge. Ecol. Eng. 2017, 109, 207–227. [Google Scholar] [CrossRef]
- Tang, C.; Zahid, H.; Yong, L.; Chen, Y.; Mingmin, L.; Zhigang, H. Fine root densities of grasses and perennial sugarcane sig-nificantly reduce stream channel erosion in southern China. J. Environ. Manag. 2022, 316, 115279. [Google Scholar]
- Centenaro, G.; Hudek, C.; Zanella, A.; Crivellaro, A. Root-soil physical and biotic interactions with a focus on tree root systems: A review. Appl. Soil Ecol. 2018, 123, 318–327. [Google Scholar] [CrossRef]
- Reubens, B.; Poesen, J.; Danjon, F.; Geudens, G.; Muys, B. The role of fine and coarse roots in shallow slope stability and soil erosion control with a focus on root system architecture: A review. Trees 2007, 21, 385–402. [Google Scholar] [CrossRef]
- Schwarz, M.; Rist, A.; Cohen, D.; Giadrossich, F.; Egorov, P.; Büttner, D.; Stolz, M.; Thormann, J.J. Root reinforcement of soils under compression. J. Geophys. Res. Earth Surf. 2015, 120, 2103–2120. [Google Scholar] [CrossRef]
- Yang, Q.; Zhang, C.; Liu, P.; Jiang, J. The Role of Root Morphology and Pulling Direction in Pullout Resistance of Alfalfa Roots. Front. Plant Sci. 2021, 12, 580825. [Google Scholar] [CrossRef] [PubMed]
- Mickovski, S.B.; Bengough, A.G.; Bransby, M.F.; Davies, M.C.R.; Sonnenberg, R. Material stiffness, branching pattern and soil matric potential affect the pullout resistance of model root systems. Eur. J. Soil Sci. 2007, 58, 1471–1481. [Google Scholar] [CrossRef]
- Fourcaud, T.; Ji, J.-N.; Zhang, Z.-Q.; Stokes, A. Understanding the impact of root morphology on overturning mechanisms: A modelling approach. Ann. Bot. 2008, 101, 1267–1280. [Google Scholar] [CrossRef] [PubMed]
- Ji, X.; Cong, X.; Dai, X.; Zhang, A.; Chen, L. Studying the mechanical properties of the soil-root interface using the pullout test method. J. Mt. Sci. 2018, 15, 882–893. [Google Scholar] [CrossRef]
- Waldron, L.J. The Shear Resistance of Root-Permeated Homogeneous and Stratified Soil. Soil Sci. Soc. Am. J. 1977, 41, 843–849. [Google Scholar] [CrossRef]
- Wu, T.H.; McKinnell, W.P., III; Swanston, D.N. Strength of tree roots and landslides on Prince of Wales Island, Alaska. Can. Ge-Otechnical J. 1979, 16, 19–33. [Google Scholar] [CrossRef]
- Pollen, N. Temporal and spatial variability in root reinforcement of streambanks: Accounting for soil shear strength and moisture. Catena 2007, 69, 197–205. [Google Scholar] [CrossRef]
- Thomas, R.E.; Pollen-Bankhead, N. Modeling root-reinforcement with a fiber-bundle model and Monte Carlo simulation. Ecol. Eng. 2010, 36, 47–61. [Google Scholar] [CrossRef]
- Schwarz, M.; Cohen, D.; Or, D. Root-soil mechanical interactions during pullout and failure of root bundles. J. Geophys. Res. Atmos. 2010, 115, F04035. [Google Scholar] [CrossRef]
- Schwarz, M.; Preti, F.; Giadrossich, F.; Lehmann, P.; Or, D. Quantifying the role of vegetation in slope stability: A case study in Tuscany (Italy). Ecol. Eng. 2010, 36, 285–291. [Google Scholar] [CrossRef]
- Schwarz, M.; Cohen, D.; Or, D. Pullout tests of root analogs and natural root bundles in soil: Experiments and modeling. J. Geophys. Res. Atmos. 2011, 116, F02007. [Google Scholar] [CrossRef]
- Schwarz, M.; Cohen, D.; Or, D. Spatial characterization of root reinforcement at stand scale: Theory and case study. Geomorphology 2012, 171–172, 190–200. [Google Scholar] [CrossRef]
- Ji, X.; Chen, L.; Zhang, A. Anchorage properties at the interface between soil and roots with branches. J. For. Res. 2016, 28, 83–93. [Google Scholar] [CrossRef]
- Ruan, S.; Tang, L.; Huang, T. The Pullout Mechanical Properties of Shrub Root Systems in a Typical Karst Area, Southwest China. Sustainability 2022, 14, 3297. [Google Scholar] [CrossRef]
- Cucchi, V.; Meredieu, C.; Stokes, A.; Berthier, S.; Bert, D.; Najar, M.; Denis, A.; Lastennet, R. Root anchorage of inner and edge trees in stands of Maritime pine (Pinus pinaster Ait.) growing in different podzolic soil conditions. Trees 2004, 18, 460–466. [Google Scholar] [CrossRef]
- Boldrin, D.; Leung, A.K.; Bengough, A.G. Root biomechanical properties during establishment of woody perennials. Ecol. Eng. 2017, 109, 196–206. [Google Scholar] [CrossRef]
- Giadrossich, F.; Schwarz, M.; Cohen, D.; Preti, F.; Or, D. Mechanical interactions between neighbouring roots during pullout tests. Plant Soil 2013, 367, 391–406. [Google Scholar] [CrossRef]
- Nicoll, B.C.; Gardiner, B.A.; Rayner, B.; Peace, A.J. Anchorage of coniferous trees in relation to species, soil type, and rooting depth. Can. J. For. Res. 2006, 36, 1871–1883. [Google Scholar] [CrossRef]
- Dupuy, L.; Fourcaud, T.; Stokes, A. A Numerical Investigation into the Influence of Soil Type and Root Architecture on Tree Anchorage. Plant Soil 2005, 278, 119–134. [Google Scholar] [CrossRef]
- Fan, C.; Lu, J.; Chen, H. The pullout resistance of plant roots in the field at different soil water conditions and root geometries. Catena 2021, 207, 105593. [Google Scholar] [CrossRef]
- Zhang, C.; Liu, Y.; Li, D.; Jiang, J. Influence of soil moisture content on pullout properties of Hippophae rhamnoides Linn. roots. J. Mt. Sci. 2020, 17, 2816–2826. [Google Scholar] [CrossRef]
- Ennos, A.R. The Anchorage of Leek Seedlings: The Effect of Root Length and Soil Strength. Ann. Bot. 1990, 65, 409–416. [Google Scholar] [CrossRef]
- Mickovski, S.B.; Bransby, M.F.; Bengough, A.G.; Davies, M.C.; Hallett, P.D. Resistance of simple plant root systems to uplift loads. Can. Geotech. J. 2010, 47, 78–95. [Google Scholar] [CrossRef]
- Su, L.; Hu, B.; Xie, Q.; Yu, F.; Zhang, C. Experimental and theoretical study of mechanical properties of root-soil interface for slope protection. J. Mt. Sci. 2020, 17, 2784–2795. [Google Scholar] [CrossRef]
- Ghani, M.A.; Stokes, A.; Fourcaud, T. The effect of root architecture and root loss through trenching on the anchorage of tropical urban trees (Eugenia grandis Wight). Trees 2008, 23, 197–209. [Google Scholar] [CrossRef]
- Hairiah, K.; Widianto, W.; Suprayogo, D.; Van Noordwijk, M. Tree Roots Anchoring and Binding Soil: Reducing Landslide Risk in Indonesian Agroforestry. Land 2020, 9, 256. [Google Scholar] [CrossRef]
- Edwards, A.D.; Yannopoulos, P.J. Local bond-stress–slip relationships under repeated loading. Mag. Concr. Res. 1979, 31, 109. [Google Scholar] [CrossRef]
- Yi, W.J.; Kunnath, S.K.; Sun, X.D.; Shi, C.J.; Tang, F.J. Fatigue Behavior of Reinforced Concrete Beams with Corroded Steel Reinforcement. ACI Struct. J. 2010, 107, 526–533. [Google Scholar]
- Lin, H.; Zhao, Y.; Ožbolt, J.; Hans-Wolf, R. The bond behavior between concrete and corroded steel bar under repeated loading. Eng. Struct. 2017, 140, 390–405. [Google Scholar] [CrossRef]
- Huang, Y.; Yi, W.; Hu, C. Corroded reinforced concrete beams under low-speed and low-cycle fatigue loads. Constr. Build. Mater. 2018, 186, 644–651. [Google Scholar] [CrossRef]















| Sn | ws (%) | ρs (g/cm3) | ρsd (g/cm3) | was (%) | ρas (g/cm3) |
|---|---|---|---|---|---|
| 1 | 14.13 | 1.79 | 1.57 | 13.86 | 1.58 |
| 2 | 12.92 | 1.82 | 1.61 | ||
| 3 | 13.85 | 1.73 | 1.58 | ||
| 4 | 14.67 | 1.77 | 1.54 |
| Tn | R (mm) | Ws (%) | Dm (mm) | Fm (N) | Sm (mm) | N |
|---|---|---|---|---|---|---|
| 1 | 50 | 13.85 | 1.67–9.85 | 82.878 ± 53.406 | 4.976 ± 3.486 | 10 |
| 2 | 100 | 13.85 | 1.88–9.93 | 154.987 ± 76.105 | 8.303 ± 3.364 | 10 |
| 3 | 150 | 13.85 | 1.13–8.57 | 132.858 ± 94.097 | 13.475 ± 6.725 | 27 |
| 4 | 150 | 13.85 | 1.54–9.45 | 190.578 ± 140.57 | 13.605 ± 9.957 | 30 |
| 5 | 150 | 13.85 | 1.26–9.89 | 183.404 ± 126.149 | 10.353 ± 3.919 | 20 |
| 6 | 150 | 11.85 | 1.66–9.57 | 202.599 ± 127.954 | 11.726 ± 5.164 | 10 |
| 7 | 150 | 13.85 | 1.42–9.50 | 233.108 ± 168.319 | 9.875 ± 5.752 | 10 |
| 8 | 150 | 15.85 | 1.54–9.51 | 214.874 ± 130.988 | 10.078 ± 4.473 | 10 |
| Gn | R (mm) | Ws (%) | CLA (%) | Ns | NDM | |
|---|---|---|---|---|---|---|
| Fm1 | Fm2 | |||||
| A | 50 | 13.85 | 25 | 6 | 6 | 0 |
| B | 50 | 4 | 4 | 0 | ||
| C | 100 | 13.85 | 25 | 4 | 4 | 0 |
| D | 50 | 5 | 5 | 0 | ||
| E | 150 | 13.85 | 25 | 9 | 9 | 0 |
| F | 50 | 6 | 6 | 0 | ||
| G | 75 | 6 | 0 | 6 | ||
| H | 150 | 13.85 | 25 | 9 | 9 | 0 |
| I | 50 | 9 | 9 | 0 | ||
| J | 75 | 9 | 0 | 9 | ||
| K | 150 | 13.85 | 75 | 10 | 2 | 8 |
| L | 150 | 11.85 | 25 | 5 | 5 | 0 |
| M | 50 | 5 | 5 | 0 | ||
| N | 13.85 | 25 | 4 | 4 | 0 | |
| O | 50 | 5 | 5 | 0 | ||
| P | 15.85 | 25 | 3 | 3 | 0 | |
| Q | 50 | 4 | 4 | 0 | ||
| S–C | Regression Equation | R2 | P |
|---|---|---|---|
| 11.85–25 | y = 0.728 + 0.019D | 0.937 | 0.05 |
| 11.85–50 | y = 0.715 + 0.018D | 0.783 | 0.05 |
| 13.85–25 | y = 0.802 + 0.012D | 0.919 | 0.05 |
| 13.85–50 | y = 0.769 + 0.016D | 0.977 | 0.05 |
| 15.85–25 | y = 0.833 + 0.014D | 0.691 | 0.05 |
| 15.85–50 | y = 0.822 + 0.015D | 0.647 | 0.05 |
| B–C | Regression Equation | R2 | P |
|---|---|---|---|
| 50–25 | y = 0.697 + 0.015D | 0.783 | 0.05 |
| 50–50 | y = 0.707 + 0.008D | 0.901 | 0.05 |
| 100–25 | y = 0.774 + 0.015D | 0.700 | 0.05 |
| 100–50 | y = 0.762 + 0.011D | 0.863 | 0.05 |
| 150–25 | y = 0.787 + 0.014D | 0.958 | 0.05 |
| 150–50 | y = 0.770 + 0.015D | 0.932 | 0.05 |
Disclaimer/Publisher’s Note: The statements, opinions and data contained in all publications are solely those of the individual author(s) and contributor(s) and not of MDPI and/or the editor(s). MDPI and/or the editor(s) disclaim responsibility for any injury to people or property resulting from any ideas, methods, instructions or products referred to in the content. |
© 2023 by the authors. Licensee MDPI, Basel, Switzerland. This article is an open access article distributed under the terms and conditions of the Creative Commons Attribution (CC BY) license (https://creativecommons.org/licenses/by/4.0/).
Share and Cite
Yang, S.; Ji, X.; Zhao, D.; Liu, S. Response of the Anchoring Performance at Betula platyphylla’s Root–Soil Interface to Cyclic Loading. Sustainability 2023, 15, 12791. https://doi.org/10.3390/su151712791
Yang S, Ji X, Zhao D, Liu S. Response of the Anchoring Performance at Betula platyphylla’s Root–Soil Interface to Cyclic Loading. Sustainability. 2023; 15(17):12791. https://doi.org/10.3390/su151712791
Chicago/Turabian StyleYang, Shihan, Xiaodong Ji, Donghui Zhao, and Shusen Liu. 2023. "Response of the Anchoring Performance at Betula platyphylla’s Root–Soil Interface to Cyclic Loading" Sustainability 15, no. 17: 12791. https://doi.org/10.3390/su151712791
APA StyleYang, S., Ji, X., Zhao, D., & Liu, S. (2023). Response of the Anchoring Performance at Betula platyphylla’s Root–Soil Interface to Cyclic Loading. Sustainability, 15(17), 12791. https://doi.org/10.3390/su151712791

