Abstract
In an effort to accelerate the advancement of green and low-carbon development, China introduced the extended producer responsibility (EPR) system in 2016, mandating producers to assume responsibility for waste recycling. Notably, power battery enterprises emerged as a primary focal point within the EPR system. Consequently, the interplay between this system and the green technological innovation of enterprises has a substantial impact on the sustainable development of power battery companies. To comprehensively explore this relationship, we conducted an empirical investigation utilizing a sample comprising listed power battery enterprises in China from 2010 to 2020. Employing the difference-in-difference (DID) model, this study aims to analyze the implications of the EPR system on green technological innovation within these enterprises. The results indicate that: (1) The EPR system significantly promotes green technological innovation in power battery enterprises, leading to an increase in the quantity of green invention patents and improvement in the quality of green patents. (2) The mechanism test reveals that the EPR system can stimulate green innovation in power battery enterprises by increasing government subsidies and raising executives’ environmental awareness. The future endeavors aimed at promoting green innovation in power battery enterprises should be concentrated on four key aspects: (1) Expanding and optimizing the implementation of the EPR system to encompass a broader spectrum of enterprises. (2) Developing precise subsidy mechanisms in conjunction with the EPR system to effectively offset recycling costs and provide incentives for fostering green innovation within power battery enterprises. (3) Encouraging proactive engagement of power battery enterprises in strategic self-reform to align with the EPR system requirements and formulate comprehensive green technology innovation strategies. (4) Enhancing the awareness of innovation among executives to accelerate the development and advancement of green products. By focusing on these four crucial dimensions, the promotion of green innovation in power battery enterprises can be strategically and efficiently pursued, thus contributing to the sustainable development of the sector.
1. Introduction
New Energy Vehicles (NEVs) have been identified as a strategic emerging industry in China and play a crucial role in addressing climate change and creating an environmentally friendly society [1]. With strong government support, China has been the world’s leading producer of NEVs since 2015, leading to a surge in power battery production. In 2021, China’s production volume of lead-acid batteries reached 216.5 [2] million kVAh, accounting for 42.0% of the global production. Additionally, the production volume of lithium power batteries reached 324 GWh, representing 63.8% [3] of global production.
However, due to the lack of core technologies, enterprises in China face challenges in meeting the highly integrated standards for power battery production. With the rapid development of NEVs, some enterprises may prioritize short-term profit by producing a large quantity of batteries using immature technologies. Consequently, these batteries may suffer from issues such as unstable quality, shorter service life, or even spontaneous combustion. Furthermore, as the raw materials such as lithium, nickel, cobalt, and manganese for power battery production are predominantly imported, the production scale-oriented approach and the incomplete recycling system can have adverse social and environmental impacts, leading to significant waste of heavy metals and environmental pollution [4]. These issues will be further exacerbated as a large number of power batteries reach the decommissioning stage. Additionally, the growing demand for rechargeable car batteries necessitates an increased focus on recycling efforts [5]. Therefore, it is crucial for enterprises to engage in green technological innovation to enhance energy storage capacity, energy conversion, and utilization efficiency [6].
The extended producer responsibility (EPR) system is an environmental protection mechanism that ensures the implementation of a circular economy among producers. Originally developed in Europe, the concept of EPR has been widely adopted in developed countries, where practical experience has been gained. In European Union (EU) countries, the EPR system requires producers to reduce the use of hazardous materials in vehicle production, thereby minimizing waste generation during the recycling process. This encourages producers to design vehicles that are more environmentally friendly and conducive to recycling [7]. Similarly, in Korea, the EPR system mandates producers to prioritize the recovery and recycling of waste products, while the government provides technical support to facilitate recycling efforts by producers [8].
In 2015, China introduced the “Technical Policy on the Recycling and Utilization of Power Batteries of Electric Vehicles” to promote the cascaded utilization and proper recycling of power batteries. However, the high cost associated with recycling power batteries and the inadequate technologies employed by disassembling enterprises may contribute to additional pollution. By assigning the responsibility of recycling waste products to producers, the EPR system compels enterprises to consider the environmental impact of their products and can stimulate green technological innovation within companies [9].
In 2016, China issued the “Extended Producer Responsibility Implementation Plan”, which set targets for the recycling of waste products, stating that the recycling rate of key varieties should reach 50% and the proportion of recycled raw materials used in key products should reach 20% by 2025. Enterprises involved in power battery production were assigned the responsibility of environmentally recycling waste products. To reduce recycling costs and eliminate pollution throughout the life cycle, these enterprises may engage in green technological innovation and improve the efficiency of raw material utilization, such as lithium, nickel, cobalt, and manganese [10]. This approach provides a new perspective on mitigating power battery pollution and optimizing the utilization of heavy metals from its roots.
The existing literature has investigated the impact of the EPR system on green innovation in the manufacturing industry. With the rapid development of NEVs, power batteries may lead to environmental pollution during the decommissioning process. However, there are few studies about the impact of the EPR system on green innovation in power battery enterprises. Therefore, this paper aims to investigate the influence of the EPR system on green technological innovation within power battery enterprises, focusing on both the quality and quantity of innovation.
Compared to existing research, our paper contributes in the following ways: Firstly, we construct a difference-in-differences (DID) model to rigorously justify the effect of the EPR system on the green technological innovation of power battery enterprises. Our findings indicate that the EPR system has significantly enhanced green technological innovation in power battery enterprises. Secondly, we investigate and validate the intermediary mechanisms through the perspectives of executives’ environmental awareness and government subsidies, providing new empirical insights for related studies.
The rest of the paper is organized as follows: Section 2 provides a theoretical background, hypotheses, and a literature review on the impact of the EPR system on the green technological innovation of power battery enterprises. Section 3 presents the data, variables, and models used. Section 4 presents the empirical results and robustness tests. Based on these results, we analyze the mechanisms underlying the effects of green technological innovation in power battery enterprises from two perspectives: the political view and the managerial view. Section 5 provides limitations and a discussion of future research consideration. Finally, Section 6 concludes the paper and provides policy implications.
2. Literature Review and Research Hypotheses
Previous studies have primarily focused on assessing the effectiveness of the EPR system. Aldieri et al. suggested that policy makers should stimulate the increase of R&D investment through institutional legislation to achieve ecological innovation and facilitate the transition towards a circular economy [11]. Gong discovered that the EPR system has standardized green production practices among enterprises [12]. Pani and Pathak observed that the EPR system in India reduces environmental pollution by holding producers accountable [13]. Mostaghimi and Behnamian found that the EPR directive significantly reduces the environmental impact of products by mandating manufacturers to recycle waste and restricting the use of hazardous materials [14]. Compagnoni reached a similar conclusion, suggesting that the EPR system enhances waste collection rates by requiring manufacturers to bear the costs associated with managing the end-of-life of their products [15]. Sun et al. found that the implementation of the EPR system in China effectively reduces the disposal of lithium batteries from NEVs [16]. Zan and Zhang demonstrated that manufacturers under the EPR system may choose the most cost-effective recycling channels to increase resource recovery rates [17].
However, the effectiveness of the EPR system is influenced by the presence of an imperfect legal system [18]. The implementation of the EPR system by producers depends on the existence of a reward and punishment mechanism [19]. When participation from sellers and users is insufficient, the EPR system may struggle to promote waste recovery and resource recycling [20]. Several scholars have argued that the relationship between environmental regulation and green technological innovation is non-linear [21].
2.1. The Impact of EPR on Enterprises’ Green Technological Innovation
The EPR system, by placing environmental responsibility on producers, internalizes the environmental costs associated with waste products during the production stage [22]. This pressure can drive green innovation among producers to alleviate the burden of environmental costs [23,24]. Under the influence of the EPR system, enterprises may engage in green technological innovation to reduce the environmental costs associated with their products [25,26]. Leclerc and Badami found that the EPR system had significant redistributive effects, as it could determine who receives compensation for waste management [27]. Luigi et al. observed that once an enterprise achieved a high growth rate, technological progress will be needed to enhance efficiency in the resource sector to manage pollutant emissions [28]. Shimada and Van Wassenhoveb discovered that the EPR system could lower recycling costs for producers and promote product innovation by encouraging the redesign of products and the use of environmentally friendly materials [29]. Yi et al. demonstrated that the EPR system could enhance market efficiency and eco-efficiency through competition among manufacturers, leading to resource conservation, waste pollution reduction, and incentivized eco-innovations [30]. Peng et al. observed that as government regulations and penalties increase, the likelihood of enterprises assuming extended responsibility also increases [31].
In comparison to government subsidies, the regulatory role of the EPR system may discourage low-difficulty and low-risk innovation activities in enterprises, prompting more investment in R&D for substantial technological innovation [32]. Huang et al. found that, under institutional constraints, producers tended to design and manufacture products focusing on ease of recycling [33]. Furthermore, the EPR system necessitates the refinement and reuse of raw materials from waste products, thereby stimulating green technological innovation within enterprises [34]. Based on the above analysis, our study proposes hypothesis H1a:
H1a.
The EPR system promotes green technological innovation in power battery enterprises.
However, an alternative perspective suggests that the EPR system may also impose limitations on green innovation in enterprises. Bush et al. argued that the EPR system could restrict the flexibility of enterprises and hinder innovation [35]. In the short term, enterprises with outdated technology and equipment may struggle to meet stringent policy requirements, thus impeding innovation [36]. In an imperfect legal system, the effective implementation of the EPR system becomes challenging, hampering innovation in enterprises [37]. In the long term, the EPR system may limit technological innovation by lacking incentives to surpass recycling targets [38]. Based on the above analysis, our study proposes hypothesis H1b:
H1b.
The EPR system hampers green technological innovation in power battery enterprises.
2.2. An Analysis of the Mechanism of EPR Affecting Enterprises’ Green Technological Innovation
2.2.1. Government Subsidies
The implementation of the EPR system places additional environmental responsibilities on producers, necessitating financial support from the government to compensate for the associated costs [39]. Government subsidies provided to enterprises can reduce the cost and risks associated with innovation, thereby increasing their willingness to engage in green innovation activities [40]. Furthermore, government financial support can foster the adoption of green development strategies and promote green technological innovation among producers [41]. The EPR system stimulates green technological innovation in manufacturing enterprises through an increase in government subsidies [42]. Brahmi et al. observed that green innovation is the major force affecting environmental sustainability, and green financial inclusion plays a crucial role [43]. Taking portable batteries and accumulators as examples, Mayanti and Helo found that the EPR system could close the loop strategy through recycling, suggesting designing a subsidy system to improve the EPR system [44]. Micheaux and Aggeri found that the EPR system promotes innovation in enterprises through mandatory financial support in France [45]. Feng and Wang discovered that government subsidies spur innovation in new energy enterprises by providing additional funding for research and development [46]. Liu et al. found that government recycling subsidies may promote enterprises’ environmental responsibility under the EPR system [47]. Wang and Wang discovered that, in addition to the EPR system, government subsidies also bring added supervision to enterprises, compelling them to engage in green innovation [48].
Furthermore, the EPR system can enhance consumers’ environmental awareness and foster public concern for products throughout their lifecycle [49]. When enterprises receive government subsidies, they are inclined to fully utilize the funds for green technological innovation to fulfill their environmental responsibility [50]. Based on the above analysis, this article proposes the following research hypothesis:
H2.
The EPR system promotes green technological innovation of enterprises through a government subsidy mechanism.
2.2.2. Executives’ Environmental Awareness
With forward-looking consciousness and environmental perception, executives play a crucial role in driving green innovation within enterprises [51]. The EPR system requires enterprises to disclose information about the environmental impacts of their products throughout their life cycle and hold them accountable for environmental issues, and socially responsible organizations may attract qualified employees more effectively, improving their image and organizational identification [52]. As a result, executives may internalize the pressure imposed by the EPR system and address environmental responsibilities through green innovation initiatives [53]. Executives with heightened environmental awareness are more likely to proactively meet environmental regulatory requirements and invest more efforts into green innovation activities [54]. Xi and Zhao further categorized executives’ environmental awareness into opportunity-based and responsibility-based awareness and found that both types of consciousness contribute to green technological innovation in the manufacturing industry [55]. Lin and Zhao observed that executives may enhance their environmental awareness under regulatory pressure and seek to build a favorable social reputation, thereby fostering green innovation [56]. Liu et al. found that executives in private enterprises show a high level of environmental consciousness, which is internalized in their strategies for green innovation [57]. Based on the above analysis, this article proposes the following research hypothesis:
H3.
The EPR system promotes green technological innovation of enterprises by enhancing executives’ environmental awareness.
3. Research Design
3.1. Sample Selection
In recent years, the decommissioning of NEV power batteries in China has highlighted the importance of effectively managing waste batteries for the sustainable development of the NEV industry. The “Extended Producer Responsibility Implementation Plan” implemented in China in 2016 includes power battery enterprises within the scope of the EPR system. Therefore, this paper selects power battery enterprises in China from 2010 to 2020 as the sample. Before the experiment, we used GPower 3.1 for power analysis. With an effect size of 0.5, a power of 0.8, and an α of 0.05, we calculated that a minimum of 64 samples were needed for the experimental and control groups, respectively. To form the experimental group, we refer to the “Industrial Standard Conditions for the Comprehensive Utilization of Waste and Used Power Batteries of New Energy Vehicles” issued in China from 2016 and 2020. From this list, we have identified 12 listed enterprises engaged in power battery production. As for the control group, we collected listed battery enterprises from the battery industry via the Tonghuashun financial website. In the control group, we excluded enterprises whose main business covers power batteries and lead batteries to make sure that the difference between the experimental group and the control group are affected by the policy. After this selection process, we obtained 12 listed battery enterprises as the control group. The data underwent the following processing steps: (1) excluding ST and *ST listed enterprises; (2) excluding enterprises with a significant number of missing variables. Eventually, we obtained a dataset comprising 224 annual observations for 24 listed battery enterprises.
The data used in our study are from various sources: (1) The green patent data were obtained from the State Intellectual Property Office (SIPO); (2) Other enterprise characteristic data were collected from China Stock Market and Accounting Research (CSMAR), the wind database, and the annual reports of the respective enterprises.
3.2. Model Setting
The DID model is a classic method in policy evaluation [58], and effectively mitigates the influence of factors other than intervention factors to provide a genuine assessment of intervention effects. Here, to test the impact of the EPR system on battery enterprises’ green technological innovation, we used the DID model to test [42]:
where is the enterprise, is the time, and is the index of green innovation, is the core variable. During the sample period, if enterprise is the pilot enterprise, then is 1, otherwise 0. When ≥ 2016, is 1, otherwise 0. is all control variables; and represent fixed and time effect; is a random perturbation term.
3.3. Variable Description
3.3.1. Explained Variable
Due to the inherent nature of the technological innovation process, directly measuring the level of technological innovation is challenging [59]. However, we can indirectly assess the level of green technological innovation by examining the quantity and quality of patents. In 2010, the World Intellectual Property Organization (WIPO) introduced the “International Patent Classification Green List”, including alternative energy production, transportation, energy conservation, waste management, and other related areas. Based on this green innovation standard, we manually collected and categorized the green patents of the sample enterprises. Green invention patents are typically more challenging to obtain, and they often reflect innovations related to resource conservation and clean production, providing a more tangible measure of the overall level of green technology innovation activities. Thus, we used the natural logarithm of the green invention patent applications plus one (LninvGpat) to measure the quantity of green technology innovation in enterprises [60].
The number of citations received by an enterprise’s green patent serves as an indicator of its importance in technological development or its significant breakthrough in technology [61]. Therefore, we utilized the natural logarithm of green patents cited plus one (LnPatcite) to capture the quality of green technological innovation in enterprises [62].
3.3.2. Explanatory Variable
The main explanatory variable in our analysis is the EPR system policy, represented by the interaction term treat × post [42]. We calculated this term by multiplying the treatment variable (treat) with the policy time variable (post). The treat × post variable is a binary variable that indicates whether the listed battery enterprises fall within the jurisdiction of the EPR system. The EPR system primarily focuses on the performance of power batteries, lead batteries, and NEVs, as outlined in the implementation plan. Therefore, we selected power battery enterprises as the treatment group, as they are directly affected by the inspections carried out under the EPR system. On the other hand, non-power battery enterprises are subject to fewer or no inspections and serve as a reasonable control group. When the power battery enterprises undergo inspection after the policy’s implementation, the treat × post variable takes a value of 1, and 0 otherwise.
3.3.3. Control Variable
In our empirical analysis, we accounted for various factors that can influence the innovation of battery enterprises by including several control variables. These variables are selected based on previous studies conducted by Li and Xing et al. [63,64]. We included a total of six control variables, namely:
- (1)
- Equity checks and balances (Balance): This variable measures the level of checks and balances within the equity structure of the enterprise. It reflects the distribution of ownership and control rights among shareholders and is expected to influence the innovation activities of the enterprise.
- (2)
- Net profit rate of total assets (ROA): This variable calculates the ratio of net profit to total assets and serves as an indicator of the firm’s profitability. It captures the financial performance of the enterprise and its potential impact on innovation.
- (3)
- Return on equity (ROE): This variable measures the profitability of the firm by calculating the ratio of net profit to shareholders’ equity. It provides insights into the firm’s ability to generate profits from its equity investments and its potential influence on innovation.
- (4)
- Listing age (Listage): This variable represents the number of years since the enterprise’s initial public offering (IPO). It captures the level of experience and maturity of the listed firm, which can affect its innovation activities.
- (5)
- Number of directors (Board): This variable counts the total number of directors serving on the board. It reflects the size and composition of the board, which can have implications for decision-making processes related to innovation.
- (6)
- Proportion of independent directors (Indep): This variable measures the proportion of independent directors on the board. Independent directors are not affiliated with the company and are expected to bring unbiased perspectives and expertise to the firm’s decision-making processes.
These control variables capture the time-specific factors and individual characteristics of the enterprises that could potentially influence innovation. For specific definitions and calculation formulas of these variables, please refer to Table 1.
Table 1.
Main variable types and calculation formulas.
4. Empirical Analysis
4.1. Test of Multicollinearity
To test the multicollinearity of the variable, we employed the variance inflation factor (VIF) for a multicollinearity test. Table 2 presents the result of the multicollinearity test. The VIF values of both explanatory and control variables in this study are below 3, indicating that these variables are not affected by multicollinearity.
Table 2.
Analysis of multicollinearity.
4.2. Descriptive Analysis
Table 3 presents the descriptive statistics of the sample enterprises for each variable, calculated using Stata 17. Regarding enterprises’ green innovation, the mean values of LninvGpat and LnPatcite in the treatment group are higher compared to the control group, and the difference between the two groups is statistically significant at the 1% level. This finding provides support for our hypothesis H1a. Regarding the control variables, the mean differences between the treatment group and the control group are relatively small, except for the Listage variable, where the experimental group exhibits a significantly higher value compared to the control group.
Table 3.
Descriptive analysis of variables.
4.3. Baseline Regression
Table 4 presents the baseline regression results of our study. In columns (1) and (3), the coefficients of LninvGpat are both positive and significant at the 5% level, while in column (2), the coefficient is positive and significant at the 1% level. It indicates that the EPR system effectively enhances the quantity of green technological innovation in enterprises. In columns (4) to (6), the coefficients of LnPatcite are positive and significant at the 1% level, demonstrating that the EPR system effectively improves the quality of green technology innovation in enterprises. These findings support our hypothesis H1a, suggesting that the EPR system positively influences the green technological innovation of power battery enterprises in both quantity and quality.
Table 4.
Baseline regression results.
Several explanations can be considered for these results. Firstly, the EPR system imposes recycling costs on power battery enterprises, which are accompanied by stringent recycling standards and a well-established recycling network. This may incentivize enterprises to engage in innovation activities to alleviate the long-term burden associated with recycling [67]. Secondly, the EPR system places responsibility on enterprises to bear the costs of recovery. As a result, enterprises may strive for compensation through green innovation, such as developing green products, implementing green processes, and advancing end-of-treatment technologies [68,69].
4.4. Robustness Tests
4.4.1. Parallel Trend Assumption
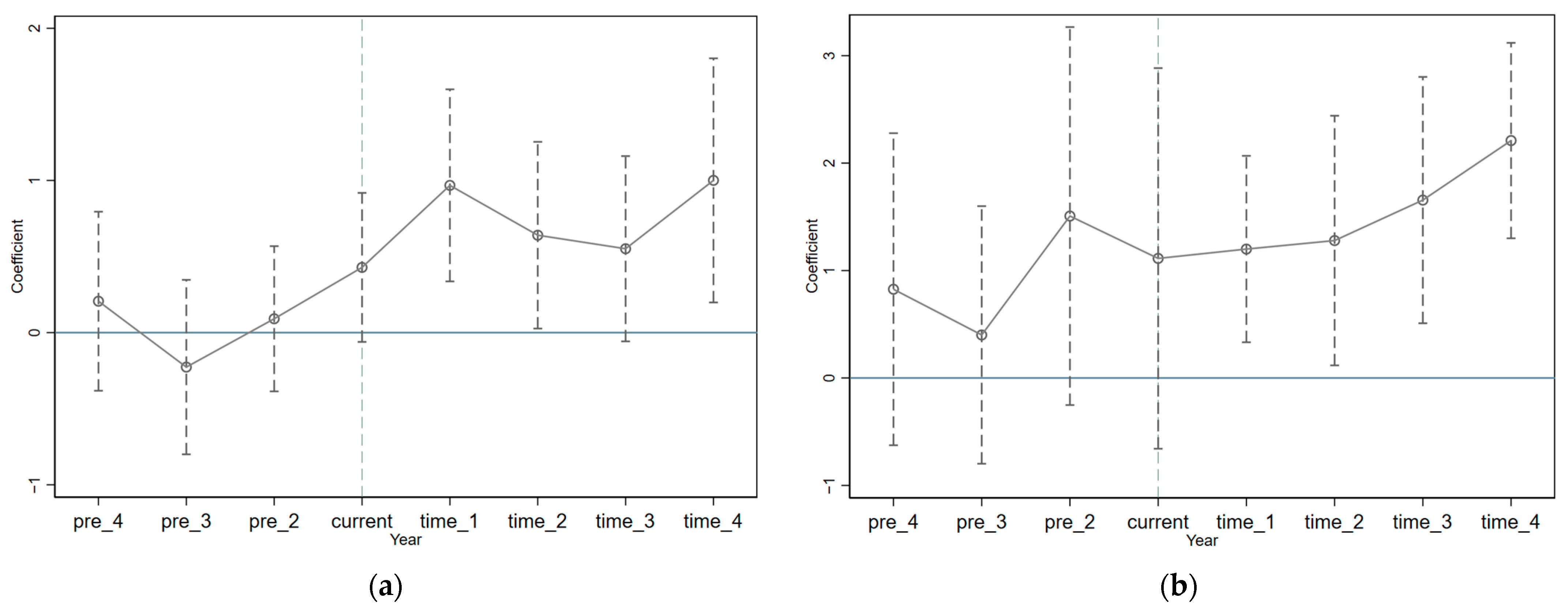
The parallel trend assumption is a prerequisite for employing the DID estimation method. Before conducting regression analysis, it is essential to examine the dynamic changes in the level of green technological innovation among battery enterprises before and following the exogenous policy shock of the EPR system. In our study, we expected that the innovation capabilities of power battery enterprises and ordinary battery enterprises would exhibit a similar trend until 2016 in the absence of the EPR system. From Figure 1, it can be observed that all the coefficients were statistically insignificant and included the baseline value of 0 during the initial three years of the policy, suggesting that power battery enterprises and ordinary battery enterprises demonstrated comparable development trends before the implementation of the EPR system. However, after 2016, a significant upward trend in green innovation is evident within the experimental group. In the current period of the implementation of the EPR system, the growth of green innovation among enterprises in the experimental group is positive, but it is statistically insignificant. As time progresses, both the quantity and quality of green technological innovation of enterprises in the experimental group show significant increases during the first, second, and forth periods following the implementation of the EPR system. These findings indicate that the EPR system has played a positive role in stimulating green technological innovation in battery enterprises and further reinforces the robustness of the baseline regression results.
Figure 1.
Parallel trend assumption. (a) Dynamic influence on the quantity of green innovations. (b) Dynamic influence on the quality of green innovations.
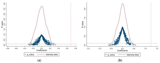
4.4.2. Placebo Test
To ensure the reliability of our findings and eliminate potential random factors, we conducted a bootstrap placebo test. In this test, we randomly generated experimental groups from the entire set of enterprises and performed regressions accordingly. To obtain more reliable results regarding the impact of the EPR system, we conducted 500 random samples [70]. Figure 2 presents the kernel density plots, illustrating the distribution of p-values obtained from the placebo test. It is evident that all the p-values follow a normal distribution and do not significantly deviate from zero. These findings further confirm the robustness of our conclusions.
Figure 2.
Placebo tests. (a) Placebo test of LninvGpat. (b) Placebo test of LnPatcite.
4.4.3. Analysis of Empirical Results
To ensure the robustness of our benchmark model conclusions, we conducted several additional tests, and the results are presented in Table 5.
Table 5.
Robustness test.
- (1)
- Replacement of explained variables. Following the approach of Wang et al. [71], we replaced the explained variables with the annual number of green utility patent applications (LnutyGpat) and the total number of green patent applications (LnGpat) for robustness testing. The results in columns (1) and (2) confirm that our previous conclusions remain valid, even after adjusting the explained variables.
- (2)
- Treat the explained variables with one period in advance. Recognizing that there may be a time lag in the relationship between the EPR system and green technological innovation of power battery enterprises due to the time required for filing green invention patent applications [72], we treated LninvGpat and LnPatCite with a one-period in advance. This method helps alleviate potential reverse causality between the EPR system and green technological innovation. In columns (3) and (4), the coefficients of treat × post are both significantly positive at the 5% level, indicating that our findings are not affected by endogeneity.
- (3)
- Shortened sample period. To balance the sample period before and after the implementation of the EPR system, we shortened the original sample period from 2010–2020 to 2012–2020. We re-ran the regression analysis using this shortened sample period to examine whether the model changed due to the reduction in sample years. The results in columns (5) and (6) indicate that the robustness of our findings remains unchanged.
- (4)
- Winsorization of control variables. To mitigate the potential impact of outliers on the regression results, we applied bilateral winsorization at 1% for all control variables [73]. The regression results for the control variables are presented in columns (7) and (8), and the coefficients of treat×post remain significantly positive. This consistency confirms that the EPR system has promoted green technological innovation in power battery enterprises, aligning with our previous conclusions.
- (5)
- Treat the core explained variables with a period lag for endogeneity test. To mitigate the endogeneity problem arising from two-way causality, we employed a one-stage lag of the explanatory variables to conduct the endogeneity test [74], and the results are shown in columns (9) and (10). The coefficient of treat×post with a one-stage lag is positively significant at the 5% and 1% levels, respectively, indicating that the EPR system will continue to foster the green technological innovation of power battery enterprises. These findings are consistent with the baseline regression results, indicating that the model is robust.
4.5. Analysis of Intermediary Mechanism
To account for the potential impact of the EPR system on enterprise innovation through mediating variables, we include government subsidies (Subsidy) and executives’ environmental awareness (Cognition) in our analysis. The EPR system imposes additional responsibilities on enterprises, which may strain their innovation funds due to increased environmental costs. To mitigate this, governments may provide financial support to enterprises. Therefore, we consider government subsidies as a mediating variable. To address the issue of large magnitude gaps and zero subsidies in some cases, we used the logarithm of total government subsidies plus one as our measure of government subsidies [75].
Moreover, corporate executives are inclined to engage in green innovation to enhance long-term competitiveness under mandatory environmental responsibilities [76]. Therefore, we selected executives’ environmental awareness as another mediating variable. Through the analysis of corporate annual reports and social responsibility reports, we identified eight indicators that may reflect executives’ environmental awareness (Cognition): energy conservation and emission reduction, environmental protection strategy, environmental protection concept, environmental management organization, environmental protection education, environmental protection training, environmental technology development, and environmental audit [66]. We assigned a value of 1 to each indicator if it appears, with a maximum possible score of 8.
To examine whether the EPR system influences enterprise innovation through government subsidies and executives’ environmental awareness, referring to Jiang [77], we constructed the following DID model:
where is the mediating variable, representing executives’ environmental awareness and government subsidies.
In Table 6, the coefficient of treat × post in column (1) is 10.5812, significant at the 1% level, and that in column (2) is 8.5607, significant at the 10% level. These results indicate that the EPR system attracts government subsidies, supporting our hypothesis H2. Governments often provide financial support to enterprises to offset the costs when implementing the EPR system. This support helps enterprises alleviate financing constraints and manage the risks involved in green innovation [78]. Additionally, under the EPR system, the government assumes a guiding role, and government subsidies can send positive signals to the public, showcasing enterprises’ competence in recycling waste power batteries [79]. This generates public pressure and expectations for enterprises to engage in green innovation. In response, enterprises develop energy-saving products and green technologies, thus fostering green technological innovation [80].
Table 6.
The mediating effects.
In columns (3) and (4), the coefficients of treat × post are significant at the 1% level, demonstrating that the EPR system promotes executives’ environmental awareness, which aligns with the findings of Zhou et al. [81]. These findings support our hypothesis H3. This can be explained by the fact that executives with higher environmental awareness are more responsive to the requirements of the EPR system and are more inclined to engage in green innovation to fulfill their environmental responsibilities [82]. Moreover, executives with higher environmental awareness are more likely to identify market opportunities for green products in advance and drive green innovation to gain a competitive advantage [83].
5. Discussion
Previous research has shown that the EPR system promotes green innovation in the manufacturing industry, while its impact on green technological innovation in power battery enterprises remains unexplored. Using the DID model, this study investigates the impact of the EPR system on the green technological innovation of power battery enterprises in China. Our study shows that the EPR system promotes green technological innovation in power battery enterprises. Since the EPR system imposes additional environmental costs, potentially placing strain on the innovation funds of enterprises, and enterprises’ executives tend to engage in green innovation activities under mandatory environmental responsibility, we further investigated the mediating effects of government subsidies and executives’ environmental awareness.
The results, presented in Table 7, provide a comprehensive overview of the hypotheses supported or not in this research. First, our findings indicate that the EPR system promotes the green technological innovation of power battery enterprises in terms of quantity and quality. These results align with the conclusions drawn by Zhao et al. [42] and provide support for hypothesis 1a. The EPR system imposes the responsibility on enterprises to tackle environmental pollution through external constraints, thereby aiding them in shifting away from the original cost-oriented production mode [84], which will guide enterprises towards attaining green technological innovation by enhancing pollution control technology, recycling methods, and more, thereby elevating the caliber of innovation. Second, we found that the EPR system can promote green technological innovation in power battery enterprises through government subsidies, which supported hypothesis 2. By providing financial support to enterprises, the government encourages them to allocate funds prudently for innovation, thereby reducing innovation risks and boosting enterprises’ enthusiasm for green technological innovation [85]. In addition, in the era of green consumption, consumers prioritize the environmental attributes of products. The EPR system will further promote enterprises to utilize subsidies for green innovation, aligning with the objectives of green and low-carbon development. Finally, the EPR system can promote green technological innovation in power battery enterprises by enhancing executives’ environmental awareness, which supports hypothesis 3 and aligns with Zhou et al. [81]. Since the strategic decision-making behavior of enterprises’ executives influences the direction of enterprise, and in the context where the EPR system emphasizes the environmental impact of the product life cycle, executives will carry out green technological innovation to internalize external pressure, thereby achieving green and sustainable development for enterprises [86].
Table 7.
Summary of results.
However, our study has limitations that should be acknowledged: (1) The relatively small sample size of listed power battery enterprises in China, coupled with the relatively late development stage of this industry, restricts the generalizability of our findings. Future research should include larger samples and encompass a broader range of power battery enterprises. (2) The measurement of green innovation in this study is limited to the number of patents and citations. To gain a more comprehensive understanding of green innovation, future research should consider incorporating additional dimensions such as market dynamics and technological advancements.
6. Conclusions and Implications
6.1. Conclusions
Ensuring the EPR system is vital for China to achieve green and low-carbon development. However, the existing evidence on whether the EPR system may effectively promote green technological innovation in power battery enterprises remains inconclusive. Therefore, using data from Chinese power battery enterprises from 2010 to 2020, this study examined the impact of the EPR system on the green technological innovation of power battery enterprises. Additionally, we investigated the mediating effects of government subsidies and executives’ environmental awareness through which the EPR system stimulates green technological innovation.
The empirical results show that the EPR system has significantly enhanced the green technological innovation of power battery enterprises, leading to an increase in the quantity of green invention patents and an improvement in the quality of green patents. Our findings remain robust, even after conducting various checks to ensure the validity of the results. Our research suggests that the EPR system may promote green technological innovation in power battery enterprises by increasing government subsidies and raising executives’ environmental awareness.
6.2. Implications
The implications of our study are as follows: (1) Continuous optimization and further promotion of the EPR system are recommended, with a focus on expanding its coverage to more enterprises. Additionally, the establishment of a supervision mechanism is crucial to ensure the effective functioning of the EPR system. (2) Precise subsidies should be designed in alignment with the EPR system to compensate for recycling costs and incentivize green innovation in power battery enterprises. (3) Power battery enterprises should proactively engage in strategic self-reform to adapt to the EPR system and develop green technology innovation strategies to gain a competitive advantage in the future. (4) Executives should enhance their awareness of innovation by actively participating in environmental training programs, thereby accelerating the development and upgrading of green products.
Author Contributions
Conceptualization, C.J.; data curation, C.J. and Y.Z.; formal analysis, C.J. and Y.Z.; writing—original draft, C.J. and Y.Z.; writing—review & editing, C.J. and Y.Z. All authors have read and agreed to the published version of the manuscript.
Funding
This research was funded by the Humanities and Social Science Fund of Ministry of Education of China (grant number 19YJA630029).
Institutional Review Board Statement
Not applicable.
Informed Consent Statement
Not applicable.
Data Availability Statement
The datasets generated during and analysed during the current study are available from the corresponding author on reasonable request.
Conflicts of Interest
The authors declare no conflict of interest.
References
- Austmann, L.M.; Vigne, S.A. Does environmental awareness fuel the electric vehicle market? A Twitter keyword analysis. Energy Econ. 2021, 101, 105337. [Google Scholar] [CrossRef]
- China Economic Market Research Center. Analysis of Leading Enterprises and Market Competition in Domestic Lead-Acid Battery Industry. Available online: https://www.sohu.com/a/546147328_372052 (accessed on 25 October 2022).
- China Automation Network. China’s Power Lithium Battery Production Has Accounted for 63.8% of the Global Total in 2021. Available online: http://ca800.com/news/d_1o3uo7n0m4rd5.html (accessed on 14 September 2022).
- Yu, W.H.; Guo, Y.; Shang, Z.; Zhang, Y.C.; Xu, S.M. A review on comprehensive recycling of spent power lithium-ion battery in China. eTransportation 2022, 11, 100155. [Google Scholar] [CrossRef]
- Etxandi-Santolaya, M.; Canals Casals, L.; Montes, T.; Corchero, C. Are electric vehicle batteries being underused? A review of current practices and sources of circularity. J. Environ. Manag. 2023, 338, 117814. [Google Scholar] [CrossRef] [PubMed]
- Zhao, Y. Analysis of energy storage technology in new energy power system. Electron. World 2020, 599, 134–135. [Google Scholar] [CrossRef]
- McKerlie, K.; Knight, N.; Thorpe, B. Advancing Extended Producer Responsibility in Canada. J. Clean. Prod. 2006, 14, 616–628. [Google Scholar] [CrossRef]
- Manomaivibool, P.; Hong, J.H. Two decades, three WEEE systems: How far did EPR evolve in Korea’s resource circulation policy? Resour. Conserv. Recycl. 2014, 83, 202–212. [Google Scholar] [CrossRef]
- Sun, S.S.; Chen, P.; Tang, S.J. Discussion on Waste Problem and Response to Extended Producer Responsibility. Ecol. Econ. 2007, 72–75. [Google Scholar] [CrossRef]
- Wang, J. Good governance path selection of lead-acid battery recycling industry. J. EMCC 2015, 25, 22–28. [Google Scholar] [CrossRef]
- Aldieri, L.; Brahmi, M.; Bruno, B.; Vinci, C.P. Circular Economy Business Models: The Complementarities with Sharing Economy and Eco-Innovations Investments. Sustainability 2021, 13, 12438. [Google Scholar] [CrossRef]
- Gong, Y.D. Research on Incentive Mechanism Innovation of “Internet + Recycling” Model. China Bus. Mark. 2019, 33, 65–75. [Google Scholar] [CrossRef]
- Pani, S.K.; Pathak, A.A. Managing plastic packaging waste in emerging economies: The case of EPR in India. J. Environ. Manag. 2021, 288, 112405. [Google Scholar] [CrossRef] [PubMed]
- Mostaghimi, K.; Behnamian, J. Waste minimization towards waste management and cleaner production strategies: A literature review. Environ. Dev. Sustain. 2022, 1–48. [Google Scholar] [CrossRef]
- Compagnoni, M. Is Extended Producer Responsibility living up to expectations? A systematic literature review focusing on electronic waste. J. Clean. Prod. 2022, 367, 133101. [Google Scholar] [CrossRef]
- Sun, S.Q.; Jin, C.X.; He, W.Z.; Li, G.; Zhu, H.; Huang, J. Management status of waste lithium-ion batteries in China and a complete closed-circuit recycling process. Sci. Total Environ. 2021, 776, 145913. [Google Scholar] [CrossRef]
- Zan, X.; Zhang, D.Y. Analysis on the Optimal Recycling Path of Chinese Lead-Acid Battery under the Extended Producer Responsibility System. Sustainability 2022, 14, 4950. [Google Scholar] [CrossRef]
- Wu, L.J.T.; Guo, S.W. The Impact of Extended Producer Responsibility System on China’s Own Brand Automobile Industry—An Empirical Research Based on Crowding-out Effect. J. Ind. Technol. Econ. 2017, 36, 71–77. [Google Scholar] [CrossRef]
- Liu, X.L.; Xie, F.J.; Wang, H.H.; Xue, C.J. The impact of policy mixes on new energy vehicle diffusion in China. Clean Technol. Environ. Policy 2021, 23, 1457–1474. [Google Scholar] [CrossRef]
- Campbell-Johnston, K.; Calisto Friant, M.; Thapa, K.; Lakerveld, D.; Vermeulen, W.J.V. How circular is your tyre: Experiences with extended producer responsibility from a circular economy perspective. J. Clean. Prod. 2020, 270, 122042. [Google Scholar] [CrossRef]
- Shang, L.N.; Tan, D.Q.; Feng, S.L.; Zhou, W.T. Environmental regulation, import trade, and green technology innovation. Environ. Sci. Pollut. Res. 2022, 29, 12864–12874. [Google Scholar] [CrossRef]
- Wang, G. Improving the Extensive Manufacturer Responsibility Regime in China. Mod. Law Sci. 2006, 28, 167–173. [Google Scholar]
- Li, X.Q.; Hu, Z.Y.; Zhang, Q. Environmental regulation, economic policy uncertainty, and green technology innovation. Clean Technol. Environ. Policy 2021, 23, 2975–2988. [Google Scholar] [CrossRef]
- Chen, X.Y.; He, H.J. Relationship between Carbon Emissions Trading and Stock Market of China: A Study Based on Nonlinear Granger Causality Test and Unbalanced Panel Model. Technol. Econ. 2021, 40, 36–46. [Google Scholar] [CrossRef]
- Ali, S.; Shirazi, F. The Paradigm of Circular Economy and an Effective Electronic Waste Management. Sustainability 2023, 15, 1998. [Google Scholar] [CrossRef]
- Zhong, T.Y.; Huang, Y.B.; Sun, F.C. Digital Inclusive Finance and Green Technology Innovation: Dividend or Gap. Financial Econ. Res. 2022, 37, 131–145. [Google Scholar]
- Leclerc, S.H.; Badami, M.G. Informal E-Waste Flows in Montréal: Implications for Extended Producer Responsibility and Circularity. Environ. Manag. 2023, 1–18. [Google Scholar] [CrossRef]
- Luigi, A.; Mohsen, B.; Xihui, C.; Concetto, P.V. Knowledge spillovers and technical efficiency for cleaner production: An economic analysis from agriculture innovation. J. Clean. Prod. 2021, 320, 128830. [Google Scholar] [CrossRef]
- Shimada, T.; Van Wassenhove, L.N. Closed-Loop supply chain activities in Japanese home appliance/personal computer manufacturers: A case study. Int. J. Prod. Econ. 2019, 212, 259–265. [Google Scholar] [CrossRef]
- Yi, Y.X.; Liu, S.Y.; Fu, C.Y.; Li, Y.Q. Joint tax-subsidy for a manufacturing-recycling system under further extended producer responsibility. Sustain. Prod. Consum. 2021, 28, 610–623. [Google Scholar] [CrossRef]
- Peng, B.H.; Wang, Y.Y.; Elahi, E.; Wei, G. Behavioral game and simulation analysis of extended producer responsibility system’s implementation under environmental regulations. Environ. Sci. Pollut. Res. 2019, 26, 17644–17654. [Google Scholar] [CrossRef] [PubMed]
- Chen, B.; Wang, W.L. Internet Development, Industrial Agglomeration Structure, and Green Innovation Efficiency. East China Econ. Manag. 2021, 35, 42–56. [Google Scholar] [CrossRef]
- Huang, X.M.; Atasu, A.; Toktay, L.B. Design Implications of Extended Producer Responsibility for Durable Products. Manag. Sci. 2019, 65, 2573–2590. [Google Scholar] [CrossRef]
- Winternitz, K.; Heggie, M.; Baird, J. Extended producer responsibility for waste tyres in the EU: Lessons learnt from three case studies—Belgium, Italy and the Netherlands. Waste Manag. 2019, 89, 386–396. [Google Scholar] [CrossRef]
- Bush, S.R.; Oosterveer, P.; Bailey, M.; Mol, A. Sustainability governance of chains and networks: A review and future outlook. J. Clean. Prod. 2015, 107, 8–19. [Google Scholar] [CrossRef]
- Li, L.; Tao, F. Selection of Optimal Environmental Regulation Intensity for Chinese Manufacturing Industry—Based on the Green TFP Perspective. China Ind. Econ. 2012, 5, 70–82. [Google Scholar] [CrossRef]
- Fei, Y.Y.; Ling, L. The Characteristics of American National Innovation Ecosystem and Its Enlightenment to China. Sci. Manag. Res. 2019, 37, 161–165. [Google Scholar] [CrossRef]
- Larrain, M.; Billen, P.; Van Passel, S. The effect of plastic packaging recycling policy interventions as a complement to extended producer responsibility schemes: A partial equilibrium model. Waste Manag. 2022, 153, 355–366. [Google Scholar] [CrossRef]
- Shen, B.X. Development and evolution Trend of Extended Producer Responsibility mechanism: Comparison of solid waste management laws in China, Germany and the European Union. J. CUPL 2021, 6, 76–93. [Google Scholar]
- Zhang, J. The Incentive Effect of Government Subsidies on Innovation of Chinese Enterprises—An Explanation Based on U-Shaped Relationship. Econ. Perspect. 2020, 6, 91–108. [Google Scholar]
- Zhong, M.R.; Huang, G.L.; He, R.F. The technological innovation efficiency of China’s lithium-ion battery listed enterprises: Evidence from a three-stage DEA model and micro-data. Energy 2022, 246, 12331. [Google Scholar] [CrossRef]
- Zhao, Y.Y.; Peng, B.H.; Elahi, E.; Wan, A. Does the extended producer responsibility system promote the green technological innovation of enterprises? An empirical study based on the difference-in-differences model. J. Clean. Prod. 2021, 319, 128631. [Google Scholar] [CrossRef]
- Brahmi, M.; Esposito, L.; Parziale, A.; Dhayal, K.S.; Agrawal, S.; Giri, A.K.; Loan, N.T. The Role of Greener Innovations in Promoting Financial Inclusion to Achieve Carbon Neutrality: An Integrative Review. Economies 2023, 11, 194. [Google Scholar] [CrossRef]
- Mayanti, B.; Helo, P. Circular economy through waste reverse logistics under extended producer responsibility in Finland. Waste Manag. Res. 2023, 1–15. [Google Scholar] [CrossRef] [PubMed]
- Micheaux, H.; Aggeri, F. Eco-modulation as a driver for eco-design: A dynamic view of the French collective EPR scheme. J. Clean. Prod. 2021, 289, 125714. [Google Scholar] [CrossRef]
- Feng, M.; Wang, Y. More Government Subsidies, More Innovation of New Energy Firms? Evidence from China. Sustainability 2023, 15, 8819. [Google Scholar] [CrossRef]
- Liu, L.; Liu, Z.; Yang, Y.; Shi, B.; Liu, X. Evolutionary Game Analysis of Abandoned-Bike-Sharing Recycling: Impact of Recycling Subsidy Policy. Sustainability 2023, 15, 8834. [Google Scholar] [CrossRef]
- Wang, X.; Wang, L. The Major Shareholders Unavoidable: A New Explanation for the Failure of Government Subsidies on Green Innovation. R D Manag. 2020, 32, 24–36. [Google Scholar] [CrossRef]
- Sun, J.H.; Xu, L.L.; Hu, J. The Influence of Informal Environmental Regulation on Enterprise Green Technology Innovation from the Perspective of Environmental Responsibility: A Mediated Regulation Model. Technol. Econ. 2021, 40, 10–22. [Google Scholar] [CrossRef]
- Zhang, D. Do heterogenous subsides work differently on environmental innovation? A mechanism exploration approach. Energy Econ. 2022, 114, 106233. [Google Scholar] [CrossRef]
- Zhang, J.D.; Zhang, Y.; Guo, W.; Yang, C. The Influence Mechanism of Top Management Vision on Enterprise Innovation Performances: An Exploratory Case Study. J. Manag. Case Stud. 2021, 14, 588–604. [Google Scholar]
- Shaikh, E.; Brahmi, M.; Thang, P.C.; Watto, W.A.; Trang, T.T.N.; Loan, N.T. Should I Stay or Should I Go? Explaining the Turnover Intentions with Corporate Social Responsibility (CSR), Organizational Identification and Organizational Commitment. Sustainability 2022, 14, 6030. [Google Scholar] [CrossRef]
- Wu, J.Z.; Fan, H.L. Corporate Green Innovation Driving Model Based on Configuration Perspective. R D Manag. 2021, 33, 41–53. [Google Scholar] [CrossRef]
- Bian, M.Y.; Yu, H.X. Influence of Suppliers’ Green Pressure on the Green Innovation Behavior of Transportation Enterprises. Technol. Econ. 2022, 41, 25–38. [Google Scholar] [CrossRef]
- Xi, L.S.; Zhao, H. Senior Executive Dual Environmental Cognition, Green Innovation and Enterprise Sustainable Development Performance. Econ. Manag. 2022, 44, 139–158. [Google Scholar] [CrossRef]
- Lin, D.; Zhao, Y. The Impact of Environmental Regulations on Enterprises’ Green Innovation: The Mediating Effect of Managers’ Environmental Awareness. Sustainability 2023, 15, 10906. [Google Scholar] [CrossRef]
- Liu, Y.; Liu, L.; Li, Y. Executive Hometown Identity and Green Innovation in Enterprises of Heavy Polluting Industries—A Dual Perspective Based on Conscious Motivation and Resource Access. Sustainability 2023, 15, 6398. [Google Scholar] [CrossRef]
- Song, H.; Sun, Y.J.; Chen, D.K. Assessment for the Effect of Government Air Pollution Control Policy: Empirical Evidence from “Low-carbon City” Construction in China. Manag. World. 2019, 35, 95–108. [Google Scholar] [CrossRef]
- Dziallas, M.; Blind, K. Innovation indicators throughout the innovation process: An extensive literature analysis. Technovation 2019, 80–81, 3–29. [Google Scholar] [CrossRef]
- Rao, S.Y.; Pan, Y.; He, J.N.; Shangguan, X.M. Digital finance and corporate green innovation: Quantity or quality? Environ. Sci. Pollut. Res. 2022, 29, 56772–56791. [Google Scholar] [CrossRef] [PubMed]
- Huang, Z.Q.; Qiao, Y.Z. Research on the influence factors on the examination period of high-profit patents based on examination efficiency. Sci. Res. Manag. 2023, 44, 133–141. [Google Scholar] [CrossRef]
- Fang, H.; Huo, Q.X. The Inverted U-Shaped Relationship Between Digital Services Trade Opening and Enterprise Innovation Quality: On the Mediation Effect of Technology Absorptive Capacity and Intellectual Property Protection. World Econ. Stud. 2023, 3–18. [Google Scholar] [CrossRef]
- Li, Y.Z. Management Ability, Executive Incentive and Enterprise Innovation Strategy Choice. J. Zhongnan Univ. Econ. Law 2022, 2, 41–51. [Google Scholar] [CrossRef]
- Xing, H.; Wang, F.; Gao, S.Y. Does Strategic Emerging Industry Policy Promote Substantial Innovation?—Based on the Perspective of Rent-seeking Theory. Ind. Econ. Rev. 2019, 10, 86–99. [Google Scholar] [CrossRef]
- Wang, F.Z.; Zhao, Y.X.; Xia, J.X. Heterogeneous environmental policies, executive risk preferences and green technology innovation—Empirical research based on China’s heavy polluting listed companies. Sci. Res. Manag. 2022, 43, 143–153. [Google Scholar] [CrossRef]
- Pan, A.E.; Guo, Q.S. Government Regulation and the Disclosure of Enterprise Environmental Information—Based on The Role of Environmental Protection Awareness of Executives. Soft Sci. 2018, 32, 84–87. [Google Scholar] [CrossRef]
- Ma, X.Q.; Wang, Y.J. Research on Recycling of Discarded Smart Phones in China. J. Beijing Jiaotong Univ. (Soc. Sci. Ed.) 2021, 20, 116–124. [Google Scholar] [CrossRef]
- Han, Q.L.; Liao, P.J. Environmental Regulation, Market Demand and Ecological Technology Innovation Based On An Empirical Analysis of 34 Industries. Sci. Technol. Manag. Res. 2018, 38, 246–254. [Google Scholar] [CrossRef]
- Li, Q.Y.; Xiao, Z.H. Heterogeneous Environmental Regulation Tools and Green Innovation Incentives: Evidence from Green Patents of Listed Companies. Econ. Res. J. 2020, 55, 192–208. [Google Scholar]
- Zhou, M.; Lu, Y.; Du, Y.; Yao, X. Special Economic Zones and Region Manufacturing Upgrading. China Ind. Econ. 2018, 3, 62–79. [Google Scholar] [CrossRef]
- Wang, X.; Zhang, X.N.; Niu, Y.W. “Data Driven” and “Capability Curse”: Strategic Paradox of Enterprise Digital Transformation Under the Guidance of Green Innovation Strategy Upgrade. R D Manag. 2022, 34, 51–65. [Google Scholar] [CrossRef]
- Xu, Y.; Tao, F.; Wei, D.M. Does the Qualification-certified Innovation Policy Promote the Quantity and Quality of Enterprise Innovation: Evidence from the National Enterprise Technology Center Recognition Policy. South China J. Econ. 2022, 41, 113–132. [Google Scholar] [CrossRef]
- Guo, F.; Yang, S.G.; Ren, Y. The Digital Economy, Green Technology Innovation and Carbon Emissions—Empirical Evidence from Chinese City-level Data. J. Shaanxi Norm. Univ. (Philos. Soc. Sci. Ed.) 2022, 51, 45–60. [Google Scholar] [CrossRef]
- Li, Z.Q.; Yu, S.L.; Qiao, G.M. Trade Policy Uncertainty, Corporate Cash Holdings Level and Debt Default Risk—Empirical Evidence from Shanghai and Shenzhen A-Share Listed Companies. J. Shanxi. Univ. Financ. Econ. 2023, 45, 115–126. [Google Scholar] [CrossRef]
- Wang, J.X.; Li, X.C.; Han, B. Research on Government Subsidies and Firm Survival in the Post-COVID-19 Epidemic Era. Econ. Probl. 2022, 11, 58–66. [Google Scholar] [CrossRef]
- Chen, Z.W.; Chen, D. How the Style of Top Managements’ Environmental Awareness Improves the Corporate Performance under the Context of Environmental Uncertainty of New and Old Kinetic Energy Conversion: The Mediating Role of Green Innovation. Sci. Manag. S. T. 2019, 40, 113–128. [Google Scholar]
- Jiang, T. Mediating Effects and Moderating Effects in Causal Inference. China Ind. Econ. 2022, 5, 100–120. [Google Scholar] [CrossRef]
- Li, X.A. Environmental Regulation, Government Subsidies and Regional Green Technology Innovation. Econ. Surv. 2021, 38, 14–23. [Google Scholar] [CrossRef]
- Ma, Y.Q.; Yang, D.; Gong, Y.L. Business Cycles, Government Support and Corporate Innovation. Account. Res. 2022, 49–64. [Google Scholar] [CrossRef]
- Zhang, B.C.; Zhao, S.K. Research on the impact of government subsidies on green innovation of enterprises—The moderating effect of political connection and environmental regulation. Sci. Res. Manag. 2022, 43, 154–162. [Google Scholar] [CrossRef]
- Zhou, M.; Govindan, K.; Xie, X.; Liang, Y. How to drive green innovation in China’s mining enterprises? Under the perspective of environmental legitimacy and green absorptive capacity. Resour. Policy 2021, 72, 102038. [Google Scholar] [CrossRef]
- Xu, J.Z.; Guan, J.; Lin, Y. Institutional Pressures, Top Managers’ Environmental Awareness and Environmental Innovation Practices: An Institutional Theory and Upper Echelons Theory Perspective. Manag. Rev. 2017, 29, 72–83. [Google Scholar] [CrossRef]
- Zeng, J.W.; Li, B.Z. Driving paths of enterprise green ambidextrous innovation from the configuration perspective. China Popul. Resour. Environ. 2022, 32, 151–161. [Google Scholar]
- Rubio, S.; Ramos, T.R.P.; Leitão, M.M.R.; Barbosa-Póvoa, A.P. Effectiveness of extended producer responsibility policies implementation: The case of portuguese and spanish packaging waste systems. J. Clean. Prod. 2018, 210, 217–230. [Google Scholar] [CrossRef]
- Zhao, X.M.; Bai, X.L. How to motivate the producers’ green innovation in WEEE recycling in China?—An analysis based on evolutionary game theory. Waste Manag. 2021, 122, 26–35. [Google Scholar] [CrossRef] [PubMed]
- Tan, Y.F.; Zhu, Z.H. The effect of ESG rating events on corporate green innovation in China: The mediating role of financial constraints and managers’ environmental awareness. Technol. Soc. 2022, 68, 101906. [Google Scholar] [CrossRef]
Disclaimer/Publisher’s Note: The statements, opinions and data contained in all publications are solely those of the individual author(s) and contributor(s) and not of MDPI and/or the editor(s). MDPI and/or the editor(s) disclaim responsibility for any injury to people or property resulting from any ideas, methods, instructions or products referred to in the content. |
© 2023 by the authors. Licensee MDPI, Basel, Switzerland. This article is an open access article distributed under the terms and conditions of the Creative Commons Attribution (CC BY) license (https://creativecommons.org/licenses/by/4.0/).

