Temporal–Spatial Variations and Convergence Analysis of Land Use Eco-Efficiency in the Urban Agglomerations of the Yellow River Basin in China
Abstract
1. Introduction
2. Analysis Framework
3. Materials and Methods
3.1. Sample Selection and Data Source
3.2. Methods
3.2.1. Super-EBM Model
3.2.2. The Dagum Gini Coefficient
3.2.3. The Kernel Density Estimation
3.2.4. Convergence Analysis
3.3. Indicator System
4. Results
4.1. Analysis of Measurement Results
4.1.1. Spatial Gap Analysis of LUEE in the YRB Urban Agglomeration
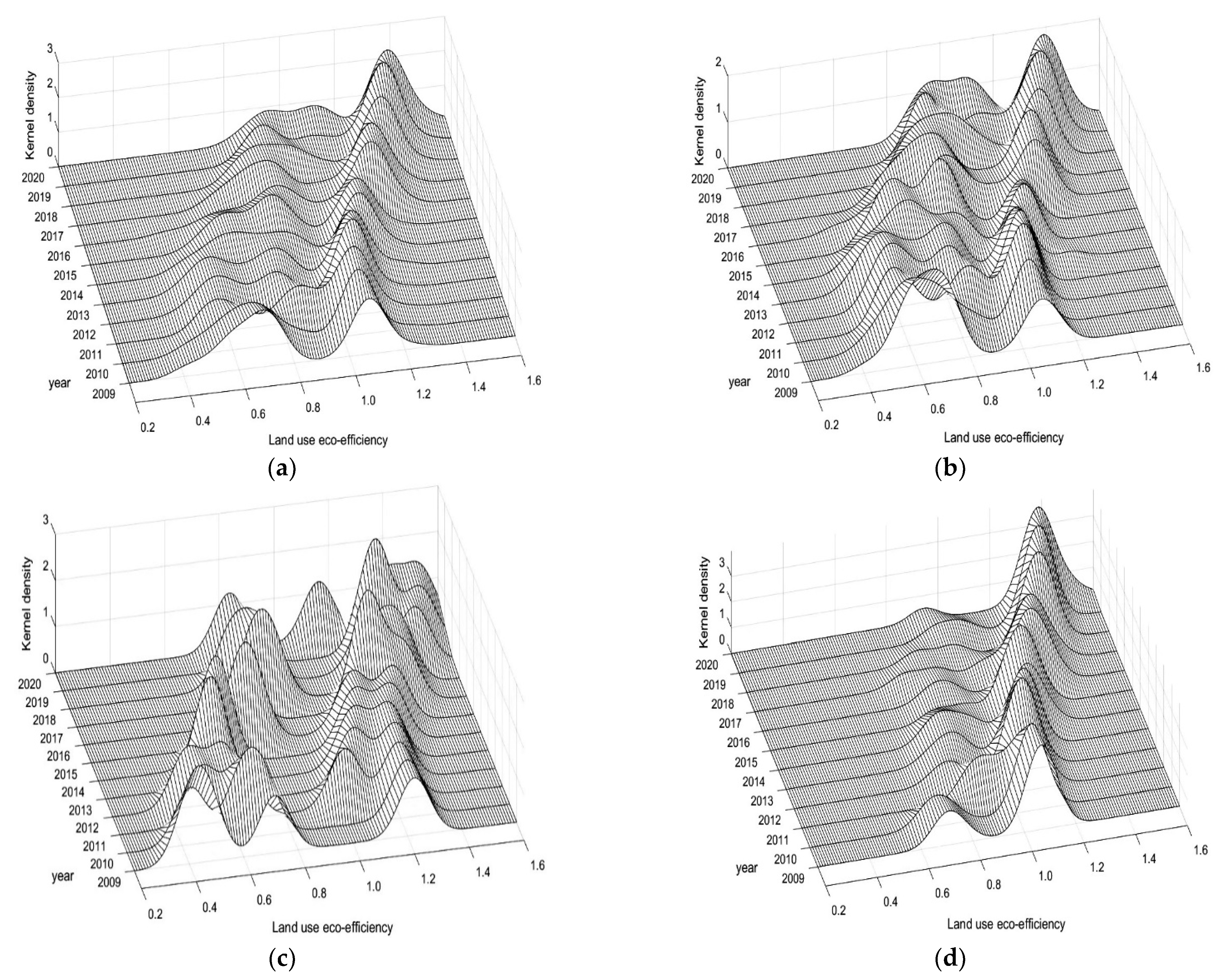
4.1.2. Kernel Density Analysis of LUEE in Urban Agglomerations in the YRB
4.2. Spatial Convergence Analysis
4.2.1. σ Convergence Analysis
4.2.2. 𝛽 Convergence Analysis
5. Discussion
5.1. Analysis of Spatio-Temporal Characteristics of LUEE in the YRB
5.2. Analysis of Spatial Convergence of LUEE in the YRB
5.3. Recommendations
6. Conclusions
6.1. Conclusions
6.2. Limitations
Author Contributions
Funding
Institutional Review Board Statement
Informed Consent Statement
Data Availability Statement
Acknowledgments
Conflicts of Interest
Appendix A
| Urban Agglomerations | City | No. of Cities |
|---|---|---|
| Central Plains | Zhengzhou, Luoyang, Kaifeng, Anyang, Nanyang, Shangqiu, Xinxiang Pingdingshan, Xuchang, Jiaozuo, Zhoukou, Xinyang, Zhumadian Handan, Heze, Hebi, Jincheng, Liaocheng, Luohe, Puyang, Sanmenxia, Suzhou Xingtai, Yuncheng, Changzhi, Bengbu, Haozhou, Fuyang, Huaibei | 29 |
| Lanxi | Baiyin, Dingxi, Lanzhou, Xining | 4 |
| Guanzhong Plain | Xianyang, Xi’an, Yuncheng, Shangluo, Baoji, Pingliang, Tongchuan, Linfen, Tianshui, Weinan | 10 |
| Shandong Peninsula | Qingdao, Dongying, Rizhao, Zibo, Jinan, Weifang, Yantai, Weihai | 8 |
| Hubao–Egyu | Huhho, Baotou, Erdos, Yulin | 4 |
Appendix B
References
- Zhao, Z.; Bai, Y.; Wang, G. Land eco-efficiency for new-type urbanization in the Beijing-Tianjin-Hebei Region. Technol. Forecast. Soc. 2018, 137, 19–26. [Google Scholar] [CrossRef]
- Yao, M.; Zhang, Y. Evaluation and optimization of urban land-use efficiency: A case study in Sichuan Province of China. Sustainability 2021, 13, 1771. [Google Scholar] [CrossRef]
- Song, C.; Liu, Q.; Song, J.; Jiang, Z.; Lu, Z.; Chen, Y. Land-use efficiency in the Yellow River Basin in the background of China’s economic transformation: Spatial-temporal characteristics and influencing factors. Land 2022, 11, 2306. [Google Scholar] [CrossRef]
- Xie, H.; Chen, Q.R.; Wang, W.; He, Y.F. Analyzing the green efficiency of arable land use in China. Technol. Forecast. Soc. 2018, 133, 15–28. [Google Scholar] [CrossRef]
- Zhang, R.; Lu, J. Spatial-temporal pattern and convergence characteristics of provincial urban land-use efficiency under environmental constraints in China. Int. J. Environ. Res. Public Health 2022, 19, 10729. [Google Scholar] [CrossRef]
- Zhu, X.; Li, Y.; Zhang, P.; Wei, Y.; Zheng, X.; Xie, L. Temporal–spatial characteristics of urban land-use efficiency of China’s 35mega cities based on DEA: Decomposing technology and scale efficiency. Land Use Policy 2019, 88, 104083. [Google Scholar] [CrossRef]
- Hukkinen, J. Eco-efficiency as abandonment of nature. Ecol. Econ. 2001, 38, 311–315. [Google Scholar] [CrossRef]
- Abbas, A.; Zhao, C.; Ullah, W.; Ahmad, R.; Waseem, M.; Zhu, J. Towards Sustainable Farm Production System: A Case Study of Corn Farming. Sustainability 2021, 13, 9243. [Google Scholar] [CrossRef]
- Kent, M.; Schiavon, S. Evaluation of the effect of landscape distance seen in window views on visual satisfaction. Build. Environ. 2020, 183, 107160. [Google Scholar] [CrossRef]
- Cheng, H.; Yu, T.; Zhang, H.; Duan, K.; Zhu, J. Dynamic Estimation of Urban Land-use efficiency and Sustainability Analysis in China. Sustainability 2022, 14, 13843. [Google Scholar] [CrossRef]
- Pang, Y.; Wang, X. Land-Use Efficiency in Shandong (China): Empirical Analysis Based on a Super-SBM Model. Sustainability 2020, 12, 10618. [Google Scholar] [CrossRef]
- Yang, B.; Wang, Z.Q.; Zou, L.; Zou, L.L.; Zhang, H.W. Exploring the eco-efficiency of cultivated land utilization and its influencing factors in China’s Yangtze River Economic Belt, 2001–2018. J. Environ. Manag. 2021, 294, 112939. [Google Scholar] [CrossRef]
- Wang, Y.; Li, B. The Spatial Disparities of Land-Use Efficiency in Mainland China from 2000 to 2015. Int. J. Environ. Res. Public Health 2022, 19, 9982. [Google Scholar] [CrossRef]
- Koroso, N.H. Urban land policy and urban land use efficiency: An analysis based on remote sensing and institutional credibility thesis. Land Use Policy 2023, 132, 106827. [Google Scholar] [CrossRef]
- Xu, N.; Zhao, D.; Zhang, W.; Zhang, H.; Chen, W.; Ji, M.; Liu, M. Innovation-Driven Development and Urban Land Low-Carbon Use Efficiency: A Policy Assessment from China. Land 2022, 11, 1634. [Google Scholar] [CrossRef]
- Liu, Z.; Zhang, L.; Rommel, J.; Feng, S. Do land markets improve land-use efficiency? evidence from Jiangsu, China. Appl. Econ. 2019, 52, 317–330. [Google Scholar] [CrossRef]
- Fu, Y.; Zhou, T.; Yao, Y.; Qiu, A.; Wei, F.; Liu, J.; Liu, T. Evaluating efficiency and order of urban land use structure: An empirical study of cities in Jiangsu, China. J. Clean. Prod. 2021, 283, 124638. [Google Scholar] [CrossRef]
- Liu, C.; Zhao, G. Convergence analysis of Chinese urban green land-use efficiency. Environ. Sci. Pollut. Res. 2022, 29, 89469–89484. [Google Scholar] [CrossRef]
- Gao, J.; Song, J.; Wu, L. A new methodology to measure the urban construction land-use efficiency based on the two-stage DEA model. Land Use Policy 2022, 112, 105799. [Google Scholar]
- Deng, X.; Gibson, J. Sustainable land use management for improving land eco-efficiency: A case study of Hebei, China. Ann. Oper. Res. 2018, 290, 265–277. [Google Scholar] [CrossRef]
- Xie, H.; Chen, Q.; Lu, F.; Wang, W.; Yao, G.; Yu, J. Spatial-temporal disparities and influencing factors of total-factor green use efficiency of industrial land in China. J. Clean. Prod. 2019, 207, 1047–1058. [Google Scholar] [CrossRef]
- Huang, J.; Xue, D. Study on Temporal and Spatial Variation Characteristics and Influencing Factors of Land-use efficiency in Xi’an, China. Sustainability 2019, 11, 103390. [Google Scholar] [CrossRef]
- Chen, Y.; Chen, Z.; Xu, G.; Tian, Z. Built-up land efficiency in urban China: Insights from the General Land Use Plan (2006–2020). Habitat Int. 2016, 51, 31–38. [Google Scholar] [CrossRef]
- Xie, H.; Wang, W. Spatiotemporal differences and convergence of urban industrial land use efficiency for China’s major economic zones. J. Geogr. Sci. 2015, 25, 1183–1198. [Google Scholar] [CrossRef]
- Jiang, H. Spatial-temporal differences of industrial land use efficiency and its influencing factors for China’s central region: Analyzed by SBM model. Environ. Technol. Innov. 2021, 22, 101489. [Google Scholar] [CrossRef]
- Xie, H.; Chen, Q.; Lu, F.; Wu, Q.; Wang, W. Spatial-temporal disparities, saving potential and influential factors of industrial land-use efficiency: A case study in urban agglomeration in the middle reaches of the Yangtze River. Land Use Policy 2018, 75, 518. [Google Scholar] [CrossRef]
- Zhou, H.; Wu, D.; Li, J.; Liang, J.; Zhang, D.; Chen, W. Cultivated land-use efficiency and its driving factors in the Yellow River Basin, China. Ecol. Indic. 2022, 144, 109411. [Google Scholar] [CrossRef]
- Xue, D.; Yue, L.; Ahmad, F.; Muhammad, D.; Chandio, A.; Ahmad, M.; Amin, W. Empirical investigation of urban land-use efficiency and influencing factors of the Yellow River basin Chinese cities. Land Use Policy 2022, 117, 106117. [Google Scholar] [CrossRef]
- Huang, Z.; He, C.; Zhu, S. Do China’s economic development zones improve land use efficiency? The effects of selection, factor accumulation and agglomeration. Landsc. Urban Plan. 2017, 162, 145–156. [Google Scholar] [CrossRef]
- Zhu, X.; Zhang, P.; Wei, Y.; Li., Y.; Zhao, H. Measuring the efficiency and driving factors of urban land use based on the DEA method and the PLS-SEM model-a case study of 35 large and medium-sized cities in China. Sustain. Cities Soc. 2019, 50, 101646. [Google Scholar] [CrossRef]
- Li, B.; Wang, Z.; Chai, J. Verifying the synthesized effects of intensive urban land use on quality of life, ecology, and urban-land-use scale in China. Land 2022, 11, 727. [Google Scholar] [CrossRef]
- Wang, Q.; Wang, Y.; Chen, W.; Zhou, X.; Zhao, M. Factors affecting industrial land use efficiency in China: Analysis from government and land market. Environ. Dev. Sustain. 2021, 23, 10973–10993. [Google Scholar] [CrossRef]
- Chang, J.; Wang, W.; Liu, J. Industrial upgrading and its influence on green land use efficiency. Sci. Rep. 2023, 13, 2813. [Google Scholar] [CrossRef] [PubMed]
- Berman, M.G.; John, J.; Kaplan, S. The cognitive benefits of interacting with nature. Psychol. Sci. 2008, 19, 1207–1212. [Google Scholar] [CrossRef]
- Liu, Y. Introduction to land use and rural sustainability in China. Land Use Policy 2018, 74, 1–4. [Google Scholar] [CrossRef]
- Elahi, E.; Khalid, Z.; Tauni, M.Z.; Zhang, H.; Lirong, X. Extreme weather events risk to crop-production and the adaptation of innovative management strategies to mitigate the risk: A retrospective survey of rural Punjab, Pakistan. Technovation 2022, 117, 102255. [Google Scholar] [CrossRef]
- Zhang, Y.; Wei, Y.; Zhang, J. Overpopulation and urban sustainable development-population carrying capacity in shanghai based on probability-satisfaction evaluation method. Environ. Dev. Sustain. 2020, 23, 3318–3337. [Google Scholar] [CrossRef]
- Bei, H.; Wu, C.; Feng, K. Regional disparity and dynamic evolution of land economic density-evidence from the Yangtze River Delta area. J. Nat. Res. 2009, 24, 1952–1961. [Google Scholar]
- Wu, Y.; Hui, E.C.M.; Zhao, P.; Long, H. Land use policy for urbanization in China. Habitat Int. 2018, 77, 40–42. [Google Scholar] [CrossRef]
- Liu, H.; Weng, Q. Landscape metrics for analysing urbanization-induced land use and land cover changes. Geocarto Int. 2013, 28, 582–593. [Google Scholar] [CrossRef]
- Gao, M.; Chen, B.; Xu, Y.; Li, D. Heterogeneous impacts of global land urbanization on land-use structure from economic and technological perspectives. Ecol. Indic. 2023, 147, 109955. [Google Scholar] [CrossRef]
- Long, X.; Ji, X.; Ulgiati, S. Is urbanization eco-friendly? An energy and land use cross-country analysis. Energy Policy 2017, 100, 387–396. [Google Scholar] [CrossRef]
- Zeng, P.; Wei, X.; Duan, Z. Coupling and coordination analysis in urban agglomerations of China: Urbanization and ecological security perspectives. J. Clean. Prod. 2022, 365, 132730. [Google Scholar] [CrossRef]
- Tsai, K.; Tung, C.; Deng, M.; Lin, Y. Identification of the relationship between urbanization and bird nest migration using buffer and similarity analyses. Sustain. Cities Soc. 2020, 62, 102426. [Google Scholar] [CrossRef]
- Gun, Z.; Hu, Y.; Zheng, X. Evaluating the effectiveness of land use master plans in built-up land management: A case study of the Jinan Municipality, Eastern China. Land Use Policy 2020, 91, 104369. [Google Scholar]
- Yue, L.; Miao, J.; Ahmad, F.; Draz, M.U.; Guan, H.; Chandio, A.A.; Abid, N. Investigating the role of international industrial transfer and technology spillovers on industrial land production efficiency: Fresh evidence based on Directional Distance Functions for Chinese provinces. J. Clean. Prod. 2022, 340, 130814. [Google Scholar] [CrossRef]
- Ahmad, M.; Zhao, Z.; Li, H. Revealing stylized empirical interactions among construction sector, urbanization, energy consumption, economic growth and CO2 emissions in China. Sci. Total Environ. 2019, 657, 1085–1098. [Google Scholar] [CrossRef]
- Peng, B.; Li, Y.; Elahi, E.; Wei, G. Dynamic evolution of ecological carrying capacity based on the ecological footprint theory: A case study of Jiangsu Province. Ecol. Indic. 2019, 99, 19–26. [Google Scholar] [CrossRef]
- Elahi, E.; Khalid, Z.; Zhang, Z. Understanding Farmers’ Intention and Willingness to Install Renewable Energy Technology: A Solution to Reduce the Environmental Emissions of Agriculture. Appl. Energy 2022, 309, 118459. [Google Scholar] [CrossRef]
- Liu, Y.; Gao, H.; Cai, J.; Lu, Y.; Fan, Z. Urbanization path, housing price and land finance: International experience and China’s facts. Land Use Policy 2022, 113, 105866. [Google Scholar] [CrossRef]
- Kuang, B.; Lu, X.; Zhou, M.; Chen, D. Provincial cultivated land-use efficiency in China: Empirical analysis based on the SBM-DEA model with carbon emissions considered. Technol. Forecast. Soc. 2020, 151, 119874. [Google Scholar] [CrossRef]
- Abbas, A.; Waseem, M.; Ahmad, R.; Khan, K.A.; Zhao, C.; Zhu, J. Sensitivity analysis of greenhouse gas emissions at farm level: Case study of grain and cash crops. Environ. Sci. Pollut. Res. 2022, 29, 82559–82573. [Google Scholar] [CrossRef] [PubMed]
- Song, W.; Pijanowski, B.C. The effects of China’s cultivated land balance program on potential land productivity at a national scale. Appl. Geogr. 2014, 46, 158–170. [Google Scholar] [CrossRef]
- Searchinger, T.D.; Wirsenius, S.; Beringer, T.; Dumas, P. Assessing the efficiency of changes in land use for mitigating climate change. Nature 2018, 564, 249–253. [Google Scholar] [CrossRef]
- UgliM, M.D. Economic evaluation of land in land fund diversification. Int. J. Fin. Account. Manag. 2020, 1, 167–172. [Google Scholar]
- Lyu, X.; Peng, W.; Yu, W.; Xin, Z.; Niu, S.; Qu, Y. Sustainable intensification to coordinate agricultural efficiency and environmental protection: A systematic review based on metrological visualization. J. Land Use Sci. 2021, 16, 313–338. [Google Scholar] [CrossRef]
- Wood, P. Urban Development and Knowledge-Intensive Business Services: Too Many Unanswered Questions? Growth Chang. 2006, 37, 335. [Google Scholar] [CrossRef]
- Sun, J.; Zhou, T. Urban shrinkage and eco-efficiency: The mediating effects of industry, innovation and land-use. Environ. Impact Asses. 2023, 98, 106921. [Google Scholar] [CrossRef]
- Feng, W.; Li, J. International technology spillovers and innovation quality: Evidence from China. Econ. Anal. Policy 2021, 72, 289–308. [Google Scholar] [CrossRef]
- Giordan, R.; Pluchinotta, I.; Pagano, A.; Scrieciu, A.; Nanu, F. Enhancing nature-based solutions acceptance through stakeholders’ engagement in co-benefits identification and trade-offs analysis. Sci. Total Environ. 2020, 713, 136552. [Google Scholar] [CrossRef]
- Ouyang, X.; Tang, L.; Wei, X.; Li, Y. Spatial interaction between urbanization and ecosystem services in Chinese urban agglomerations. Land Use Policy 2021, 109, 105587. [Google Scholar] [CrossRef]
- Pan, H.; Page, J.; Cong, C.; Barthel, S.; Kalantari, Z. How ecosystems services drive urban growth: Integrating nature-based solutions. Anthropocene 2021, 35, 100297. [Google Scholar] [CrossRef]
- Zhang, X.; Lu, X.; Chen, D.; Zhang, C.; Ge, K.; Kuang, B.; Liu, S. Is environmental regulation a blessing or a curse for China’s urban land-use efficiency? Evidence from a threshold effect model. Growth Change 2021, 52, 265–282. [Google Scholar] [CrossRef]
- Xie, X.; Fang, B.; Xu, H.; He, S.; Li, X. Study on the coordinated relationship between Urban Land-use efficiency and ecosystem health in China. Land Use Policy 2021, 102, 105235. [Google Scholar] [CrossRef]
- Ferreira, M.D.P.; Feres, J.G. Farm size and land-use efficiency in the Brazilian Amazon. Land Use Policy 2020, 99, 104901. [Google Scholar] [CrossRef]
- Tone, K.; Tsutsui, M. An epsilon-based measure of efficiency in DEA—A third pole of technical efficiency. Eur. J. Oper. Res. 2010, 207, 1554–1563. [Google Scholar] [CrossRef]
- Andersen, P.; Petersen, N.C. A Procedure for Ranking Efficient Units in Data Envelopment Analysis. Manag. Sci. 1993, 39, 1261–1264. [Google Scholar] [CrossRef]
- Dagum, C. A new approach to the decomposition of the Gini income inequality ratio. Empir. Econ. 1997, 22, 515–531. [Google Scholar] [CrossRef]
- Lv, C.; Bian, B.; Lee, C.; He, Z. Regional gap and the trend of green finance development in China. Energy Econ. 2021, 102, 105476. [Google Scholar] [CrossRef]
- Ma, T.; Liu, Y.; Yang, M. Spatial-Temporal Heterogeneity for Commercial Building Carbon Emissions in China: Based the Dagum Gini Coefficient. Sustainability 2022, 14, 5243. [Google Scholar] [CrossRef]
- Zhang, L.; Ma, X.; Ock, Y.S.; Qing, L. Research on Regional Differences and Influencing Factors of Chinese Industrial Green Technology Innovation Efficiency Based on Dagum Gini Coefficient Decomposition. Land 2022, 11, 122. [Google Scholar] [CrossRef]
- Wu, C.; Ye, X.; Ren, F.; Du, Q. Check-in behaviour and spatio-temporal vibrancy: An exploratory analysis in Shenzhen, China. Cities 2018, 77, 104–116. [Google Scholar] [CrossRef]
- Majdara, A.; Nooshabadi, S. Nonparametric Density Estimation Using Copula Transform, Bayesian Sequential Partitioning, and Diffusion-Based Kernel Estimator. IEEE Trans. Knowl. Data Eng. 2020, 32, 821–826. [Google Scholar] [CrossRef]
- Zhen, A.; Zhang, J.; Zhang, Z.; Zhao, j. Identifying the density of grassland fire points with kernel density estimation based on spatial distribution characteristics. Open Geosci. 2021, 13, 796–806. [Google Scholar]
- Wang, N.; Li, S.; Kang, Q.; Wang, Y. Exploring the land ecological security and its spatio-temporal changes in the Yangtze River Economic Belt of China, 2000–2020. Ecol. Indic. 2023, 154, 110645. [Google Scholar] [CrossRef]
- Feng, X.; Li, Y.; Yu, E.; Yang, J.; Wang, S.; Yuan, W. Spatiotemporal evolution pattern and simulation of the coupling of carbon productivity and land development in the Yangtze River Delta, China. Ecol. Inform. 2023, 77, 102186. [Google Scholar] [CrossRef]
- Zhou, Y.; Li, G.; Zhou, S.; Hu, D.; Zhang, S.; Kong, L. Spatio-temporal differences and convergence analysis of green development efficiency of marine economy in China. Ocean Coast. Manag. 2023, 238, 106560. [Google Scholar] [CrossRef]
- Ma, R. Empirical Analysis of Economic Growth Trend of Coastal Areas Based on Convergence Effect. J. Coast. Res. 2020, 103, 33–36. [Google Scholar] [CrossRef]
- Yang, X.; Fang, Z.; Yin, L.; Li, J.; Lu, S.; Zhao, Z. Revealing the relationship of human convergence-divergence dynamics and land use: A case study on Shenzhen city, China. Cities 2019, 95, 102384. [Google Scholar] [CrossRef]
- Abbassi, F.; Haq, M. A spatial econometric analysis of convergence in global environmental performance. Environ. Sci. Pollut. Res. 2022, 29, 37513–37526. [Google Scholar] [CrossRef]
- Tong, X. The Spatiotemporal Evolution Pattern and Influential Factor of Regional Carbon Emission Convergence in China. Adv. Meteorol. 2020, 1, 4361570. [Google Scholar] [CrossRef]
- Li, Z.; Li, D.; Yang, W.; Qi, X. The spatial-temporal evolution and spatial convergence of ecological total factor productivity in china. Energy Environ. 2022, 33, 617–639. [Google Scholar] [CrossRef]
- Gu, Y.; Qi, C.; Liu, F.; Lei, Q.; Ding, Y. Spatiotemporal Evolution and Spatial Convergence Analysis of Total Factor Productivity of Citrus in China. Agriculture 2023, 13, 1258. [Google Scholar] [CrossRef]
- Maciel, A.M.; Camara, G.; Vinhas, L.; Picoli, M.C.A.; Begotti, R.A.; Assis, L.F.F.G.D. A spatiotemporal calculus for reasoning about land-use trajectories. Int. J. Geogr. Inf. Sci. 2018, 33, 176–192. [Google Scholar] [CrossRef]
- Ge, K.; Zou, S.; Chen, D.; Lu, X.; Ke, S. Research on the Spatial Differences and Convergence Mechanism of Urban Land Use Efficiency under the Background of Regional Integration: A Case Study of the Yangtze River Economic Zone, China. Land 2021, 10, 1100. [Google Scholar] [CrossRef]
- Ning, J.; Liu, J.; Kuang, W.; Xu, X.; Ning, J. Spatiotemporal patterns and characteristics of land-use change in China during 2010–2015. J. Geogr. Sci. 2018, 28, 547–562. [Google Scholar] [CrossRef]
- Ruan, L.; He, T.; Xiao, W.; Chen, W.; Lu, D.; Liu, S. Measuring the coupling of built-up land intensity and use efficiency: An example of the Yangtze River Delta urban agglomeration. Sustain. Cities Soc. 2022, 87, 104224. [Google Scholar] [CrossRef]
- Sun, Y.H.; Yang, Z.Y.; Yu, X.Y.; Ding, W.W. Evaluating Sustainable Development of Land Resources in the Yangtze River Economic Belt of China. J. Glob. Inf. Manag. 2022, 30, 285585. [Google Scholar] [CrossRef]





| Data | Unit | Time Interval | Source |
|---|---|---|---|
| Land cover data | km2 | Year | http://www.stats.gov.cn/, accessed on 20 October 2022 |
| Demographic data | person | Year | http://www.stats.gov.cn/, accessed on 8 November 2022 |
| Energy input data | - | Year | https://www.epsnet.com/, accessed on 24 November 2022 |
| Industrial emissions | - | Year | https://www.epsnet.com/, accessed on 17 December 2022 |
| Economic data | CNY | Year | http://www.stats.gov.cn/, accessed on 9 January 2023 |
| Number of hospital beds | sheet | Year | https://www.epsnet.com/, accessed on 30 January 2023 |
| Number of cell phones | unit | Year | https://www.epsnet.com/, accessed on 7 February2023 |
| Elements | Primary Indicators | Secondary Indicators |
|---|---|---|
| Input indicators | Labor input | Ground average practitioners |
| Energy input | Total land average water supply; Local average total social electricity consumption | |
| Natural factor input | Built-up area | |
| Output indicators | Expected output | GDP per land |
| Per capita disposable income of urban residents | ||
| Unexpected output | Land average industrial wastewater discharge; Land average industrial soot emissions; Land average industrial SO2 emissions |
| Elements | Variable Name | Variable Representation |
|---|---|---|
| Explanatory variable | LUEE | Land use eco-efficiency |
| Control variable | utf | Road area per capita |
| psf | Number of hospital beds per 10,000 people | |
| pd | Population density | |
| tech | Number of cell phones per 10,000 people at the end of the year | |
| open | Ratio of actual foreign capital utilization to GDP | |
| gov | Ratio of general budget fiscal expenditure to GDP |
| Year | G | Intra-Regional Gini Coefficient | Gw | Gn | Gt | Contribution Rate | ||||||
|---|---|---|---|---|---|---|---|---|---|---|---|---|
| CP | LX | GP | SP | HE | Gw | Gn | Gt | |||||
| 2009 | 0.158 | 0.149 | 0.241 | 0.084 | 0.094 | 0.085 | 0.044 | 0.072 | 0.042 | 27.88 | 45.64 | 26.88 |
| 2010 | 0.152 | 0.154 | 0.207 | 0.086 | 0.100 | 0.110 | 0.046 | 0.057 | 0.049 | 30.55 | 37.37 | 32.08 |
| 2011 | 0.131 | 0.138 | 0.188 | 0.056 | 0.112 | 0.086 | 0.042 | 0.043 | 0.046 | 32.06 | 32.72 | 32.22 |
| 2012 | 0.138 | 0.143 | 0.204 | 0.054 | 0.102 | 0.068 | 0.042 | 0.057 | 0.039 | 30.50 | 41.28 | 28.22 |
| 2013 | 0.147 | 0.156 | 0.179 | 0.069 | 0.102 | 0.107 | 0.046 | 0.054 | 0.047 | 31.33 | 36.97 | 31.7 |
| 2014 | 0.140 | 0.145 | 0.168 | 0.082 | 0.109 | 0.085 | 0.044 | 0.053 | 0.043 | 31.07 | 38.00 | 30.94 |
| 2015 | 0.129 | 0.122 | 0.130 | 0.052 | 0.123 | 0.082 | 0.037 | 0.060 | 0.032 | 28.40 | 46.42 | 25.18 |
| 2016 | 0.121 | 0.133 | 0.096 | 0.063 | 0.111 | 0.068 | 0.040 | 0.044 | 0.037 | 33.15 | 36.11 | 30.74 |
| 2017 | 0.114 | 0.117 | 0.114 | 0.078 | 0.105 | 0.076 | 0.037 | 0.036 | 0.041 | 32.22 | 31.57 | 36.21 |
| 2018 | 0.103 | 0.102 | 0.136 | 0.060 | 0.080 | 0.088 | 0.032 | 0.033 | 0.038 | 31.12 | 31.95 | 36.93 |
| 2019 | 0.090 | 0.094 | 0.095 | 0.049 | 0.087 | 0.083 | 0.030 | 0.023 | 0.037 | 33.05 | 25.83 | 41.12 |
| 2020 | 0.094 | 0.092 | 0.118 | 0.044 | 0.109 | 0.083 | 0.030 | 0.023 | 0.042 | 31.37 | 24.42 | 44.21 |
| Year | Inter-Regional Gini Coefficient Gap | |||||||||
|---|---|---|---|---|---|---|---|---|---|---|
| CP-LX | CP-GP | CP-SP | CP-HE | LX-GP | LX-SP | LX-HE | GP-SP | GP-HE | SP-HE | |
| 2009 | 0.165 | 0.152 | 0.153 | 0.157 | 0.152 | 0.166 | 0.196 | 0.090 | 0.087 | 0.093 |
| 2010 | 0.163 | 0.147 | 0.151 | 0.159 | 0.141 | 0.155 | 0.185 | 0.093 | 0.098 | 0.108 |
| 2011 | 0.147 | 0.125 | 0.137 | 0.138 | 0.105 | 0.145 | 0.150 | 0.085 | 0.069 | 0.106 |
| 2012 | 0.154 | 0.134 | 0.142 | 0.146 | 0.109 | 0.145 | 0.152 | 0.080 | 0.063 | 0.096 |
| 2013 | 0.162 | 0.147 | 0.152 | 0.160 | 0.112 | 0.136 | 0.153 | 0.086 | 0.084 | 0.109 |
| 2014 | 0.151 | 0.140 | 0.145 | 0.146 | 0.116 | 0.136 | 0.138 | 0.096 | 0.084 | 0.103 |
| 2015 | 0.128 | 0.127 | 0.128 | 0.129 | 0.083 | 0.128 | 0.113 | 0.092 | 0.063 | 0.115 |
| 2016 | 0.134 | 0.125 | 0.132 | 0.130 | 0.074 | 0.109 | 0.086 | 0.087 | 0.066 | 0.101 |
| 2017 | 0.119 | 0.115 | 0.118 | 0.117 | 0.093 | 0.110 | 0.100 | 0.092 | 0.079 | 0.096 |
| 2018 | 0.108 | 0.100 | 0.101 | 0.105 | 0.090 | 0.105 | 0.119 | 0.071 | 0.069 | 0.085 |
| 2019 | 0.096 | 0.087 | 0.094 | 0.094 | 0.065 | 0.092 | 0.090 | 0.068 | 0.060 | 0.087 |
| 2020 | 0.097 | 0.087 | 0.097 | 0.093 | 0.071 | 0.114 | 0.105 | 0.080 | 0.057 | 0.103 |
| Models | (Robust) LM Test | |||
|---|---|---|---|---|
| LM Lag | Robust LM Lag | LM Error | Robust LM Error | |
| Absolute -convergence | 28.94 *** (4.674) | 3.54 * (1.860) | 26.99 *** (4.506) | 1.59 (1.324) |
| Conditional -convergence | 65.92 *** (5.781) | 68.66 *** (6.243) | 12.14 *** (3.911) | 14.89 *** (4.180) |
| OLS | SAR | |
|---|---|---|
| −0.075 ** (−2.01) | −0.064 (−1.38) | 0.410 *** (3.79) |
| Variable | The Yellow River Basin | |
|---|---|---|
| OLS | SAR | |
| −0.101 ** (−2.42) | −0.150 *** (−3.25) | |
| 0.120 *** (4.90) | 0.555 *** (12.25) | |
| −0.001 ** (−2.31) | −0.000 (−0.02) | |
| −0.123 ** (−2.07) | 0.003 (0.01) | |
| −0.037 (−1.60) | −0.247 *** (−6.43) | |
| 0.037 (1.59) | 0.062 (1.58) | |
| 0.112 ** (2.03) | 0.079 (1.17) | |
| - | 0.313 *** (3.489) | |
Disclaimer/Publisher’s Note: The statements, opinions and data contained in all publications are solely those of the individual author(s) and contributor(s) and not of MDPI and/or the editor(s). MDPI and/or the editor(s) disclaim responsibility for any injury to people or property resulting from any ideas, methods, instructions or products referred to in the content. |
© 2023 by the authors. Licensee MDPI, Basel, Switzerland. This article is an open access article distributed under the terms and conditions of the Creative Commons Attribution (CC BY) license (https://creativecommons.org/licenses/by/4.0/).
Share and Cite
Kong, F.; Zhang, K.; Fu, H.; Cui, L.; Li, Y.; Wang, T. Temporal–Spatial Variations and Convergence Analysis of Land Use Eco-Efficiency in the Urban Agglomerations of the Yellow River Basin in China. Sustainability 2023, 15, 12182. https://doi.org/10.3390/su151612182
Kong F, Zhang K, Fu H, Cui L, Li Y, Wang T. Temporal–Spatial Variations and Convergence Analysis of Land Use Eco-Efficiency in the Urban Agglomerations of the Yellow River Basin in China. Sustainability. 2023; 15(16):12182. https://doi.org/10.3390/su151612182
Chicago/Turabian StyleKong, Fanchao, Kaixiao Zhang, Hengshu Fu, Lina Cui, Yang Li, and Tengteng Wang. 2023. "Temporal–Spatial Variations and Convergence Analysis of Land Use Eco-Efficiency in the Urban Agglomerations of the Yellow River Basin in China" Sustainability 15, no. 16: 12182. https://doi.org/10.3390/su151612182
APA StyleKong, F., Zhang, K., Fu, H., Cui, L., Li, Y., & Wang, T. (2023). Temporal–Spatial Variations and Convergence Analysis of Land Use Eco-Efficiency in the Urban Agglomerations of the Yellow River Basin in China. Sustainability, 15(16), 12182. https://doi.org/10.3390/su151612182

