A Comparative Analysis of the Oral Bioaccessibility of Metals/Metalloids Determined Using the Unified Bioaccessibility Research Group of Europe Method and 0.07 M HCl Single Extraction Method
Abstract
1. Introduction
2. Materials and Methods
2.1. Certified Reference Materials
2.2. Determination of In Vitro Oral Bioaccessibility
2.2.1. Procedures of the UBM
2.2.2. Procedures of the 0.07 M HCl Single Extraction Method
2.3. Metal/Metalloid Analysis and Data Treatment
2.4. Statistical Analyses
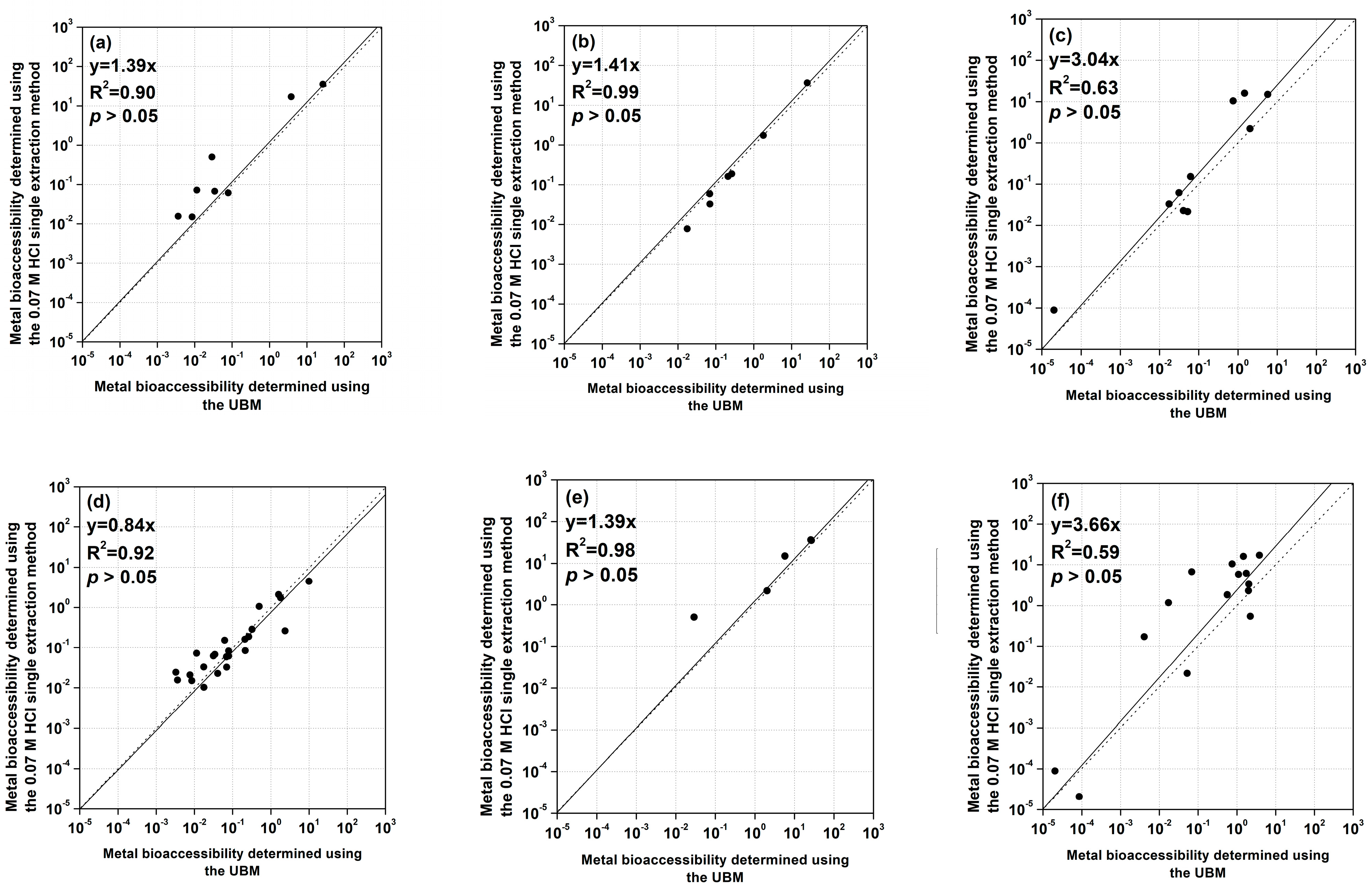
3. Results and Discussion
4. Conclusions
Author Contributions
Funding
Institutional Review Board Statement
Informed Consent Statement
Data Availability Statement
Conflicts of Interest
References
- Guney, M.; Nguyen, A.; Zagury, G.J. Estimating children’s exposure to toxic elements in contaminated toys and children’s jewelry via saliva mobilization. J. Environ. Sci. Health A 2014, 49, 1218–1227. [Google Scholar] [CrossRef] [PubMed]
- European Council. Directive 2009/48/EC of the European Parliament and of the Council of 18 June 2009 on the Safety of Toys; European Council: Brussels, Belgium, 2009. [Google Scholar]
- Cui, X.-Y.; Li, S.-W.; Zhang, S.-J.; Fan, Y.-Y.; Ma, L.Q. Toxic metals in children’s toys and jewelry: Coupling bioaccessibility with risk assessment. Environ. Pollut. 2015, 200, 77–84. [Google Scholar] [CrossRef] [PubMed]
- Turner, A. Heavy metals in the glass and enamels of consumer container bottles. Environ. Sci. Technol. 2019, 53, 8398–8404. [Google Scholar] [CrossRef] [PubMed]
- Zhao, D.; Juhasz, A.L.; Luo, J.; Li, H.-B.; Ma, L.Q. Metals in paints on chopsticks: Solubilization in simulated saliva, gastric, and food solutions and implication for human health. Environ. Res. 2018, 167, 299–306. [Google Scholar] [CrossRef] [PubMed]
- Cardoso, C.; Afonso, C.; Lourenco, H.; Costa, S.; Nunes, M.L. Bioaccessibility assessment methodologies and their consequences for the risk–benefit evaluation of food. Trends Food Sci. Technol. 2015, 41, 5–23. [Google Scholar] [CrossRef]
- Xia, Q.; Peng, C.; Lamb, D.; Mallavarapu, M.; Naidu, R.; Ng, J.C. Bioaccessibility of arsenic and cadmium assessed for in vitro bioaccessibility in spiked soils and their interaction during the unified barge method (UBM) extraction. Chemosphere 2016, 147, 444–450. [Google Scholar] [CrossRef]
- Rodriguez, R.R.; Basta, N.T.; Casteel, S.W.; Pace, L.W. An in-vitro gastro-intestinal method to assess bioavailable arsenic in contaminated soils and solid media. Environ. Sci. Technol. 1999, 33, 642–649. [Google Scholar] [CrossRef]
- Wragg, J.; Cave, M.; Nathanail, P. A study of the relationship between arsenic bioaccessibility and its solid-phase distribution in soils from Wellingborough, UK. J. Environ. Sci. Health A 2007, 42, 1303–1315. [Google Scholar] [CrossRef] [PubMed]
- USEPA. Estimation of Relative Bioavailability of Lead in Soil and Soil-Like Materials Using In Vivo and In Vitro Methods; 9285. 7-77; Office of Solid Waste and Emergency Response: Washington, DC, USA, 2007. [Google Scholar]
- ISO 17924; Soil Quality. Assessment of Human Exposure from Ingestion of Soil and Soil Material—Procedure for the Estimation of the Human Bioaccessibility/Bioavailability of Metals in Soil. International Standardization Organization: Geneva, Switzerland, 2018.
- DIN 19738:2004; Soil Quality—Absorption Availability of Organic and Inorganic Pollutants from Contaminated Soil Material. Deutsches Institut für Normung e.V (DIN): Berlin, Germany, 2004.
- EN71-3; Safety of Toys—Part 3: Migration of Certain Elements. International Standardization Organization: Geneva, Switzerland, 2019.
- EUR 19899 EN; Standard Operation Procedure for the Determination of Release of Di-Isononylphthalate (DINP) in Saliva Simulant from Toys and Childcare Articles Using a Head over Heels Dynamic Agitation Device. European Commission, DG-Joint Research Centre, Food Products Unit, Institute for Health and Consumer Protection: Ispra, Italy, 2001.
- Oomen, A.G.; Rompelberg, C.J.M.; Brandon, E.F.A.; Van de Kamp, E.; Duits, M.R.; Versantvoort, C.H.M.; van Engelen, J.G.M.; Sips, A.J.A.M. Consumer Product In Vitro Digestion Model: Bioaccessibility of Contaminants from Toys and Application in Risk Assessment; Report No. 320102004; National Institute for Public Health and the Environment: Bilthoven, The Netherlands, 2005. [Google Scholar]
- Armenta, S.; Garrigues, S.; de la Guardia, M. The role of green extraction techniques in Green Analytical Chemistry. Trends Analyt. Chem. 2015, 71, 2–8. [Google Scholar] [CrossRef]
- Pelfrêne, A.; Sahmer, K.; Waterlot, C.; Glorennec, P.; Douay, F.; Le Bot, B. Evaluation of single-extraction methods to estimate the oral bioaccessibility of metal(loid)s in soils. Sci. Total Environ. 2020, 727, 138553. [Google Scholar] [CrossRef] [PubMed]
- Li, S.-W.; Li, H.-B.; Naidu, R.; Ma, L.Q. Arsenic bioaccessibility in contaminated soils: Coupling in vitro assays with sequential and HNO3 extraction. J. Hazard. Mater. 2015, 295, 145–152. [Google Scholar] [CrossRef] [PubMed]
- Rodrigues, S.M.; Cruz, N.; Carvalho, L.; Duarte, A.C.; Pereira, E.; Boim, A.G.F.; Alleni, L.R.F.; Romkens, P.F.A.M. Evaluation of a single extraction test to estimate the human oral bioaccessibility of potentially toxic elements in soils: Towards more robust risk assessment. Sci. Total Environ. 2018, 635, 188–202. [Google Scholar] [CrossRef] [PubMed]
- National Institute of Environmental Research. Method for Determination of Exposure by Heavy Metals and Organic Solvents Contained in Children’s Products Established Rule; NIER No. 611; National Institute of Environmental Research: Incheon, Republic of Korea, 2014. [Google Scholar]
- Jiang, S.; Dai, G.; Liu, Z.; He, T.; Zhong, J.; Ma, Y.; Shu, Y. Field-scale fluorescence fingerprints of biochar-derived dissolved organic matter (DOM) provide an effective way to trace biochar migration and the downward co-migration of Pb, Cu and As in soil. Chemosphere 2022, 301, 134738. [Google Scholar] [CrossRef] [PubMed]
- Zhu, X.; Li, M.-Y.; Chen, X.-Q.; Wang, J.-Y.; Li, L.-Z.; Tu, C.; Luo, Y.-M.; Li, H.-B.; Ma, L.Q. As, Cd, and Pb relative bioavailability in contaminated soils: Coupling mouse bioassay with UBM assay. Environ. Int. 2019, 130, 104875. [Google Scholar] [CrossRef] [PubMed]
- Brandon, E.F.A.; Oomen, A.G.; Rompelberg, C.J.M.; Versantvoort, C.H.M.; van Engelen, J.G.M.; Sips, A.J.A.M. Consumer product in vitro digestion model: Bioaccessibility of contaminants and its application in risk assessment. Regul. Toxicol. Pharmacol. 2006, 44, 161–171. [Google Scholar] [CrossRef] [PubMed]
- Li, H.-B.; Li, M.-Y.; Zhao, D.; Li, J.; Li, S.-W.; Xiang, P.; Juhsaz, A.L.; Ma, L.Q. Arsenic, lead, and cadmium bioaccessibility in contaminated soils: Measurements and validations. Crit. Rev. Environ. Sci. Technol. 2020, 50, 843–853. [Google Scholar] [CrossRef]
- Grøn, C.; Andersen, L. Human Bioaccessibility of Heavy Metals and PAH from Soil; Environmental Project No. 840, Technology Programme for Soil and Groundwater Contamination; Danish Environmental Protection Agency: Copenhagen, Denmark, 2003. [Google Scholar]
- D’Ilio, S.; Violante, N.; Majorani, C.; Petrucci, F. Dynamic reaction cell ICP-MS for determination of total As, Cr, Se and V in complex matrices: Still a challenge? A review. Anal. Chim. Acta 2011, 689, 6–13. [Google Scholar] [CrossRef] [PubMed]
- Wragg, J.; Cave, M.; Basta, N.; Brandon, E.; Casteel, S.; Denys, S.; Gron, C.; Oomen, A.; Reimer, K.; Tack, K.; et al. An inter-laboratory trial of the unified BARGE bioaccessibility method for arsenic, cadmium and lead in soil. Sci. Total Environ. 2011, 409, 4016–4030. [Google Scholar] [CrossRef] [PubMed]
- Oomen, A.G.; Hack, A.; Minekus, M.; Zeijdner, E.; Cornelis, C.; Schoeters, G.; Verstraete, W.; Van de Wiele, T.; Wragg, J.; Rompelberg, C.J.M.; et al. Comparison of five in vitro digestion models to study the bioaccessibility of soil contaminants. Environ. Sci. Technol. 2002, 36, 3326–3334. [Google Scholar] [CrossRef] [PubMed]
- Li, J.; Li, K.; Cui, X.-Y.; Basta, N.T.; Li, L.-P.; Li, H.-B.; Ma, L.Q. In vitro bioaccessibility and in vivo relative bioavailability in 12 contaminated soils: Method comparison and method development. Sci. Total Environ. 2015, 532, 812–820. [Google Scholar] [CrossRef] [PubMed]



| CRM | Material a | Total Metal Concentration (mg/kg) | |||||||||||
|---|---|---|---|---|---|---|---|---|---|---|---|---|---|
| As | Ba | Cd | Cr | Cu | Ni | Pb | Sb | Se | Sn | Sr | Zn | ||
| JSM P 701-1 | PE | 187 ± 11.7 | - b | 114 ± 2.4 | 115 ± 3.8 | - | - | 111 ± 7.5 | - | - | - | - | - |
| CRM 113-01-013 | ABS | 132 ± 4.7 a | - | 14 ± 0.38 | 141 ± 3.2 | - | 147 ± 9.3 | 136 ± 3.6 | 152 ± 12 | - | - | - | - |
| JSAC 0602-3 | PET | - | - | 50 ± 05 | 113 ± 1.8 | - | - | 112 ± 1.4 | - | - | - | - | - |
| ERM EC680m | PE | 4.7 ± 0.4 | - | 21 ± 0.9 | 9.6 ± 0.5 | - | - | 11 ± 0.4 | 9.6 ± 0.7 | - | 21 ± 1.6 | - | 194 ± 12 |
| ERM EC681m | PE | 17 ± 1.2 | - | 146 ± 5 | 45 ± 1.9 | - | - | 70 ± 2.5 | 86 ± 7 | - | 99 ± 6 | - | 1170 ± 40 |
| SRM 2861 | PVC | 239 ± 5.1 | 740 ± 13 | 65 ± 3.6 | - | 50 ± 3.1 | - | 88 ± 4.7 | 68 ± 4 | 244 ± 3.2 | 1294 ± 10 | - | - |
| BAM S004 | Glass | - | - | - | 471 ± 25 | - | - | - | - | - | - | - | - |
| 110-05-paint-02 | Paint | - | - | 226 ± 4 | - | - | - | 944 ± 6 | - | - | - | - | - |
| CRM 013-50G | Paint | - | - | 38 ± 1.21 | 618 ± 12 | - | - | 643 ± 13 | - | - | - | - | - |
| SRM 856a | Aluminum | - | - | - | 600 ± 10 | 35,000 ± 400 | 3700 ± 100 | 1100 ± 100 | - | - | 1000 ± 100 | 180 ± 20 | 9600 ± 100 |
| SRM 872 | Phosphor bronze | - | - | - | - | 873,600 ± 200 | - | 41,300 ± 300 | - | - | 41,600 ± 500 | - | 40,000 ± 100 |
| SRM 875 | Cupronickel | - | - | 22 ± 5 | - | 878,300 ± 500 | 104,200 ± 300 | 92 ± 5 | <10 | 4 | 90 ± 30 | - | 1100 ± 100 |
| SRM 899 | Nickel alloy | - | - | - | - | - | - | 39,280 ± 890 | - | 93,600 ± 2400 | - | - | - |
| Digestive Fluid Ingredients | |||||
|---|---|---|---|---|---|
| Saliva | Gastric | Duodenal | Bile | ||
| Inorganic constituents (250 mL) | KCl | 448 mg | 412 mg | 282 mg | 188 mg |
| NaH2PO4 | 444 mg | 133 mg | |||
| KSCN | 100 mg | ||||
| Na2SO4 | 285 mg | ||||
| NaCl | 149 mg | 1376 mg | 3506 mg | 2630 mg | |
| CaCl2 | 200 mg | ||||
| NH4Cl | 153 mg | ||||
| NaHCO3 | 2803.5 mg | 2893 mg | |||
| KH2PO4 | 40 mg | ||||
| MgCl2 | 25 mg | ||||
| NaOH (1 M) | 0.9 mL | ||||
| HCl (37%) | 4.15 mL | 90 μL | 90 μL | ||
| Organic constituents (250 mL) | urea | 100 mg | 42.5 mg | 50 mg | 125 mg |
| glucose | 325 mg | ||||
| glucuronic acid | 10 mg | ||||
| glucosamine hydrochloride | 165 mg | ||||
| Enzymes a | α-amylase | 72.5 mg | |||
| mucin | 25 mg | 1500 mg | |||
| uric acid | 7.5 mg | ||||
| bovine serum albumin | 500 mg | 500 mg | 900 mg | ||
| pepsin | 500 mg | ||||
| CaCl2 | 100 mg | 111 mg | |||
| pancreatin | 1500 mg | ||||
| lipase | 250 mg | ||||
| bile salts (bovine) | 3000 mg | ||||
| pH b | 6.5 ± 0.5 | 1.1 ± 0.1 | 7.4 ± 0.2 | 8.0 ± 0.2 | |
| CRM | Material | Method | Bioaccessible Concentration (mg/kg) | |||||||||||
|---|---|---|---|---|---|---|---|---|---|---|---|---|---|---|
| As | Ba | Cd | Cr | Cu | Ni | Pb | Sb | Se | Sn | Sr | Zn | |||
| JSM P701-1 | PE | UBM | 0.03 ± a 0.01 | - b | 0.04 ± 0.001 | 2.06 ± 0.43 | - | - | 0.07 ± 0.001 | - | - | - | - | - |
| 0.07 M HCl | 0.02 ± 0.002 | - | 0.08 ± 0.009 | 2.00 ± 1.16 | - | - | 0.17 ± 0.03 | - | - | - | - | - | ||
| CRM 113-01-013 | ABS | UBM | 0.43 ± 0.04 | - | 0.01 ± 0.001 | 0.10 ± 0.01 | - | 0.07 ± 0.02 | 0.04 ± 0.004 | <0.003 | - | - | - | - |
| 0.07 M HCl | 0.38 ± 0.03 | - | <0.001 c | 0.08 ± 0.004 | - | <0.001 | 0.08 ± 0.01 | 0.01 ± 0.004 | - | - | - | - | ||
| JSAC 0602-3 | PET | UBM | - | - | 0.01 ± 0.002 | 0.08 ± 0.01 | - | - | 0.02 ± 0.001 | - | - | - | - | - |
| 0.07 M HCl | - | - | 0.04 ± 0.004 | 0.04 ± 0.03 | - | - | 0.04 ± 0.003 | - | - | - | - | - | ||
| ERM EC680m | PE | UBM | <0.001 | - | 0.002 ± 0.0003 | 0.03 ± 0.001 | - | - | <0.001 | 0.01 ± 0.002 | - | <0.007 | - | 4.59 ± 1.32 |
| 0.07 M HCl | 0.02 ± 0.001 | - | 0.003 ± 0.0004 | 0.02 ± 0.002 | - | - | 0.01 ± 0.001 | 0.01 ± 0.0004 | - | 0.07 ± 0.001 | - | 0.51 ± 0.03 | ||
| ERM EC681m | PE | UBM | <0.001 | - | 0.01 ± 0.002 | 0.09 ± 0.05 | - | - | <0.001 | 0.01 ± 0.0003 | - | <0.007 | - | <0.006 |
| 0.07 M HCl | 0.04 ± 0.003 | - | 0.02 ± 0.001 | 0.07 ± 0.002 | - | - | 0.05 ± 0.001 | 0.02 ± 0.0004 | - | 0.06 ± 0.004 | - | 0.53 ± 0.01 | ||
| SRM 2861 | PVC | UBM | 0.01 ± 0.01 | 11.9 ± 1.01 | 0.05 ± 0.03 | - | <0.013 | - | 0.04 ± 0.04 | 0.34 ± 0.05 | 0.52 ± 0.09 | 130 ± 7.06 | - | - |
| 0.07 M HCl | 0.06 ± 0.003 | 15.5 ± 0.44 | 0.04 ± 0.001 | - | 0.36 ± 0.04 | - | 0.02 ± 0.001 | 0.72 ± 0.08 | 0.20 ± 0.02 | 57.7 ± 3.13 | - | - | ||
| BRM S004 | Glass | UBM | - | - | - | 0.08 ± 0.01 | - | - | - | - | - | - | - | - |
| 0.07 M HCl | - | - | - | 0.04 ± 0.01 | - | - | - | - | - | - | - | - | ||
| 110-05-paint-02 | Paint | UBM | - | - | 0.07 ± 0.01 | - | - | - | 19.2 ± 2.89 | - | - | - | - | - |
| 0.07 M HCl | - | - | 1.14 ± 0.30 | - | - | - | 20.9 ± 5.96 | - | - | - | - | - | ||
| CRM 013-50G | Paint | UBM | - | - | 10.2 ± 0.90 | 161 ± 6.31 | - | - | 37.1 ± 2.47 | - | - | - | - | - |
| 0.07 M HCl | - | - | 13.5 ± 2.09 | 226 ± 39.8 | - | - | 96.0 ± 19.8 | - | - | - | - | - | ||
| SRM856a | Aluminum | UBM | - | - | - | <0.001 | <0.013 | 0.15 ± 0.05 | 0.58 ± 0.06 | - | - | <0.007 | 3.16 ± 0.92 | 6.60 ± 4.37 |
| 0.07 M HCl | - | - | - | 80.4 ± 1.54 | 48.9 ± 7.92 | 6.35 ± 0.25 | 0.24 ± 0.01 | - | - | 2.08 ± 0.34 | 11.0 ± 0.14 | 636 ± 23.2 | ||
| SRM 872 | Phosphor bronze | UBM | - | - | - | - | 4920 ± 81 | - | 610 ± 33 | - | - | 7.14 ± 0.37 | - | 440 ± 11.4 |
| 0.07 M HCl | - | - | - | - | 16,036 ± 1748 | - | 6617 ± 80.7 | - | - | 491 ± 100 | - | 2313 ± 97.4 | ||
| SRM 875 | Cupronickel | UBM | - | - | 0.84 ± 0.17 | - | 17,449 ± 220 | 2128 ± 23.5 | 0.69 ± 0.17 | - | 0.09 ± 0.01 | <0.007 | - | <0.006 |
| 0.07 M HCl | - | - | 3.76 ± 0.22 | - | 20,283 ± 1290 | 3484 ± 176 | 9.55 ± 0.37 | - | 0.02 ± 0.005 | 5.75 ± 1.50 | - | 79.8 ± 6.50 | ||
| SRM 899 | Nickel, Alloy | UBM | - | - | - | - | - | - | 0.01 ± 0.002 | - | 0.08 ± 0.03 | - | - | - |
| 0.07 M HCl | - | - | - | - | - | - | 0.03 ± 0.003 | - | 0.02 ± 0.003 | - | - | - | ||
| CRMs | Material | Methods | Bioaccessibility (%) | |||||||||||
|---|---|---|---|---|---|---|---|---|---|---|---|---|---|---|
| As | Ba | Cd | Cr | Cu | Ni | Pb | Sb | Se | Sn | Sr | Zn | |||
| JSM P701-1 | PE | UBM | 0.02 | - a | 0.03 | 1.80 | - | - | 0.06 | - | - | - | - | - |
| 0.07 M HCl | 0.01 | - | 0.07 | 1.74 | - | - | 0.15 | - | - | - | - | - | ||
| CRM 113-01-013 | ABS | UBM | 0.32 | - | 0.10 | 0.07 | - | 0.05 | 0.03 | <0.001 | - | - | - | - |
| 0.07 M HCl | 0.29 | - | <0.004 b | 0.06 | - | <0.0003 | 0.06 | 0.005 | - | - | - | - | ||
| JSAC 0602-3 | PET | UBM | - | - | 0.01 | 0.07 | - | - | 0.02 | - | - | - | - | - |
| 0.07 M HCl | - | - | 0.07 | 0.03 | - | - | 0.03 | - | - | - | - | - | ||
| ERM EC680m | PE | UBM | <0.021 | - | 0.01 | 0.26 | - | - | <0.01 | 0.08 | - | <0.005 | - | 2.36 |
| 0.07 M HCl | 0.37 | - | 0.02 | 0.19 | - | - | 0.06 | 0.08 | - | 0.32 | - | 0.26 | ||
| ERM EC681m | PE | UBM | <0.006 | - | 0.004 | 0.21 | - | - | <0.001 | 0.01 | - | <0.001 | - | <0.0001 |
| 0.07 M HCl | 0.23 | - | 0.02 | 0.16 | - | - | 0.07 | 0.02 | - | 0.06 | - | 0.05 | ||
| SRM 2861 | PVC | UBM | 0.003 | 1.61 | 0.08 | - | <0.002 | - | 0.04 | 0.50 | 0.21 | 10.0 | - | - |
| 0.07 M HCl | 0.02 | 2.09 | 0.06 | - | 0.72 | - | 0.02 | 1.07 | 0.08 | 4.46 | - | - | ||
| BRM S004 | Glass | UBM | - | - | - | 0.02 | - | - | - | - | - | - | - | - |
| 0.07 M HCl | - | - | - | 0.01 | - | - | - | - | - | - | - | - | ||
| 110-05-paint-02 | Paint | UBM | - | - | 0.03 | - | - | - | 2.03 | - | - | - | - | - |
| 0.07 M HCl | - | - | 0.50 | - | - | - | 2.22 | - | - | - | - | - | ||
| CRM 013-50G | Paint | UBM | - | - | 26.9 | 26.0 | - | - | 5.77 | - | - | - | - | - |
| 0.07 M HCl | - | - | 35.6 | 36.6 | - | - | 14.9 | - | - | - | - | - | ||
| SRM 856a | Aluminum | UBM | - | - | - | <0.0002 | <0.000003 | 0.004 | 0.05 | - | - | <0.0001 | 1.76 | 0.07 |
| 0.07 M HCl | - | - | - | 13.4 | 0.14 | 0.17 | 0.02 | - | - | 0.21 | 6.11 | 6.62 | ||
| SRM 872 | Phosphor bronze | UBM | - | - | - | - | 0.56 | - | 1.48 | - | - | 0.02 | - | 1.10 |
| 0.07 M HCl | - | - | - | - | 1.84 | - | 16.0 | - | - | 1.18 | - | 5.78 | ||
| SRM 875 | Cupronickel | UBM | - | - | 3.81 | - | 1.99 | 2.04 | 0.75 | - | 2.23 | <0.001 | - | <0.0001 |
| 0.07 M HCl | - | - | 17.1 | - | 2.31 | 3.34 | 10.4 | - | 0.55 | 6.38 | - | 7.25 | ||
| SRM 899 | Nickel, Alloy | UBM | - | - | - | - | - | - | 0.00002 | - | 0.0001 | - | - | - |
| 0.07 M HCl | - | - | - | - | - | - | 0.0001 | - | 0.00002 | - | - | - | ||
Disclaimer/Publisher’s Note: The statements, opinions and data contained in all publications are solely those of the individual author(s) and contributor(s) and not of MDPI and/or the editor(s). MDPI and/or the editor(s) disclaim responsibility for any injury to people or property resulting from any ideas, methods, instructions or products referred to in the content. |
© 2023 by the authors. Licensee MDPI, Basel, Switzerland. This article is an open access article distributed under the terms and conditions of the Creative Commons Attribution (CC BY) license (https://creativecommons.org/licenses/by/4.0/).
Share and Cite
Baek, D.-J.; Moon, D.H.; Kwon, J.-H.; An, J. A Comparative Analysis of the Oral Bioaccessibility of Metals/Metalloids Determined Using the Unified Bioaccessibility Research Group of Europe Method and 0.07 M HCl Single Extraction Method. Sustainability 2023, 15, 12168. https://doi.org/10.3390/su151612168
Baek D-J, Moon DH, Kwon J-H, An J. A Comparative Analysis of the Oral Bioaccessibility of Metals/Metalloids Determined Using the Unified Bioaccessibility Research Group of Europe Method and 0.07 M HCl Single Extraction Method. Sustainability. 2023; 15(16):12168. https://doi.org/10.3390/su151612168
Chicago/Turabian StyleBaek, Dong-Jun, Deok Hyun Moon, Jung-Hwan Kwon, and Jinsung An. 2023. "A Comparative Analysis of the Oral Bioaccessibility of Metals/Metalloids Determined Using the Unified Bioaccessibility Research Group of Europe Method and 0.07 M HCl Single Extraction Method" Sustainability 15, no. 16: 12168. https://doi.org/10.3390/su151612168
APA StyleBaek, D.-J., Moon, D. H., Kwon, J.-H., & An, J. (2023). A Comparative Analysis of the Oral Bioaccessibility of Metals/Metalloids Determined Using the Unified Bioaccessibility Research Group of Europe Method and 0.07 M HCl Single Extraction Method. Sustainability, 15(16), 12168. https://doi.org/10.3390/su151612168

