Reducing the Negative Environmental Impact of Consumerization of IT: An Individual-Level Approach
Abstract
1. Introduction
2. Literature Review
2.1. Industry 4.0 and Environmental Damage
2.2. Changing Human Behavior through Motivation and Pricing
2.2.1. Motivation to Engage in Pro-Environmental Behavior
2.2.2. Willingness to Pay for Green Internet
2.3. Self-Determination Theory
2.4. Hypotheses Development
- Intrinsic Motivation
- Extrinsic Motivation
- Amotivation
- Willingness to pay
- Motivation Crowding Out Effect
- Intention to Reduce Internet Use
3. Materials and Methods
3.1. Method
3.2. Study Design
3.3. Instrument
3.4. Sample
4. Results
4.1. Measurement Model
Validating Higher-Order Constructs (HOC)
4.2. Structural Model
5. Discussion
6. Conclusions, Implications and Limitations
6.1. Main Findings
6.2. Theoretical and Practical Implications
6.3. Limitations and Future Research
Author Contributions
Funding
Institutional Review Board Statement
Informed Consent Statement
Data Availability Statement
Conflicts of Interest
Appendix A. Video Shown to the Experimental Group

Appendix B. Survey Questionnaire
- Internet usage—based on [90]
- Experimental Group
- I will reduce the time that I spend on the internet every day.
- I will reduce the use of the internet.
- I will reduce the time that I spend on the internet for leisure activities.
- I will reduce the use of the internet for leisure activities.
- I will reduce the time that I spend on the internet for work.
- I will reduce the use of the internet for work.
- Control Group
- I spend a lot of time on the internet every day.
- I am a heavy user of the internet.
- I spend a lot of time on the internet for leisure activities.
- I am a heavy user of the internet for leisure activities.
- I spend a lot of time on the internet for work.
- I am a heavy user of the internet for work.
- Willingness to Pay—based on [44] (Experimental group).
- If I come across a green internet service, I am willing to switch the internet service, regardless of its price.
- I am willing to pay extra for a green internet service than for a non-green internet service.
- I am willing to spend extra money per month in order to pay for a green internet service.
- Motivation—based on [73] (Experimental and Control group).
- I would reduce the potential damage on the environment, because…
- Autonomous Motivation
- …I take pleasure in conserving the environment.
- …I like the feeling when doing something positive for the environment.
- …I take pleasure in improving the quality of the environment.
- …caring for the environment is an integral part of my life.
- …caring for the environment has become a fundamental part of who I am.
- …caring for the environment is a part of the way I have chosen to live my life.
- …conserving the environment is a sensible thing to do.
- …conserving the environment is a reasonable thing to do.
- …it is a way I have chosen to contribute to the environment.
- Controlled Motivation
- …I would regret not doing something for the environment.
- …I would feel guilty if I didn’t do something for the environment.
- …I would feel bad if I didn’t do anything for the environment.
- …of the recognition I get from others in conserving the environment.
- …my family members insist that I do need to conserve the environment.
- …my family members will be upset if I don’t conserve the environment.
References
- Petrillo, A.; De Felice, F.; Cioffi, R.; Zomparelli, F. Fourth industrial revolution: Current practices, challenges, and opp.ortunities. In Digital Transformation in Smart Manufacturing; Antonella Petrillo, F.D.F., Cioffi, R., Eds.; InTech: Rijeka, Croatia, 2018; Volume 1, pp. 1–20. [Google Scholar]
- Rüßmann, M.; Lorenz, M.; Gerbert, P.; Waldner, M.; Justus, J.; Engel, P.; Harnisch, M. Industry 4.0: The Future of Productivity and Growth in Manufacturing Industries; Boston Consulting Group: Boston, MA, USA, 2015; pp. 54–89. [Google Scholar]
- Martinelli, A.; Mina, A.; Moggi, M. The enabling technologies of industry 4.0: Examining the seeds of the fourth industrial revolution. Ind. Corp. Chang. 2021, 30, 161–188. [Google Scholar] [CrossRef]
- Ramanathan, K. Industry 4.0 readiness with a circular economy focus: An integrated assessment framework. In Assessing the Readiness for Industry; Anbumozhi, V., Wyes, H., Eds.; ERIA: Jakarta, Indonesia, 2020; Volume 4, pp. 56–107. [Google Scholar]
- Dahlqvist, F.; Patel, M.; Rajko, A.; Shulman, J. Growing Opportunities in the Internet of Things; Mckinsey & Company: Atlanta, GA, USA, 2019; Available online: https://www.mckinsey.com/industries/private-equity-and-principal-investors/our-insights/growing-opportunities-in-the-internet-of-things (accessed on 6 August 2023).
- Jovanovic, B. Internet of Things Statistics for 2022-Taking Things Apart. Data Prot. 2022. Available online: https://dataprot.net/statistics/iot-statistics/ (accessed on 2 February 2023).
- Bag, S.; Wood, L.C.; Telukdarie, A.; Venkatesh, V. Application of Industry 4.0 tools to empower circular economy and achieving sustainability in supply chain operations. Prod. Plan. Control 2021, 34, 1–23. [Google Scholar] [CrossRef]
- Mohr, S.; Khan, O. 3D printing and its disruptive impacts on supply chains of the future. Technol. Innov. Manag. Rev. 2015, 5, 20. [Google Scholar] [CrossRef]
- Oláh, J.; Aburumman, N.; Popp, J.; Khan, M.A.; Haddad, H.; Kitukutha, N. Impact of Industry 4.0 on environmental sustainability. Sustainability 2020, 12, 4674. [Google Scholar] [CrossRef]
- Nagasawa, T.; Pillay, C.; Beier, G.; Fritzsche, K.; Pougel, F.; Takama, T.; Bobashev, I. Accelerating Clean Energy through Industry 4.0 Manufacturing the Next Revolution; United Nations Industrial Development Organization: Vienna, Austria, 2017. [Google Scholar]
- Kemp, S. Digital Around The World in 2019; Data Reportal: Singapore, 2019. [Google Scholar]
- Andrae, A.; Edler, T. On Global Electricity Usage of Communication Technology: Trends to 2030. Challenges 2015, 6, 117–157. [Google Scholar] [CrossRef]
- Briscar, J.R. Data Transmission and Energy Efficient Internet Data Centers. Am. Univ. Law Rev. 2017, 67, 233–268. [Google Scholar]
- Sedera, D.; Lokuge, S.; Tushi, B.; Tan, F. Multi-disciplinary green IT archival analysis: A pathway for future studies. Commun. Assoc. Inf. Syst. 2017, 41, 674–773. [Google Scholar] [CrossRef]
- Lokuge, S.; Sedera, D.; Cooper, V.; Burstein, F. Digital Transformation: Environmental Friend or Foe? Panel Discussion at the Australasian Conference on Information Systems 2019. In Proceedings of the Australasian Conference on Information Systems, Wellington, New Zealand, 1–4 December 2020. [Google Scholar]
- Tim, Y.; Pan, S.L.; Bahri, S.; Fauzi, A. Digitally enabled affordances for community-driven environmental movement in rural Malaysia. Inf. Syst. J. 2018, 28, 48–75. [Google Scholar] [CrossRef]
- Loock, C.-M.; Staake, T.; Thiesse, F. Motivating energy-efficient behavior with green IS: An investigation of goal setting and the role of defaults. MIS Q. 2013, 37, 1313–1332. [Google Scholar] [CrossRef]
- Hill, J.; Widdicks, K.; Hazas, M. Mapping the Scope of Software Interventions for Moderate Internet Use on Mobile Devices. In Proceedings of the 7th International Conference on ICT for Sustainability, Bristol, UK, 21–26 June 2020. [Google Scholar]
- Widdicks, K.; Pargman, D. Breaking the Cornucopian Paradigm: Towards moderate internet use in everyday life. In Proceedings of the 5th Workshop on Computing within Limits, Lappeenranta, Finland, 10–11 June 2019. [Google Scholar]
- Seidler, A.-R.; Henkel, C.; Fiedler, M.; Kranz, J.; Ixmeier, A.; Strunk, K.S. Promoting Eco-Sustainable Behavior with Gamification: An Experimental Study on the Alignment of Competing Goals. In Proceedings of the 41st International Conference on Information Systems, Hyderabad, India, 13–16 December 2020. [Google Scholar]
- Wathuge, A.; Sedera, D.; Sorwar, G. Greening the Personal Internet Use: Findings from a literature review. In Proceedings of the 33th Australasian Conference on Information Systems, Melbourne, Australia, 4–7 December 2022. [Google Scholar]
- Bai, C.; Dallasega, P.; Orzes, G.; Sarkis, J. Industry 4.0 technologies assessment: A sustainability perspective. Int. J. Prod. Econ. 2020, 229, 107776. [Google Scholar] [CrossRef]
- Philbeck, T.; Davis, N. The fourth industrial revolution. J. Int. Aff. 2018, 72, 17–22. [Google Scholar]
- Tech Radar. Available online: https://www.techradar.com/news/what-is-industry-40-everything-you-need-to-know (accessed on 27 December 2022).
- Patsavellas, J.; Salonitis, K. The carbon footprint of manufacturing digitalization: Critical literature review and future research agenda. Procedia CIRP 2019, 81, 1354–1359. [Google Scholar] [CrossRef]
- Microsoft. Available online: https://info.microsoft.com/ww-landing-DynOps (accessed on 27 December 2022).
- CISCO. Available online: https://www.cisco.com/c/en/us/solutions/collateral/executive-perspectives/annual-internet-report/white-paper-c11-741490.html (accessed on 20 October 2020).
- Obringer, R.; Rachunok, B.; Maia-Silva, D.; Arbabzadeh, M.; Nateghi, R.; Madani, K. The overlooked environmental footprint of increasing Internet use. Resour. Conserv. Recycl. 2021, 167, 105389. [Google Scholar] [CrossRef]
- De Groot, J.I.; Steg, L. Relationships between Value Orientations, Self-Determined Motivational Types and Pro-Environmental Behavioural Intentions. J. Environ. Psychol. 2010, 30, 368–378. [Google Scholar] [CrossRef]
- Zimmermann, S.; Meijer, I.; Tiwari, M.K.; Paredes, S.; Michel, B.; Poulikakos, D. Aquasar: A hot water cooled data center with direct energy reuse. Energy 2012, 43, 237–245. [Google Scholar] [CrossRef]
- Masanet, E.; Shehabi, A.; Lei, N.; Smith, S.; Koomey, J. Recalibrating global data center energy-use estimates. Science 2020, 367, 984–986. [Google Scholar] [CrossRef]
- Manstead, A.S.R. Attitudes. In The Blackwell Dictionary of Cognitive Psychology; Eysenck, M.W., Ed.; Blackwell Basil: Cambridge, MA, USA, 1990; pp. 30–35. [Google Scholar]
- Molla, A. Organizational motivations for Green IT: Exploring Green IT matrix and motivation models. In Proceedings of the 13th Pacific Asia Conference on Information Systems, Hyderabad, India, 10–12 July 2009. [Google Scholar]
- Molla, A.; Abareshi, A. Organizational green motivations for information technology: Empirical study. J. Comput. Inf. Syst. 2012, 52, 92–102. [Google Scholar]
- Molla, A.; Abareshi, A.; Cooper, V. Green IT beliefs and pro-environmental IT practices among IT professionals. Inf. Technol. People 2014, 27, 129–154. [Google Scholar] [CrossRef]
- Wunderlich, P.; Kranz, J.; Veit, D. Beyond carrot-and-stick: How values and endogenous motivations affect residential Green IS adoption. In Proceedings of the 34th International Conference on Information Systems, Milan, Italy, 15–18 December 2013. [Google Scholar]
- Wunderlich, P.; Kranz, J.; Totzek, D.; Veit, D.; Picot, A. The impact of endogenous motivations on adoption of IT-enabled services: The case of transformative services in the energy sector. J. Serv. Res. 2013, 16, 356–371. [Google Scholar] [CrossRef]
- Koo, C.; Chung, N. Examining the eco-technological knowledge of Smart Green IT adoption behavior: A self-determination perspective. Technol. Forecast. Soc. Chang. 2014, 88, 140–155. [Google Scholar] [CrossRef]
- Bukchin, S.; Kerret, D. Once you choose hope: Early adoption of green technology. Environ. Sci. Pollut. Res. 2020, 27, 3271–3280. [Google Scholar] [CrossRef] [PubMed]
- Koo, C.; Chung, N.; Lee, Y.-C. The Influential Motivations of Green IT Device Use and the Role of Reference Group Perspective. In Proceedings of the 17th Pacific Asia Conference on Information Systems, Jeju Island, Republic of Korea, 18–22 June 2013. [Google Scholar]
- Kranz, J.; Picot, A. Is it money or the environment? An empirical analysis of factors influencing consumers’ intention to adopt the smart metering technology. In Proceedings of the 18th Americas Conference on Information Systems, Seattle, WA, USA, 9–11 August 2012. [Google Scholar]
- Molla, A.; Cooper, V. Greening data centres: The motivation, expectancy and ability drivers. In Proceedings of the 22nd European Conference on Information Systems, Tel Aviv, Israel, 9–11 June 2014. [Google Scholar]
- Berger, J. Signaling can increase consumers’ willingness to pay for green products. Theoretical model and experimental evidence. J. Consum. Behav. 2019, 18, 233–246. [Google Scholar] [CrossRef]
- Laroche, M.; Bergeron, J.; Barbaro-Forleo, G. Targeting consumers who are willing to pay more for environmentally friendly products. J. Consum. Mark. 2001, 18, 503–520. [Google Scholar] [CrossRef]
- Myung, E. Environmental knowledge, attitudes, and willingness to pay for environmentally friendly meetings–An exploratory study. J. Hosp. Tour. Manag. 2018, 36, 85–91. [Google Scholar] [CrossRef]
- Datta, S.K. Pro-environmental concern influencing green buying: A study on Indian consumers. Int. J. Bus. Manag. 2011, 6, 124–133. [Google Scholar]
- Biswas, A.; Roy, M. A study of consumers’ willingness to pay for green products. J. Adv. Manag. Sci. 2016, 4, 211–215. [Google Scholar] [CrossRef]
- Berger, S.; Kilchenmann, A.; Lenz, O.; Schlöder, F. Willingness-to-pay for carbon dioxide offsets: Field evidence on revealed preferences in the aviation industry. Glob. Environ. Chang. 2022, 73, 102470. [Google Scholar] [CrossRef]
- Hao, Y.; Liu, H.; Chen, H.; Sha, Y.; Ji, H.; Fan, J. What affect consumers’ willingness to pay for green packaging? Evidence from China. Resour. Conserv. Recycl. 2019, 141, 21–29. [Google Scholar] [CrossRef]
- Hinnen, G.; Hille, S.L.; Wittmer, A. Willingness to pay for green products in air travel: Ready for take-off? Bus. Strategy Environ. 2017, 26, 197–208. [Google Scholar] [CrossRef]
- Vicente-Molina, M.; Fernández-Sainz, A.; Izagirre-Olaizola, J. Does gender make a difference in pro-environmental behavior? The case of the Basque Country University students. J. Clean. Prod. 2018, 176, 89–98. [Google Scholar] [CrossRef]
- Chin-Sheng, W.; Chiou, W.-B. The motivations of adolescents who are addicted to online games: A cognitive perspective. Adolescence 2007, 42, 179–197. [Google Scholar]
- Cadwallader, S.; Jarvis, C.B.; Bitner, M.J.; Ostrom, A.L. Frontline employee motivation to participate in service innovation implementation. J. Acad. Mark. Sci. 2010, 38, 219–239. [Google Scholar] [CrossRef]
- Patrick, H.; Williams, G.C. Self-determination theory: Its application to health behavior and complementarity with motivational interviewing. Int. J. Behav. Nutr. Phys. Act. 2012, 9, 1–12. [Google Scholar] [CrossRef] [PubMed]
- Steinhorst, J.; Klöckner, C.A. Effects of monetary versus environmental information framing: Implications for long-term pro-environmental behavior and intrinsic motivation. Environ. Behav. 2018, 50, 997–1031. [Google Scholar] [CrossRef]
- Rigby, C.S.; Ryan, R.M. Time Well Spent? Motivation for entertainment media and its eudaimonic aspects through the lens of self-determination theory. In The Routledge Handbook of Media Use and Well-Being: International Perspectives on Theory and Research on Positive Media Effects, 1st ed.; Reinecke, L., Oliver, M.B., Eds.; Routledge: New York, NY, USA, 2016; pp. 34–48. [Google Scholar]
- Loizou, G.; Karageorghis, C.I.; Bishop, D.T. Interactive effects of video, priming, and music on emotions and the needs underlying intrinsic motivation. Psychol. Sport Exerc. 2014, 15, 611–619. [Google Scholar] [CrossRef]
- Lyons, E.J.; Baranowski, T.; Basen-Engquist, K.M.; Lewis, Z.H.; Swartz, M.C.; Jennings, K.; Volpi, E. Testing the effects of narrative and play on physical activity among breast cancer survivors using mobile apps: Study protocol for a randomized controlled trial. BMC Cancer 2016, 16, 1–18. [Google Scholar] [CrossRef]
- Calvo, R.A.; Peters, D. Positive Computing: Technology for Wellbeing and Human Potential; MIT Press: Cambridge, MA, USA, 2014. [Google Scholar]
- Ha, Y.S.; Choi, Y.H. Effectiveness of the self-determination theory based a motivational interviewing YOU-TURN program for smoking cessation among adolescents. J. Korean Acad. Nurs. 2015, 45, 347–356. [Google Scholar] [CrossRef]
- Choi, J.; Noh, G.-Y.; Park, D.-J. Smoking cessation app.s for smartphones: Content analysis with the self-determination theory. J. Med. Internet Res. 2014, 16, e44. [Google Scholar] [CrossRef]
- Kaplan, H.; Madjar, N. Autonomous motivation and pro-environmental behaviours among Bedouin students in Israel: A self-determination theory perspective. Aust. J. Environ. Educ. 2015, 31, 223–247. [Google Scholar] [CrossRef]
- Zhang, B.; Hu, X.; Gu, M. Promote pro-environmental behaviour through social media: An empirical study based on Ant Forest. Environ. Sci. Policy 2022, 137, 216–227. [Google Scholar] [CrossRef]
- Pop, R.-A.; Săplăcan, Z.; Alt, M.-A. Social media goes green—The impact of social media on green cosmetics purchase motivation and intention. Information 2020, 11, 447. [Google Scholar] [CrossRef]
- Deci, E.L.; Ryan, R.M. Facilitating optimal motivation and psychological well-being across life’s domains. Can. Psychol. 2008, 49, 14–23. [Google Scholar] [CrossRef]
- Nash, K.; Wakefield, R. Dare to Be Green: The Role of Environmental Passion and Green IT Identity on Green IT Practices. In Proceedings of the 25th Americas Conference on Information Systems, Cancun, Mexico, 15–17 August 2019. [Google Scholar]
- Razmus, W.; Jaroszyńska, M.; Palęga, M. Personal aspirations and brand engagement in self-concept. Personal. Individ. Differ. 2017, 105, 294–299. [Google Scholar] [CrossRef]
- Steg, L.; Perlaviciute, G.; Van der Werff, E.; Lurvink, J. The significance of hedonic values for environmentally relevant attitudes, preferences, and actions. Environ. Behav. 2014, 46, 163–192. [Google Scholar] [CrossRef]
- Ryan, R.M.; Deci, E.L. A self-determination theory app.roach to psychotherapy: The motivational basis for effective change. Can. Psychol. /Psychol. Can. 2008, 49, 186–193. [Google Scholar] [CrossRef]
- Ojo, A.O.; Raman, M.; Downe, A.G. Toward green computing practices: A Malaysian study of green belief and attitude among Information Technology professionals. J. Clean. Prod. 2019, 224, 246–255. [Google Scholar] [CrossRef]
- Gilal, F.G.; Chandani, K.; Gilal, R.G.; Gilal, N.G.; Gilal, W.G.; Channa, N.A. Towards a new model for green consumer behaviour: A self-determination theory perspective. Sustain. Dev. 2020, 28, 711–722. [Google Scholar] [CrossRef]
- Graves, L.M.; Sarkis, J.; Gold, N. Employee proenvironmental behavior in Russia: The roles of top management commitment, managerial leadership, and employee motives. Resour. Conserv. Recycl. 2019, 140, 54–64. [Google Scholar] [CrossRef]
- Pelletier, L.G.; Tuson, K.M.; Green-Demers, I.; Noels, K.; Beaton, A.M. Why are you doing things for the environment? The motivation toward the environment scale. J. Appl. Soc. Psychol. 1998, 28, 437–468. [Google Scholar] [CrossRef]
- Van Birgelen, M.; Semeijn, J.; Keicher, M. Packaging and proenvironmental consumption behavior: Investigating purchase and disposal decisions for beverages. Environ. Behav. 2009, 41, 125–146. [Google Scholar] [CrossRef]
- MacKerron, G.J.; Egerton, C.; Gaskell, C.; Parpia, A.; Mourato, S. Willingness to pay for carbon offset certification and co-benefits among (high-) flying young adults in the UK. Energy Policy 2009, 37, 1372–1381. [Google Scholar] [CrossRef]
- Oreg, S.; Katz-Gerro, T. Predicting proenvironmental behavior cross-nationally: Values, the theory of planned behavior, and value-belief-norm theory. Environ. Behav. 2006, 38, 462–483. [Google Scholar] [CrossRef]
- Rode, J.; Gómez-Baggethun, E.; Krause, T. Motivation crowding by economic incentives in conservation policy: A review of the empirical evidence. Ecol. Econ. 2015, 117, 270–282. [Google Scholar] [CrossRef]
- Frey, B.S.; Jegen, R. Motivation crowding theory. J. Econ. Surv. 2001, 15, 589–611. [Google Scholar] [CrossRef]
- Moros, L.; Vélez, M.A.; Corbera, E. Payments for ecosystem services and motivational crowding in Colombia’s Amazon Piedmont. Ecol. Econ. 2019, 156, 468–488. [Google Scholar] [CrossRef]
- Yue, B.; Sheng, G.; She, S.; Xu, J. Impact of consumer environmental responsibility on green consumption behavior in China: The role of environmental concern and price sensitivity. Sustainability 2020, 12, 2074. [Google Scholar] [CrossRef]
- Cerasoli, C.P.; Nicklin, J.M.; Ford, M.T. Intrinsic motivation and extrinsic incentives jointly predict performance: A 40-year meta-analysis. Psychol. Bull. 2014, 140, 980–1008. [Google Scholar] [CrossRef] [PubMed]
- Dickinson, D.; Villeval, M.-C. Does monitoring decrease work effort?: The complementarity between agency and crowding-out theories. Games Econ. Behav. 2008, 63, 56–76. [Google Scholar] [CrossRef]
- Vilnai-Yavetz, I.; Levina, O. Motivating social sharing of e-business content: Intrinsic motivation, extrinsic motivation, or crowding-out effect? Comput. Hum. Behav. 2018, 79, 181–191. [Google Scholar] [CrossRef]
- Agrawal, A.; Chhatre, A.; Gerber, E.R. Motivational crowding in sustainable development interventions. Am. Political Sci. Rev. 2015, 109, 470–487. [Google Scholar] [CrossRef]
- Koo, C.; Chung, N.; Nam, K. Assessing the impact of intrinsic and extrinsic motivators on smart green IT device use: Reference group perspectives. Int. J. Inf. Manag. 2015, 35, 64–79. [Google Scholar] [CrossRef]
- Mutz, D.C. Population-Based Survey Experiments; Princeton University Press: Princeton, NJ, USA, 2011. [Google Scholar]
- Price, P.C.; Jhangiani, R.; Chiang, I.-C.A. Research Methods in Psychology, 2nd ed.; BC Campus: Victoria, BC, Canada, 2015. [Google Scholar]
- Cook, T.D.; Campbell, D.T.; Day, A. Quasi-Experimentation: Design & Analysis Issues for Field Settings, 1st ed.; Houghton Mifflin: Boston, MA, USA, 1979. [Google Scholar]
- Flüchter, K.; Wortmann, F. Promoting Sustainable Travel Behavior through IS-Enabled Feedback–Short-Term Success at the Cost of Long-Term Motivation? In Proceedings of the 35th International Conference on Information Systems, Auckland, New Zealand, 14–17 December 2014. [Google Scholar]
- Mathwick, C.; Rigdon, E. Play, flow, and the online search experience. J. Consum. Res. 2004, 31, 324–332. [Google Scholar] [CrossRef]
- Saunders, M.; Lewis, P.; Thornhill, A. Research Methods for Business Students, 8th ed.; Pearson Education: New York, NY, USA, 2019. [Google Scholar]
- Statista Research Department. Available online: https://www.statista.com/statistics/272365/age-distribution-of-internet-users-worldwide/ (accessed on 14 September 2022).
- Fornell, C.; Larcker, D.F. Structural Equation Models with Unobservable Variables and Measurement Error: Algebra and Statistics; Sage Publications: Los Angeles, CA, USA, 1981. [Google Scholar]
- Hair, J.F., Jr.; Hult, G.T.M.; Ringle, C.M.; Sarstedt, M. A Primer on Partial Least Squares Structural Equation Modeling (PLS-SEM), 3rd ed.; Sage Publications: Thousand Oaks, CA, USA, 2021. [Google Scholar]
- Sarstedt, M.; Hair Jr, J.F.; Cheah, J.-H.; Becker, J.-M.; Ringle, C.M. How to specify, estimate, and validate higher-order constructs in PLS-SEM. Australas. Mark. J. 2019, 27, 197–211. [Google Scholar] [CrossRef]
- Wunderlich, P.; Veit, D.J.; Sarker, S. Adoption of Sustainable Technologies: A Mixed-Methods Study of German Households. MIS Q. 2019, 43, 673–691. [Google Scholar] [CrossRef]
- Rahman, K.S. The new utilities: Private power, social infrastructure, and the revival of the public utility concept. Cardozo Law Rev. 2017, 39, 1621–1692. [Google Scholar]
- Rahman, K.S. Regulating informational infrastructure: Internet platforms as the new public utilities. Georget. Law Technol. Rev. 2018, 2, 234–251. [Google Scholar]
- Al Mamun, A.; Rahman, M.K.; Masud, M.M.; Mohiuddin, M. Willingness to pay premium prices for green buildings: Evidence from an emerging economy. Environ. Sci. Pollut. Res. 2023, 30, 78718–78734. [Google Scholar] [CrossRef]
- Anselmsson, J.; Vestman Bondesson, N.; Johansson, U. Brand image and customers’ willingness to pay a price premium for food brands. J. Prod. Brand Manag. 2014, 23, 90–102. [Google Scholar] [CrossRef]
- Rice, C.; Ragbir, N.K.; Rice, S.; Barcia, G. Willingness to pay for sustainable aviation depends on ticket price, greenhouse gas reductions and gender. Technol. Soc. 2020, 60, 101224. [Google Scholar] [CrossRef]
- Kang, K.H.; Stein, L.; Heo, C.Y.; Lee, S. Consumers’ willingness to pay for green initiatives of the hotel industry. Int. J. Hosp. Manag. 2012, 31, 564–572. [Google Scholar] [CrossRef]
- Pelletier, L.G. A Motivational Analysis of Self-Determination for Pro-Environmental Behaviors. In Handbook of Self-Determination Research; Deci, E.L., Ryan, R.M., Eds.; University of Rochester Press: Rochester, NY, USA, 2002; pp. 205–232. [Google Scholar]
- Fujii, S. Environmental concern, attitude toward frugality, and ease of behavior as determinants of pro-environmental behavior intentions. J. Environ. Psychol. 2006, 26, 262–268. [Google Scholar] [CrossRef]
- Wati, Y.; Koo, C. Toward green IS adoption behaviors: A self-determination perspective. In Proceedings of the 45th Hawaii International Conference on System Sciences, Maui, HI, USA, 4–7 January 2012. [Google Scholar]
- Krause, H.-V.; Baum, K.; Baumann, A.; Krasnova, H. Unifying the detrimental and beneficial effects of social network site use on self-esteem: A systematic literature review. Media Psychol. 2021, 24, 10–47. [Google Scholar] [CrossRef]
- Wathuge, A.; Sedera, D. An awareness-based model to minimize the environmental damage of the internet usage: A Longitudinal Study. In Proceedings of the 25th Pacific Asia Conference on Information Systems, Dubai, United Arab Emirates, 12–14 July 2021. [Google Scholar]
- Wathuge, A.; Sedera, D. Saving the environment from the internet: A polynomial mitigation model of reducing Individual Internet Consumption through Internet Pricing and Environmental Awareness. Australas. J. Inf. Syst. 2022, 26, 1–31. [Google Scholar] [CrossRef]





| AM | IU | Ext | Iden | Integ | IM | Intro | |
|---|---|---|---|---|---|---|---|
| Amotivation (AM) | 0.887 | ||||||
| Intention to reduce internet use (IU) | 0.074 | 0.792 | |||||
| External (Ext) | 0.178 | 0.178 | 0.876 | ||||
| Identified (Iden) | −0.041 | 0.427 | 0.364 | 0.863 | |||
| Integrated (Integ) | 0.062 | 0.307 | 0.505 | 0.793 | 0.902 | ||
| Intrinsic (IM) | −0.043 | 0.352 | 0.341 | 0.83 | 0.697 | 0.853 | |
| Introjected (Intro) | 0.036 | 0.355 | 0.439 | 0.634 | 0.657 | 0.599 | 0.878 |
| AM | WIP | Ext | IU | Iden | Integ | IM | Intro | |
|---|---|---|---|---|---|---|---|---|
| Amotivation (AM) | 0.907 | |||||||
| WTP | 0.165 | 0.861 | ||||||
| External (Ext) | 0.153 | 0.473 | 0.865 | |||||
| Intention to reduce internet Use (IU) | 0.218 | 0.416 | 0.465 | 0.851 | ||||
| Identified (Iden) | 0.013 | 0.382 | 0.292 | 0.326 | 0.851 | |||
| Integrated (Integ) | 0.036 | 0.523 | 0.397 | 0.311 | 0.612 | 0.862 | ||
| Intrinsic (IM) | −0.069 | 0.403 | 0.283 | 0.171 | 0.707 | 0.666 | 0.869 | |
| Introjected (Intro) | 0.079 | 0.455 | 0.343 | 0.296 | 0.579 | 0.485 | 0.442 | 0.848 |
| HOC | LOC | Outer Weight | T Statistic | p Values | Outer Loadings | VIF |
|---|---|---|---|---|---|---|
| Extrinsic | Integrated | −0.394 | 1.361 | 0.000 | 0.676 | 3.350 |
| Identified | 0.991 | 4.324 | 0.000 | 0.947 | 2.905 | |
| Introjected | 0.391 | 1.606 | 0.000 | 0.785 | 1.941 | |
| External | 0.055 | 0.292 | 0.010 | 0.388 | 1.399 |
| HOC | LOC | Outer Weight | T Statistic | p Values | Outer Loadings | VIF |
|---|---|---|---|---|---|---|
| Extrinsic | Integrated | 0.067 | 0.324 | 0.000 | 0.616 | 1.784 |
| Identified | 0.323 | 1.981 | 0.000 | 0.646 | 1.918 | |
| Introjected | 0.111 | 0.759 | 0.000 | 0.589 | 1.618 | |
| External | 0.752 | 5.794 | 0.000 | 0.911 | 1.231 |
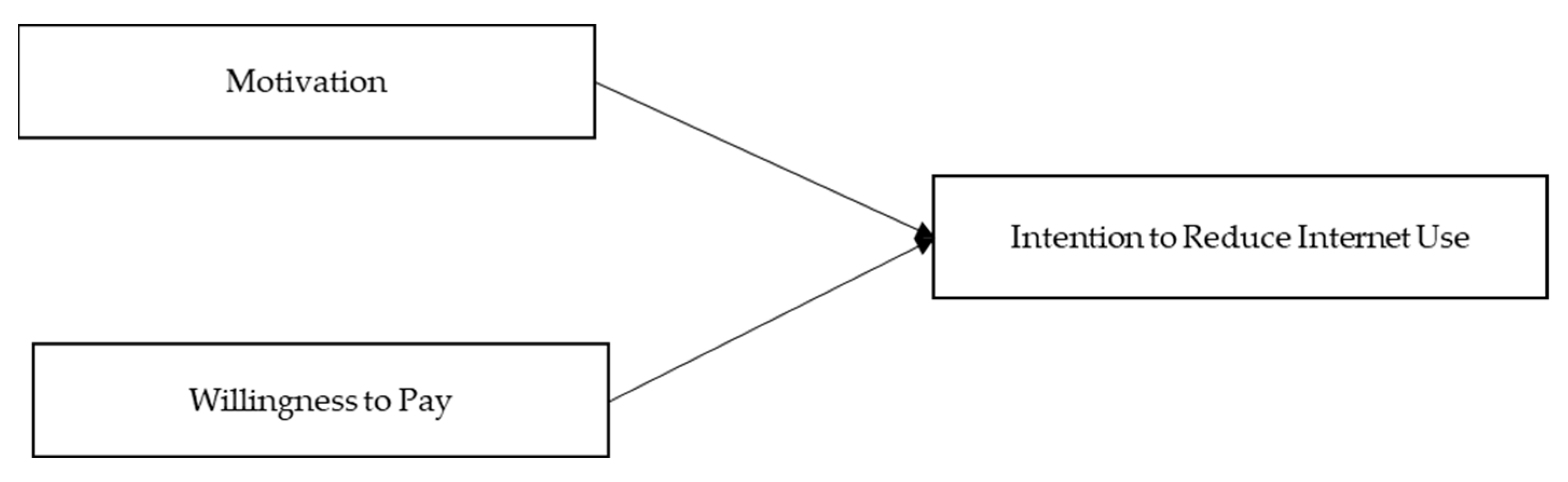
| Model | Description | Group | Figure |
|---|---|---|---|
| Model A | Tests the effects of intrinsic and extrinsic motivations and amotivation on intention to reduce internet usage | Control group | Figure 4 |
| Model B | Tests the effects of intrinsic and extrinsic motivations and amotivation on intention to reduce internet usage | Experimental Group | Figure 4 and Figure 5 |
| Model C | Tests the effects of intrinsic, extrinsic motivations, amotivation and willingness to pay on intention to reduce internet usage | Experimental Group | Figure 5 |
Disclaimer/Publisher’s Note: The statements, opinions and data contained in all publications are solely those of the individual author(s) and contributor(s) and not of MDPI and/or the editor(s). MDPI and/or the editor(s) disclaim responsibility for any injury to people or property resulting from any ideas, methods, instructions or products referred to in the content. |
© 2023 by the authors. Licensee MDPI, Basel, Switzerland. This article is an open access article distributed under the terms and conditions of the Creative Commons Attribution (CC BY) license (https://creativecommons.org/licenses/by/4.0/).
Share and Cite
Wathuge, A.; Sedera, D. Reducing the Negative Environmental Impact of Consumerization of IT: An Individual-Level Approach. Sustainability 2023, 15, 12160. https://doi.org/10.3390/su151612160
Wathuge A, Sedera D. Reducing the Negative Environmental Impact of Consumerization of IT: An Individual-Level Approach. Sustainability. 2023; 15(16):12160. https://doi.org/10.3390/su151612160
Chicago/Turabian StyleWathuge, Ayodhya, and Darshana Sedera. 2023. "Reducing the Negative Environmental Impact of Consumerization of IT: An Individual-Level Approach" Sustainability 15, no. 16: 12160. https://doi.org/10.3390/su151612160
APA StyleWathuge, A., & Sedera, D. (2023). Reducing the Negative Environmental Impact of Consumerization of IT: An Individual-Level Approach. Sustainability, 15(16), 12160. https://doi.org/10.3390/su151612160
