Effectiveness of Cooperative Learning Instructional Models in Training In-Service Physical Education Teachers in Southwest China
Abstract
1. Introduction
2. Methods
2.1. Description of Participants and Study Design
2.2. Study Procedure
2.2.1. Theoretical Underpinnings of Group Work Learning
2.2.2. Assessment of Pre-Test
2.2.3. Providing Instructional Training
2.2.4. Session of Physical Practice
2.2.5. Assessment of Post-Test
2.3. Measures of Variables and Their Statistical Analysis
2.3.1. Self-Efficacy Variable
2.3.2. Assessment of Performance
2.3.3. Assessment of Knowledge for Practice
2.3.4. Pedagogical Content Knowledge
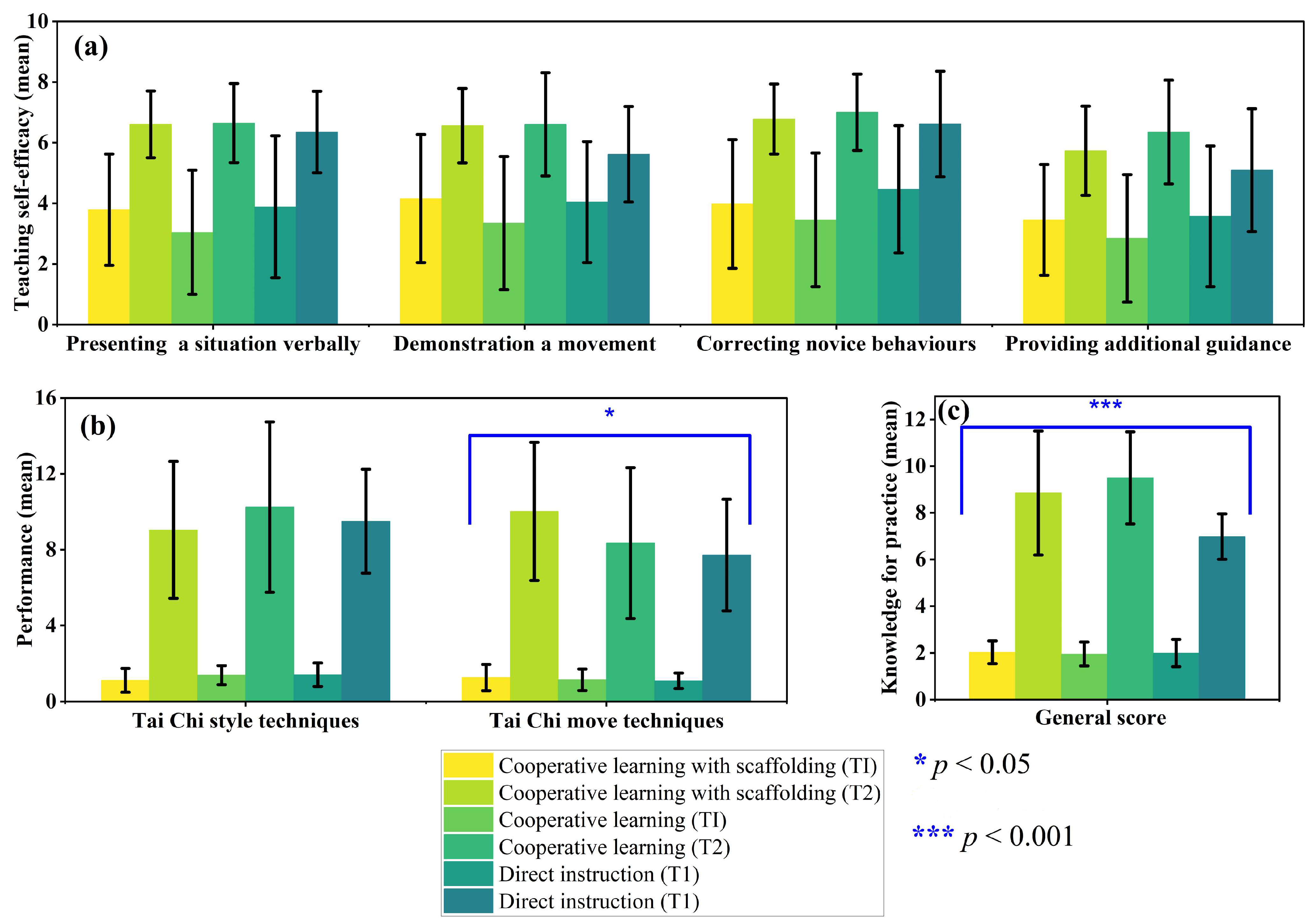
3. Results
3.1. Measuring Variables
3.1.1. Indicators of Teaching Self-Efficacy
3.1.2. Indicators of Performance
3.1.3. Indicators of Knowledge for Practice
3.2. Indicators of Pedagogical Knowledge
4. Discussion
5. Conclusions
Author Contributions
Funding
Institutional Review Board Statement
Informed Consent Statement
Data Availability Statement
Acknowledgments
Conflicts of Interest
References
- He, J.; Yu, H.; Jiang, M.; Szumilewicz, A. Physical activity programs in Shanxi Province schools in China: Effects of in-school and after-school delivery on students’ motivational and social outcomes. Sustainability 2023, 15, 8080. [Google Scholar] [CrossRef]
- Sjodin, K.; Quennerstedt, M.; Ohman, J. The meanings of friluftsliv in Physical Education Teacher Education. Sport Educ. Soc. 2023, 1–14. [Google Scholar] [CrossRef]
- Tsangaridou, N.; Pieroua, M.; Charalambous, C.Y. An analysis of content development in physical education: Preschool teachers’ selection of instructional tasks. Eur. Phys. Educ. Rev. 2023, 29, 91–106. [Google Scholar] [CrossRef]
- Chan, C.H.S.; Ha, A.S.C.; Lander, N.; Ng, J.Y.Y. Understanding the teaching and learning of fundamental movement skills in the primary physical education setting: A qualitative study. J. Teach. Phys. Educ. 2022, 1, 1–10. [Google Scholar] [CrossRef]
- Lander, N.; Lewis, S.; Nahavandi, D.; Amsbury, K.; Barnett, L.M. Teacher perspectives of online continuing professional development in physical education. Sport Educ. Soc. 2022, 27, 434–448. [Google Scholar] [CrossRef]
- Amado, D.; Molero, P.; Del Villar, F.; Tapia-Serrano, M.A.; Sanchez-Miguel, P.A. Implementing a teacher-focused intervention in physical education to increase pupils’ motivation towards dance at school. Sustainability 2020, 12, 4550. [Google Scholar] [CrossRef]
- Mustell, J.; Geidne, S.; Barker, D. How ball games experts legitimate ball games knowledge within Swedish physical education teacher education. Phys. Educ. Sport Pedagog. 2022, 1–15. [Google Scholar] [CrossRef]
- Pereira, T.B.L.; van Munster, M.D.; Grenier, M. Individualized education plan applied to physical education as a support for inclusion in Brazilian schools. Int. J. Incl. Educ. 2022, 1–15. [Google Scholar] [CrossRef]
- Fernandez-Morante, C.; Cebreiro-Lopez, B.; Rodriguez-Malmierca, M.J.; Casal-Otero, L. Adaptive learning supported by learning analytics for student teachers’ personalized training during in-school practices. Sustainability 2022, 14, 124. [Google Scholar] [CrossRef]
- Gobbi, E.; Bertollo, M.; Colangelo, A.; Carraro, A.; di Fronso, S. Primary school physical education at the time of the COVID-19 pandemic: Could online teaching undermine teachers’ self-efficacy and work engagement? Sustainability 2021, 13, 9830. [Google Scholar] [CrossRef]
- Kim, I. Preservice teachers’ enacted pedagogical content knowledge as a function of content knowledge in teaching elementary physical education content. Phys. Educ. Sport Pedagog. 2021, 26, 649–661. [Google Scholar] [CrossRef]
- Burnett, C. A national study on the state and status of physical education in South African public schools. Phys. Educ. Sport Pedagog. 2021, 26, 179–196. [Google Scholar] [CrossRef]
- Backman, E.; Barker, D.M. Re-thinking pedagogical content knowledge for physical education teachers—Implications for physical education teacher education. Phys. Educ. Sport Pedagog. 2020, 25, 451–463. [Google Scholar] [CrossRef]
- Dervent, F.; Devrilmez, E.; Ince, M.L.; Ward, P. A national analysis of the content knowledge of Turkish physical education teacher education students. Phys. Educ. Sport Pedagog. 2020, 25, 613–628. [Google Scholar] [CrossRef]
- Hastie, P.A. A primer on content knowledge in physical education research. J. Teach. Phys. Educ. 2022, 41, 165–170. [Google Scholar] [CrossRef]
- Freire, J.D.; Barreto, A.C.; Wiggers, I.D. Physical education curriculum and pedagogical practice in daily school life: A review in Brazilian journals. Movimento 2020, 26, e26019. [Google Scholar] [CrossRef]
- Gonzalez-Calvo, G.; Gerdin, G.; Philpot, R.; Hortiguela-Alcala, D. Wanting to become PE teachers in Spain: Connections between previous experiences and particular beliefs about school physical education and the development of professional teacher identities. Sport Educ. Soc. 2021, 26, 931–944. [Google Scholar] [CrossRef]
- Hodges, M.; Liu, X.L.; Hamilton, X.D.; Doherty, B.; Phelps, A.; Colburn, J.; Knipe, R. A qualitative examination on the preparation of preservice physical education teachers for assessment in secondary teaching methods courses in the US. Phys. Educ. Sport Pedagog. 2021, 1–16. [Google Scholar] [CrossRef]
- Lyngstad, I.; Bjerke, O.; Lagestad, P. Phronesis, praxis and autotelic acts in physical education teaching. Sport Educ. Soc. 2020, 25, 631–642. [Google Scholar] [CrossRef]
- Joy, P.; Larsson, H. Unspoken: Exploring the constitution of masculinities in Swedish physical education classes through body movements. Phys. Educ. Sport Pedagog. 2019, 24, 491–505. [Google Scholar] [CrossRef]
- Moreno-Murcia, J.A.; Barrachina-Peris, J.; Campillo, M.B.; Estevez, E.; Huescar, E. Proposal for modeling motivational strategies for autonomy support in physical education. Int. J. Environ. Res. Public Health 2021, 18, 7717. [Google Scholar] [CrossRef] [PubMed]
- Musard, M.; Bezeau, D.; Wallhead, T.L. Pre-service teachers content-related analyses of a physical education learning task. Phys. Educ. Sport Pedagog. 2021, 1–13. [Google Scholar] [CrossRef]
- Phelps, A.; Colburn, J.; Hodges, M.; Knipe, R.; Doherty, B.; Keating, X.D. A qualitative exploration of technology use among preservice physical education teachers in a secondary methods course. Teach. Teach. Educ. 2021, 105, 103400. [Google Scholar] [CrossRef]
- Romar, J.E.; Ferry, M. The influence of a methods course in physical education on preservice classroom teachers’ acquisition of practical knowledge. J. Teach. Phys. Educ. 2020, 39, 374–383. [Google Scholar] [CrossRef]
- Rocamora, I.; Gonzalez-Villora, S.; Fernandez-Rio, J.; Arias-Palencia, N.M. Physical activity levels, game performance and friendship goals using two different pedagogical models: Sport education and direct instruction. Phys. Educ. Sport Pedagogy 2019, 24, 87–102. [Google Scholar] [CrossRef]
- Santos, M.A.R.; Brandao, P.P.S. Production of knowledge about wrestling in the school curriculum of physical education. Movimento 2019, 25, e25024. [Google Scholar] [CrossRef]
- Aparicio-Herguedas, J.L.; Rodriguez-Medina, J.; Gonzalez-Hernandez, J.C.; Fraile-Aranda, A. Teaching skills assessment in initial teacher training in physical education. Sustainability 2020, 12, 9668. [Google Scholar] [CrossRef]
- Bores-Garcia, D.; Hortiguela-Alcal, D.; Gonzalez-Calvo, G.; Barba-Martin, R. Peer assessment in physical education: A systematic review of the last five years. Sustainability 2020, 12, 9233. [Google Scholar] [CrossRef]
- Cuevas-Campos, R.; Fernandez-Bustos, J.G.; Gonzalez-Cutre, D.; Hernandez-Martinez, A. Need satisfaction and need thwarting in physical education and intention to be physically active. Sustainability 2020, 12, 7312. [Google Scholar] [CrossRef]
- McEntyre, K.; Curtner-Smith, M.D.; Baxter, D.S. Negotiations between preservice classroom teachers and students during a physical education early field experience. J. Teach. Phys. Educ. 2020, 39, 69–77. [Google Scholar] [CrossRef]
- Leyton-Roman, M.; Gonzalez-Velez, J.J.L.; Batista, M.; Jimenez-Castuera, R. Predictive model for amotivation and discipline in physical education students based on teaching-learning styles. Sustainability 2021, 13, 187. [Google Scholar] [CrossRef]
- Zach, S.; Dunsky, A.; Stein, H.; Litvin, O.; Hellerstein, D. Novice Physical education teachers in Israel: Facilitators and barriers to persistence in the profession. Sustainability 2020, 12, 3830. [Google Scholar] [CrossRef]
- de Albeniz-Garrote, G.P.; Gomez, M.B.M. The innovative and research professional identity of future early years and primary school teachers and their relationship with psychological well-being. Sustainability 2020, 12, 8593. [Google Scholar] [CrossRef]
- Sato, T.; Ellison, D.W.; Eckert, K. African American pre-service physical education teachers’ learning about aquatic courses. Eur. Phys. Educ. Rev. 2019, 25, 778–795. [Google Scholar] [CrossRef]
- Tsuda, E.; Ward, P.; Li, Y.L.; Higginson, K.; Cho, K.; He, Y.H.; Su, J.Z. content knowledge acquisition in physical education: Evidence from knowing and performing by majors and nonmajors. J. Teach. Phys. Educ. 2019, 38, 221–232. [Google Scholar] [CrossRef]
- Ward, P. Core practices for teaching physical education: Recommendations for teacher education. J. Teach. Phys. Educ. 2021, 40, 98–108. [Google Scholar] [CrossRef]
- Wibowo, J.; Dyson, B. A contingency perspective on learning and instruction in physical education. Eur. Phys. Educ. Rev. 2021, 27, 727–742. [Google Scholar] [CrossRef]
- Ward, P.; Ayvazo, S.; Dervent, F.; Iserbyt, P.; Kim, I. Instructional progression and the role of working models in physical education. Quest 2020, 72, 410–429. [Google Scholar] [CrossRef]
- Legrain, P.; Escalie, G.; Lafont, L.; Chalies, S. Cooperative learning: A relevant instructional model for physical education pre-service teacher training? Phys. Educ. Sport Pedagog. 2019, 24, 73–86. [Google Scholar] [CrossRef]
- Backman, E.; Nyberg, G.; Larsson, H. Moving beyond rigid orthodoxies in the teaching and assessment of movement in Swedish physical education teacher education: A student perspective. Eur. Phys. Educ. Rev. 2020, 26, 111–127. [Google Scholar] [CrossRef]
- Hill, J.; Walton-Fisette, J.L.; Flemons, M.; Philpot, R.; Sutherland, S.; Phillips, S.; Flory, S.B.; Ovens, A. Social justice knowledge construction among physical education teacher educators: The value of personal, professional, and educational experiences. Phys. Educ. Sport Pedagog. 2022, 1–13. [Google Scholar] [CrossRef]
- Fernandez-Rio, J.; de las Heras, E.; Gonzalez, T.; Trillo, V.; Palomares, J. Gamification and physical education. Viability and preliminary views from students and teachers. Phys. Educ. Sport Pedagog. 2020, 25, 509–524. [Google Scholar] [CrossRef]
- Abu-Tineh, A.M.; Romanowski, M.H.; Chaaban, Y.; Alkhatib, H.; Ghamrawi, N.; Alshaboul, Y.M. Career Advancement, job satisfaction, career retention, and other related dimensions for sustainability: A perception study of Qatari public school teachers. Sustainability 2023, 15, 4370. [Google Scholar] [CrossRef]
- Moon, J.; Park, Y. Exploring south Korean elementary school classroom teachers’ beliefs and practices in physical education. Int. J. Environ. Res. Public Health 2022, 19, 15033. [Google Scholar] [CrossRef] [PubMed]
- Sargent, J.; Calderon, A. Technology-enhanced learning physical education? a critical review of the literature. J. Teach. Phys. Educ. 2022, 41, 689–709. [Google Scholar] [CrossRef]
- Perez-Pueyo, A.; Hortiguela-Alcala, D.; Hernando-Garijo, A.; Granero-Gallegos, A. The attitudinal style as a pedagogical model in physical education: Analysis of its effects on initial teacher training. Int. J. Environ. Res. Public Health 2020, 17, 2816. [Google Scholar] [CrossRef]
- O’Leary, N.; Wattison, N.; Edwards, T.; Bryan, K. Closing the theory–practice gap: Physical education students’ use of Jigsaw learning in a secondary school. Eur. Phys. Educ. Rev. 2015, 21, 176–194. [Google Scholar] [CrossRef]
- Trabelsi, O.; Bouchiba, M.; Souissi, M.A.; Gharbi, A.; Mezghanni, N.; Kammoun, M.M.; Masmoudi, L.; Mrayeh, M. Technology-mediated Physical Education teaching practices in Tunisian public schools: A national teacher survey. Sport Educ. Soc. 2022, 27, 878–892. [Google Scholar] [CrossRef]
- Ward, P.; Chey, W.S.; Cho, K.Y.L. Evaluating the Content Knowledge of Preservice Physical Education Teachers. J. Teach. Phys. Educ. 2022, 42, 293–300. [Google Scholar] [CrossRef]
- Gonzalez-Peno, A.; Franco, E.; Coteron, J. Do observed teaching behaviors relate to students’ engagement in physical education? Int. J. Environ. Res. Public Health 2021, 18, 2234. [Google Scholar] [CrossRef]
- Hapke, J.; Topfer, C.; Lohmann, J. Challenging German physical education teacher educators’ health-related beliefs through Cooperative Planning. Health Promot. Int. 2021, 36, 26–39. [Google Scholar] [CrossRef] [PubMed]
- Iserbyt, P.; Kim, I.; Ward, P.; Dervent, F.; Devrilmez, E.; Cotuk, M.; He, Y.H.; Wang, X.Z.; Kong, L.S.; He, L.; et al. Recent advances in the study of content knowledge and pedagogical content knowledge in physical education. Res. Q. Exerc. Sport 2020, 91, A1–A2. Available online: https://lirias.kuleuven.be/3078996?limo=0 (accessed on 27 March 2023).
- Xu, S.D.; Baker, J.S.; Ren, F. The positive role of tai chi in responding to the COVID-19 Pandemic. Int. J. Environ. Res. Public Health 2021, 18, 7479. [Google Scholar] [CrossRef]
- Liu, T.; Chan, A.W.K.; Taylor-Piliae, R.E.; Choi, K.C.; Chair, S.Y. Psychometric properties of the translated tai chi exercise self-efficacy scale for Chinese adults with coronary heart disease or risk factors. Int. J. Environ. Res. Public Health 2021, 18, 3651. [Google Scholar] [CrossRef] [PubMed]
- Schmidt, R.A.; Lee, T.D.; Winstein, C.; Wulf, G.; Zelaznik, H.N. Motor Control and Learning: A Behavioral Emphasis, 3rd ed.; Human kinetics: Champaign, IL, USA, 2018. [Google Scholar]
- Legrain, P.; D’Arripe-Longueville, F.; Gernigon, C. The influence of trained peer tutoring on tutors’ motivation and performance in a French boxing setting. J. Sport. Sci. 2003, 21, 539–550. [Google Scholar] [CrossRef] [PubMed]
- Vygotsky, L.S.; Cole, M. Mind in Society: Development of Higher Psychological Processes; Harvard University Press: Cambridge, MA, USA, 1978. [Google Scholar]
- Piaget, J. The Language and Thought of The Child; Psychology Press: New York, NY, USA, 1959; Volume 5. [Google Scholar]
- DeVries, R. Vygotsky, Piaget, and Education: A reciprocal assimilation of theories and educational practices. New Ideas Psychol. 2000, 18, 187–213. [Google Scholar] [CrossRef]
- Lafont, L.; Rivière, C.; Darnis, F.; Legrain, P. How to structure group work? Conditions of efficacy and methodological considerations in physical education. Eur. Phys. Educ. Rev. 2017, 23, 327–338. [Google Scholar] [CrossRef]
- Casey, A.; Dyson, B. Cooperative Learning in Physical Education; Router: London, UK, 2012; pp. 166–175. [Google Scholar]
- Zach, S.; Harari, I.; Harari, N. Changes in teaching efficacy of pre-service teachers in physical education. Phys. Educ. Sport Pedagog. 2012, 17, 447–462. [Google Scholar] [CrossRef]
- Bandura, A. Guide for Constructing Self-Efficacy Scales; Information Age Publishing: Greenwich, CT, USA, 2006; Volume 5, pp. 307–337. [Google Scholar]
- Silverman, S.; Mercier, K. Teaching for physical literacy: Implications to instructional design and PETE. J. Sport Health Sci. 2015, 4, 150–155. [Google Scholar] [CrossRef]
- Spjøtvoll, E.; Stoline, M.R. An extension of the t-method of multiple comparison to include the cases with unequal sample sizes. J. Am. Stat. Assoc. 1973, 68, 975–978. [Google Scholar] [CrossRef]
- Hedges, L.V.; Olkin, I. Statistical Methods for Meta-Analysis; Academic Press: Orlando, FL, USA, 2014. [Google Scholar]
- Cohen, R.; Zach, S. Building pre-service teaching efficacy: A comparison of instructional models. Phys. Educ. Sport Pedagog. 2013, 18, 376–388. [Google Scholar] [CrossRef]
- Dyson, B. The implementation of cooperative learning in an elementary physical education program. J. Teach. Phys. Educ. 2002, 22, 69–85. [Google Scholar] [CrossRef]
- Adamakis, M.; Zounhia, K. The impact of occupational socialization on physical education pre-service teachers’ beliefs about four important curricular outcomes: A cross-sectional study. Eur. Phys. Educ. Rev. 2015, 22, 279–297. [Google Scholar] [CrossRef]
- Hemphill, M.A.; Richards, K.A.R.; Gaudreault, K.L.; Templin, T.J. Pre-service teacher perspectives of case-based learning in physical education teacher education. Eur. Phys. Educ. Rev. 2015, 21, 432–450. [Google Scholar] [CrossRef]
- Wallhead, T.; O’Sullivan, M. Sport education: Physical education for the new millennium? Phys. Educ. Sport Pedagog. 2005, 10, 181–210. [Google Scholar] [CrossRef]
- Harvey, S.; Pill, S. Exploring physical education teachers ‘everyday understandings’ of physical literacy. Sport Educ. Soc. 2019, 24, 841–854. [Google Scholar] [CrossRef]
- Lander, N.; Eather, N.; Morgan, P.J.; Salmon, J.; Barnett, L.M. Characteristics of teacher training in school-based physical education interventions to improve fundamental movement skills and/or physical activity: A systematic review. Sports Med. 2017, 47, 135–161. [Google Scholar] [CrossRef]
- Lohmann, J.; Breithecker, J.; Ohl, U.; Giess-Stueber, P.; Brandl-Bredenbeck, H.P. Teachers’ professional action competence in education for sustainable development: A systematic review from the perspective of physical education. Sustainability 2021, 13, 13343. [Google Scholar] [CrossRef]
- Nyberg, G.; Backman, E.; Larsson, H. Exploring the meaning of movement capability in physical education teacher education through student voices. Eur. Phys. Educ. Rev. 2020, 26, 144–158. [Google Scholar] [CrossRef]
- Perez-Pueyo, A.; Hortiguela-Alcala, D.; Hernando-Garijo, A.; Gonzalez-Villora, S.; Sanchez-Miguel, P.A. The attitudinal style as pedagogical model in physical education. Int. J. Environ. Res. Public Health 2021, 18, 56–72. [Google Scholar] [CrossRef]
- Casey, A.; Goodyear, V.A. Can cooperative learning achieve the four learning outcomes of physical education? A review of literature. Quest 2015, 67, 56–72. [Google Scholar] [CrossRef]
- Trigueros, R.; Mínguez, L.A.; González-Bernal, J.J.; Jahouh, M.; Soto-Camara, R.; Aguilar-Parra, J.M. Influence of teaching style on physical education adolescents’ motivation and health-related lifestyle. Nutrients 2019, 11, 2594. [Google Scholar] [CrossRef] [PubMed]





Disclaimer/Publisher’s Note: The statements, opinions and data contained in all publications are solely those of the individual author(s) and contributor(s) and not of MDPI and/or the editor(s). MDPI and/or the editor(s) disclaim responsibility for any injury to people or property resulting from any ideas, methods, instructions or products referred to in the content. |
© 2023 by the authors. Licensee MDPI, Basel, Switzerland. This article is an open access article distributed under the terms and conditions of the Creative Commons Attribution (CC BY) license (https://creativecommons.org/licenses/by/4.0/).
Share and Cite
Jiang, M.; Yu, H.; He, J.; Qian, G.; Bialas, M. Effectiveness of Cooperative Learning Instructional Models in Training In-Service Physical Education Teachers in Southwest China. Sustainability 2023, 15, 9993. https://doi.org/10.3390/su15139993
Jiang M, Yu H, He J, Qian G, Bialas M. Effectiveness of Cooperative Learning Instructional Models in Training In-Service Physical Education Teachers in Southwest China. Sustainability. 2023; 15(13):9993. https://doi.org/10.3390/su15139993
Chicago/Turabian StyleJiang, Man, Hongli Yu, Juan He, Guoping Qian, and Marcin Bialas. 2023. "Effectiveness of Cooperative Learning Instructional Models in Training In-Service Physical Education Teachers in Southwest China" Sustainability 15, no. 13: 9993. https://doi.org/10.3390/su15139993
APA StyleJiang, M., Yu, H., He, J., Qian, G., & Bialas, M. (2023). Effectiveness of Cooperative Learning Instructional Models in Training In-Service Physical Education Teachers in Southwest China. Sustainability, 15(13), 9993. https://doi.org/10.3390/su15139993

