Rethinking National Competitiveness for Europe 2050: The Case of EU Countries
Abstract
1. Introduction
2. Literature Review
2.1. Transformations in the Concept of Competitiveness
2.2. The Impact of Place Specificity on Green Competitiveness
3. Research Methodology and Data
- CI—competitiveness index;
- I—institutions;
- Infr—basic and IT infrastructure;
- Ma—macroeconomic environment and market size;
- HE—health and education;
- LM—labour market efficiency;
- Inn—innovation;
- CNE—climate-neutral environment;
- Wn—weight coefficient.
4. Research Results
4.1. Competitiveness Index and Comparison with CO2 Results
4.2. Clusterisation
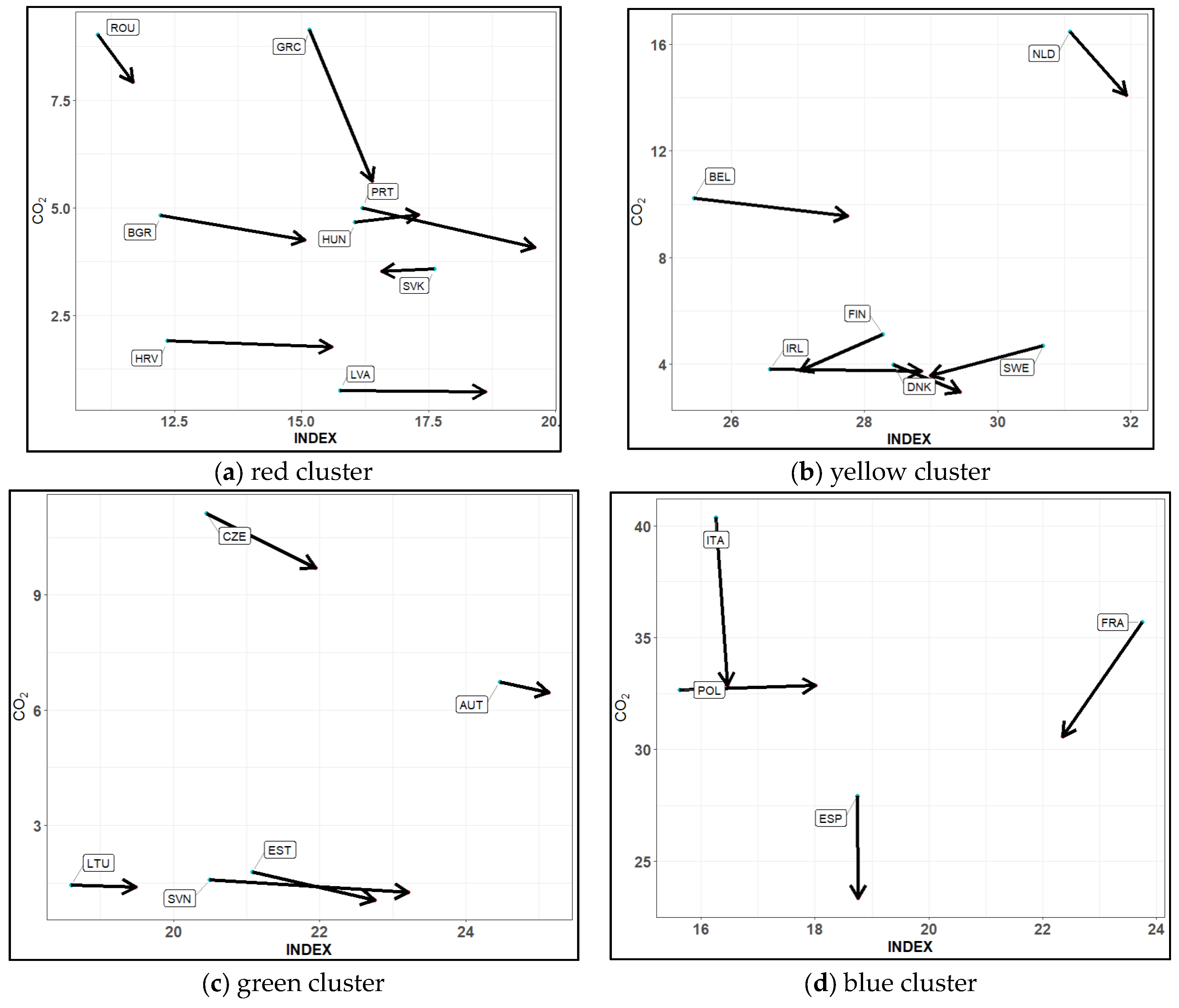
- Red cluster: Bulgaria, Greece, Hungary, Latvia, Romania, Portugal, Slovakia, Croatia;
- Yellow cluster: Belgium, Finland, Denmark, Ireland, Netherlands, Sweden;
- Green cluster: Austria, Czech Republic, Estonia, Lithuania, Slovenia;
- Blue cluster: France, Italy, Poland, Spain;
- Purple cluster: Germany.
- –
- relatively low competitiveness and relatively low CO2 emissions (competitiveness index and CO2 values are below average);
- –
- relatively high competitiveness and relatively low CO2 emissions (competitiveness index values are above the average and CO2 values are below the average);
- –
- relatively high competitiveness and relatively high CO2 emissions (competitiveness index and CO2 values are above the average);
4.3. PCA Results
4.4. Competitiveness Index and CO2 Trajectory Results
5. Discussion
6. Conclusions
Author Contributions
Funding
Institutional Review Board Statement
Informed Consent Statement
Data Availability Statement
Conflicts of Interest
Appendix A. Indicators Used in Competitiveness Index Calculation
| No. | Sub-Index | Indicator | Data Source |
|---|---|---|---|
| Institutions | |||
| 1 | Government Effectiveness | Government Effectiveness Estimate | World Bank |
| 2 | Political Stability and Absence of Violence/Terrorism | Political Stability and Absence of Violence/Terrorism Estimate | World Bank |
| Macroeconomic environment and market size | |||
| 3 | Gross domestic product | Gross domestic product per capita | Eurostat |
| 4 | Poverty ratio | The at-risk-of-poverty rate is the share of people with an equalized disposable income (after social transfer) below the at-risk-of-poverty threshold, which is set at 60% of the national median equalized disposable income after social transfers. | Eurostat |
| 5 | Foreign direct investment | Foreign direct investment per capita | Eurostat |
| 6 | Level of entrepreneurship | Enterprises per 100,000 capita | Eurostat |
| 7 | International trade as a share of GDP | International trade (% of GDP) | World Bank |
| 8 | Export market shares | Export market shares—5 years % change | Eurostat |
| 9 | Households expenditure of GDP | Households final consumption expenditure (% of GDP) | World Bank |
| 10 | High—technology export | High—technology export (% of goods export) | World Bank |
| 11 | ICT service export | ICT service export (% of service exports) | World Bank |
| 12 | Population degree of urbanization | Part of the population living in the city | Eurostat |
| Basic and IT infrastructure | |||
| 13 | Broadband Internet by speed | Broadband Internet speed (Mbps) | Eurostat |
| 14 | Renewable energy consumption | Renewable energy consumption (% of total final energy consumption) | Eurostat |
| 15 | Secure Internet servers | Secure internet servers per 1 million people (TLS/SSL) | World Bank |
| 16 | Internet user | Internet users per1000 people | Eurostat |
| Innovation | |||
| 17 | Total intramural R&D expenditure | Total intramural R&D expenditure (GERD) ratio | Eurostat |
| 18 | Human resources in science and technology | HRST (% from all employed people) | Eurostat |
| 19 | R&D expenditure | R&D expenditure (% of GDP) | World Bank |
| 20 | Patents related to recycling and secondary raw materials | Patents related to recycling and secondary raw materials per 1000 enterprises | Eurostat |
| Health and education | |||
| 21 | Early leavers from education and training | Early leavers from education and training (% of population from 18 to 24 years) | Eurostat |
| 22 | Lifelong learning | Participation in lifelong learning (%of population from 25 to 65 years) | Eurostat |
| 23 | Students enrolled in tertiary education | Students enrolled in tertiary education per 1 million people | Eurostat |
| 24 | Tertiary education | The share of the population with tertiary education | Eurostat |
| 25 | Public expenditure on education | Public expenditure on education (% GDP) | World Bank |
| 26 | People with good or very good perceive health | Share of people with good or very good perceive health | Eurostat |
| 27 | Healthy life expectancy based on self perceived health | Health expectancy in absolute values at birth | Eurostat |
| 28 | Total health care expenditure | Total health care expenditure (% GDP) | World Bank |
| 29 | Self-reported unmet need for medical examination and care | Share of the population self-reported unmet need for medical examination and care | Eurostat |
| 30 | Health impacts of air pollution | Rate of premature deaths due to air pollution | Eurostat |
| 31 | Life expectancy at birth | Mean number of years that a new-born child can expect to live if subjected throughout his life to the current mortality conditions | Eurostat |
| Labor market efficiency | |||
| 32 | Employment rate | Employment rate of the total population | Eurostat |
| 33 | Participation rate | Labor force per working age population | Eurostat |
| 34 | Young people neither in employment nor in education and training | Young people neither in employment nori n education and training (NEET) ratio (% of total population) | Eurostat |
| 35 | Labour productivity | Labour productivity per person employed and hour worked | Eurostat |
| 36 | Average full time adjusted salary per employee | Average full time adjusted salary per employee | Eurostat |
| 37 | Fatal accidents at work | Fatal accidents at work per 100,000 workers | Eurostat |
| Climate-neutral environment | |||
| 38 | Recycling rates for packing waste | Share of recycled packaging waste in all generated packaging waste | Eurostat |
| 39 | Recycling rate of municipal waste | Recycling of municipal waste share to all waste | Eurostat |
| 40 | Exposure to air pollution by particulate matter | The population weighted annual mean concentration of particulate matter at urban background stations in agglomerations | Eurostat, EEA |
| 41 | Air pollution | The emissions intensity of the particulate matter from manufacturing sector in grams per euro of value added | Eurostat |
| 42 | Circular material use rate | Circular material use rate | Eurostat |
| 43 | Grow of forest area | Growth of forest area in 5 years | World Bank |
| 44 | Climate related economic loses | The economic losses from weather and climate—related events, euro per inhabitant | Eurostat, EEA |
Appendix B. Descriptive Statistics of Data Sample
| No. | Sub-indicator | Minimum | 1st Quartile | Median | Mean | 3rd Quartile | Maximum |
|---|---|---|---|---|---|---|---|
| 1 | Government Effectiveness | −0.2574 | 0.5889 | 1.0607 | 1.0517 | 1.1527 | 2.2100 |
| 2 | Political Stability and Absence of Violence/Terrorism | −0.2303 | 0.4747 | 0.7485 | 0.6916 | 0.9418 | 1.4008 |
| 3 | Gross domestic product | 5390 | 12752 | 18035 | 24002 | 35480 | 70530 |
| 4 | Poverty ratio | (13.20) 13.20 | (19.10) 19.10 | (22.20) 22.25 | (23.14) 23.15 | (27.85) 27.82 | (38.20) 38.20 |
| 5 | Foreign direct investment | −40.087 | 0.935 | 2.459 | 4.386 | 4.016 | 109.025 |
| 6 | Level of entrepreneurship | (2122) 2122 | (4196) 4228 | (5389) 5381 | (5549) 5517 | (6640) 6611 | (9980) 9980 |
| 7 | International trade as a share of GDP | 54.87 | 81.49 | 104.06 | 116.32 | 150.55 | 252.25 |
| 8 | Export market shares | −32.620 | 9.320 | 1.115 | 1.859 | 9.172 | 78.380 |
| 9 | Households expenditure of GDP | 23.650 | 49.830 | 54.290 | 54.100 | 59.450 | 70.220 |
| 10 | High—technology export | (4.493) 4.493 | (9.398) 9.409 | (12.299) 12.344 | (13.929) 13.994 | (17.678) 17.727 | (32.833) 32.833 |
| 11 | ICT service export | (2.444) 2.444 | (7.485) 7.558 | (9.428) 9.420 | (12.705) 12.688 | (13.949) 13.938 | (58.950) 58.950 |
| 12 | Population degree of urbanization | 53.11 | 61.49 | 70.47 | 71.75 | 80.05 | 98.12 |
| 13 | Broadband Internet by speed | (0.40) 0.40 | (44.27) 42.98 | (63.55) 61.95 | (61.00) 59.54 | (83.53) 82.12 | (98.50) 98.50 |
| 14 | Renewable energy consumption | 4.659 | 14.754 | 19.327 | 22.721 | 29.646 | 62.573 |
| 15 | Secure Internet servers | (131.40) 131.40 | (1208.9) 1310.8 | (5333.1) 7168.1 | (18983.7) 23084.2 | (21427.4) 25241 | (277330.6) 277330.6 |
| 16 | Internet user | (45.88) 45.88 | (73.21) 73.26 | (80.69) 80.70 | (79.63) 79.69 | (88.02) 88.11 | (98.87) 98.87 |
| 17 | Total intramural R&D expenditure | (17.80) 17.80 | (28.70) 27.77 | (33.60) 32.75 | (34.32) 33.26 | (39.65) 38.90 | (53.30) 53.30 |
| 18 | Human resources in science and technology | 2.900 | 5.500 | 6.600 | 7.078 | 8.825 | 13.000 |
| 19 | R&D expenditure | (0.3816) 0.3816 | (0.9653) 0.9653 | (1.4108) 1.4108 | (1.7244) 1.7297 | (2.3666) 2.3700 | (3.5272) 3.5272 |
| 20 | Patents related to recycling and secondary raw materials | (0.0000) 0.0000 | (0.1750) 0.1400 | (0.4900) 0.4850 | (0.6703) 0.6678 | (1.0375) 1.0600 | (3.2400) 3.2400 |
| 21 | Early leavers from education and training | 2.20 | 6.40 | 8.45 | 9.27 | 11.80 | 24.70 |
| 22 | Lifelong learning | 0.90 | 5.05 | 8.25 | 10.90 | 14.40 | 34.70 |
| 23 | Students enrolled in tertiary education | (2534) 2534 | (3537) 3585 | (4051) 4037 | (4173) 4168 | (4672) 4663 | (7510) 7510 |
| 24 | Tertiary education | 15.30 | 25.07 | 31.95 | 31.68 | 38.33 | 52.70 |
| 25 | Public expenditure on education | (7.157) 7.157 | (9.616) 9.618 | (10.944) 10.962 | (11.087) 11.096 | (12.300) 12.362 | (18.744) 18.744 |
| 26 | People with good or very good perceive health | (42.80) 42.80 | (59.75) 59.85 | (67.05) 67.15 | (65.57) 65.65 | (72.90) 73.00 | (84.10) 84.10 |
| 27 | Healthy life expectancy based on self perceived health | (60.30) 60.30 | (66.45) 66.50 | (72.10) 72.15 | (70.78) 70.85 | (74.35) 74.62 | (78.70) 78.70 |
| 28 | Total health care expenditure | (4.730) 4.730 | (6.827) 6.817 | (8.670) 8.490 | (8.568) 8.534 | (10.338) 10.340 | (12.820) 12.820 |
| 29 | Self-reported unmet need for medical examination and care | (0.000) 0.000 | (1.125) 1.175 | (2.100) 2.100 | (3.315) 3.307 | (4.300) 4.430 | (16.400) 16.400 |
| 30 | Health impacts of air pollution | (1.00) 1.00 | (34.00) 32.50 | (62.00) 58.50 | (66.50) 64.98 | (95.25) 94.25 | (219.00) 219.00 |
| 31 | Life expectancy at birth | (71.40) 71.40 | (76.95) 76.97 | (80.90) 80.90 | (79.48) 79.50 | (81.70) 81.72 | (84.00) 84.00 |
| 32 | Employment rate | 52.50 | 66.85 | 72.50 | 71.03 | 76.22 | 81.80 |
| 33 | Participation rate | 48.51 | 55.23 | 58.94 | 58.40 | 61.16 | 73.36 |
| 34 | Young people neither in employment nor in education and training | 5.50 | 9.80 | 12.80 | 13.77 | 16.70 | 28.10 |
| 35 | Labour productivity | 42.90 | 64.90 | 78.95 | 91.91 | 119.83 | 209.80 |
| 36 | Average full time adjusted salary per employee | (5266) 5266 | (13102) 13102 | (21620) 21620 | (27415) 27415 | (42125) 42125 | (72247) 72247 |
| 37 | Fatal accidents at work | (0.270) 0.270 | (1.425) 1.387 | (2.115) 2.095 | (2.220) 2.177 | (2.810) 2.763 | (5.780) 5.780 |
| 38 | Recycling rates for packing waste | (36.10) 36.10 | (59.23) 58.67 | (65.55) 64.95 | (64.26) 63.44 | (69.53) 69.33 | (85.30) 85.30 |
| 39 | Recycling rate of municipal waste | (10.30) 10.30 | (28.10) 28.48 | (36.30) 36.20 | (37.34) 37.51 | (48.10) 48.12 | (68.30) 68.30 |
| 40 | Exposure to air pollution by particulate matter | (0.0100) 0.0100 | (0.0500) 0.0500 | (0.0900) 0.0900 | (0.1783) 0.1708 | (0.2400) 0.2300 | (1.0200) 1.0200 |
| 41 | Air pollution | 4.80 | 10.40 | 14.10 | 14.56 | 19.00 | 29.30 |
| 42 | Circular material use rate | 1.300 | 4.300 | 7.400 | 9.067 | 11.600 | 33.800 |
| 43 | Grow of forest area | (−0.9676) −0.9676 | (0.0000) 0.0000 | (0.03512) 0.3512 | (0.06066) 0.06066 | (0.09979) 0.09979 | (0.53171) 0.53171 |
| 44 | Climate related economic loses | 20.60 | 57.40 | 72.30 | 74.34 | 87.53 | 138.80 |
Appendix C. Optimal Number of Clusters in kml3d, Callinski Harabatz Statistics

Appendix D. Countries’ Competitiveness Indices and Ranks

Appendix E. Decomposition of the Total Inertia on PCA Components (%)





References
- EC. A new Circular Economy Action Plan: For a Cleaner and More Competitive Europe. 2020. Available online: https://eur-lex.europa.eu/legal-content/EN/TXT/?qid=1583933814386&uri=COM:2020:98:FIN (accessed on 12 April 2023).
- Doyle, E.; Alaniz, M.P. Dichotomous impacts on social and environmental sustainability: Competitiveness and development levels matter. Competitiveness Rev. Int. Bus. J. 2020, 31, 771–791. [Google Scholar] [CrossRef]
- Rodríguez-Antón, J.M.; Rubio-Andrada, L.; Celemín-Pedroche, M.S. From the circular economy to the sustainable development goals in the European Union: An empirical comparison. Int. Environ. Agreem. Politics Law Econ. 2022, 22, 67–95. [Google Scholar] [CrossRef] [PubMed]
- Giannakitsidou, O.; Giannikos, I.; Chondrou, A. Ranking European countries on the basis of their environmental and circular economy performance: A DEA application in MSW. Waste Manag. 2020, 109, 181–191. [Google Scholar] [CrossRef]
- Krinjarić, T. Re-examining sustainable development in Europe: A data envelopment approach. Int. J. Environ. Sustain. Dev. 2020, 19, 72–108. [Google Scholar] [CrossRef]
- Kotseva-Tikova, M.; Dvorak, J. Climate Policy and Plans for Recovery in Bulgaria and Lithuania. Rom. J. Eur. Aff. 2022, 22, 79–99. [Google Scholar] [CrossRef]
- Trippl, M.; Baumgartinger-Seiringer, S.; Frangenheim, A.; Isaksen, A.; Rypestøl, J.O. Unravelling green regional industrial path development: Regional preconditions, asset modification and agency. Geoforum 2020, 111, 189–197. [Google Scholar] [CrossRef]
- Kirchherr, J.; Piscicelli, L.; Bour, R.; Kostense-Smit, E.; Muller, J.; Huibrechtse-Truijens, A.; Hekkert, M. Barriers to the Circular Economy: Evidence From the European Union (EU). Ecol. Econ. 2018, 150, 264–272. [Google Scholar] [CrossRef]
- Nentjes, A.; de Vries, F.P.; Wiersma, D. Technology-forcing through environmental regulation. Eur. J. Politi Econ. 2007, 23, 903–916. [Google Scholar] [CrossRef]
- Schmitt-Egner, P. The Concept of ‘Region’: Theoretical and Methodological Notes on its Reconstruction. J. Eur. Integr. 2002, 24, 179–200. [Google Scholar] [CrossRef]
- Hermann, C. Crisis, structural reform and the dismantling of the European Social Model(s). Econ. Ind. Democr. 2016, 38, 51–68. [Google Scholar] [CrossRef]
- Burghelea, C.; Ene, C.M.; Uzlău, C. Impact of economic models on European Union economies development. Theor. Appl. Econ. 2013, XX, 89–100. [Google Scholar]
- Golinowska, S.; Zukowski, M. Diversity and Commonality in European Social Policies: The Forging of a European Social Model. In Friedrich-Ebert-Stiftung and Wydawnictwo Naukowe Scholar, Warsaw; Golinowska, S., Hengstenberg, P., Zukowski, M., Eds.; 2009; pp. 13–21. Available online: https://www.researchgate.net/publication/293806844_Diversity_and_Commonality_in_European_Social_Policies_The_Forging_of_a_European_Social_Model (accessed on 12 April 2023).
- Martin, R.; Sunley, P. Path dependence and regional economic evolution. J. Econ. Geogr. 2006, 6, 395–437. [Google Scholar] [CrossRef]
- Lall, S. Technological capabilities and industrialization. World Dev. 1992, 20, 165–186. [Google Scholar] [CrossRef]
- Frantzeskaki, N.; Loorbach, D. Towards governing infrasystem transitions: Reinforcing lock-in or facilitating change? Technol. Forecast. Soc. Chang. 2010, 77, 1292–1301. [Google Scholar] [CrossRef]
- Perruchas, F.; Consoli, D.; Barbieri, N. Specialisation, diversification and the ladder of green technology development. Res. Policy 2020, 49, 103922. [Google Scholar] [CrossRef]
- Boschma, R.; Frenken, K. The emerging empirics of evolutionary economic geography. J. Econ. Geogr. 2011, 11, 295–307. [Google Scholar] [CrossRef]
- Martin, R. Roepke Lecture in Economic Geography-Rethinking Regional Path Dependence: Beyond Lock-in to Evolution. Econ. Geogr. 2010, 86, 1–27. [Google Scholar] [CrossRef]
- Klitkou, A.; Bolwig, S.; Hansen, T.; Wessberg, N. The role of lock-in mechanisms in transition processes: The case of energy for road transport. Environ. Innov. Soc. Transit. 2015, 16, 22–37. [Google Scholar] [CrossRef]
- Klitkou, A.; Fevolden, A.M.; Capasso, M. From Waste to Value: Valorisation Pathways for Organic Waste Streams in Circular Bioeconomies, 1st ed.; Routledge: London, UK, 2019. [Google Scholar] [CrossRef]
- Kar, S.; Roy, A.; Sen, K. The double trap: Institutions and economic development. Econ. Model. 2018, 76, 243–259. [Google Scholar] [CrossRef]
- Ketels, C.; Porter, M.E. Rethinking the role of the EU in enhancing European competitiveness. Competitiveness Rev. Int. Bus. J. 2020, 31, 189–207. [Google Scholar] [CrossRef]
- Festa, G.; Rossi, M.; Vrontis, D. Guest editorial: Reinterpreting competitive strategies in turbulent scenarios. Competitiveness Rev. Int. Bus. J. 2022, 32, 277–281. [Google Scholar] [CrossRef]
- Hansen, T.; Coenen, L. The geography of sustainability transitions: Review, synthesis and reflections on an emergent research field. Environ. Innov. Soc. Transit. 2015, 17, 92–109. [Google Scholar] [CrossRef]
- Mazzucato, M. Mission-oriented innovation policies: Challenges and opportunities. Ind. Corp. Chang. 2018, 27, 803–815. [Google Scholar] [CrossRef]
- Porter, M.E.; van der Linde, C. Toward a New Conception of the Environment-Competitiveness Relationship. J. Econ. Perspect. 1995, 9, 97–118. [Google Scholar] [CrossRef]
- Jaffe, A.B.; Palmer, K. Environmental Regulation and Innovation: A Panel Data Study. Rev. Econ. Stat. 1997, 79, 610–619. [Google Scholar] [CrossRef]
- Dabbous, A.; Barakat, K.A.; Kraus, S. The impact of digitalization on entrepreneurial activity and sustainable competitiveness: A panel data analysis. Technol. Soc. 2023, 73, 102224. [Google Scholar] [CrossRef]
- Schwab, K. The Fourth Industrial Revolution; Portfolio Penguin: London, UK, 2017. [Google Scholar]
- Stiglitz, J. The Current Economic Crisis and Lessons for Economic Theory. East. Econ. J. 2009, 35, 281–296. [Google Scholar] [CrossRef]
- Sgambati, S.; Gargiulo, C. The evolution of urban competitiveness studies over the past 30 years. A bibliometric analysis. Cities 2022, 128, 103811. [Google Scholar] [CrossRef]
- WEF. Beyond the Equity-Efficiency Trade-Off: Practical Ideas for Inclusive Growth and Competitiveness in Europe. 2015. Available online: https://www3.weforum.org/docs/WEF_EUROPE-LAB.pdf (accessed on 12 April 2023).
- Fischer, C. Green Competitiveness. 2011. Available online: https://ec.europa.eu/economy_finance/events/2011/2011-11-21-annual-research-conference_en/pdf/session032_fischer_en.pdf (accessed on 12 April 2023).
- Weick, V. Chapter 6: Green Economy and sustainable development. In Waste Management and the Green Economy; Kummer Peiry, K., Ziegler, A.R., Baumgartner, J., Eds.; Edward Elgar Publishing: Cheltenham, UK, 2016; pp. 121–150. [Google Scholar] [CrossRef]
- Turok, I. Cities, Regions and Competitiveness. Reg. Stud. 2004, 38, 1069–1083. [Google Scholar] [CrossRef]
- Luo, Y.; Mensah, C.N.; Lu, Z.; Wu, C. Environmental regulation and green total factor productivity in China: A perspective of Porter’s and Compliance Hypothesis. Ecol. Indic. 2022, 145, 109744. [Google Scholar] [CrossRef]
- Rexhäuser, S.; Rammer, C. Environmental Innovations and Firm Profitability: Unmasking the Porter Hypothesis. Environ. Resour. Econ. 2013, 57, 145–167. [Google Scholar] [CrossRef]
- Lanoie, P.; Laurent-Lucchetti, J.; Johnstone, N.; Ambec, S. Environmental Policy, Innovation and Performance: New Insights on the Porter Hypothesis. J. Econ. Manag. Strat. 2011, 20, 803–842. [Google Scholar] [CrossRef]
- OECD. Green Policies and Firms’ Competitiveness. 2018. Available online: https://www.oecd.org/greengrowth/GGSD_2018_Competitiveness%20Issue%20Paper_WEB.pdf (accessed on 14 April 2023).
- OECD. Towards Green Growth: Monitoring Progress OECD Indicators. 2019. Available online: https://www.oecd.org/greengrowth/48224574.pdf (accessed on 14 April 2023).
- Geyer, R. The Business of Less: The Role of Companies and Households on a Planet in Peril, 1st ed.; Routledge: London, UK, 2021. [Google Scholar] [CrossRef]
- Choe, K.A.; Roberts, B.H. Competitive Cities in the 21st Century: Cluster-Based Local Economic Development; Asian Development Bank: Mandaluyong City, Philippines, 2011; ISBN 978-92-9092-431-9. [Google Scholar]
- Fankhauser, S.; Bowen, A.; Calel, R.; Dechezleprêtre, A.; Grover, D.; Rydge, J.; Sato, M. Who will win the green race? In search of environmental competitiveness and innovation. Glob. Environ. Chang. 2013, 23, 902–913. [Google Scholar] [CrossRef]
- Aiginger, K.; Bärenthaler-Sieber, S.; Vogel, J. Competitiveness under New Perspectives. Working Paper No. 44, WIFO. 2013. Available online: https://www.wifo.ac.at/jart/prj3/wifo/resources/person_dokument/person_dokument.jart?publikationsid=47019&mime_type=application/pdf (accessed on 14 April 2023).
- Schumpeter, J. Capitalism, Socialism and Democracy; Harper and Row: New York, NY, USA, 1942. [Google Scholar]
- Zheng, S.; Pu, Y.; Lu, H.; Zhang, J.J.; Wang, D.; Ma, X. Global climate policy effectiveness: A panel data analysis. J. Clean. Prod. 2023, 412, 137321. [Google Scholar] [CrossRef]
- Wolf, M.J.; Emerson, J.W.; Esty, D.C.; de Sherbinin, A.; Wendling, Z.A. 2022 Environmental Performance Index. Yale Center for Environmental Law & Policy: New Haven, CT, USA. 2022. Available online: https://epi.yale.edu/ (accessed on 14 April 2023).
- Despotovic, D.; Cvetanovic, S.; Nedic, V.; Despotovic, M. Social Aspects of Sustainable Competitiveness in the Selected European Countries in the Period 2012–2015. Soc. Indic. Res. 2018, 141, 841–860. [Google Scholar] [CrossRef]
- Wang, M.; Feng, C. The win-win ability of environmental protection and economic development during China’s transition. Technol. Forecast. Soc. Chang. 2021, 166, 120617. [Google Scholar] [CrossRef]
- Schwab, K. The Global Competitiveness Report 2019. World Economic Forum. 2019. Retrieved 15 December 2020. Available online: http://www3.weforum.org/docs/WEF_TheGlobalCompetitivenessReport2019.pdf (accessed on 17 April 2023).
- Zhang, H.; Geng, Z.; Yin, R.; Zhang, W. Regional differences and convergence tendency of green development competitiveness in China. J. Clean. Prod. 2020, 254, 119922. [Google Scholar] [CrossRef]
- Dolge, K.; Kubule, A.; Blumberga, D. Composite index for energy efficiency evaluation of industrial sector: Sub-sectoral comparison. Environ. Sustain. Indic. 2020, 8, 100062. [Google Scholar] [CrossRef]
- Azis, I. Regional Economics: Fundamental Concepts, Policies, and Institutions; World Scientific Publishing: Singapore, 2020; p. 166. [Google Scholar] [CrossRef]
- Shen, N.; Li, J. Improved structured sparse PCA for cluster-based co-saliency detection. In Proceedings of the 7th International Conference on Internet Multimedia Computing and Service (ICIMCS ‘15), Zhangjiajie, China, 19–21 August 2015; pp. 1–4. [Google Scholar] [CrossRef]
- Dagilienė, L.; Bruneckienė, J.; Varaniūtė, V.; Lukauskas, M. The circular economy for sustainable develop-ment: Implementation strategies in advanced small open economies. Int. J. Environ. Sustain. Dev. 2023, 22, 51–76. [Google Scholar] [CrossRef]
- Mi, Z.; Zeng, G.; Xin, X.; Shang, Y.; Hai, J. The extension of the Porter hypothesis: Can the role of environmental regulation on economic development be affected by other dimensional regulations? J. Clean. Prod. 2018, 203, 933–942. [Google Scholar] [CrossRef]
- Chen, Y.P.; Zhuo, Z.; Huang, Z.; Li, W. Environmental regulation and ESG of SMEs in China: Porter hypothesis re-tested. Sci. Total. Environ. 2022, 850, 157967. [Google Scholar] [CrossRef] [PubMed]
- Albrizio, S.; Kozluk, T.; Zipperer, V. Environmental policies and productivity growth: Evidence across industries and firms. J. Environ. Econ. Manag. 2017, 81, 209–226. [Google Scholar] [CrossRef]





| Criteria | Sustainable Competitiveness | Green Competitiveness |
|---|---|---|
| Pillars | Sustainable competitiveness includes social, economic and environmental development [29] | Balance between economic and environmental development [1] |
| Focus | Balance among different pillars | Finding new areas of competitiveness [34]. Sustainability remains the vital long-term goal, but the Green Economy is described as the pathway to sustainable development [35] |
| Focus | Economic viability, social well-being, and environmental stewardship | Environmental preservation, resource efficiency, clean production and energy, carbon footprint reduction |
| Innovation and Technology | Sustainable innovation and technologies across sectors | Focusing on the development and adoption of green technologies, clean energy solutions, and resource-efficient processes |
| Practices | Total entrepreneurial activity is a driver for sustainable competitiveness [29] | Primarily centered on environmental factors and eco-friendly practices |
| Cluster | Cluster Characterization and Competitiveness Factors | Green Competitiveness Profiles |
|---|---|---|
| Red | This cluster is characterised by developing countries with a high reliance on exports (based on indicators in PCA: low export market share per 5 years, low trade of DGP) and a need for economic modernisation (low labour productivity per hour, low GDP per capita). Economic development driven by government stimulation (compliance with EU policy) (no foreign direct investment, low export market share per 5 years, low trade as share of GDP), small and medium-sized enterprises (enterprises per 100,000 people), focusing on core industries—tourism and manufacturing, as well as education. Economically underdeveloped markets, low CO2. Labour-intensive economic activities do not generate CO2 intensively. Government sector influences economic development. This cluster is a mixure of the central and eastern model (Latvia, Romania, Bulgaria, Hungary, Slovakia, Croatia) and the southern/Mediterranean model (Greece, Portugal) [11,12,13] | Relatively low competitiveness and relatively low CO2 emissions |
| Yellow | This cluster may be characterised by economic development driven by innovation (hight labour productivity per hour, ICT service export, export market shares per 5 years), high-tech exports, productivity oriented towards environmental sustainability, sustainable urban planning (high urban population, low air pollution and high percentage of the population in good or very good health), education and research (high R&D expenditure as share of GDP). Although consumption occurs at a high level, innovations in environmental sustainability and education create the conditions for reducing CO2 emissions from rising consumption and changing the behaviour patterns. This cluster is characterised by the Scandinavian model, which focuses on striking a balance between market relations and state regulation (į.e., welfare states) [11,12,13]. | Relatively high competitiveness and relatively low CO2 emissions |
| Green | This cluster is characterised by small open economies, attracting foreign investment (foreign direct investment), diverse economic structure (different kinds of service, manufacturers), export-oriented growth and a focus on digitalisation and innovation adoption (ICT service exports, high-tech export). Economic development driven by government stimulation (compliance with EU policy), productivity and innovation adoption (high average full-time adjusted salary per employee, high labour productivity per hour), export orientation, and education and research (R&D expenditure as share of GDP, health care expenditure as share of GDP). Small markets, relatively low consumption, orientation towards eco-efficiency and exports mean that CO2 emissions are relatively low. This cluster is a mixure of the central and eastern model’s ‘catching-up’ sub-model and the continental model (Austria) [11,12,13]. | Relatively high competitiveness and relatively low CO2 emissions |
| Blue | This cluster is characterised by big economies and diverse economic structures with sum hubs of high value-added industries. Economic development is promoted by high productivity (high productivity per hour, high GDP per capita, average full time adjusted salary per employee), which is focused on digitalisation (individuals using the internet, R&D expenditure as share of GDP), the introduction of new innovations, and high consumption within countries (high urban population, high household expenditure as share of GDP). Big markets, high consumption, high CO2—but innovations in environmental sustainability and education are offsetting the rate of CO2 increase due to consumption. This cluster is a mixure of the southern/Mediterranean (Italy, Spain); central and eastern (Poland), and continental (France) models [11,12,13]. | Relatively high competitiveness and relatively low CO2 emissions |
| Purple | Economic development driven by high-productivity manufacturing, oriented towards digitalisation (R&D expenditure as share of GDP) and climate mitigation policies such eco-efficiency and recycling (high packing waste recycling rate, high circular material use rate, high share of renewable energy), education (expenditure on education as share of GDP) and high consumption (household expenditure as share of GDP). It stands out due to its high CO2 emissions due to high production volumes and high levels of consumption. Nevertheless, this cluster is characterised by the fact that production is focused on innovations that are based on digitisation. This cluster is characterised by the Rhenish (German) model [11,12,13]. | Relatively high competitiveness and relatively high CO2 emissions |
| Profile: relatively high competitiveness and relatively high CO2 emissions Progress strategy (1): Potential growth of green competitiveness Countries (purple cluster): Germany | ![]() | Climate neutrality | |
| Profile: relatively low competitiveness and relatively low CO2 emissions Progress strategy (2): lagging increase in green competitiveness Countries (red cluster): Bulgaria, Greece, Hungary, Latvia, Romania, Portugal, Slovakia, Croatia | Profile: relatively high competitiveness and relatively low CO2 emissions Progress strategy (1): Inspiring steady growth in green competitiveness. Countries (yellow cluster): Belgium, Finland, Denmark, Ireland, Netherlands, Sweden Progress strategy (2): Threatening stagnation of green competitiveness. Countries (blue cluster): France, Italy, Poland, Spain Progress strategy (3): Shocking growth in green competitiveness, transitioning to slower growth Countries (green cluster): Austria, Czech Republic, Estonia, Lithuania, Slovenia | ||
| Competitiveness | |||
![]() | |||
Disclaimer/Publisher’s Note: The statements, opinions and data contained in all publications are solely those of the individual author(s) and contributor(s) and not of MDPI and/or the editor(s). MDPI and/or the editor(s) disclaim responsibility for any injury to people or property resulting from any ideas, methods, instructions or products referred to in the content. |
© 2023 by the authors. Licensee MDPI, Basel, Switzerland. This article is an open access article distributed under the terms and conditions of the Creative Commons Attribution (CC BY) license (https://creativecommons.org/licenses/by/4.0/).
Share and Cite
Bruneckienė, J.; Zykienė, I.; Mičiulienė, I. Rethinking National Competitiveness for Europe 2050: The Case of EU Countries. Sustainability 2023, 15, 10697. https://doi.org/10.3390/su151310697
Bruneckienė J, Zykienė I, Mičiulienė I. Rethinking National Competitiveness for Europe 2050: The Case of EU Countries. Sustainability. 2023; 15(13):10697. https://doi.org/10.3390/su151310697
Chicago/Turabian StyleBruneckienė, Jurgita, Ineta Zykienė, and Ieva Mičiulienė. 2023. "Rethinking National Competitiveness for Europe 2050: The Case of EU Countries" Sustainability 15, no. 13: 10697. https://doi.org/10.3390/su151310697
APA StyleBruneckienė, J., Zykienė, I., & Mičiulienė, I. (2023). Rethinking National Competitiveness for Europe 2050: The Case of EU Countries. Sustainability, 15(13), 10697. https://doi.org/10.3390/su151310697



