Exploring the Level and Influencing Factors of Digital Village Development in China: Insights and Recommendations
Abstract
1. Introduction
2. Literature Review
2.1. The Implications of the Digital Economy
2.2. Factors Influencing the Digital Economy
2.3. Three Ways for Digital Economy Measuring
2.4. Impact of the Digital Economy on Economic Development and Social Well-Being
3. Research Framework
3.1. Connotation
3.2. Evaluation Index System
3.3. Data Sources
4. Methodology
4.1. Entropy Method
4.2. Kernel Density Estimation
4.3. Tobit Model
4.4. Explanation of the Variables
4.4.1. Explained Variables
4.4.2. Explanatory Variables
5. Result and Analysis
5.1. Evaluation of Digital Village Construction in China
5.1.1. Spatiotemporal Evolution Characteristics
- Overall Spatiotemporal Evolution Characteristics of China’s Digital Village Construction
- Overall Spatiotemporal Evolution Characteristics of China’s Digital Village Construction Subsystem
- Overall Spatiotemporal Evolution Characteristics of China’s Digital Rural Construction by Region
5.1.2. Dynamic Evolution Characteristics of China’s Digital Rural Construction
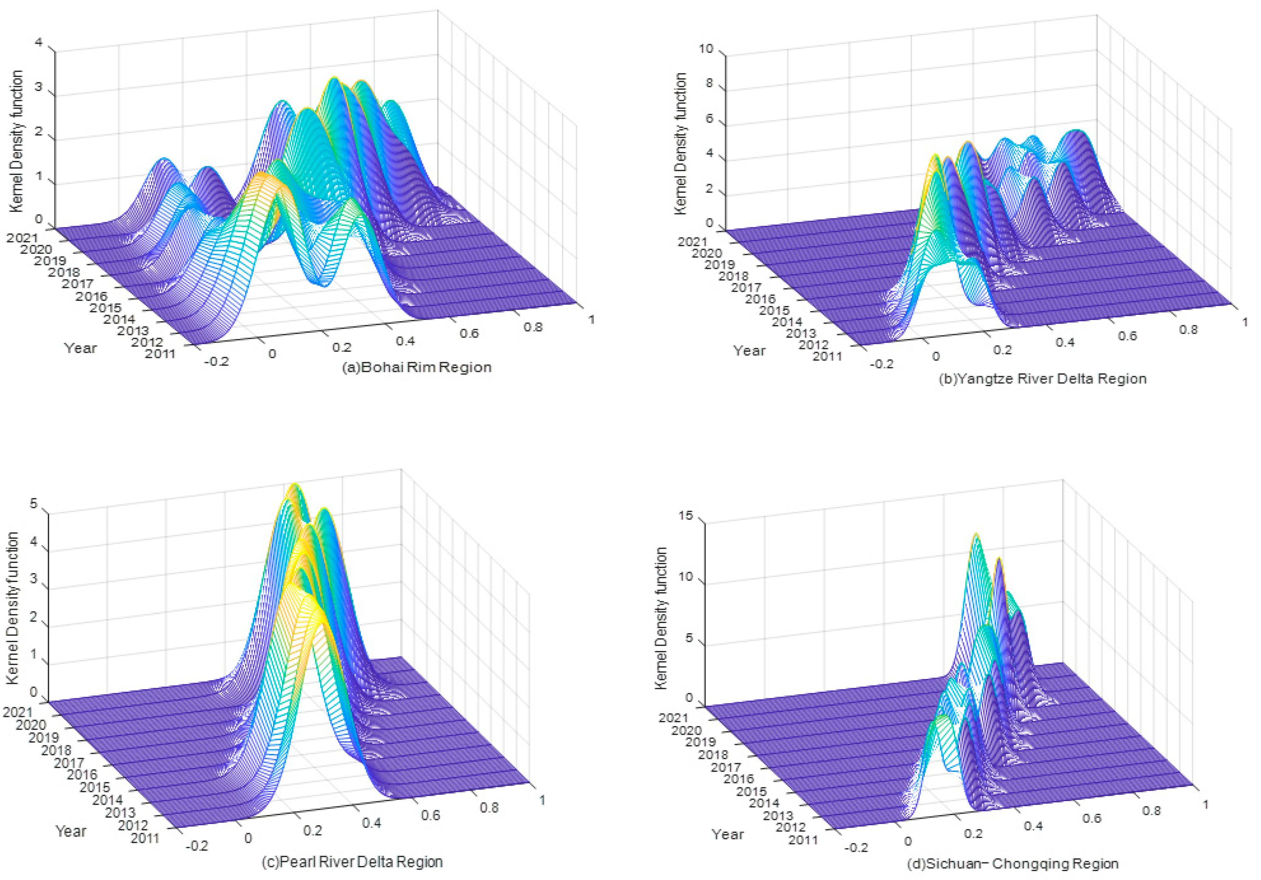
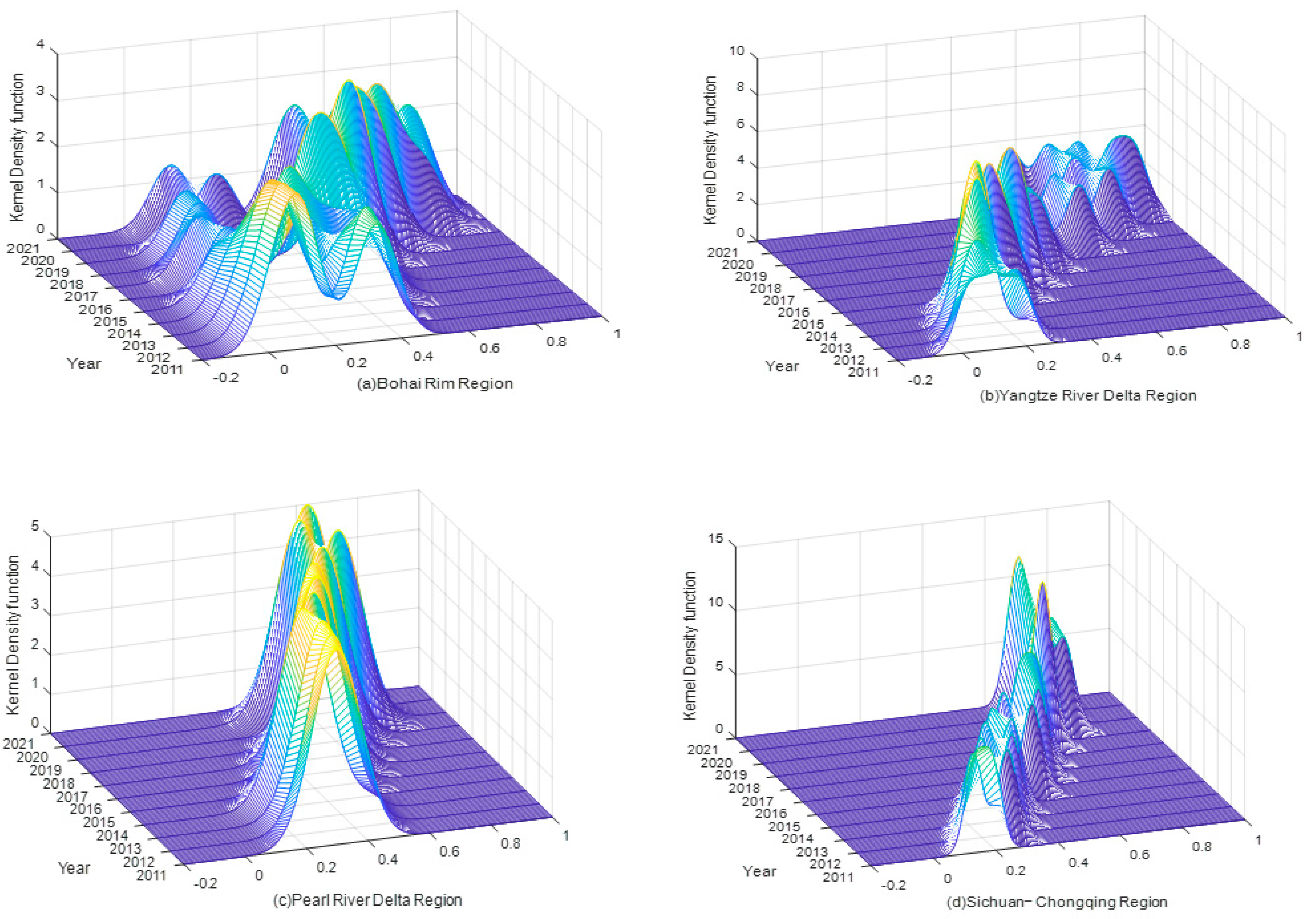
- Dynamic Progression Characteristics of Digital Rural Construction in the Main Economic Zones
- Dynamic Evolutionary Characteristics of China’s Digital Rural Construction
5.2. Empirical Results and Analyses
5.2.1. Benchmark Regression Results Based on the Tobit Model
- Urbanisation has led talents with higher academic credentials to frequently choose to leave the countryside and move to the city, resulting in the outflow of a high-quality professional population to the countryside.
- Elderly people with lower educational levels and residents lacking professional skills tend to remain in the countryside, making it difficult for them to have a direct and positive impact on the rural digital construction industry.
- The constant evolution of digital technology requires higher professional and thinking mode reforms for digital talent. A high level of education, inherent educational background, and skill reserve is preventing the direct promotion of the digital countryside’s development.
5.2.2. Endogenous Test
5.2.3. Robustness Test
- Transform estimation model: The Tobit model was replaced with an OLS model to run a robustness test and assess the sensitivity of the coefficient to China’s digital rural construction.
- Modification of the format of control variables: The percentage of rural households that own a computer and the percentage of rural households that own a television were checked.
- Reducing the number of samples: Based on the systematic clustering of the results of this study, the robustness test selected the digital rural construction demonstration area, digital rural construction high-level area, digital rural construction good development area, and digital rural construction as improved areas and then estimated the robustness of the coefficient across various regions and sample sizes. The robustness results are presented in Table 4.
6. Discussion
6.1. Overall Evolution Trend
6.2. Dynamic Evolution Trend
6.3. Influencing Factor
7. Conclusions
7.1. Theoretical Implications
- In areas with relatively backward economic and technological levels, the influence of resource endowment and industrial policy on the level of digital village construction exceeded that of digital technology itself, and a higher level of digital village development can be achieved through reasonable policy combinations, as shown in Figure 5.
- Since the implementation of the digital countryside strategy for five years, digital technology innovation and research and development levels have become the main problems restricting the construction of the digital countryside. Although the detailed policy standards are conducive to the construction of a digital countryside in the long run, they delay the process of digital infrastructure and digital industrialization in the short run, as shown in Figure 6.
- Education has a negative impact on the construction of the digital countryside, and population flow should be considered an intermediary variable whereby education level affects the digital level of rural areas.
7.2. Managerial Implications
- Rural governance and business models should be innovated according to local realities to undertake the transfer of digital technology and digital industry. Regions with higher digital technological levels should actively explore innovation in industrial models and perform well in terms of technology transfer. South Korea’s Digital Twin Programme and experience from Japan Agricultural Co-operatives are worth learning from [34,35]. Regions with less developed digital technologies should mine more data resources based on local resource endowments, such as tourism and natural resources, and explore a digital economy model for sustainable development.
- Policies should be formulated based on the actual conditions of each region to give local governments more flexibility in governance, paying attention to social responsibility education in digital enterprises, reducing short-term profit-making behaviours of digital enterprises in investment and operation, and promoting the sustainable development of the digital countryside.
- More preferential policies and attractive salary and incentive mechanisms should be formulated to attract digital technical talents. Basic education and digital skills training for rural residents should be strengthened by conducting training programmes that are designed to meet the development needs of rural people of different ages and occupations. The experience of India should be used as an example in developing digital literacy campaigns for the rural population.
- The construction of rural infrastructure should be accelerated to improve the integration of roads, electricity, logistics, and land resources that are compatible with the digital economy. More attention should be paid to cloud computing, artificial intelligence, remote sensing data, power data, and other specific applications for their applicability in agriculture and rural governance.
7.3. Suggestions for Future Research
Author Contributions
Funding
Institutional Review Board Statement
Informed Consent Statement
Data Availability Statement
Conflicts of Interest
References
- Hang, H.; Chen, Z. How to Realize the Full Potentials of Artificial Intelligence (AI) in Digital Economy? A Literature Review. J. Digit. Econ. 2022, 1, 180–191. [Google Scholar] [CrossRef]
- Tapscott, D. The Digital Economy: Promise and Peril in the Age of Networked Intelligence; McGraw-Hill: New York, NY, USA, 1996; ISBN 978-0-07-063342-1. [Google Scholar]
- Goldfarb, A.; Tucker, C. Digital Economics. J. Econ. Lit. 2019, 57, 3–43. [Google Scholar] [CrossRef]
- Bukht, R.; Heeks, R. Defining, Conceptualising and Measuring the Digital Economy. Int. Organ. Res. J. 2018, 13, 143–172. [Google Scholar] [CrossRef]
- Willis, K.S. Making a “Place” for ICTs in Rural Communities: The Role of Village Halls in Digital Inclusion. In Proceedings of the 9th International Conference on Communities & Technologies—Transforming Communities, Vienna, Austria, 3–7 June 2019; ACM: Vienna, Austria, 2019; pp. 136–142. [Google Scholar] [CrossRef]
- Fujisaki, K.; Yasuda, T.; Ishigami, T.; Makimura, K.; Ishida, H. Empirical Recommendations Based on Case Studies in Japan for Sustainable Innovative Mobility in Rural Areas. Asian Transp. Stud. 2022, 8, 100079. [Google Scholar] [CrossRef]
- Fountain, J.E. Building the Virtual State: Information Technology and Institutional Change; Brookings Institution Press: Washington, DC, USA, 2001; ISBN 978-0-8157-0077-7. [Google Scholar]
- Jeffrey, R. E-Governance & Digital Government in Canada: The Necessity of Both Structural and Cultural Transformations. Towards the E-Society. Gov. Inf. Q. 2001, 74, 845–856. [Google Scholar] [CrossRef]
- Akerman, A.; Gaarder, I.; Mogstad, M. The Skill Complementarity of Broadband Internet. Quart. J. Econ. 2015, 130, 1781–1824. [Google Scholar] [CrossRef]
- Jalali, A.A.; Okhovvat, M.R.; Okhovvat, M. A New Applicable Model of Iran Rural E-Commerce Development. Procedia Comput. Sci. 2011, 3, 1157–1163. [Google Scholar] [CrossRef]
- Rotz, S.; Gravely, E.; Mosby, I.; Duncan, E.; Finnis, E.; Horgan, M.; LeBlanc, J.; Martin, R.; Neufeld, H.T.; Nixon, A.; et al. Automated Pastures and the Digital Divide: How Agricultural Technologies Are Shaping Labour and Rural Communities. J. Rural Stud. 2019, 68, 112–122. [Google Scholar] [CrossRef]
- Myovella, G.; Karacuka, M.; Haucap, J. Digitalization and Economic Growth: A Comparative Analysis of Sub-Saharan Africa and OECD Economies. Telecommun. Pol. 2020, 44, 101856. [Google Scholar] [CrossRef]
- Ribarsky, J.; Ahmad, N. Towards a Framework for Measuring the Digital Economy. In Proceedings of the 16th Conference of the International Association of Official Statisticians (IAOS) OECD Headquarters, Paris, France, 19–21 September 2018; IAOS: Paris, France, 2018; pp. 19–21. Available online: http://old.iariw.org/copenhagen/ribarsky.pdf (accessed on 16 March 2023).
- Czernich, N.; Falck, O.; Kretschmer, T.; Woessmann, L. Broadband Infrastructure and Economic Growth. Econ. J. 2011, 121, 505–532. [Google Scholar] [CrossRef]
- Jansson, A. Mediatization, Spatial Coherence and Social Sustainability: The Role of Digital Media Networks in a Swedish Countryside Community. Cult. Unbound 2010, 2, 177–192. [Google Scholar] [CrossRef]
- Singh, S.; Alam, P.; Kumar, P.; Kaur, S. Internet of Things for Precision Agriculture Applications. In Proceedings of the 2019 Fifth International Conference on Image Information Processing (ICIIP), Shimla, India, 15–17 November 2019; IEEE: Shimla, India, 2019; pp. 420–424. [Google Scholar] [CrossRef]
- Xie, C.; Jin, X. The Role of Digitalization, Sustainable Environment, Natural Resources and Political Globalization towards Economic Well-Being in China, Japan and South Korea. Resour. Pol. 2023, 83, 103682. [Google Scholar] [CrossRef]
- Kupriyanova, M.; Dronov, V.; Gordov, T. Digital Divide of Rural Territories in Russia. Agris On-Line Pap. Econ. Inf. 2019, 11, 85–90. [Google Scholar] [CrossRef]
- Haenssgen, M.J. The Struggle for Digital Inclusion: Phones, Healthcare, and Marginalisation in Rural India. World Dev. 2018, 104, 358–374. [Google Scholar] [CrossRef]
- Haken, H. Synergetics: An Introduction; Springer Series in Synergetics; Springer: Berlin/Heidelberg, Germany, 1983; Volume 1, ISBN 978-3-642-88340-8. [Google Scholar]
- Slee, B. Theoretical Aspects of the Study of Endogenous Development. Born from within: Practice and Perspectives of Endogenous Rural Development. 1994, pp. 184–194. Available online: https://edepot.wur.nl/358326#page=198 (accessed on 17 March 2023).
- Deng, X.; Han, Z.; Xie, W.; Wang, G.; Fan, Z. Risk Evaluation of the Grain Supply Chain in China. Int. J. Logist. Res. Appl. 2021, 1–20. [Google Scholar] [CrossRef]
- Zhao, Y.; Li, R. Coupling and Coordination Analysis of Digital Rural Construction from the Perspective of Rural Revitalization: A Case Study from Zhejiang Province of China. Sustainability 2022, 14, 3638. [Google Scholar] [CrossRef]
- Silverman, B.W. Density Estimation for Statistics and Data Analysis; Chapman and Hall: Boca Raton, FL, USA, 1986; ISBN 978-0-412-24620-3. [Google Scholar]
- Gao, Q.; Wang, Q. A Study on the Spatial–Temporal Evolution of Innovation Efficiency in Chinese Universities in the Context of the Digital Economy. Sustainability 2022, 15, 39. [Google Scholar] [CrossRef]
- Lee, C.-Y. The Differential Effects of Public R&D Support on Firm R&D: Theory and Evidence from Multi-Country Data. Technovation 2011, 31, 256–269. [Google Scholar] [CrossRef]
- Galor, O.; Tsiddon, D. Technological Progress, Mobility, and Economic Growth. Amer. Econ. Rev. 1997, 87, 363–382. [Google Scholar]
- Benin, S. Impact of Ghana’s Agricultural Mechanization Services Center Program. Agric. Econ. 2015, 46, 103–117. [Google Scholar] [CrossRef]
- Galasso, E.; Ravallion, M. Decentralized Targeting of an Antipoverty Program. J. Public Econ. 2005, 89, 705–727. [Google Scholar] [CrossRef]
- Chen, X. Digital infrastructure will lead to a surge in electricity demand, how to deal with? Caijing Mag. 2020, 14, 100–105. [Google Scholar]
- Yilmaz, S.; Haynes, K.; Dinc, M. Geographic and Network Neighbors: Spillover Effects of Telecommunications Infrastructure. J. Reg. Sci. 2002, 42, 339–360. [Google Scholar] [CrossRef]
- Tang, D.; Li, Y.; Zheng, H.; Yuan, X. Government R&D spending, fiscal instruments and corporate technological innovation. China J. Account. Res. 2022, 15, 78–109. [Google Scholar] [CrossRef]
- Marouani, M.A.; Nilsson, B. The labor market effects of skill-biased technological change in Malaysia. Econ. Model. 2016, 57, 55–75. [Google Scholar] [CrossRef]
- Park, J.; Choi, W.; Jeong, T.; Seo, J. Digital Twins and Land Management in South Korea. Land Use Policy 2023, 124, 106442. [Google Scholar] [CrossRef]
- Root and Branch: Modernising Farming in Japan. The Economist. 14 March 2015. Available online: https://www.economist.com/asia/2015/03/14/root-and-branch (accessed on 5 April 2023).









| Target Layer | Rule Layer | Specific Indicators | Unit | Nature | Index Meaning |
|---|---|---|---|---|---|
| Evaluation index system of digital rural Construction level Y | Digital rural infrastructure construction (A1) | Number of Internet broadband access users X1 | 10,000 households | Positive | Total number of rural Internet broadband access users |
| Number of Internet domain names | ten thousand | Positive | Total number of rural Internet domain names | ||
| X2 | % | Positive | Rural telephone penetration rate | ||
| Length of long-distance optical cable line X3 | kilometre | Positive | Length of rural long-distance optical cable line | ||
| Number of meteorological observation stations X4 | individual | Positive | Number of rural meteorological observation stations | ||
| Rural Industry digitisation (A2) | Rural e-commerce logistics level X5 | 10,000 pieces | Positive | Rural business volume of e-commerce logistics | |
| Rural online retail sales X6 | CNY 100 million | Positive | Rural online retail sales | ||
| Agricultural irrigation level X7 | hectares | Positive | Effective agricultural irrigation area | ||
| Rural e-commerce scale X8 | individual | Positive | Number of Taobao villages | ||
| Agricultural fertilizer use per unit output value X9 | CNY 100 million /10,000 tons | Negative | Ratio of total agricultural output value to agricultural fertilizer use | ||
| Investment level of agricultural production X10 | % | Positive | Increase in fixed asset investment in agriculture, forestry, animal husbandry and fishery | ||
| Rural Digital Industrialisation (A3) | Information technology service income X11 | CNY 10,000 | Positive | Main business income of information technology industry | |
| Rural digital finance level X12 | / | Positive | Rural digital finance index * | ||
| Accumulated value of express revenue X13 | CNY 10,000 | Positive | Total income of rural express | ||
| Rural Internet of Things level X14 | ten thousand people | Positive | Average service population of rural postal outlets | ||
| Construction level of rural network culture X15 | % | Positive | Ratio of rural cable TV access households to total households |
| Variables | Nationwide | Eastern Region | Central Region | Western Region | Northeast Region |
|---|---|---|---|---|---|
| gov | 0.082 *** | 0.150 *** | 0.151 *** | 0.030 ** | 0.096 ** |
| (7.84) | (3.18) | (4.01) | (2.29) | (2.68) | |
| rev | 0.094 *** | 0.090 *** | 0.086 *** | 0.494 *** | 1.113 *** |
| (2.65) | (1.39) | (1.43) | (6.01) | (4.71) | |
| infra | 0.087 *** | 0.075 *** | 0.106 *** | 0.007 ** | 0.016 *** |
| (6.20) | (3.39) | (6.37) | (−0.21) | (−0.35) | |
| ind | 0.000 *** | 0.000 *** | 0.000 *** | 0.000 ** | 0.000 *** |
| (7.49) | (4.27) | (4.61) | (−1.19) | (−1.20) | |
| edu | −0.004 ** | −0.003 ** | −0.006 * | −0.032 ** | −0.029 ** |
| (−0.53) | (−2.05) | (0.35) | (−2.10) | (0.62) | |
| pow | 0.018 *** | 0.016 *** | 0.029 *** | 0.021 *** | 0.032 *** |
| (4.36) | (2.65) | (3.74) | (2.79) | (−0.91) | |
| com | 0.003 *** | 0.002 *** | 0.004 *** | 0.005 ** | 0.003 ** |
| (3.91) | (1.95) | (3.25) | (2.10) | (−0.93) | |
| Constant | −1.072 *** | −1.007 ** | −1.278 *** | −4.417 *** | −9.255 *** |
| (−3.09) | (−1.50) | (−2.14) | (−5.92) | (−4.02) | |
| Observations | 319 | 99 | 66 | 121 | 33 |
| Pseudo R2 | 0.509 | −2.5138 | −3.5449 | −4.3576 | 11.3834 |
| Loglikelihood | 0.498 | 49.526064 | 82.87855 | 74.964753 | 34.155134 |
| Variables | Model 1 | Model 2 | Model 3 |
|---|---|---|---|
| gov | 0.076 *** | 0.080 *** | |
| (6.69) | (7.09) | ||
| rev | 0.068 * | 0.094 ** | 0.103 *** |
| (1.82) | (2.37) | (2.62) | |
| infra | 0.086 *** | 0.088 *** | |
| (5.97) | (6.05) | ||
| ind | 0.000 *** | 0.000 *** | |
| (7.16) | (7.01) | ||
| edu | −0.002 | −0.005 | −0.003 |
| (−0.26) | (−0.62) | (−0.38) | |
| pow | 0.018 *** | 0.020 *** | 0.018 *** |
| (4.18) | (4.56) | (4.15) | |
| com | 0.003 *** | 0.003 *** | 0.003 *** |
| (3.34) | (3.14) | (3.07) | |
| L.gov | 0.075 *** | ||
| (7.15) | |||
| L.ind | 0.000 *** | ||
| (6.59) | |||
| L.infra | 0.102 *** | ||
| (5.48) | |||
| Constant | −0.790 ** | −1.054 *** | −1.129 *** |
| (−2.20) | (−2.74) | (−2.97) | |
| Observations | 290 | 290 | 290 |
| Pseudo R2 | −2.197 | −2.056 | −2.064 |
| Log likelihood | 136.805 | 130.764 | 131.122 |
| Variable | OLS | Substitution Variables | Reduce Sample |
|---|---|---|---|
| gov | 0.082 *** | 0.113 *** | 0.132 *** |
| (7.31) | (10.51) | (11.05) | |
| rev | 0.105 *** | 0.279 *** | 0.265 *** |
| (2.91) | (9.35) | (8.44) | |
| infra | 0.092 *** | 0.061 *** | 0.052 *** |
| (5.70) | (4.45) | (3.90) | |
| lnind | 0.000 *** | 0.095 *** | 0.035 *** |
| (7.97) | (8.32) | (3.24) | |
| edu | −0.004 ** | −0.027 *** | −0.073 *** |
| (−0.46) | (−3.49) | (−11.37) | |
| com/TV | 0.003 *** | 0.008 *** | 0.012 *** |
| (3.84) | (1.73) | (3.24) | |
| pow | 0.018 *** | 0.009 *** | 0.003 *** |
| (4.11) | (0.94) | (3.67) | |
| Constant | −1.176 *** | −3.236 *** | −2.619 *** |
| (−3.41) | (−10.98) | (−8.03) | |
| Observations | 319 | 319 | 198 |
| Pseudo R2 | 0.509 | −3.1419 | −2.4366 |
| Log likelihood | 0.498 | 156.0776 | 171.2824 |
Disclaimer/Publisher’s Note: The statements, opinions and data contained in all publications are solely those of the individual author(s) and contributor(s) and not of MDPI and/or the editor(s). MDPI and/or the editor(s) disclaim responsibility for any injury to people or property resulting from any ideas, methods, instructions or products referred to in the content. |
© 2023 by the authors. Licensee MDPI, Basel, Switzerland. This article is an open access article distributed under the terms and conditions of the Creative Commons Attribution (CC BY) license (https://creativecommons.org/licenses/by/4.0/).
Share and Cite
Cao, X.; Yan, M.; Wen, J. Exploring the Level and Influencing Factors of Digital Village Development in China: Insights and Recommendations. Sustainability 2023, 15, 10423. https://doi.org/10.3390/su151310423
Cao X, Yan M, Wen J. Exploring the Level and Influencing Factors of Digital Village Development in China: Insights and Recommendations. Sustainability. 2023; 15(13):10423. https://doi.org/10.3390/su151310423
Chicago/Turabian StyleCao, Xizi, Mingyi Yan, and Jun Wen. 2023. "Exploring the Level and Influencing Factors of Digital Village Development in China: Insights and Recommendations" Sustainability 15, no. 13: 10423. https://doi.org/10.3390/su151310423
APA StyleCao, X., Yan, M., & Wen, J. (2023). Exploring the Level and Influencing Factors of Digital Village Development in China: Insights and Recommendations. Sustainability, 15(13), 10423. https://doi.org/10.3390/su151310423
