The Effect of Flow Field Design Parameters on the Performance of PEMFC: A Review
Abstract
1. Introduction
2. Flow Field Design Parameters
3. Flow Field Configuration
3.1. Conventional Flow Field
3.1.1. Straight Flow Field
Straight Flow Field Modification
3.1.2. Serpentine Flow Field
Serpentine Flow Field Modifications
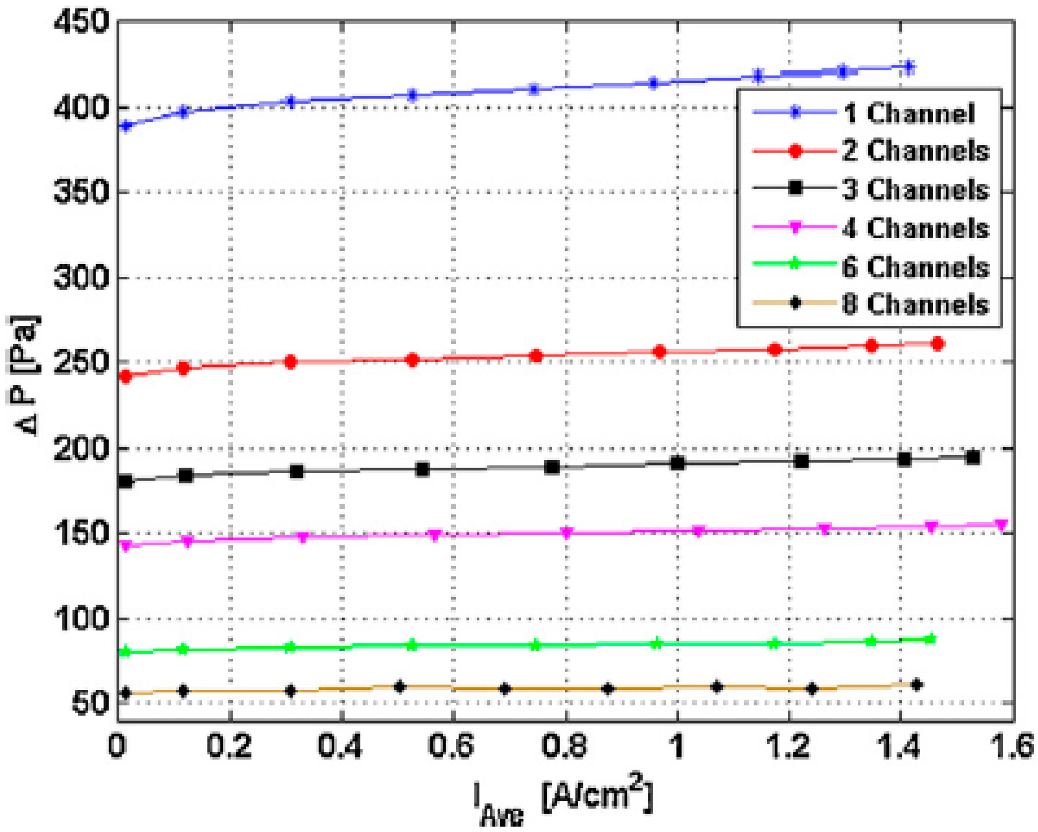
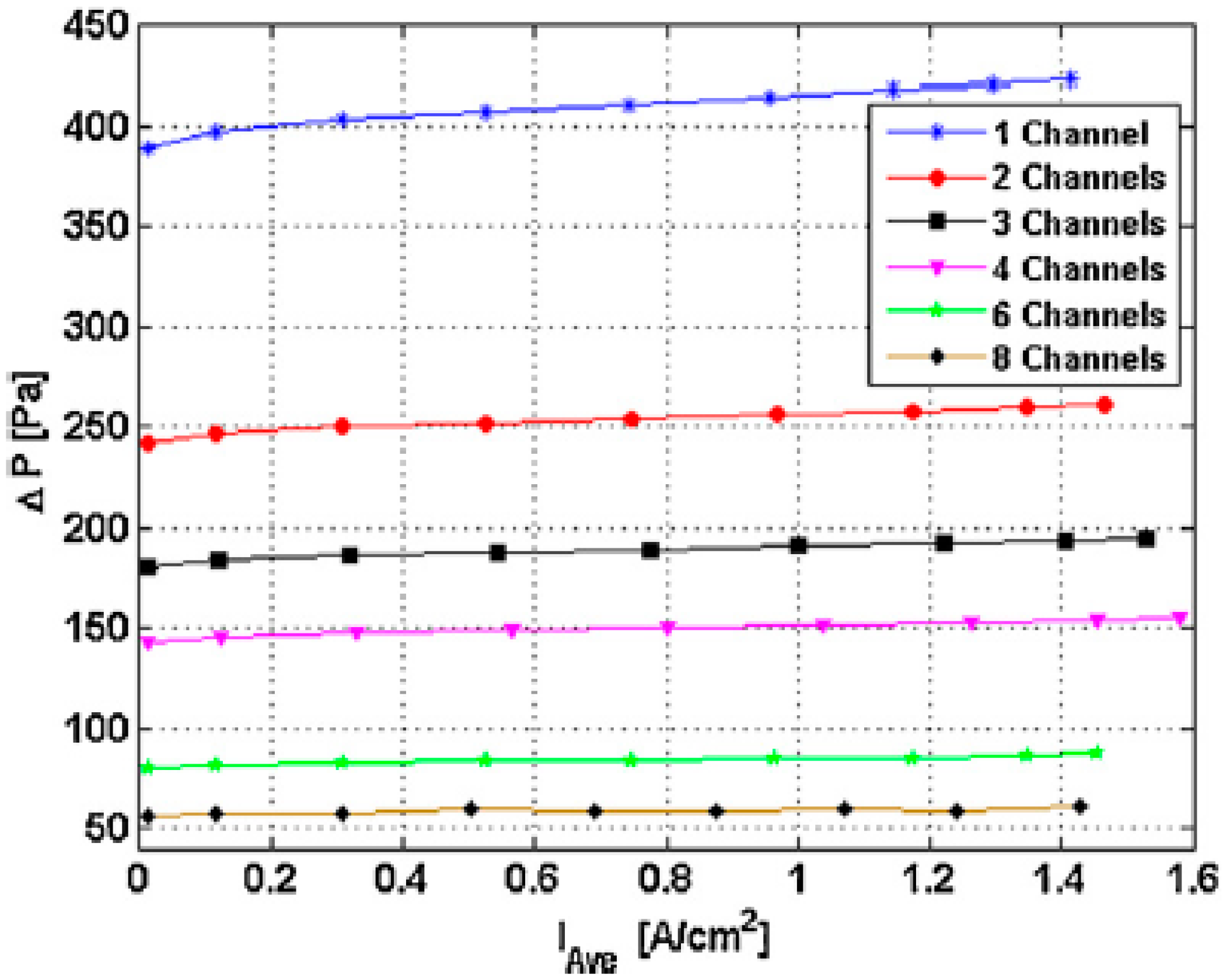
3.1.3. Parallel Flow Field
Parallel Flow Field Modification
3.1.4. Interdigitated Flow Field
Interdigitated Flow Field Modification
3.1.5. Spiral Flow Field
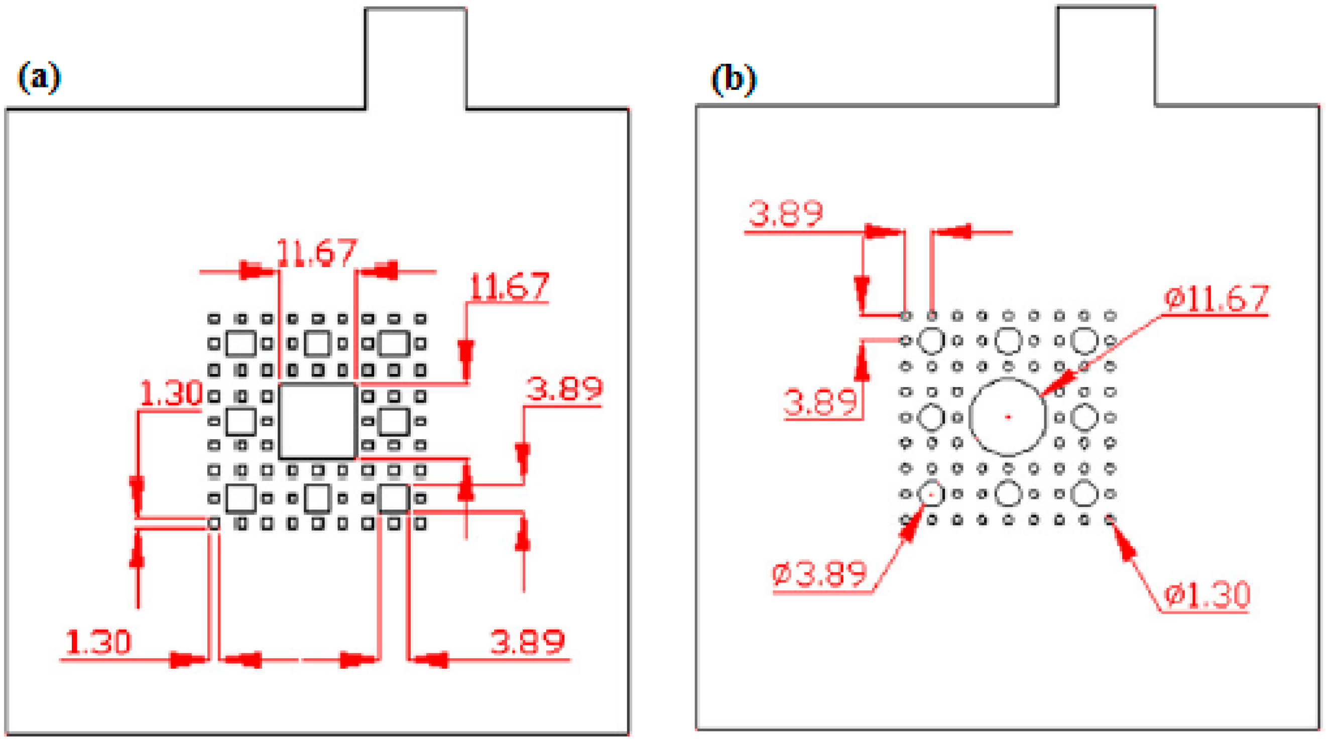
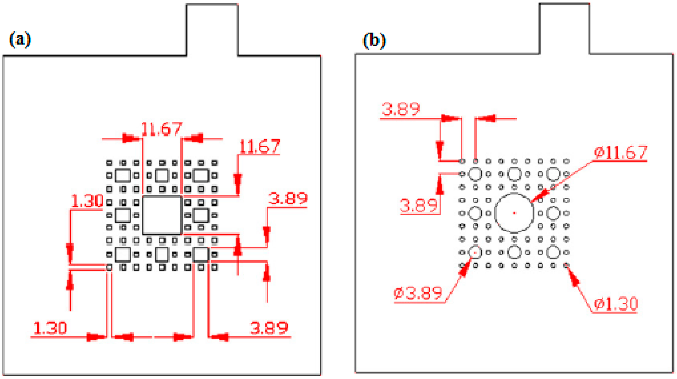
3.1.6. Radial Flow Fields
3.1.7. Pin Flow Field
3.1.8. Cylindrical Flow Field
3.2. Nature-Inspired (Biomimetic) Design of Flow Fields
3.2.1. Fractal Designs
3.2.2. Biologically Inspired Design
Leaf-Shape Flow Field
Tree-Shape Flow Field
Lung-Shape Flow Field
Unconventional-Shape Flow Fields
Honeycomb-Inspired
Blood Vessel Inspired
Cuttlefish Inspired
Intersect-Flow Channels
4. Effect of Geometric Parameters
4.1. Cross-Section Shape
4.2. Bending in Channels
4.3. Channel and Rib Dimensions
4.3.1. Width of the Channel and Ribs
4.3.2. Height and Width of the Channel
4.3.3. Depth of Channel
5. Comparison of Flow Fields Performance
6. Conclusions
6.1. Conventional Flow Field Configuration
- The performance of STPP can be improved by employing blockages in straight configurations;
- The serpentine configuration increases the reactant pressure drop. Several modifications can be conducted on SFF have been to improve the performance, such as using the sinusoidal channels, wavy channels, PCI inserted among the ribs of the cathode, three-pass channels, and short length of the channel path;
- The parallel configuration has a lower pressure drop of reactants compared with the serpentine configuration, but channels are often empty of reactants. The distribution of reactants can be improved by employing baffles, zigzag wavy channels, a micro distributor for the channels, changing the position of the inlet and outlet, and changing the number of outlets and inlets of the flow field;
- Although the interdigitated design’s performance is better than that of the serpentine design, the reactant pressure drop is very high. The performance can be enhanced by using oxygen rather than air. Mid-blockage, hybrid serpentine interdigitated, and increasing the number of rectangular parallelepipeds;
- The spiral configuration with four-path channels achieves the ideal distribution of reactants and decreases water flooding;
- Compared to SFF and PFF, the four-channel radial configuration produces the least pressure drop, higher current density, and better water removal capacity;
- The primary advantage of the pin-type design is low pressure, and its disadvantage is the maldistribution of reactants and stagnant areas;
- The cylindrical serpentine configuration demonstrates better performance than the spiral, radial, and cylindrical configurations. However, the fabrication and design of cylindrical flow fields are complex.
6.2. Nature-Inspired Flow Field Configuration
- The use of the third-order design of Hilbert fractal curves gives the best performance;
- Biologically inspired flow channels reduce the pressure drop, control the water removal, distribute the reactant gases uniformly, and increase the power density compared with interdigitated, parallel, and serpentine configurations.
6.3. Geometric Parameter
- The most widely utilized cross-section shape is rectangular;
- An increase in bend size achieves a highly uniform distribution;
- Wide ribs and narrow channels result in an optimal rib width;
- Increasing the aspect ratio (width/height) enhances performance;
- Tapered channels increase the reactant velocities, leading to enhanced water removal, reactant utilization, and reactant transport and increased cell performance.
6.4. Future Flow Fields
Author Contributions
Funding
Institutional Review Board Statement
Informed Consent Statement
Data Availability Statement
Conflicts of Interest
Nomenclature
| Symbols | |
| O2 | Oxygen |
| H2 | Hydrogen |
| H2o | Water |
| Nch | Number of Channels |
| 1-S | Single Serpentine |
| 2-S | Double Serpentine |
| 3-S | Triple Serpentine |
| 13-S | Thirteen-Serpentine |
| Abbreviation | |
| STFF | Straight Flow Field |
| SFF | Serpentine Flow Field |
| PFF | Parallel Flow Field |
| IFF | Interdigitated Flow Field |
| SPFF | Spiral Flow Field |
| RFF | Radial Flow Field |
| PIFF | Pin Flow Field |
| CYFF | Cylindrical Flow Field |
| BFF1 | Bio-inspired Flow Slab |
| PCI | Porous Carbon Inserts |
| MEA | Membrane Electrolyte Assembly |
| CCS | Channel Cross-Section |
| Rct | Rectangular |
| Trg | Triangular |
| Trp | Trapeze |
| Itrp | Inverted Trapeze |
| Hlp | Half of Ellipse |
| IHlp | Inverted Half of Ellipse |
| PCB | Printed Circuit Boards |
| HSIFF | Hybrid Serpentine Interdigitated Flow Field |
| PFF:1 | Parallel Trapezoid Baffle Plates |
| PFF:2 | Staggered Trapezoid Baffle Plates |
| BI Bio | Inspired |
| CL | Catalyst Layer |
| GDL | Gas Diffusion Layer |
| PCB | Printed Circuit Board |
| PEM | Proton Exchange Membrane |
| PEMFC | Proton Exchange Membrane Fuel Cell |
References
- Afshari, E.; Mosharaf-Dehkordi, M.; Rajabian, H. An investigation of the PEM fuel cells performance with partially restricted cathode flow channels and metal foam as a flow distributor. Energy 2017, 118, 705–715. [Google Scholar] [CrossRef]
- Afshari, E.; Ziaei-Rad, M.; Dehkordi, M.M. Numerical investigation on a novel zigzag-shaped flow channel design for cooling plates of PEM fuel cells. J. Energy Inst. 2017, 90, 752–763. [Google Scholar] [CrossRef]
- Ahmadi, N.; Dadvand, A.; Mirzaei, I.; Rezazadeh, S. Modeling of polymer electrolyte membrane fuel cell with circular and elliptical cross-section gas channels: A novel procedure. Int. J. Energy Res. 2018, 42, 2805–2822. [Google Scholar] [CrossRef]
- Ahmed, D.H.; Sung, H.J. Effects of channel geometrical configuration and shoulder width on PEMFC performance at high current density. J. Power Source 2006, 162, 327–339. [Google Scholar] [CrossRef]
- Najmi, A.-U.; Anyanwu, I.S.; Xie, X.; Liu, Z.; Jiao, K. Experimental investigation and optimization of proton exchange membrane fuel cell using different flow fields. Energy 2021, 217, 119313. [Google Scholar] [CrossRef]
- Asadzade, M.; Shamloo, A. Design and simulation of a novel bipolar plate based on lung-shaped bio-inspired flow pattern for PEM fuel cell. Int. J. Energy Res. 2017, 41, 1730–1739. [Google Scholar] [CrossRef]
- Atyabi, S.A.; Afshari, E. Three-dimensional multiphase model of proton exchange membrane fuel cell with honeycomb flow field at the cathode side. J. Clean. Prod. 2019, 214, 738–748. [Google Scholar] [CrossRef]
- Azarafza, A.; Ismail, M.; Rezakazemi, M.; Pourkashanian, M. Comparative study of conventional and unconventional designs of cathode flow fields in PEM fuel cell. Renew. Sustain. Energy Rev. 2019, 116, 109420. [Google Scholar] [CrossRef]
- Bejan, A.; Zane, J.P. Design in nature: The law of physics that guides the development of organisms is the same for inanimate nature and engineered systems. Mech. Eng. CIME 2012, 134, 42–48. [Google Scholar] [CrossRef]
- Bethapudi, V.; Hack, J.; Trogadas, P.; Cho, J.; Rasha, L.; Hinds, G.; Shearing, P.; Brett, D.; Coppens, M.-O. A lung-inspired printed circuit board polymer electrolyte fuel cell. Energy Convers. Manag. 2019, 202, 112198. [Google Scholar] [CrossRef]
- Cai, G.; Liang, Y.; Liu, Z.; Liu, W. Design and optimization of bio-inspired wave-like channel for a PEM fuel cell applying genetic algorithm. Energy 2020, 192, 116670. [Google Scholar] [CrossRef]
- Cano-Andrade, S.; Hernandez-Guerrero, A.; von Spakovsky, M.; Damian-Ascencio, C.; Rubio-Arana, J. Current density and polarization curves for radial flow field patterns applied to PEMFCs (Proton Exchange Membrane Fuel Cells). Energy 2010, 35, 920–927. [Google Scholar] [CrossRef]
- Chang, J.-Y.; Kuan, Y.-D.; Lee, S.-M.; Lee, S.-R. Characterization of a liquid feed direct methanol fuel cell with Sierpinski carpets fractal current collectors. J. Power Source 2008, 184, 180–190. [Google Scholar] [CrossRef]
- Chang, J.-Y.; Kuan, Y.-D.; Lee, S.-M. Experimental investigation of a direct methanol fuel cell with Hilbert fractal current collectors. J. Chem. 2014, 2014, 371616. [Google Scholar] [CrossRef]
- Chapman, A.; Mellor, I. Development of Biomimetic™ flow field plates for PEM fuel cells. Development 2003, 3, 6. [Google Scholar]
- Chen, T.; Xiao, Y.; Chen, T. The impact on PEMFC of bionic flow field with a different branch. Energy Procedia 2012, 28, 134–139. [Google Scholar] [CrossRef]
- Chen, T.; Liu, S.; Gong, S.; Wu, C. Development of bipolar plates with different flow channel configurations based on plant vein for fuel cell. Int. J. Energy Res. 2013, 37, 1680–1688. [Google Scholar] [CrossRef]
- Chen, T.; Liu, S.; Yang, L. Development of flow field plates based on asymmetric leaf structure for PEM fuel cells. Int. J. Mater. Struct. Integr. 2017, 11, 229–243. [Google Scholar] [CrossRef]
- Cheng, C.; Yang, Z.; Liu, Z.; Tongsh, C.; Zhang, G.; Xie, B.; He, S.; Jiao, K. Numerical investigation on the feasibility of metal foam as flow field in alkaline anion exchange membrane fuel cell. Appl. Energy 2021, 302, 117555. [Google Scholar] [CrossRef]
- Cheng, S.J.; Miao, J.M.; Tai, C.H. Numerical simulation applied to study the effects of fractal tree-liked network channel designs on PEMFC performance. In Advanced Materials Research; Trans Tech Publications Ltd.: Wollerau, Switzerland, 2012; Volume 488, pp. 1219–1223. [Google Scholar]
- Choi, K.-S.; Kim, H.-M.; Moon, S.-M. Numerical studies on the geometrical characterization of serpentine flow-field for efficient PEMFC. Int. J. Hydrogen Energy 2011, 36, 1613–1627. [Google Scholar] [CrossRef]
- Damian-Ascencio, C.E.; Saldaña-Robles, A.; Hernandez-Guerrero, A.; Cano-Andrade, S. Numerical modeling of a proton exchange membrane fuel cell with tree-like flow field channels based on an entropy generation analysis. Energy 2017, 133, 306–316. [Google Scholar] [CrossRef]
- Dhahad, H.A.; Alawee, W.H.; Hassan, A.K. Experimental study of the effect of flow field design to PEM fuel cells performance. Renew. Energy Focus 2019, 30, 71–77. [Google Scholar] [CrossRef]
- Wen, D.-H.; Yin, L.-Z.; Piao, Z.-Y.; Lu, C.-D.; Li, G.; Leng, Q.-H. A novel intersectant flow field of metal bipolar plate for proton exchange membrane fuel cell. Int. J. Energy Res. 2017, 41, 2184–2193. [Google Scholar]
- Dong, J.H.; Liu, S.F. Numerical simulation of fractal tree-shaped flow field structures in PEMFC. In Applied Mechanics and Materials; Trans Tech Publications Ltd.: Wollerau, Switzerland, 2012; Volume 151, pp. 32–35. [Google Scholar]
- Fontana, É.; Mancusi, E.; da Silva, A.; Mariani, V.C.; de Souza, A.A.U.; de Souza, S.M.G.U. Study of the effects of flow channel with non-uniform cross-sectional area on PEMFC species and heat transfer. Int. J. Heat Mass Transf. 2011, 54, 4462–4472. [Google Scholar] [CrossRef]
- Friess, B.R.; Hoorfar, M. Development of a novel radial cathode flow field for PEMFC. Int. J. Hydrogen Energy 2012, 37, 7719–7729. [Google Scholar] [CrossRef]
- Fukushima, A.; Nakajima, H.; Kitahara, T. Performance evaluation of an anode-supported honeycomb solid oxide fuel cell. ECS Trans. 2013, 50, 71. [Google Scholar] [CrossRef]
- Ghadhban, S.A.; Alawee, W.H.; Dhahad, H.A. Study effects of bio-inspired flow filed design on Polymer Electrolyte Membrane fuel cell performance. Case Stud. Therm. Eng. 2021, 24, 100841. [Google Scholar] [CrossRef]
- Ghanbarian, A.; Kermani, M.J. Enhancement of PEM fuel cell performance by flow channel indentation. Energy Convers. Manag. 2016, 110, 356–366. [Google Scholar] [CrossRef]
- Guo, N.; Leu, M.C.; Koylu, U.O. Network based optimization model for pin-type flow field of polymer electrolyte membrane fuel cell. Int. J. Hydrogen Energy 2013, 38, 6750–6761. [Google Scholar] [CrossRef]
- Guo, N.; Leu, M.C.; Koylu, U.O. Bio-inspired flow field designs for polymer electrolyte membrane fuel cells. Int. J. Hydrogen Energy 2014, 39, 21185–21195. [Google Scholar] [CrossRef]
- Habib, A.R.R.; Butler, K. Environmental and economic comparison of hydrogen fuel cell and battery electric vehicles. Future Technol. 2022, 1, 25–33. [Google Scholar] [CrossRef]
- Habib, A.R.R. A comparative study of the machine learning-based energy management system for hydrogen fuel cell electric vehicles. Future Technol. 2024, 3, 13–24. [Google Scholar] [CrossRef]
- Hashemi, F.; Rowshanzamir, S.; Rezakazemi, M. CFD simulation of PEM fuel cell performance: Effect of straight and serpentine flow fields. Math. Comput. Model. 2012, 55, 1540–1557. [Google Scholar] [CrossRef]
- Higier, A.; Liu, H. Optimization of PEM fuel cell flow field via local current density measurement. Int. J. Hydrogen Energy 2010, 35, 2144–2150. [Google Scholar] [CrossRef]
- Hossain, M.S.; Shabani, B.; Cheung, C.P. Enhanced gas flow uniformity across parallel channel cathode flow field of Proton Exchange Membrane fuel cells. Int. J. Hydrogen Energy 2017, 42, 5272–5283. [Google Scholar] [CrossRef]
- Hosseini, S.E. Hydrogen has found its way to become the fuel of the future. Future Energy 2022, 1, 11–12. [Google Scholar] [CrossRef]
- Jang, J.-Y.; Cheng, C.-H.; Liao, W.-T.; Huang, Y.-X.; Tsai, Y.-C. Experimental and numerical study of proton exchange membrane fuel cell with spiral flow channels. Appl. Energy 2012, 99, 67–79. [Google Scholar] [CrossRef]
- Jaruwasupant, N.; Khunatorn, Y. Effects of difference flow channel designs on Proton Exchange Membrane Fuel Cell using 3-D Model. Energy Procedia 2011, 9, 326–337. [Google Scholar] [CrossRef]
- Jeon, D.; Greenway, S.; Shimpalee, S.; Van Zee, J. The effect of serpentine flow-field designs on PEM fuel cell performance. Int. J. Hydrogen Energy 2008, 33, 1052–1066. [Google Scholar] [CrossRef]
- Juarez-Robles, D.; Hernandez-Guerrero, A.; Ramos-Alvarado, B.; Elizalde-Blancas, F.; Damian-Ascencio, C.E. Multiple concentric spirals for the flow field of a proton exchange membrane fuel cell. J. Power Source 2011, 196, 8019–8030. [Google Scholar] [CrossRef]
- Kang, H.C.; Jum, K.M.; Sohn, Y.J. Performance of unit PEM fuel cells with a leaf-vein-simulating flow field-patterned bipolar plate. Int. J. Hydrogen Energy 2019, 44, 24036–24042. [Google Scholar] [CrossRef]
- Karthikeyan, P.; Vasanth, R.; Muthukumar, M. Experimental investigation on uniform and zigzag positioned porous inserts on the rib surface of cathode flow channel for performance enhancement in PEMFC. Int. J. Hydrogen Energy 2015, 40, 4641–4648. [Google Scholar] [CrossRef]
- Katz, E.; Bollella, P. Fuel cells and biofuel cells: From past to perspectives. Isr. J. Chem. 2021, 61, 68–84. [Google Scholar] [CrossRef]
- Kerkoub, Y.; Benzaoui, A.; Haddad, F.; Ziari, Y.K. Channel to rib width ratio influence with various flow field designs on performance of PEM fuel cell. Energy Convers. Manag. 2018, 174, 260–275. [Google Scholar] [CrossRef]
- Kiattamrong, S.; Sripakagorn, A. Effects of the geometry of the air flowfield on the performance of an open-cathode PEMFC–transient load operation. Energy Procedia 2015, 79, 612–619. [Google Scholar] [CrossRef]
- Kloess, J.P.; Wang, X.; Liu, J.; Shi, Z.; Guessous, L. Investigation of bio-inspired flow channel designs for bipolar plates in proton exchange membrane fuel cells. J. Power Source 2009, 188, 132–140. [Google Scholar] [CrossRef]
- Kotake, S.; Nakajima, H.; Kitahara, T. Flow Channel Configurations of an Anode-Supported Honeycomb Solid Oxide Fuel Cell. ECS Trans. 2013, 57, 815. [Google Scholar] [CrossRef]
- Kreesaeng, S.; Chalermsinsuwan, B.; Piumsomboon, P. Effect of channel designs on open-cathode PEM fuel cell performance: A computational study. Energy Procedia 2015, 79, 733–745. [Google Scholar] [CrossRef]
- Ku, H.W.; Wu, H.W. Influences of operational factors on proton exchange membrane fuel cell performance with modified interdigitated flow field design. J. Power Source 2013, 232, 199–208. [Google Scholar] [CrossRef]
- Kumar, P.M.; Kolar, A.K. Effect of cathode design on the performance of an air-breathing PEM fuel cell. Int. J. Hydrogen Energy 2010, 35, 671–681. [Google Scholar] [CrossRef]
- Kuo, J.K. The effects of buoyancy on the performance of a PEM fuel cell with a wave-like gas flow channel design by numerical investigation. Int. J. Heat Mass Transf. 2007, 50, 4166–4179. [Google Scholar] [CrossRef]
- Kuo, J.K.; Yen, T.H. Three-dimensional numerical analysis of PEM fuel cells with straight and wave-like gas flow fields channels. J. Power Source 2008, 177, 96–103. [Google Scholar] [CrossRef]
- Lakshminarayanan, V.; Karthikeyan, P.; Muthukumar, M.; Kumar, A.S.; Kavin, B.; Kavyaraj, A. Numerical investigation of performance studies on single pass PEM fuel cell with various flow channel design. In Applied Mechanics and Materials; Trans Tech Publications Ltd.: Wollerau, Switzerland, 2014. [Google Scholar]
- Lee, S.; Jeong, H.; Ahn, B.; Lim, T.; Son, Y. Parametric study of the channel design at the bipolar plate in PEMFC performances. Int. J. Hydrogen Energy 2008, 33, 5691–5696. [Google Scholar] [CrossRef]
- Lim, B.; Majlan, E.; Daud, W.; Rosli, M.; Husaini, T. Numerical analysis of modified parallel flow field designs for fuel cells. Int. J. Hydrogen Energy 2017, 42, 9210–9218. [Google Scholar] [CrossRef]
- Lim, B.H.; Majlan, E.H.; Daud, W.R.W.; Rosli, M.I.; Husaini, T. Numerical investigation of the effect of three-dimensional modified parallel flow field designs on proton exchange membrane fuel cell performance. Chem. Eng. Sci. 2020, 217, 115499. [Google Scholar] [CrossRef]
- Limjeerajarus, N.; Santiprasertkul, T. Novel hybrid serpentine-interdigitated flow field with multi-inlets and outlets of gas flow channels for PEFC applications. Int. J. Hydrogen Energy 2020, 45, 13601–13611. [Google Scholar] [CrossRef]
- Liu, H.; Tan, J.; Cheng, L.; Yang, W. Enhanced water removal performance of a slope turn in the serpentine flow channel for proton exchange membrane fuel cells. Energy Convers. Manag. 2018, 176, 227–235. [Google Scholar] [CrossRef]
- Liu, H.; Yang, W.; Tan, J.; An, Y.; Cheng, L. Numerical analysis of parallel flow fields improved by micro-distributor in proton exchange membrane fuel cells. Energy Convers. Manag. 2018, 176, 99–109. [Google Scholar] [CrossRef]
- Liu, H.; Yan, W.; Soong, C.; Chen, F.; Chu, H. Reactant gas transport and cell performance of proton exchange membrane fuel cells with tapered flow field design. J. Power Source 2006, 158, 78–87. [Google Scholar] [CrossRef]
- Liu, S.; Chen, T.; Xie, Y.; Zhang, J.; Wu, C. Numerical simulation and experimental study on the effect of symmetric and asymmetric bionic flow channels on PEMFC performance under gravity. Int. J. Hydrogen Energy 2019, 44, 29618–29630. [Google Scholar] [CrossRef]
- Lorenzini-Gutierrez, D.; Hernandez-Guerrero, A.; Ramos-Alvarado, B.; Perez-Raya, I.; Alatorre-Ordaz, A. Performance analysis of a proton exchange membrane fuel cell using tree-shaped designs for flow distribution. Int. J. Hydrogen Energy 2013, 38, 14750–14763. [Google Scholar] [CrossRef]
- Maharudrayya, S.; Jayanti, S.; Deshpande, A. Pressure losses in laminar flow through serpentine channels in fuel cell stacks. J. Power Source 2004, 138, 1–13. [Google Scholar] [CrossRef]
- Maharudrayya, S.; Jayanti, S.; Deshpande, A.P. Pressure drop and flow distribution in multiple parallel-channel configurations used in proton-exchange membrane fuel cell stacks. J. Power Source 2006, 157, 358–367. [Google Scholar] [CrossRef]
- Manso, A.; Marzo, F.F.; Mujika, M.G.; Barranco, J.; Lorenzo, A. Numerical analysis of the influence of the channel cross-section aspect ratio on the performance of a PEM fuel cell with serpentine flow field design. Int. J. Hydrogen Energy 2011, 36, 6795–6808. [Google Scholar] [CrossRef]
- Manso, A.P.; Marzo, F.F.; Barranco, J.; Garikano, X.; Mujika, M.G. Influence of geometric parameters of the flow fields on the performance of a PEM fuel cell: A review. Int. J. Hydrogen Energy 2012, 37, 15256–15287. [Google Scholar] [CrossRef]
- Mohammedi, A.; Sahli, Y.; Ben Moussa, H. 3D investigation of the channel cross-section configuration effect on the power delivered by PEMFCs with straight channels. Fuel 2020, 263, 116713. [Google Scholar] [CrossRef]
- Muthukumar, M.; Karthikeyan, P.; Lakshminarayanan, V.; Senthil Kumar, A.P.; Vairavel, M.; Girimurugan, R. Performance studies on PEM Fuel cell with 2, 3 and 4 pass serpentine flow field designs. In Applied Mechanics and Materials; Trans Tech Publications Ltd.: Wollerau, Switzerland, 2014. [Google Scholar]
- Muthukumar, M.; Karthikeyan, P.; Vairavel, M.; Loganathan, C.; Praveenkumar, S.; Kumar, A.S. Numerical studies on PEM fuel cell with different landing to channel width of flow channel. Procedia Eng. 2014, 97, 1534–1542. [Google Scholar] [CrossRef]
- Nakajima, H.; Murakami, S.; Ikeda, S.; Kitahara, T. Three-dimensional flow channel arrangements in an anode-supported honeycomb solid oxide fuel cell. Heat Mass Transf. 2018, 54, 2545–2550. [Google Scholar] [CrossRef]
- Nguyen, T.V. A gas distributor design for proton-exchange-membrane fuel cells. J. Electrochem. Soc. 1996, 143, L103. [Google Scholar] [CrossRef]
- Nguyen, T.V.; He, W. Interdigitated flow field design. In Handbook of Fuel Cells; Wiley: Hoboken, NJ, USA, 2010. [Google Scholar]
- Ozden, A.; Ercelik, M.; Ouellette, D.; Colpan, C.O.; Ganjehsarabi, H.; Hamdullahpur, F. Designing, modeling and performance investigation of bio-inspired flow field based DMFCs. Int. J. Hydrogen Energy 2017, 42, 21546–21558. [Google Scholar] [CrossRef]
- Pal, V.; Karthikeyan, P.; Anand, R. Performance enhancement of the proton exchange membrane fuel cell using pin type flow channel with porous inserts. J. Power Energy Eng. 2015, 3, 1. [Google Scholar] [CrossRef]
- Palaniswamy, K.; Marappan, M.; Jothi, V.R. Influence of porous carbon inserts on scaling up studies for performance enhancement on PEMFC. Int. J. Hydrogen Energy 2016, 41, 2867–2874. [Google Scholar] [CrossRef]
- Paulino, A.L.R.; Cunha, E.F.; Robalinho, E.; Linardi, M.; Korkischko, I.; Santiago, E.I. CFD analysis of PEMFC flow channel cross sections. Fuel Cells 2017, 17, 27–36. [Google Scholar] [CrossRef]
- Ramin, F.; Sadeghifar, H.; Torkavannejad, A. Flow field plates with trap-shape channels to enhance power density of polymer electrolyte membrane fuel cells. Int. J. Heat Mass Transf. 2019, 129, 1151–1160. [Google Scholar] [CrossRef]
- Roshandel, R.; Arbabi, F.; Moghaddam, G.K. Simulation of an innovative flow-field design based on a bio inspired pattern for PEM fuel cells. Renew. Energy 2012, 41, 86–95. [Google Scholar] [CrossRef]
- Rostami, L.; Nejad, P.M.G.; Vatani, A. A numerical investigation of serpentine flow channel with different bend sizes in polymer electrolyte membrane fuel cells. Energy 2016, 97, 400–410. [Google Scholar] [CrossRef]
- Ruan, H.; Wu, C.; Liu, S.; Chen, T. Design and simulation of novel flow field plate geometry for proton exchange membrane fuel cells. Heat Mass Transf. 2016, 52, 2167–2176. [Google Scholar] [CrossRef]
- Ruiz-Morales, J.C.; Marrero-López, D.; Peña-Martínez, J.; Canales-Vázquez, J.; Roa, J.J.; Segarra, M.; Savvin, S.N.; Núñez, P. Performance of a novel type of electrolyte-supported solid oxide fuel cell with honeycomb structure. J. Power Source 2010, 195, 516–521. [Google Scholar] [CrossRef]
- Santamaria, A.D.; Bachman, J.; Park, J.W. Design strategy for a polymer electrolyte membrane fuel cell flow-field capable of switching between parallel and interdigitated configurations. Int. J. Hydrogen Energy 2013, 38, 5807–5812. [Google Scholar] [CrossRef]
- Saripella, B.P.; Koylu, U.O.; Leu, M.C. Experimental and computational evaluation of performance and water management characteristics of a bio-inspired proton exchange membrane fuel cell. J. Fuel Cell Sci. Technol. 2015, 12, 061007. [Google Scholar] [CrossRef]
- Sauermoser, M.; Kjelstrup, S.; Kizilova, N.; Pollet, B.G.; Flekkøy, E.G. Seeking minimum entropy production for a tree-like flow-field in a fuel cell. Phys. Chem. Chem. Phys. 2020, 22, 6993–7003. [Google Scholar] [CrossRef] [PubMed]
- Sauermoser, M.; Pollet, B.G.; Kizilova, N.; Kjelstrup, S. Scaling factors for channel width variations in tree-like flow field patterns for polymer electrolyte membrane fuel cells-An experimental study. Int. J. Hydrogen Energy 2021, 46, 19554–19568. [Google Scholar] [CrossRef]
- Senn, S.M.; Poulikakos, D. Laminar mixing, heat transfer and pressure drop in tree-like microchannel nets and their application for thermal management in polymer electrolyte fuel cells. J. Power Source 2004, 130, 178–191. [Google Scholar] [CrossRef]
- Seyhan, M.; Akansu, Y.E.; Murat, M.; Korkmaz, Y.; Akansu, S.O. Performance prediction of PEM fuel cell with wavy serpentine flow channel by using artificial neural network. Int. J. Hydrogen Energy 2017, 42, 25619–25629. [Google Scholar] [CrossRef]
- Sherman, T.F. On connecting large vessels to small. The meaning of Murray’s law. J. Gen. Physiol. 1981, 78, 431–453. [Google Scholar] [CrossRef] [PubMed]
- Shimpalee, S.; Greenway, S.; Van Zee, J. The impact of channel path length on PEMFC flow-field design. J. Power Source 2006, 160, 398–406. [Google Scholar] [CrossRef]
- Shimpalee, S.; Van Zee, J.W. Numerical studies on rib & channel dimension of flow-field on PEMFC performance. Int. J. Hydrogen Energy 2007, 32, 842–856. [Google Scholar]
- Sierra, J.; Figueroa-Ramírez, S.; Díaz, S.; Vargas, J.; Sebastian, P. Numerical evaluation of a PEM fuel cell with conventional flow fields adapted to tubular plates. Int. J. Hydrogen Energy 2014, 39, 16694–16705. [Google Scholar] [CrossRef]
- Sun, W.; Peppley, B.A.; Karan, K. Modeling the influence of GDL and flow-field plate parameters on the reaction distribution in the PEMFC cathode catalyst layer. J. Power Source 2005, 144, 42–53. [Google Scholar] [CrossRef]
- Suseendiran, S.; Pearn-Rowe, S.; Rengaswamy, R. Development of cylindrical PEM fuel cells with semi-cylindrical cathode current collectors. Int. J. Hydrogen Energy 2020, 45, 10549–10558. [Google Scholar] [CrossRef]
- Thiagarajan, V.; Karthikeyan, P.; Thanarajan, K.; Neelakrishnan, S.; Manoharan, R.; Chen, R.; Fly, A.; Anand, R.; Raj, T.R.K.; Kumar, S. Experimental investigation on DMFCs using reduced noble metal loading with NiTiO3 as supportive material to enhance cell performances. Int. J. Hydrogen Energy 2019, 44, 13415–13423. [Google Scholar] [CrossRef]
- Thitakamol, V.; Therdthianwong, A.; Therdthianwong, S. Mid-baffle interdigitated flow fields for proton exchange membrane fuel cells. Int. J. Hydrogen Energy 2011, 36, 3614–3622. [Google Scholar] [CrossRef]
- Tongsh, C.; Liang, Y.; Xie, X.; Li, L.; Liu, Z.; Du, Q.; Jiao, K. Experimental investigation of liquid water in flow field of proton exchange membrane fuel cell by combining X-ray with EIS technologies. Sci. China Technol. Sci. 2021, 64, 2153–2165. [Google Scholar] [CrossRef]
- Trogadas, P.; Cho, J.I.S.; Neville, T.P.; Marquis, J.; Wu, B.; Brett, D.J.L.; Coppens, M.-O. A lung-inspired approach to scalable and robust fuel cell design. Energy Environ. Sci. 2018, 11, 136–143. [Google Scholar] [CrossRef]
- Tüber, K.; Oedegaard, A.; Hermann, M.; Hebling, C. Investigation of fractal flow-fields in portable proton exchange membrane and direct methanol fuel cells. J. Power Source 2004, 131, 175–181. [Google Scholar] [CrossRef]
- Wan, Z.; Quan, W.; Yang, C.; Yan, H.; Chen, X.; Huang, T.; Wang, X.-D.; Chan, S. Optimal design of a novel M-like channel in bipolar plates of proton exchange membrane fuel cell based on minimum entropy generation. Energy Convers. Manag. 2020, 205, 112386. [Google Scholar] [CrossRef]
- Wang, C.T.; Chang, C.P.; Shaw, C.K.; Cheng, J.Y. Fuel cell bionic flow slab design. J. Fuel Cell Sci. Technol. 2010, 7, 011009. [Google Scholar] [CrossRef]
- Wang, C.-T.; Hu, Y.-C.; Zheng, P.-L. Novel biometric flow slab design for improvement of PEMFC performance. Appl. Energy 2010, 87, 1366–1375. [Google Scholar] [CrossRef]
- Wang, J. Theory and practice of flow field designs for fuel cell scaling-up: A critical review. Appl. Energy 2015, 157, 640–663. [Google Scholar] [CrossRef]
- Wang, X.-D.; Huang, Y.-X.; Cheng, C.-H.; Jang, J.-Y.; Lee, D.-J.; Yan, W.-M.; Su, A. An inverse geometry design problem for optimization of single serpentine flow field of PEM fuel cell. Int. J. Hydrogen Energy 2010, 35, 4247–4257. [Google Scholar] [CrossRef]
- Wang, X.-D.; Lu, G.; Duan, Y.-Y.; Lee, D.-J. Numerical analysis on performances of polymer electrolyte membrane fuel cells with various cathode flow channel geometries. Int. J. Hydrogen Energy 2012, 37, 15778–15786. [Google Scholar] [CrossRef]
- Wang, X.; Qin, Y.; Wu, S.; Shangguan, X.; Zhang, J.; Yin, Y. Numerical and experimental investigation of baffle plate arrangement on proton exchange membrane fuel cell performance. J. Power Source 2020, 457, 228034. [Google Scholar] [CrossRef]
- Wang, Z. Recent advances in novel metallic honeycomb structure. Compos. Part B Eng. 2019, 166, 731–741. [Google Scholar] [CrossRef]
- Wang, Z.; Liu, Z.; Fan, L.; Du, Q.; Jiao, K. Application progress of small-scale proton exchange membrane fuel cell. Energy Rev. 2023, 2, 100017. [Google Scholar] [CrossRef]
- Wawdee, P.; Limtrakul, S.; Vatanatham, T.; Fowler, M.W. Water transport in a PEM fuel cell with slanted channel flow field plates. Int. J. Hydrogen Energy 2015, 40, 3739–3748. [Google Scholar] [CrossRef]
- Yamaguchi, T.; Shimizu, S.; Suzuki, T.; Fujishiro, Y.; Awano, M. Design and Fabrication of a Novel Electrode-Supported Honeycomb SOFC. J. Am. Ceram. Soc. 2009, 92, S107–S111. [Google Scholar] [CrossRef]
- Yan, W.-M.; Liu, H.-C.; Soong, C.-Y.; Chen, F.; Cheng, C. Numerical study on cell performance and local transport phenomena of PEM fuel cells with novel flow field designs. J. Power Source 2006, 161, 907–919. [Google Scholar] [CrossRef]
- Yan, W.-M.; Mei, S.-C.; Soong, C.-Y.; Liu, Z.-S.; Song, D. Experimental study on the performance of PEM fuel cells with interdigitated flow channels. J. Power Source 2006, 160, 116–122. [Google Scholar] [CrossRef]
- Yan, W.-M.; Li, H.-Y.; Chiu, P.-C.; Wang, X.-D. Effects of serpentine flow field with outlet channel contraction on cell performance of proton exchange membrane fuel cells. J. Power Source 2008, 178, 174–180. [Google Scholar] [CrossRef]
- Yang, W.; Wang, H.; Kim, Y. Channel geometry optimization using a 2D fuel cell model and its verification for a polymer electrolyte membrane fuel cell. Int. J. Hydrogen Energy 2014, 39, 9430–9439. [Google Scholar] [CrossRef]
- Ying, W.; Yang, T.-H.; Lee, W.-Y.; Ke, J.; Kim, C.-S. Three-dimensional analysis for effect of channel configuration on the performance of a small air-breathing proton exchange membrane fuel cell (PEMFC). J. Power Source 2005, 145, 572–581. [Google Scholar] [CrossRef]
- Yoon, Y.-G.; Lee, W.-Y.; Park, G.-G.; Yang, T.-H.; Kim, C.-S. Effects of channel and rib widths of flow field plates on the performance of a PEMFC. Int. J. Hydrogen Energy 2005, 30, 1363–1366. [Google Scholar] [CrossRef]
- Zeng, X.; Ge, Y.; Shen, J.; Zeng, L.; Liu, Z.; Liu, W. The optimization of channels for a proton exchange membrane fuel cell applying genetic algorithm. Int. J. Heat Mass Transf. 2017, 105, 81–89. [Google Scholar] [CrossRef]
- Zhang, S.; Liu, S.; Xu, H.; Liu, G.; Wang, K. Performance of proton exchange membrane fuel cells with honeycomb-like flow channel design. Energy 2022, 239, 122102. [Google Scholar] [CrossRef]





























































































| Configurations | Flow Non Uniformity Index (F1) | ∆P (Pa) |
|---|---|---|
| 1-U | 0.70 | 66.75 |
| 2-U | 0.30 | 76.51 |
| 4-U | 0.16 | 78.22 |
| 1-Z | 0.48 | 73.75 |
| 2-Z | 0.27 | 170.79 |
| 4-Z | 0.15 | 554.62 |
| 5-Z | 0.12 | 842.71 |
| Flow Field Type | ∆P (Pa) | Wcell (W/m2) | WP (W/m2) | WNet (W/m2) |
|---|---|---|---|---|
| Parallel | 248 | 3529 | 4.4 | 3524.6 |
| Serpentine | 5137 | 5583 | 91 | 5492 |
| BFF1 | 2073 | 5593 | 37 | 5557 |
| Shape of the Cross Section | Power Density (mW/cm2) | ||||||||
|---|---|---|---|---|---|---|---|---|---|
| Pressure 1 bar | Pressure 2 bar | Pressure 3 bar | |||||||
| Temp 333k | Temp 343 | Temp 353 | Temp 333k | Temp 343 | Temp 353 | Temp 333k | Temp 343 | Temp 353 | |
| Square | 525.69 | 338.7 | 275.26 | 948.85 | 879.89 | 522.33 | 1133.75 | 1044.26 | 971.75 |
| Triangle | 530.72 | 339.04 | 275.31 | 948.93 | 878.62 | 524.15 | 1132.77 | 1042.78 | 970.46 |
| Parallelogram 140 | 526.26 | 338.73 | 275.28 | 948.83 | 879.66 | 522.64 | 1132.49 | 1044.58 | 972.09 |
| Parallelogram 260 | 528.76 | 338.85 | 275.35 | 948.86 | 879.15 | 523.62 | 1132.53 | 1044.25 | 971.19 |
| Trapezium | 518.82 | 337.20 | 272.95 | 937.21 | 874.68 | 519.08 | 1116.70 | 1035.66 | 969.99 |
| Inverted Trapezium | 512.51 | 336.96 | 272.75 | 938.90 | 876.46 | 515.69 | 1117.34 | 1036.27 | 973.64 |
| Type of Flow Field Design | Active Area (cm2) | Channel Width (mm) | Rib Width (mm) | Channel Height (mm) | Number of Channel (Nch) | Operating Conditions | Type of Study | Reference |
|---|---|---|---|---|---|---|---|---|
| Straight configuration (ribbed and ducted) | 1.8 | 2 | 1 | 6 | 1 | 1 bar/293 k | Numerical | [10] |
| Straight configuration (with trap) | 1 | 1 | 1 | 1 | 1 | 3 bar/353 k | Numerical | [11] |
| Straight configuration with bio inspired wave | 0.6 | 1 | 1 | 1 | 1 | 1 bar/343.15 k | Numerical | [12] |
| Straight configuration with m-channel | - | 1 | 1 | 1 | 1 | 1 bar/343 k | Numerical | [13] |
| Serpentine configuration | 0.2 | 1 | 0.5 | 1 | 1 | 3 bar/353 k | Numerical | [14] |
| Serpentine configuration with single and multi passes | 10 | 0.8 | 0.8 | 1 | 1, 2, 5, 5 | 1 bar/343 k | Numerical | [15] |
| Serpentine configuration with multi passes | 3, 4.5, 6 | 0.8 | 0.7 | 0.8 | 2, 3, 4 | 1 bar | Numerical | [16] |
| Serpentine configuration with multi passes | 200 | 0.9 | 0.9 | 0.55 | 3, 6, 13, 26 | 1 bar/343 k | Numerical | [17] |
| W-shape flow channel | - | 1.1 | - | 0.4 | 3 | 0.7 bar/313 k | Experimental | [18] |
| Wavy serpentine configuration | 25 | 1 | 1 | 1 | 1 | 298 k, 313 k, 333 k | Experimental | [19] |
| Serpentine with PCI (uniform and zigzag) | 25 | 2 | 2 | 2 | 1 | 1 bar/(323–333) k | Experimental | [20] |
| Serpentine with PCI (uniform and zigzag) | 25 and 70 | 2 | 2 | 2 | 1 | 1 bar/323 k | Experimental | [21] |
| Pin configuration (uniform and zigzag) | 25 | 2 | 2 | 2 | 1 | 1 bar/323 k | Numerical | [22] |
| Parallel configuration with single and double (in/out) | (12.9 × 30.5) | 3–1 | 1 | 1 | 65 | 1 bar | Numerical | [25] |
| Parallel configuration with single and double (in/out) | 393.45 | 1 | 1 | 0.8 | 65 | 1 bar/353 k | Numerical | [26] |
| Parallel configuration with dents (square, semicircular, and trapezoidal) | 1.2 | 0.5 | 1 | 0.6 | 1 | 1 bar/333 k | Numerical | [27] |
| Parallel configuration with metal foam | - | 1 | 1 | 1 | - | 1 bar/353 k | Numerical | [28] |
| Parallel configuration with rectangular blockage | - | 1 | 1 | 1 | 4 | 3 bar/353 k | Numerical | [29] |
| Parallel configuration with baffle plate | 26.95 | 1 | - | 1 | 2 | 348.15 k | Experimental & numerical | [30] |
| Parallel configuration with micro-distributor | 5.1 × 5.1 | 1 | 1 | 1 | 25 | 1 bar/353 k | Numerical | [31] |
| Parallel configuration with zigzag wavy channel | 225 | 2 | 2 | 2 | 37 | 333 k | Numerical | [32] |
| Interdigitated and parallel configuration | 198.81 | 0.8, 1, 1.2 | 1.2, 1, 1 | 1 | 69 | 0.97272 bar/323 k | Experimental | [35] |
| Interdigitated configuration with mid-baffled | 7.1 × 7.1 | 1 | 1 | 1 | 1 | 1 bar, 2 bar/353 k | Experimental | [36] |
| Modified interdigitated configuration | 25 | H/h1 = 1.5, h2/h1 = 0.5, h3/h1 = 0.6 | - | - | 1 | 1 bar/313 k, 333 k, 353 k | Numerical | [37] |
| Hybrid interdigitated -serpentine configuration | 48.067 | 0.8 | 0.8 | 0.8 | 1,2 | 1 bar/333 k | Numerical | [38] |
| Interdigitated -parallel configuration | 30.5 | 1 | 1 | 1 | 7 | - | Experimental | [39] |
| Concentric-spirals configuration | 16.6 | 0.8 | 1.5 | 1 | 1, 2, 3, 4, 6, 8 | 2 bar/343 k | Numerical | [40] |
| Spiral configuration | 25 | 1 | 1 | 1 | 5 | 343 k | Experimental and numerical | [41] |
| Radial configuration | 10.54 | Inlet = 0.3930 Outlet = 3.5340 | - | 10 | 4 | 1 bar/300 k | Numerical | [43] |
| Inlet = 0.1963 outlet = 1.7671 | 8 | |||||||
| Inlet = 0.1309 Outlet = 1.1781 | 12 | |||||||
| Pin-type configuration | 1 × 1 5 × 5 | 1.5 | - | 1 | - | 1 bar/353 k | Numerical | [44] |
| Cylindrical configuration | 5 | 0.8 | 0.8 | - | 1 | 2 bar/343 k | Numerical | [48] |
| Fractal configuration | 109.5 | Increase from 1 mm | - | 1.5 | - | 323 k | Experimental | [51] |
| Hilbert curve fractal current collectors | 1225 | For 1st order 2.2 | 6.55 | - | - | 328 k | Experimental | [53] |
| For 2nd order 2.2 | 2.18 | |||||||
| For 3rd order 1.1 | 1.09 | |||||||
| Bio-inspired configuration | 24.6 | 2 | 1 | 1 | - | 1 bar/323 k | Numerical | [55] |
| Leaf-shape flow field | 7.2 | - | 1 | 1 | - | 1 bar/353 k | Numerical | [56] |
| Lung flow pattern | - | 0.7874 | 0.8 | 1.016 | - | 1 bar/348 k | Numerical | [57] |
| Net leaf configuration | 46.2 | - | - | - | 251 | 1 bar/353 k | Experimental | [58] |
| Leaf vein flow channel | 9.84 | Variable | Variable | 0.4 | - | 0.7 bar/313 k | Experimental | [59] |
| Leaf-inspired configuration | 50 × 50 | - | - | 2 | - | 1 bar/343 k | Experimental and numerical | [60] |
| Bio-inspired flow field design with varying channel width | 5 × 5 | Right and left branches 1st 2.51 2nd 1.23 3rd 1.00 Middle branches 1st 1.78 2nd 1.14 3rd 1.00 | - | 1.5 | - | Bar/348 k | Numerical | [61] |
| Bionic flow field | 2 × 2 | Primary channel = 1 | - | 1 | - | 1 bar/353 k | Numerical | [62] |
| Bionic flow field | 27.54 | Primary channel = 1 | - | 1 | - | 1 bar/353.15 k | Numerical | [63] |
| Asymmetric leaf flow field | 27.54 | Primary channel = 2 Secondary channel = 0.5 | 0.5 | 0.5 | Secondary channels = 64 | 1 bar/353 k | Numerical | [64] |
| Tree-like flow field channels | 9 | Primary channel = 1 | - | 1 | - | 2 bar/343 k | Numerical | [66] |
| Tree-like flow field patterns | 25 | Inlet = 0.917, 0.917, 1 Outlet = 0.925, 1, 1 | - | Inlet = 1 Outlet 0.8 | 136 | 0.5 bar/353 k | Experimental | [70] |
| Lung-inspired configuration | 7.5 × 7.5 | 2 | - | 2 | 8 main channels 34 branches | 1 bar/338 k | Numerical | [74] |
| Lung-inspired configuration (PCB) | 6.25 | 0.5 | - | 1 | 4 generation with (1-inlet, 256-outlet | 318 k | Experimental | [76] |
| Honeycomb configuration | 8.5, 17 | Square flow channel = 5.3 × 5.3 | 1 | - | 9 | 1123 k | Experimental | [80] |
| Honeycomb configuration | 19.2, 9.6 | Square flow channel = 6 | 0.5 | - | 9 | 1123 k | Experimental and Numerical | [82] |
| Biophysical flow slab design | 24.6 | 1.2 | 1 | 1 | - | 323 k | Numerical | [86] |
| Wave-like flow channel | - | 0.5 | - | 0.5 | - | 1 bar/323 k, 333 k, 343 k | Numerical | [88] |
| Single straight channel | 0.5076 | 0.8 | 0.4 | 1 | 1 | 1 bar/343 k | Numerical | [90] |
| 0.9 | 0.35 | |||||||
| 0.8 | 0.4 | |||||||
| Single straight channel | 40 | Basic design = 1 | 1 | 1 | 1 | 1 bar/343.14 k | Numerical | [91] |
| Longer base of optimal design = 1.2874 | ||||||||
| Single serpentine channel | 5 | 0.8 | 0.65 | 0.8 | 1 | 1 bar/353 k | Numerical | [92] |
| Longer base of the trapezoid = 1.05 | Longer base of the trapezoid = 0.4 | |||||||
| Parallel flow channel | 14 × 14 | 1 | 1 | 1 | 12 | 1 bar | Numerical | [93] |
| Single straight channel | - | 0.8 | 0.8 | - | 1 | 1 bar/343 k | Numerical | [94] |
| Parallel flow channel | 150 | 1.5 | 1 | 1 | 7 | 353 k | Experimental | [95] |
| Single straight channel | 1.25 | 1 | 1 | 1 | 1 | 1 bar, 2 bar, 3 bar/333 k, 343 k, 353 k | Numerical | [96] |
| Serpentine configuration with slop turn | - | 1 | 1 | 1 | 1 | - | Numerical | [98] |
| Serpentine configuration | 60 | 2 | 2 | 0.72 | 1 | - | Numerical | [99] |
| Serpentine flow fields | 100 | 1 | 1 | 1 | 1, 2, 3, 4, 5, 6 | 1 bar/323 k | Numerical | [100] |
| Serpentine flow channel | 0.2 | 1 | 1 | 1 | 1 | 3 bar/353 k | Numerical | [101] |
| Parallel channels | - | Half channel width = 0.5 | Half channel land width = 0.5 | - | - | 1.5 bar/353 k | Numerical | [103] |
| Parallel channels | 50 | 2, 2, 1 | 3, 2, 1 | - | - | 343 k | Experimental | [106] |
| Serpentine flow channel | 25, 200 | 0.9, | 0.9 | 0.55 | 3 | 1 bar/343k | Numerical | [107] |
| Parallel, erpentine, and interdigitated channels | 26.01 | 0.4, 0.6, 0.8, 1, 1.2, 1.4 | 1.6, 1.4, 1.2, 1, 0.8, 0.6 | 1 | 1 | 1 bar/323 k | Numerical | [108] |
| Single straight channel | 0.3, 0.6, 0.9, 1.2 | 0.5, 1, 1.5, 2 | 0.5, 1, 1.5, 2 | 0.5, 1, 1.5, 2 | 1 | 1.5 bar/323 k | Numerical | [109] |
| Serpentine configuration | 25 | 2, 1, 0.5 | 1 | variable | 1 | 1.21 bar/323 k | Experimental and Numerical | [110] |
| Parallel-serpentine configuration | 100 | 3.16, 2.53, 2.5, 2, 1.58, 1.26 | - | 2.53, 3.16, 2, 2.5, 1.26, 1.58 | 20, 25, 40 | 1 bar/298 k | Experimental | [111] |
| Parallel flow channels | 100 | 1.26 | 1.26 | 1.58 | 40 | 1 bar/348 k | Numerical | [112] |
| 1.58 | 0.94 | 1.26 | 40 | |||||
| 2 | 2 | 2.5 | 25 | |||||
| 2.5 | 1.5 | 2 | 25 | |||||
| 2.53 | 2.53 | 3.16 | 20 | |||||
| 3.16 | 1.9 | 2.53 | 20 | |||||
| Serpentine flow channel | 8 × 32 | 1.33 | Constant | 0.8 | 1 | 1 bar/343 k | Numerical | [113] |
| 8.8 × 29.1 | 1.6 | 0.67 | ||||||
| 10 × 25.6 | 2 | 0.53 | ||||||
| 12 × 21.33 | 2.66 | 0.4 | ||||||
| 16 × 16 | 4 | 0.27 | ||||||
| 6.4 × 40 | 0.8 | 1.33 | ||||||
| 6 × 42.67 | 0.67 | 1.6 | ||||||
| 5.6 × 45.72 | 0.53 | 2 | ||||||
| 5.2 × 49.23 | 0.4 | 2.66 | ||||||
| 4.8 × 53.33 | 0.27 | 4 | ||||||
| Serpentine flow channels | 25 | 1 | 1 | 0.34 | 5-passes | 1 bar/348 k | Numerical | [114] |
| 1 | 1 | 0.5 | ||||||
| 1 | 1 | 0.67 | ||||||
| 1 | 1 | 0.83 | ||||||
| 1.25 | 0.75 | 0.34 | ||||||
| 1.5 | 0.5 | 0.34 | ||||||
| 1.75 | 0.25 | 0.34 | ||||||
| Straight configuration tapered in height | - | 1 | - | - | 1 | 1 bar/353 k | Numerical | [115] |
| Serpentine flow channels | 0.81 | 1 | 1 | 1 | 5 | 323 k | Numerical | [116] |
| Serpentine channel with outlet contraction | 5.29 | 1 | 1 | 1 | 4 | 323 k | Numerical | [117] |
| Straight configuration tapered in height | - | - | - | 0.762 | 1 | 1 bar/353 k | Numerical | [118] |
| Straight configuration tapered in width or height | - | 1 | - | 1 | 3 | 1 bar/323 k | Numerical | [119] |
Disclaimer/Publisher’s Note: The statements, opinions and data contained in all publications are solely those of the individual author(s) and contributor(s) and not of MDPI and/or the editor(s). MDPI and/or the editor(s) disclaim responsibility for any injury to people or property resulting from any ideas, methods, instructions or products referred to in the content. |
© 2023 by the authors. Licensee MDPI, Basel, Switzerland. This article is an open access article distributed under the terms and conditions of the Creative Commons Attribution (CC BY) license (https://creativecommons.org/licenses/by/4.0/).
Share and Cite
Bunyan, S.T.; Dhahad, H.A.; Khudhur, D.S.; Yusaf, T. The Effect of Flow Field Design Parameters on the Performance of PEMFC: A Review. Sustainability 2023, 15, 10389. https://doi.org/10.3390/su151310389
Bunyan ST, Dhahad HA, Khudhur DS, Yusaf T. The Effect of Flow Field Design Parameters on the Performance of PEMFC: A Review. Sustainability. 2023; 15(13):10389. https://doi.org/10.3390/su151310389
Chicago/Turabian StyleBunyan, Sadiq T., Hayder A. Dhahad, Dhamyaa S. Khudhur, and Talal Yusaf. 2023. "The Effect of Flow Field Design Parameters on the Performance of PEMFC: A Review" Sustainability 15, no. 13: 10389. https://doi.org/10.3390/su151310389
APA StyleBunyan, S. T., Dhahad, H. A., Khudhur, D. S., & Yusaf, T. (2023). The Effect of Flow Field Design Parameters on the Performance of PEMFC: A Review. Sustainability, 15(13), 10389. https://doi.org/10.3390/su151310389

