Numerical Modeling and Design Method for Reinforced Polyvinyl-Alcohol-Engineered Cementitious Composite Beams in Bending
Abstract
:1. Introduction
2. Numerical Model
2.1. Finite Element Models
2.2. Validation of Proposed Model
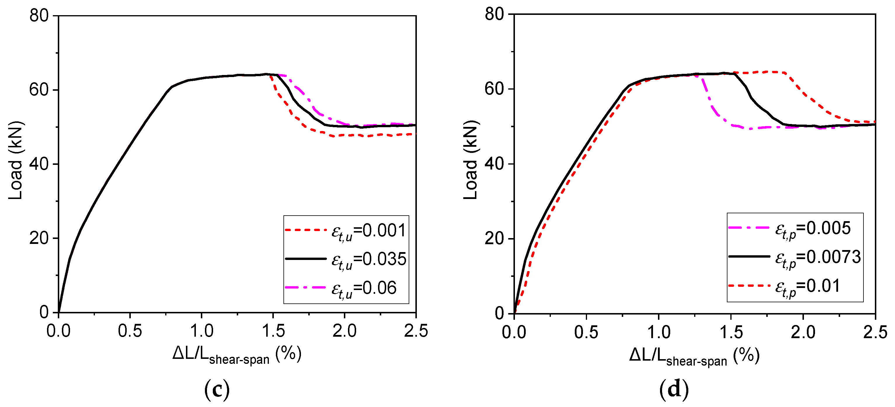
2.3. Parameter Analysis
3. Existing Design Methods
3.1. American Concrete Institute and Chinese Code
3.2. fib Model Code
- 1.
- Attainment of the ultimate compressive strain of ECC, ;
- 2.
- Attainment of the ultimate tensile stain in the steel, ;
- 3.
- Attainment of the ultimate tensile strain of ECC, ’
| Specimen | Experimental Results | GB 50010-2010 [24] | ACI 318-19 [25] | Fib Model Code [26] | UHPC [28] | Proposed Method [20] | |||||
|---|---|---|---|---|---|---|---|---|---|---|---|
| Load (kN) | Load (kN) | Load (kN) | Load (kN) | Load (kN) | |||||||
| PExp | PGB | PGB/PExp | PACI | PACI/PExp | Pfib | Pfib/PExp | PUHPC | PUHPC /PExp | PPo | PPo/PExp | |
| ECC-10-0.419 | 64.7 | 44.8 | 0.69 | 40.1 | 0.62 | 46.3 | 0.72 | 60.6 | 0.94 | 65.7 | 1.02 |
| ECC-12-0.603 | 84.7 | 61.2 | 0.72 | 54.7 | 0.65 | 62.7 | 0.74 | 75.7 | 0.89 | 79.2 | 0.93 |
| ECC-14-0.821 | 105.1 | 80.3 | 0.76 | 71.6 | 0.68 | 81.7 | 0.78 | 93.4 | 0.89 | 94.5 | 0.90 |
| ECC-16-1.072 | 117.7 | 105.9 | 0.90 | 94.1 | 0.80 | 107.3 | 0.91 | 117.8 | 1.00 | 114.7 | 0.97 |
| ECC-18-1.357 | 142.4 | 127.4 | 0.89 | 112.8 | 0.79 | 128.7 | 0.90 | 138.6 | 0.97 | 130.9 | 0.92 |
| ECC-20-1.675 | 153.4 | 155.6 | 1.01 | 137.1 | 0.89 | 156.7 | 1.02 | 173.9 | 1.13 | 151.4 | 0.99 |
| Mean value | 0.83 | 0.74 | 0.85 | 0.97 | 0.95 | ||||||
| Coefficient of variation | 0.20 | 0.28 | 0.19 | 0.09 | 0.06 | ||||||
3.3. Fehling
4. Proposed Calculation Method
5. Conclusions
Author Contributions
Funding
Institutional Review Board Statement
Informed Consent Statement
Data Availability Statement
Conflicts of Interest
Notation
| thickness of the concrete cover | PACI | peak load calculated by ACI 318-19 | |
| cross-sectional area of reinforcement | peak load of experimental results | ||
| width of cross-section | peak load of numerical results | ||
| diameter of reinforcement | Pfib | peak load calculated by fib Model Code | |
| experimental deflection at ultimate load | PGB | peak load calculated by GB 50010-2010 | |
| numerical deflection at ultimate load | PPo | peak load calculated by proposed method | |
| elastic modulus of ECC | PUHPC | peak load calculated by Fehling’s method | |
| hardening modulus of steel bars | slip at peak bond stress | ||
| elastic modulus of steel bars | slip at the onset of frictional bond stress | ||
| compressive strength | compressive strain at 50% of peak strength | ||
| compressive stress in the compression zone that adopts the compressive strength | compressive strain at compressive strength | ||
| ultimate strength, assumed as 1/3 | compressive strain at 50% of compressive strength | ||
| tensile strength | ultimate tensile stain of steel | ||
| cracking tensile strength | cracking strain of ECC | ||
| ultimate strength of reinforcement | tensile strain when the stress is 95% of peak stress | ||
| yield strength of reinforcement | tensile localization strain | ||
| residual stress of PVA-ECC | ultimate tensile strain of ECC | ||
| force in the compression zone | minimum reinforcement ratio | ||
| force in the initial compression zone | balanced reinforcement ratio | ||
| force in the second compression zone | yield reinforcement ratio | ||
| force of ECC in tension zone | simplified coefficient | ||
| force of increasing stage in tension zone | tensile stress at the bottom of the tension zone, assumed to be | ||
| force of plateau stage in tension zone | maximum bond stress | ||
| reinforcement force | frictional bond stress | ||
| M | moment of beams in bending | a coefficient that adopts 0.8 | |
| height of cross-sections | a coefficient that adopts 1 |
References
- Jin, H.; Li, F.; Hu, D. Research on the flexural performance of reinforced engineered cementitious composite beams. Struct. Concr. 2021, 23, 2198–2220. [Google Scholar]
- Maalej, M.; Li, V.C. Introduction of Strain-Hardening Engineered Cemenetitious Composites in Design of Reinforced Concrete Flexural Members for Improved Durability. ACI Struct. J. 1995, 92, 167–176. [Google Scholar]
- Yang, E.; Li, V.C. Strain-Hardening Fibre Cement Optimization and Component Tailoring by Means of a Micromechanical Model. Constr. Build. Mater. 2010, 24, 130–139. [Google Scholar]
- Victor, C.L. Engineered Cementitious Composites (ECC): Bendable Concrete for Sustainable and Resilient Infrastructure; Springer: Berlin/Heidelberg, Germany, 2022. [Google Scholar]
- Ge, W.; Ashour, A.F.; Cao, D.; Lu, W.; Gao, P.; Yu, J.; Ji, X.; Cai, C. Experimental study on flexural behavior of ECC-concrete composite beams reinforced with FRP bars. Compos. Struct. 2019, 208, 454–465. [Google Scholar]
- Yuan, F.; Pan, J.; Leung, C.K.Y. Flexural Behaviors of ECC and Concrete/ECC Composite Beams Reinforced with Basalt Fiber-Reinforced Polymer. J. Compos. Constr. 2013, 17, 591–602. [Google Scholar]
- Dabiri, H.; Kaviani, A.; Kheyroddin, A. Influence of reinforcement on the performance of non-seismically detailed RC beam-column joints. J. Build. Eng. 2020, 31, 101333. [Google Scholar]
- Behnam, H.; Kuang, J.S.; Samali, B. Parametric finite element analysis of RC wide beam-column connections. Comput. Struct. 2018, 205, 28–44. [Google Scholar]
- Onuralp, O.Y.; Karalar, M.; Aksoylu, C.; Beskopylny, A.N.; Stel, S.A.; Shcherban, E.M.; Qaidi, S.; Pereira, I.D.S.A.; Monteiro, S.N.; Azevedo, A.R.G. Shear performance of reinforced expansive concrete beams utilizing aluminium waste. J. Mater. Res. Technol. 2023, 24, 5433–5448. [Google Scholar]
- Ozkılıç, Y.O.; Basaran, B.; Aksoylu, C.; Karalar, M.; Martins, C.H. Mechanical behavior in terms of shear and bending performance of reinforced concrete beam using waste fire clay as replacement of aggregate. Case Stud. Constr. Mater. 2023, 18, e02104. [Google Scholar]
- Shao, Y.; Billington, S.L. Flexural performance of steel-reinforced engineered cementitious composites with different reinforcing ratios and steel types. Constr. Build. Mater. 2020, 231, 117159. [Google Scholar]
- Shao, Y. Improving Ductility and Design Methods of Reinforced High-Performance Fiber-Reinforced Cementitious Composite (HPFRCC) Flexural Members; Stanford University: Stanford, CA, USA, 2020. [Google Scholar]
- Shao, Y.; Billington, S.L. Predicting the two predominant flexural failure paths of longitudinally reinforced high-performance fiber-reinforced cementitious composite structural members. Eng. Struct. 2019, 199, 109581. [Google Scholar]
- Suryanto, B.; Nagai, K.; Maekawa, K. Modeling and Analysis of Shear-Critical ECC Members with Anisotropic Stress and Strain Fields. J. Adv. Concr. Technol. 2010, 8, 239–258. [Google Scholar]
- Suryanto, B.; Nagai, K.; Maekawa, K. Smeared-Crack Modeling of R/ECC Membranes Incorporating an Explicit Shear Transfer Model. J. Adv. Concr. Technol. 2010, 8, 315–326. [Google Scholar]
- Varela, S.; Saiidi, M.S. Shear Behavior of Engineered Cementitious Composite Structural Members, Second Conference on Smart Monitor, Assessment and Rehabilitation of Civil Structures; ITU: Istanbul, Turkey, 2013. [Google Scholar]
- Zheng, Y.-Z.; Wang, W.-W.; Mosalam, K.M.; Fang, Q.; Chen, L.; Zhu, Z.-F. Experimental investigation and numerical analysis of RC beams shear strengthened with FRP/ECC composite layer. Compos. Struct. 2020, 246, 112436. [Google Scholar]
- Shanour, A.S.; Said, M.; Arafa, A.I.; Maher, A. Flexural performance of concrete beams containing engineered cementitious composites. Constr. Build. Mater. 2018, 180, 23–34. [Google Scholar]
- Selim, A.H.; Mahmoudi, F.; Abdalla, J.A.; Hawileh, R.A.; Abed, F.; Kyaure, M. Finite Element Modeling of Engineered Cementitious Composite (ECC) Prisms and Beams. In Proceedings of the 2022 Advances in Science and Engineering Technology International Conferences (ASET), Dubai, United Arab Emirates, 21–24 February 2022; IEEE: Piscataway, NJ, USA; pp. 1–6. [Google Scholar]
- Shao, Y.; Hung, C.-C.; Billington, S.L. Gradual Crushing of Steel Reinforced HPFRCC Beams: Experiments and Simulations. J. Struct. Eng. 2021, 147, 04021114. [Google Scholar]
- Wang, D.-D.; Li, J.-Z.; Qin, S.-D.; Liu, C.-X.; Long, B.; Kang, S.-B. Experimental tests and analytical model for reinforced polyvinyl alcohol-engineered cementitious composite beams in bending. Struct. Concr. 2023, 24, 3520–3544. [Google Scholar]
- DIANA. DIANA Users’ Manual Release 10.2, DIANA FEA bv. 2017. Available online: https://manuals.dianafea.com/d102/Diana.html (accessed on 21 June 2023).
- Bandelt, M.J.; Frank, T.E.; Lepech, M.D.; Billington, S.L. Bond behavior and interface modeling of reinforced high-performance fiber-reinforced cementitious composites. Cem. Concr. Compos. 2017, 83, 188–201. [Google Scholar]
- 50010–2010; Code for Design of Concrete Structures. National Standard of The People’s Republic Of China: Beijing, China, 2015.
- ACI 318–19; Building Code Requirements for Structural Concrete. Americon Concrete Institute: Farming, MI, USA, 2019.
- fib Model Code for Concrete Structures 2010; Fédération Internationale du Béton: Laussane, Switzerland, 2013.
- Prisco, M.D.; Colombo, M.; Dozio, D. Fibre-reinforced concrete in fib Model Code 2010: Principles, models and test validation. Struct. Concr. 2013, 14, 342–356. [Google Scholar]
- Fehling, E.; Schmidt, M.; Walraven, J.; Leutbecher, T.; Frohlich, S. Ultra-High Performance Concrete UHPC: Fundamentals, Design, Examples; Ernst & Sohn GmbH & Co.: Berlin/Heidelberg, Germany, 2014. [Google Scholar]












| Parameter | Symbol | Unit | ECC |
|---|---|---|---|
| Compressive strength | MPa | 38.5 | |
| Compressive strain at peak strength | mm/mm | 0.0034 | |
| Compressive strain at 0.5 times the peak strength | mm/mm | 0.0011 | |
| Compressive strain at the residual strain | mm/mm | 0.005 | |
| Elastic modulus | GPa | 17.1 | |
| Tensile strength | MPa | 1.96 | |
| Tensile cracking strength | MPa | 1.86 | |
| Tensile strain when the stress is 0.95 times of peak stress | mm/mm | 0.00011 | |
| Tensile cracking strain | mm/mm | 0.0011 | |
| Tensile localization strain | mm/mm | 0.0073 | |
| Maximum tensile strain of ECC | mm/mm | 0.035 |
| Specimen | Ultimate Load | Deflection at Fracture of Rebars | ||||
|---|---|---|---|---|---|---|
| Experimental Results (kN) | Numerical Results (kN) | Experimental Results (%) | Numerical Results (%) | |||
| ECC-10-0.419 | 64.7 | 68.2 | 1.05 | 5.94 | 5.97 | 1.01 |
| ECC-12-0.603 | 84.7 | 88.7 | 1.05 | 10.99 | 10.34 | 0.94 |
| ECC-14-0.821 | 102.8 | 103.5 | 1.01 | 13.91 | 11.71 | 0.84 |
| ECC-16-1.072 | 117.7 | 120.5 | 1.02 | 15.55 | 15.11 | 0.97 |
| ECC-18-1.357 | 142.4 | 146.3 | 1.03 | 6.62 | 6.46 | 0.98 |
| ECC-20-1.675 | 153.4 | 164.3 | 1.07 | 9.53 | 9.63 | 1.01 |
| Average | 1.04 | 0.96 | ||||
| Coefficient of variation | 2.2% | 6.7% | ||||
| Diameter (mm) | Actual Reinforcement Ratio (%) | Minimum Reinforcement Ratio (%) | Balanced Reinforcement Ratio (%) | Yield Reinforcement Ratio (%) |
|---|---|---|---|---|
| 10 | 0.419 | 0.297 | 0.390 | 1.806 |
| 12 | 0.603 | 0.201 | 0.407 | 1.772 |
| 14 | 0.821 | 0.199 | 0.416 | 1.903 |
| 16 | 1.072 | 0.202 | 0.405 | 1.741 |
| 18 | 1.357 | 0.183 | 0.419 | 1.945 |
| 20 | 1.675 | 0.200 | 0.414 | 1.911 |
| Mean value | 0.214 | 0.409 | 1.846 |
Disclaimer/Publisher’s Note: The statements, opinions and data contained in all publications are solely those of the individual author(s) and contributor(s) and not of MDPI and/or the editor(s). MDPI and/or the editor(s) disclaim responsibility for any injury to people or property resulting from any ideas, methods, instructions or products referred to in the content. |
© 2023 by the authors. Licensee MDPI, Basel, Switzerland. This article is an open access article distributed under the terms and conditions of the Creative Commons Attribution (CC BY) license (https://creativecommons.org/licenses/by/4.0/).
Share and Cite
Fu, Q.-L.; Kang, S.-B.; Wang, D.-D. Numerical Modeling and Design Method for Reinforced Polyvinyl-Alcohol-Engineered Cementitious Composite Beams in Bending. Sustainability 2023, 15, 10130. https://doi.org/10.3390/su151310130
Fu Q-L, Kang S-B, Wang D-D. Numerical Modeling and Design Method for Reinforced Polyvinyl-Alcohol-Engineered Cementitious Composite Beams in Bending. Sustainability. 2023; 15(13):10130. https://doi.org/10.3390/su151310130
Chicago/Turabian StyleFu, Qiao-Ling, Shao-Bo Kang, and Dan-Dan Wang. 2023. "Numerical Modeling and Design Method for Reinforced Polyvinyl-Alcohol-Engineered Cementitious Composite Beams in Bending" Sustainability 15, no. 13: 10130. https://doi.org/10.3390/su151310130
APA StyleFu, Q.-L., Kang, S.-B., & Wang, D.-D. (2023). Numerical Modeling and Design Method for Reinforced Polyvinyl-Alcohol-Engineered Cementitious Composite Beams in Bending. Sustainability, 15(13), 10130. https://doi.org/10.3390/su151310130

