Receding Galerkin Optimal Control with High-Order Sliding Mode Disturbance Observer for a Boiler-Turbine Unit
Abstract
1. Introduction
- (1)
- A high-order sliding mode disturbance observer is designed to estimate the lumped disturbances based on the derived deviation form of the mathematical model of the boiler-turbine unit, which aims at the MIMO system and additionally addresses the observer gain tuning of the unit.
- (2)
- The estimates of the lumped disturbances are integrated into the predictive model and then feedforward compensated in the Galerkin optimal control-based feedback channel. As will be anticipated, the proposed composite controller exhibits superior time-varying lumped disturbance rejection and target tracking performance for a boiler-turbine unit.
2. Disturbed Boiler-Turbine Unit and Problem Statement
3. Main Results: Method
3.1. High-Order Sliding Mode Disturbance Observer Design
3.2. Galerkin Optimal Control Design
3.3. Receding Galerkin Optimal Control Design with High-Order Sliding Mode Disturbance Observer
- (i).
- At current time instant tk, the lumped disturbances of system (9) are estimated by the high-order sliding mode disturbance observer (11) as .
- (ii).
- Let the current state z(tk) and control u(tk) be the initial conditions, that is, . Then embed the obtained into the nonlinear mathematical model based-predictive model, the optimal discrete state and control sequences and can be acquired by minimizing JBT in (29) through the Galerkin optimal control method over the prediction horizon [t0, tf]: = [tk, tk + ΔT],where ΔT is the length of horizon. Dij and Δi are shown in (19) and in (20). To solve the discrete nonlinear programming problem (29), a nonlinear programming solver such as SNOPT is usually used 39.
- (iii).
- Apply the optimal control law on the unit and repeat the above operations in steps (i) and (ii) at the coming time instant tk+1. It is worth mentioning that the is a composite control law which contains the compensation of the lumped disturbances.
4. Simulations
4.1. Parameters Assignment
4.2. Case 1: Wide-Range Load Tracking without Lumped Disturbances
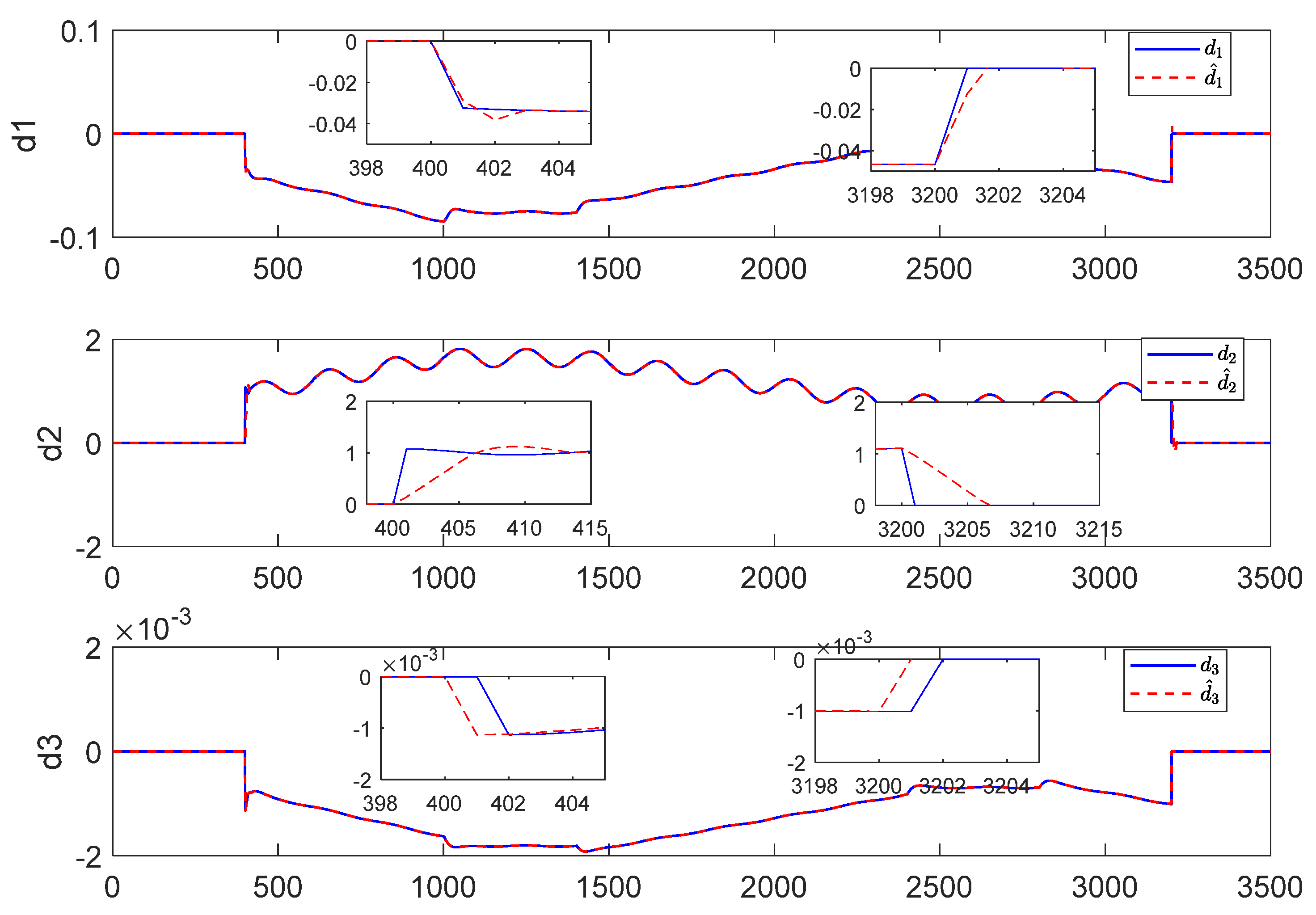
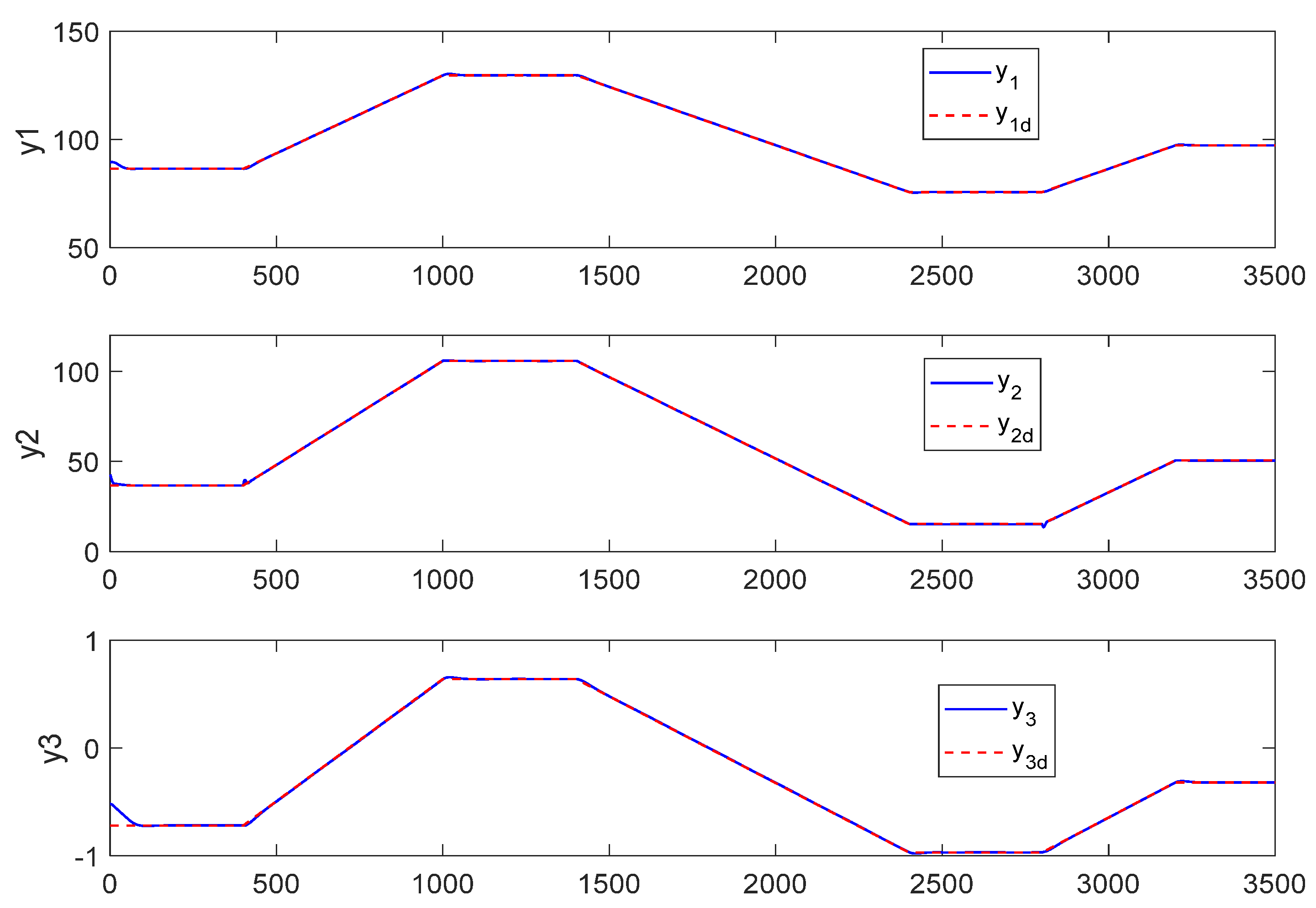
4.3. Case 2: Wide-Range Load Tracking with Lumped Disturbances
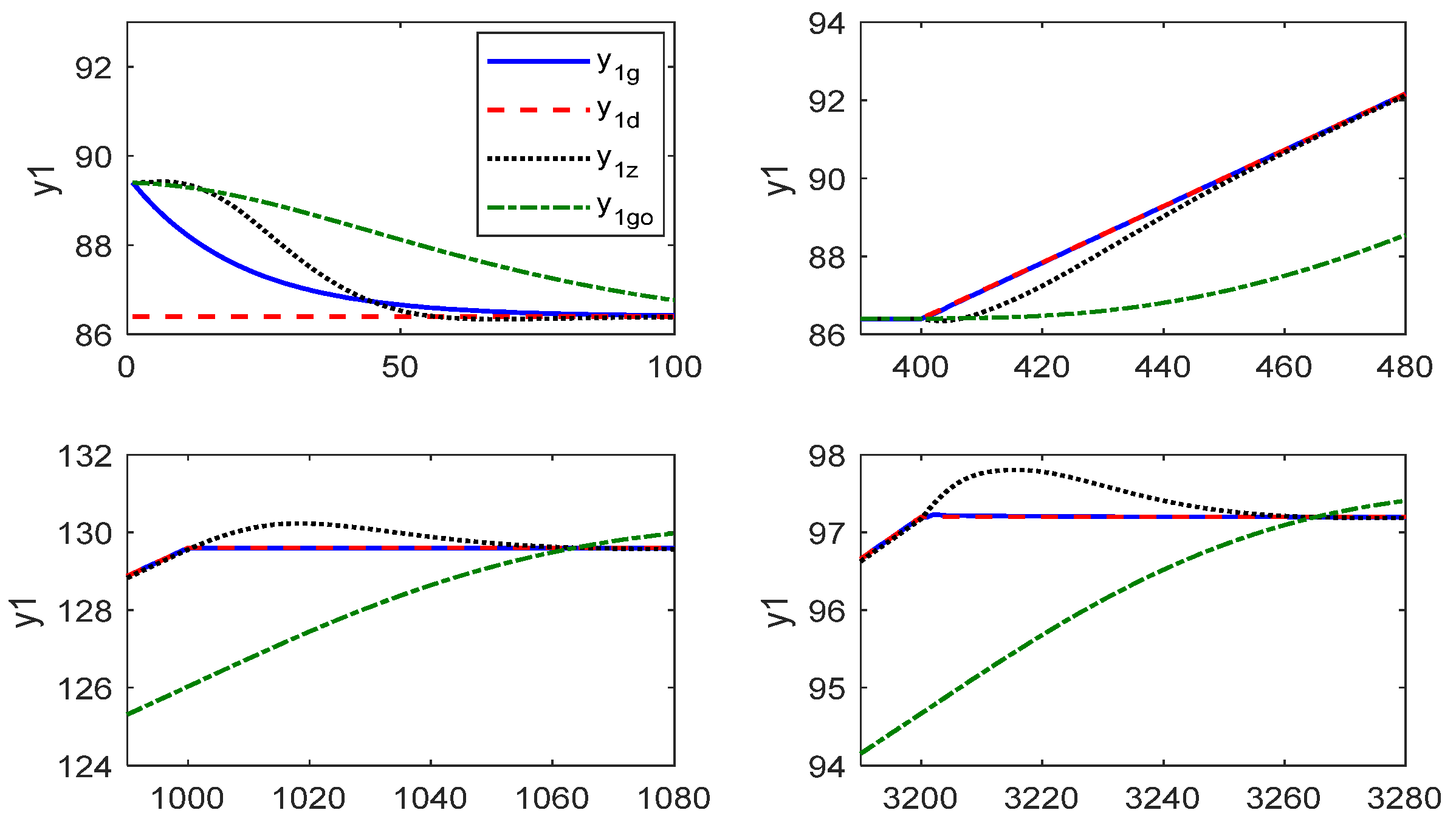
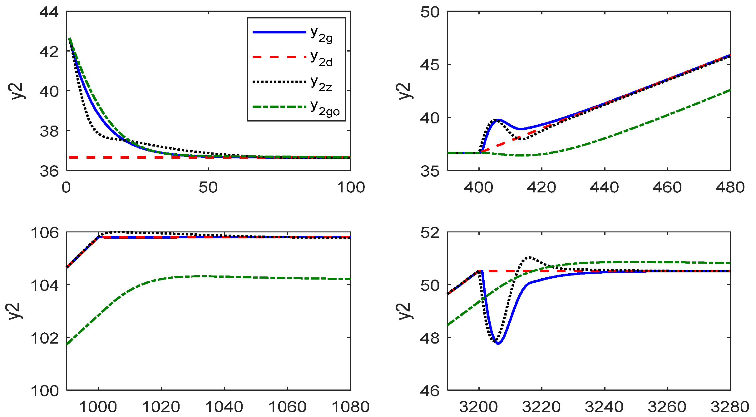
4.4. Case 3: Control Performance Comparison under Wide-Range Load Tracking Conditions
5. Conclusions
6. Annexe
Author Contributions
Funding
Institutional Review Board Statement
Informed Consent Statement
Data Availability Statement
Conflicts of Interest
References
- Su, Z.G.; Zhao, G.; Yang, J.; Li, Y.G. Rejection of Nonlinear Boiler-Turbine Unit Using High-Order Sliding Mode Observer. IEEE Trans. Syst. Man Cybern. -Syst. 2018, 50, 5432–5443. [Google Scholar] [CrossRef]
- Xu, Z.Y.; Qu, H.N.; Shao, W.H.; Xu, W.S. Virtual power plant based pricing control for wind/thermal cooperated generation in China. IEEE Trans. Syst. Man Cybern. -Syst. 2016, 46, 706–712. [Google Scholar] [CrossRef]
- Zhang, S.; Taft, C.W.; Bentsman, J.; Hussey, A.; Petrus, B. Simultaneous gains tuning in boiler/turbine PID-based controller clusters using iterative feedback tuning methodology. ISA Trans. 2012, 51, 609–621. [Google Scholar] [CrossRef]
- Yang, S.; Qian, C.; Du, H. A genuine nonlinear approach for controller design of a boiler–turbine system. ISA Trans. 2012, 51, 446–453. [Google Scholar] [CrossRef]
- Fang, F.; Wei, L. Backstepping-based nonlinear adaptive control for coal-fired utility boiler–turbine units. Appl. Energy 2011, 88, 814–824. [Google Scholar] [CrossRef]
- Chen, P.C.; Shamma, J.S. Gain-scheduled ℓ1-optimal control for boiler-turbine dynamics with actuator saturation. J. Process Control. 2004, 14, 263–277. [Google Scholar] [CrossRef]
- Ghabraei, S.; Moradi, H.; Vossoughi, G. Multivariable robust adaptive sliding mode control of an industrial boiler–turbine in the presence of modeling imprecisions and external disturbances: A comparison with type-I servo controller. ISA Trans. 2015, 58, 398–408. [Google Scholar] [CrossRef]
- Sariyildiz, E.; Oboe, R.; Ohnishi, K. Disturbance observer-based robust control and its applications: 35th anniversary overview. IEEE Trans. Ind. Electron. 2020, 67, 2042–2053. [Google Scholar] [CrossRef]
- Morales, J.Y.R.; Mendoza, J.A.B.; Torres, G.O.; Vázquez, F.D.J.S.; Rojas, A.C.; Vidal, A.F.P. Fault-Tolerant Control implemented to Hammerstein–Wiener model: Application to Bio-ethanol dehydration. Fuel 2022, 308, 121836. [Google Scholar] [CrossRef]
- Ortiz Torres, G.; Rumbo Morales, J.Y.; Ramos Martinez, M.; Valdez-Martínez, J.S.; Calixto-Rodriguez, M.; Sarmiento-Bustos, E.; Torres Cantero, C.A.; Buenabad-Arias, H.M. Active Fault-Tolerant Control Applied to a Pressure Swing Adsorption Process for the Production of Bio-Hydrogen. Mathematics 2023, 11, 1129. [Google Scholar] [CrossRef]
- Morales, J.Y.R.; López, G.L.; Martínez, V.M.A.; Vázquez, F.D.J.S.; Mendoza, J.A.B.; García, M.M. Parametric study and control of a pressure swing adsorption process to separate the water-ethanol mixture under disturbances. Sep. Purif. Technol. 2020, 236, 116214. [Google Scholar] [CrossRef]
- Chen, P.C. Multi-objective control of nonlinear boiler-turbine dynamics with actuator magnitude and rate constraints. ISA Trans. 2013, 52, 115–128. [Google Scholar] [CrossRef]
- Li, Y.; Shen, J.; Lee, K.Y.; Liu, X. Offset-free fuzzy model predictive control of a boiler–turbine system based on genetic algorithm. Simul. Model. Pract. Theory 2012, 26, 77–95. [Google Scholar] [CrossRef]
- Kong, X.; Liu, X.; Lee, K.Y. Nonlinear multivariable hierarchical model predictive control for boiler-turbine system. Energy 2015, 93, 309–322. [Google Scholar] [CrossRef]
- Ławryńczuk, M. Nonlinear predictive control of a boiler-turbine unit: A state-space approach with successive on-line model linearisation and quadratic optimisation. ISA Trans. 2017, 67, 476–495. [Google Scholar] [CrossRef]
- Wu, X.; Shen, J.; Li, Y.; Lee, K.Y. Data-driven modeling and predictive control for boiler–turbine unit using fuzzy clustering and subspace methods. ISA Trans. 2014, 53, 699–708. [Google Scholar] [CrossRef]
- Liu, X.; Kong, X. Nonlinear fuzzy model predictive iterative learning control for drum-type boiler–turbine system. J. Process Control 2013, 23, 1023–1040. [Google Scholar] [CrossRef]
- Yang, S.; Qian, C. Real-time optimal control of a boiler-turbine system using pseudospectral methods. In Proceedings of the 19th Annual Joint ISA POWID/EPRI Controls and Instrumentation Conference and 52nd ISA POWID Symposium, Rosemont, IL, USA, 12–14 May 2009; Volume 477, pp. 166–177. [Google Scholar]
- Elnagar, G.; Kazemi, M.A.; Razzaghi, M. The pseudospectral Legendre method for discretizing optimal control problems. IEEE Trans. Autom. Control 1995, 40, 1793–1796. [Google Scholar] [CrossRef]
- Biegler, L.T. Nonlinear programming: Concepts, algorithms, and applications to chemical processes. In Society for Industrial and Applied Mathematics; SIAM: Philadelphia, PA, USA, 2010. [Google Scholar] [CrossRef]
- Boucher, R.; Kang, W.; Gong, Q. Galerkin optimal control for constrained nonlinear problems. In Proceedings of the 2014 American Control Conference, Portland, OR, USA, 4–6 June 2014; pp. 2432–2437. [Google Scholar]
- Boucher, R.; Kang, W.; Gong, Q. Galerkin optimal control. J. Optim. Theory Appl. 2016, 169, 825–847. [Google Scholar] [CrossRef]
- Zhao, G.; Su, Z.G.; Zhan, J.; Zhu, H.; Zhao, M. Adaptively receding Galerkin optimal control for a nonlinear boiler-turbine unit. Complexity 2018, 2018, 8643623. [Google Scholar] [CrossRef]
- Xu, B. Disturbance observer-based dynamic surface control of transport aircraft with continuous heavy cargo airdrop. IEEE Trans. Syst. Man Cybern. Syst. 2016, 47, 161–170. [Google Scholar] [CrossRef]
- Yang, J.; Liu, X.; Sun, J.; Li, S. Sampled-data robust visual servoing control for moving target tracking of an inertially stabilized platform with a measurement delay. Automatica 2022, 137, 110105. [Google Scholar] [CrossRef]
- Li, S.; Yang, J.; Chen, W.H.; Chen, X. Disturbance Observer-Based Control: Methods and Applications; CRC Press: Boca Raton, FL, USA, 2014. [Google Scholar]
- Han, J. From PID to active disturbance rejection control. IEEE Trans. Ind. Electron. 2009, 56, 900–906. [Google Scholar] [CrossRef]
- Madonski, R.; Łakomy, K.; Stankovic, M.; Shao, S.; Yang, J.; Li, S. Robust converter-fed motor control based on active rejection of multiple disturbances. Control Eng. Pract. 2021, 107, 104696. [Google Scholar] [CrossRef]
- Gao, Z. Scaling and bandwidth-parameterization based controller tuning. ACC 2003, 4989–4996. [Google Scholar]
- Gao, X.H.; Wei, S.; Wang, M.; Su, Z.G. Optimal disturbance predictive and rejection control of a parabolic trough solar field. Int. J. Robust Nonlinear Control, 2023; in press. [Google Scholar] [CrossRef]
- Zhang, F.; Wu, X.; Shen, J. Extended state observer based fuzzy model predictive control for ultra-supercritical boiler-turbine unit. Appl. Therm. Eng. 2017, 118, 90–100. [Google Scholar] [CrossRef]
- Zeng, L.; Li, Y.; Liao, P.; Wei, S. Adaptive disturbance rejection model predictive control and its application in a selective catalytic reduction denitrification system. Comput. Chem. Eng. 2020, 140, 106963. [Google Scholar] [CrossRef]
- Bell, R.D.; Åström, K.J. Dynamic models for Boiler-Turbine-Alternator Units: Data Logs and Parameter Estimation for a 160 MW Unit; Research Reports TFRT-3192; Department of Automatic Control, Lund Institute of Technology (LTH): Lund, Sweden, 1987. [Google Scholar]
- Levant, A. Higher-order sliding modes, differentiation and output-feedback control. Int. J. Control 2003, 76, 924–941. [Google Scholar] [CrossRef]
- Shtessel, Y.B.; Shkolnikov, I.A.; Levant, A. Smooth second-order sliding modes: Missile guidance application. Automatica 2007, 43, 1470–1476. [Google Scholar] [CrossRef]
- Li, S.; Sun, H.; Yang, J.; Yu, X. Continuous finite-time output regulation for disturbed systems under mismatching condition. IEEE Trans. Autom. Control 2014, 60, 277–282. [Google Scholar] [CrossRef]
- Gill, P.E.; Murray, W.; Saunders, M.A. SNOPT: An SQP algorithm for large-scale constrained optimization. SIAM Rev. 2005, 47, 99–131. [Google Scholar] [CrossRef]
- Zhan, J.; Su, Z.; Hao, Y. Optimal control for a boiler-turbine system via Galerkin method. In Proceedings of the 2017 2nd International Conference on Power and Renewable Energy (ICPRE), Chengdu, China, 20–23 September 2017; pp. 776–780. [Google Scholar]
- Gong, Q.; Kang, W.; Ross, I.M. A pseudospectral method for the optimal control of constrained feedback linearizable systems. IEEE Trans. Autom. Control 2006, 51, 1115–1129. [Google Scholar] [CrossRef]















| #1 | #2 | #3 | #4 | #5 | #6 | #7 | |
|---|---|---|---|---|---|---|---|
| 75.6 | 86.4 | 97.2 | 108 | 118.8 | 129.6 | 135.4 | |
| 15.27 | 36.65 | 50.52 | 66.65 | 85.06 | 105.8 | 127 | |
| 299.6 | 324.4 | 385.2 | 428 | 470.8 | 513.6 | 556.4 | |
| 0.156 | 0.209 | 0.271 | 0.34 | 0.418 | 0.505 | 0.600 | |
| 0.483 | 0.552 | 0.621 | 0.69 | 0.759 | 0.828 | 0.897 | |
| 0.183 | 0.256 | 0.34 | 0.433 | 0.543 | 0.663 | 0.793 | |
| −0.97 | −0.65 | −0.32 | 0 | 0.32 | 0.64 | 0.98 |
| Time Period (s) | 0–400 | 400–1000 | 1000–1400 | 1400–2400 | 2400–2700 | 2700–3200 | 3200–3500 |
|---|---|---|---|---|---|---|---|
| Working condition | #2 | #2 to #6 | #6 | #6 to #1 | #1 | #1 to #3 | #3 |
| Time Frame (1) | Time Frame (2) | Time Frame (3) | Time Frame (4) | |
|---|---|---|---|---|
| Proposed method | (61.098, 63.04, 8.73) | (0.376, 26.6, 0.00105) | (0.0346,0.0472,0.000258) | (0.466, 29.64, 0.0027) |
| Galerkin control | (171.77, 72.39, 0.472) | (181.15, 219.023, 5.38) | (138.84, 165.61, 6.97) | (97.867, 39.399, 4.63) |
| State feedback control | (90.676, 60.343, 8.053) | (22.1, 25.217, 0.866) | (21.73, 6.45, 0.689) | (19.738, 25.095, 0.631) |
| Variable | ||||
|---|---|---|---|---|
| Name | identified parameter | identified parameter | identified parameter | coefficient |
| drum pressure | electrical output | fluid density in the drum | drum steam pressure | |
| electrical output | drum water level | valve positions for fuel | valve positions for steam | |
| valve positions for feedwater flow | evaporation rate of steam | unknown disturbances | setpoint signal for state | |
| w(t) | ||||
| setpoint signal for input | setpoint signal for output | disturbance term | lumped disturbance | |
| virtual control law | states/outputs error | HOSMO estimate | cost function | |
| Nth order Legendre polynomial | state variables at the LGL nodes | control variables at the LGL nodes |
Disclaimer/Publisher’s Note: The statements, opinions and data contained in all publications are solely those of the individual author(s) and contributor(s) and not of MDPI and/or the editor(s). MDPI and/or the editor(s) disclaim responsibility for any injury to people or property resulting from any ideas, methods, instructions or products referred to in the content. |
© 2023 by the authors. Licensee MDPI, Basel, Switzerland. This article is an open access article distributed under the terms and conditions of the Creative Commons Attribution (CC BY) license (https://creativecommons.org/licenses/by/4.0/).
Share and Cite
Zhao, G.; Sun, Y.; Su, Z.-G.; Hao, Y. Receding Galerkin Optimal Control with High-Order Sliding Mode Disturbance Observer for a Boiler-Turbine Unit. Sustainability 2023, 15, 10129. https://doi.org/10.3390/su151310129
Zhao G, Sun Y, Su Z-G, Hao Y. Receding Galerkin Optimal Control with High-Order Sliding Mode Disturbance Observer for a Boiler-Turbine Unit. Sustainability. 2023; 15(13):10129. https://doi.org/10.3390/su151310129
Chicago/Turabian StyleZhao, Gang, Yuge Sun, Zhi-Gang Su, and Yongsheng Hao. 2023. "Receding Galerkin Optimal Control with High-Order Sliding Mode Disturbance Observer for a Boiler-Turbine Unit" Sustainability 15, no. 13: 10129. https://doi.org/10.3390/su151310129
APA StyleZhao, G., Sun, Y., Su, Z.-G., & Hao, Y. (2023). Receding Galerkin Optimal Control with High-Order Sliding Mode Disturbance Observer for a Boiler-Turbine Unit. Sustainability, 15(13), 10129. https://doi.org/10.3390/su151310129
