Abstract
Building integrated photovoltaic (BIPV) systems can achieve high yields through high percentages of building envelope surface coverage associated with material savings by substituting conventional building envelope components and avoiding land-use change to install open-land PV installations. This article discusses the life cycle assessment (LCA) and the life cycle costing (LCC) of BIPV systems in timber-hybrid building extensions and envelope renovation systems of three exemplary buildings in the Republic of Korea: apartment, mixed-use commercial/industrial, and low-rise multi-unit residential. The BIPV system’s electricity production was quantified with simulation tools. Minimum and average carbon LCAs were calculated using a global product inventory database for 50 years. Greenhouse gas (GHG) emission savings by substituting conventional energy supplies were calculated based on the associated primary energy demands. LCC calculations were based on international datasets for BIPV LCC for 25 and 50 years. As a result, the BIPV system-associated GHG emissions can be decreased by up to 30% with a payback time of 12 (apartment) to 41 (mixed-use building) years for buildings with full PV coverage. The positive cumulative net present value (NPV) for both LCC scenarios encourages economic investments in building renovations with BIPV systems.
1. Introduction
1.1. Building Integration Potential of Photovoltaic Systems
Among renewable energy production technologies, photovoltaic systems are considered a sustainable alternative to carbon-intensive energy sources, particularly due to their properties that facilitate decentralized building applications. PV modules are composed of arrays of solar cells that transform captured solar radiation into electrical currents. Among others, a common technology for solar cells is based on silicon semiconductor wafers that are modified and assembled to allow electrons hit by photons to assume a higher energy state and circulate through the cell, thus creating useful work in the form of currents. The currents are then collected by an electrical circuit positioned below the wafers and can be transformed into alternate currents for domestic and commercial usage.
Global PV system installations increased exponentially in the period 2004–2020 []. The global market capacity of PV installations, excluding the People’s Republic of China (RPC), increased from 79.20 to ≥90.00 GW from 2019 to 2020 []. According to IEA estimates, the operation of PV systems prevented global GHG emissions of 877 MtCO2-eq. in 2020. According to the market forecast, an increase in PV capacity and market size from a minimum of 26.41% to a maximum of 150.00% is expected by 2025 []. Applications of PV systems on and in buildings can be differentiated into building integrated and building additive systems. The modules of building additive PV (BAPV) systems are mounted on the roof or in front of façade components without replacing the functions of conventional components, for example, for the weather protection of façades and roofs or for shading. In contrast, the modules of building integrated photovoltaic (BIPV) [] systems replace the functions of conventional components while BAPV systems don’t replace such functions. Compared with conventional PV systems, BIPV systems have remained a niche market [] due to high associated costs [], among other reasons. Since 2015, multiple projects, in particular in the European Union, have aimed to increase the marketing and application of BIPV systems, which facilitate the realization of net-zero or near-zero energy buildings (NZeb) []. EU-wide research projects have also focused on strategy development to reduce BIPV system costs []. By 2018, an estimated 10 GWP of cumulative BIPV capacity had been installed globally [], compared with 664 GWP of cumulative PV capacity installed in buildings in 2019 []. Nevertheless, the potential for BIPV installations, in particular for existing buildings, has been identified as a future market growth driver, with 1915 km2 of existing building surface available for BIPV installations with power capacities of 335 GWP in residential and 136 GWP in non-residential buildings, solely in seven EU countries [].
1.2. Incentives for PV System Installation and Operation in the Republic of Korea
The introduction of sustainable development policies in the Republic of Korea (RoK) was implemented with the Low Carbon, Green Growth (LCGG) Framework Act of 2009 and successive amendments in 2014 and 2019 []. The main goal of the LCGG framework was a 30% reduction in GHG emissions by 2020 compared with emissions in 2009, due to the RoK having the 7th highest cumulative GHG emissions on a global scale []. In 2010, the Korean government introduced a feed-in tariff for electricity produced by PV systems []. The feed-in tariff scheme applied to PV systems was operated by energy companies and private households. The feed-in tariff was also subject to annual price variations based on the assessment of the PV capacity installed on a national level and the required energy supply. In 2012, the feed-in tariff scheme was replaced by the introduction of the Renewable Portfolio Standards (RPS) []. The RPS established a series of mandatory quotas for energy suppliers producing renewable energy above a 500 MW capacity. The mandated annual primary energy (PE) renewable energy quota has increased by 1.00% over the last 10 years (2012–2022) []. According to the plan, by 2022, the yearly enforced renewable energy production quota should have reached 10% of the total PE supply. Additionally, an obligatory supply of 1.97 GWh was also set for the entire national energy production, based on the 131.17 PE GWh national demand in 2019 []. Current RPS regulations aim for a cumulative renewable energy ratio of 20% of the national supply by 2030 []. Through the RPS legislation, three systems to encourage renewable energy trade in the RoK’s market were established: the Renewable Energy Certificate (REC) trade [], the demand-response [], and the prosumer markets []. The REC system allows for the trading of renewable energy quota certificates between energy suppliers through an internal market. Suppliers bound to RPS-mandated renewable energy production quotas could acquire certificates issued to minor PV installation owners to compound supply from minor producers toward their assigned renewable energy quotas. The demand-response market allows private PV system owners to directly sell excess renewable energy to major Korean private and public electricity providers to reduce production system loads during high-peak demand periods. Finally, the prosumer market allows private PV system owners to sell excess electricity to neighborhoods with high energy bills. While nation-wide programs for the implementation of an energy production source shifted and technological investments in PV systems were implemented, smaller, local-scale policies were also proposed. From 2012 to 2021, 53.60 billion KRW (40 million EUR) had been invested in promoting the installation of small-scale PV modules (down to single panels installed in the balcony area of apartment units) to facilitate the installation of PV systems by private households. However, due to political debate and upheaval, the plan has been halted as of 2021 [].
As a result, a total capacity of 1094.60 MWp has been installed in the form of BAPV and BIPV systems, with an average annual increase of 30% between 2008 and 2019. To further encourage private households to install PV systems, the metropolitan government of the Korean capital Seoul introduced the 2022 “Seoul solar city project”, aiming for the provision of up to 80% installation costs subsidy for BIPV installations [,], which as of January 2023 has not been implemented. Even though support programs for PV installations in the RoK have been implemented, several issues remain unresolved, such as stakeholder conflicts in PV system project management and the lack of quality assurance services for renewable energy installations []. Furthermore, BIPV systems are not widely installed in Korean apartment buildings, even though more than 60% of Korean residential buildings are apartments []. Depending on the year of construction, the number of floors is between 10 and 30 [] for buildings constructed before 2014, and afterward, 45 and more. Aged apartment complexes are subject to demolition and redevelopment through new construction due to low building quality [] and real estate speculation. Low-rise neighborhood redevelopments [] with the construction of new high-rise apartment complexes are associated with significantly increasing floor-to-area ratios, increased building heights, and reduced roof areas in relation to the usable floor areas. Accordingly, BIPV systems, in particular on the façades of high-rise apartments, facilitate increased decentralized electricity production and consumption compared with only roof installations. However, without considering the life cycle assessment (LCA), life cycle costing (LCC), and potential public incentives, the initial additional costs for BIPV installations of up to 3 EUR/Wp system capacity [] result in increased overall construction costs and therefore reduce the potential profit of developers, compared with lower building construction costs and comparable market prices.
1.3. Past Research on Sustainable Building Renovation with BIPV Systems
Past research and development projects on building renovation with BIPV systems focused on the development of decision-making tools for BIPV renovation projects based on economic, design, and environmental parameters and case-study analysis of building renovations with quantification of monetary costs and savings through renewable electricity production, the substitution of conventional components by BIPV systems, and a reduction in the primary energy demand.
Saretta et al. [] and Yang [] analyzed the literature on building renovation strategies and methodologies to evaluate PE demand reduction with BIPV installations in building renovations. Integrated urban, building energy, and environmental analyses are required to assess the potential of the renewable energy production of BIPV systems in building renovations. Particularly important is the accurate estimation of the balance between a building’s energy demand, renewable energy production, and the PE factors for specific energy supplies and building types.
Evola and Margani [] discussed the energy-efficient building envelope renovation of a typical 1970s case-study building in Italy with BIPV systems for three different geographic locations. The study concentrates on economic and energy-specific simulation methods. As a result, an 8-story building with an East-West main axis orientation and self-consumption of 50% produced PV electricity can achieve a payback time (PBT) of the monetary BIPV system costs of nine years after the completion of the renovation. Chivelet et al. [] analyzed the practical application of a renovation project with BIPV modules in the rear-ventilated façade system of a renovated building in Madrid, Spain. Higher module temperatures due to limited rear ventilation and partial shading reduced the yield of the concerned modules. Balancing the measured electricity production by the BIPV system and the consumption over one year (2016–2017) resulted in a renewable energy supply ratio of 6.60% of the total electric energy consumption after renovation.
Comparably few research efforts on comprehensive life cycle assessment (LCA) and life cycle costing (LCC) of BIPV systems for sustainable building renovation could be identified. Palacio-Jaimes et al. [] discussed the LCA of a case-study BIPV building renovation in Valladolid, Spain. As a result, the existing building’s GHG emissions, caused by the consumption of electricity produced with non-renewable energy carriers to cover the building’s service energy demand, could be reduced by 53%. Jayathissa et al. [] evaluated the relevance of shading in the cumulative building LCA, comparing dynamic with static BIPV systems. The results show that dynamic systems can have a 50% higher environmental impact than static systems and would only be required in cases where shading constrained the irradiation of panels. Aguacil Moreno et al. [] demonstrated how the selection of PV modules, their cost-benefit balance, and the environmental impact of renovations with BIPV systems depend highly on local climatic factors, such as building surface irradiation. The study conducted a sensitivity analysis of the LCA and LCC of multiple renovation scenarios based on varying surface coverage and building self-sufficiency ratios, with or without grid connection and with or without battery storage systems. The results revealed that, due to comparable lower yields, installing BIPV modules on indirectly and diffusely irradiated surfaces is associated with a higher cumulative global warming potential (GWP) compared with BIPV modules installed only on directly irradiated surfaces. Shabunko et al. [] used the real-world case study analysis of the installation of BIPV systems on a building in Singapore to extract specific parameters to determine BIPV pricing and produce a related online tool, tying both practical applications to simulation tools for costing. In one of the most comprehensive studies on the subject, Apostolopoulos et al. [] demonstrated that BIPV systems included in the building renovation of a Greek apartment building in Athens could reach a carbon emissions reduction of up to 95% and a net present value (NPV) of over 500,000 Euro. Furthermore, the study introduced a digital tool that facilitates a streamlined LCA and LCC comparison of different BIPV application scenarios. Related to BIPV systems’ construction technology and their costing, Abdelrazik et al. [] investigated multiple technologies and compared their thermal and electrical performance. The study concluded that system location and positioning have relevant impacts on both environmental and monetary costs. Furthermore, the study concluded that BIPV systems combined with temperature-phase change materials (T-PCM) resulted in increased installation costs but could achieve higher yields than BIPV systems without T-PCM. A summary of all relevant studies related to BIPV LCAs, LCCs, and energy performance is provided in Table A1 of Appendix A.
Expanding past research methods, this research focused on the LCA and LCC of building extension and envelope renovation systems with BIPV installations by providing in-depth environmental impact and net present value calculations and evaluations for three exemplary case-study buildings in the Republic of Korea. The aim was to answer multiple questions related to BIPV integration in sustainable building renovations: (i) Can the reduction in equivalent GHG emissions produced by substituting existing non-renewable energy carriers with renewable energy produced by full-coverage BIPV systems for building operation fully compensate the total 50-year BIPV systems’ material life cycle carbon footprint? (ii) Can the net present value (NPV) of investments in building envelope renovations with BIPV systems achieve positive values in 25 and 50 years of service life? (iii) What is the payback time (PBT) of BIPV systems for sustainable renovation when a strategy of complete building coverage is executed? (iv) Are Korean sustainable building regulations and incentives for BIPV installations adequate to encourage profitable public and private investment in sustainable building renovations? (v) Which design strategies are optimal for integrating BIPV installations and their electrical energy distributions and supporting infrastructure in prefabricated modular renovation systems? (vi) Can the renewable energy produced by BIPV systems cover the building’s total energy demand when implementing a passive house (PH) certification-compliant renovation scenario? (vii) Can GHG emissions reduction by the substitution of existing PE carriers with BIPV electricity cover the entire GWP of the renovated buildings?
This research investigated important questions associated with the introduction of innovative planning approaches for building renovations with BIPV systems: automated LCAs and LCCs based on parametric BIPV module design; energy and cost simulations produced with industry-leader software that includes one of the most comprehensive global databases of state-of-the-art PV and BIPV market products; design of connections and support constructions to integrate PV modules in modular timber-based building envelope renovation components to maximize PV-surface coverage; two BIPV system costing scenarios based on data from two major research projects and relative institutions providing an estimate of costing and profitability of BIPV systems for building renovations. Furthermore, this research expanded the current state-of-the-art research on BIPV planning for sustainable building envelope renovations. This study discusses methods and examples to reduce the primary energy demand of buildings with BIPV systems and quantifies the environmental and economic advantages of renovating buildings in high-density urban districts and high-rise buildings.
2. Materials and Methods
2.1. Research Methodology Overview
This research executed 50-year LCA and LCC calculations for the envelope renovations of three case-study buildings with BIPV systems in five phases (Figure 1): (i) determination of optimal design strategies for maximized PV components’ surface integration in a modular prefabricated building envelope renovation system; (ii) implementation of the optimized BIPV design layout in simulation software PV*SOL 2022 [], and selection of appropriate PV modules and yield simulations; (iii) life cycle assessment of BIPV system components; (iv) definition of LCA and LCC parameters for global warming potential (GWP) and net present value (NPV) calculations; (v) LCA and LCC calculations of the three building envelope renovation scenarios with integrated BIPV systems; (vi) evaluation of the impact on land usage by building renovation and extension with BIPV systems, focusing on greenfield prevention and urban densification. The three case-study buildings have been selected because they are representative examples of the three dominant building types in the Republic of Korea, which make up more than 85% of the national building stock. Section 4, Discussion, resolves the research questions based on the data findings.
2.2. BIPV System Design for Sustainable Modular Building Envelope Renovation
BIPV systems were included in the development of carbon-neutral hybrid timber modular components for building envelope renovation systems for three exemplary Korean case-study buildings representing the most common building types in the RoK: apartment residential, mixed-use commercial/industrial, and multi-unit low-rise residential. Each of the three buildings, presenting multiple spatial, construction, and functional constraints, required the development of a separate renovation system. Timber was selected as an essential material for the renovations due to its high carbon sequestration potential. The three developed systems have been discussed in detail by the authors in a previous publication []. The three building envelope renovation systems consist of modular components installed outside the existing building envelope with self-supporting construction. The renovation systems have been developed using a parametric design approach with the software Rhinoceros 3D SR7 Grasshopper []. The user-generated 2-D panel surfaces, including window positioning, were referenced into the parametric tool, which automatically generated preset modular panel designs for roof, façade, and building extensions based on previously user-input geometrical parameters for material layers and construction. Generative parameters were defined based on product declarations, legal standards for building renovation, and performance benchmarks from a sustainable certification system (PH). Values such as the thickness of cladding and thermal insulation layers and the number of studs in timber frame constructions were optimized in the parametric system to generate component geometries. Based on user input, the parametric tool also generated an exterior cladding support frame in aluminum for a rear-ventilated façade, dimensioned to accommodate the installation of PV modules. Accordingly, by referencing an elementary 2D surface model of a building envelope renovation project (hence called an “analytical model”), it was possible to produce automatically detailed 3-dimensional geometries for renovation panels.

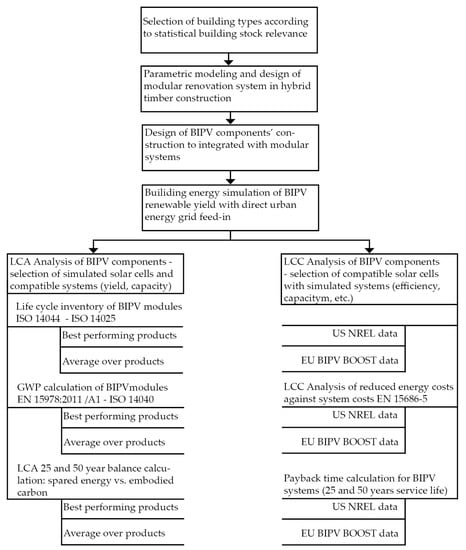
Figure 1.
Methodological flowchart describing the execution of the research and the required calculations and standards involved in the simulation of renewable energy produced by BIPV systems and LCA/LCC. For LCA/LCC have been utilized multiple standards, such as ISO 14044 [], ISO 14025 [], ISO 14040 [], EN ISO 15686-5 [].
The BIPV parametric tool geometry generation process investigated two alternative PV module installation strategies: (i) on prefabricated façade panels and fitting single component dimensions, or (ii) after mounting façade panels across multiple panels. In this research, the second strategy is discussed, as it facilitates more extensive and almost complete coverage of the building envelope with PV modules. Furthermore, a greater variety of modules with different dimensions could be integrated. The optimal coverage was implemented by exploiting the supporting frame system, allowing for the installation of PV modules across multiple panels by carefully adjusting the spacing of vertical and horizontal profiles (Figure 2). Selection of the best-fitting available BIPV modules for mounting in the building envelope has been operated based on two strategies with the software PV*SOL []: (i) maximization of building envelope coverage with PV modules and (ii) maximum PV module efficiency based on the available direct and diffuse solar radiation. The software provides access to an updated database of PV modules by producer, allowing the sorting and selection of available products based on efficiency, peak power, and module geometry parameters. Larger PV modules were preferred to reduce the total number and optimize installation efficiency.

Figure 2.
BIPV system design workflow using the example of the exemplary apartment building block A. (a) Analytical model of the building with selection of an exemplary prefabricated base surface; (b) parametrically generated building envelope renovation façade component with visible substructure for mounting façade cladding PV modules (defined in the figure with letters “A”, “B” and “C” depending on module type); (c) PV module allocation according to design criteria and selected products from PV*SOL; (d) simulation of irradiation on selected PV modules; (e) final BIPV façade design in PV*SOL without passive façade cladding panels.
Solar irradiance on the exposed building envelope surfaces was analyzed to define building envelope areas with BIPV coverage using PV*SOL tools. A 3D model of the BIPV module surface was generated for the purposes of calculating the PV yield based on exposition and shading using the PV*SOL simulation engine. Surrounding buildings and potential shading were included in the irradiation analysis. BIPV panels were applied to building envelope surfaces receiving more than 50% of the annual global (direct and indirect) radiation. Building envelope areas with lower irradiation were covered with passive façade cladding panels without PV properties but with otherwise similar appearance and properties, which were also included in the LCA calculations. Furthermore, BIPV panel position and sizing considered the required building envelope openings for windows, doors, ventilation, and heat pump components integrated into the building envelope renovation systems. Selected PV modules not specified as BIPV modules were approved based on their compliance with BIPV system property requirements associated with cabling, security aspects, aesthetics, and, in particular, mounting systems. Furthermore, appearance variants for PV modules were investigated to provide a coherent façade aesthetic for the building. Based on the outlined methods, more than 75% of the available building surface could be covered with different PV modules currently available on the market.
2.3. Software-Based BIPV System Setting
After completing the BIPV system design in Rhinoceros 3D Grasshopper [], the 3D models of the three buildings were exported in “.3ds” format to the PV*SOL software. The PV energy production simulations for the three renovations have been defined in PV*SOL according to multiple parameters: (i) grid connection without storage of surplus electricity; (ii) building PE demand monthly load variations calculated for the typical Korean household and commercial building scenarios based on statistical research and modeling findings by Jang []; (iii) maximum primary nonrenewable energy demand according to Passive House (PH) Classic standard of 120 kWh/m2a; (iv) general linear efficiency degradation scenario of PV-modules efficiency of 0.5% per year over a 50-year service life, which is consistent with multiple studies based on outdoor service life prediction modules validated by experimental test analysis [,]; (v) direct current (DC) cable transfer losses at 2.00% for a worst-case scenario considering the extended service life [], consistent with empirical studies based on the analysis of installed PV-systems with a service life of more than 20 years []; (vi) centralized building inverter losses based on a strategy of electrical cabling connection from different PV-type strings; and (vii) climate conditions extracted from weather stations located in the proximity of each asset’s location in the city of Seoul, directly selected in the PV*SOL tool. Specifically, to evaluate the impact of prosumer and demand-response market energy surplus trade (see Section 1.2) on BIPV systems NPV and reduce the environmental impact of storage battery components, all surplus energy from BIPV production has been simulated for a 100% feed-in scenario to the public electricity grid of Seoul.
2.4. LCA of BIPV Systems
LCA was defined as one of the two main calculation tools (together with LCC) for this study in order to assess the environmental impact expressed in kg of CO2-eq. of the installed BIPV system. The use of LCA is aimed at determining if the embodied carbon of the BIPV modules can be outbalanced by their renewable energy production, which will replace the use of non-renewable, carbon-intensive energy.
LCA calculations were performed for the BIPV and PV modules based on the selection of modules with (i) minimum CO2-eq. emissions over 50 years and (ii) average CO2-eq. emissions based on PV product data provided by One Click LCA (OCLCA) []. The selection of products for BIPV LCA from the OCLCA database, including multiple life cycle inventory repositories such as EcoInvent, GaBi, and Ökobaudat, among others, was based on matching the nominal power capacities indicated in technical specifications and the solar cell technology type of BIPV and PV modules available in the OCLCA database with those used in the PV*SOL configuration (Si-monocrystalline and Si-polycrystalline silicon-based technologies). Accordingly, a total of 33 different modules were surveyed for the selection of modules with minimum and average CO2-eq. emissions.
In addition to PV modules, the following BIPV system components were included in the BIPV system LCA: centralized inverters (50 kW systems), electrical cabling, support frame materials for roof PV modules, and cable connectors. For all products, OCLCA database research was executed to retrieve the products with the lowest GWP. Finally, the service life of the BIPV systems was determined. While the standard function and output guarantees provided by producers are up to 25 to 30 years for many PV modules, the actual lifetime has been demonstrated to be much longer. Accordingly, and considering the comparable high degree of efficiency degradation assumed within this study, the LCA and LCC calculations were executed for 50 years of service life, corresponding to the maximum service life of 90% of the materials selected from OCLCA to define the composition of the modular renovation components. According to their technical datasheets, the LCA and LCC of cabling and inverters were calculated with a maximum lifetime of 45 years and included one replacement.
Table A2 in Appendix A lists the selected PV modules from the PV*SOL database. The number of modules installed on the envelope renovation system for each of the three buildings is also provided. Table A3 in Appendix A provides the LCA carbon footprint data for both the best-performing BIPV modules and the average performance of all modules in terms of CO2-eq. emissions and GWP of the available PV-silicon mono- and poly-crystalline variants based on the OCLCA global product database. Furthermore, for the BIPV system components, such as electrical cabling, mounting metal frames for the roof modules, inverters, and cable connectors, the best-performing products in terms of minimum GWP have been selected from the OCLCA database. Additionally, colored toughened safety glass panels, so-called PV dummy modules that appear similar to the BIPV modules, have been chosen for building façade portions receiving minimum solar radiation, which were accordingly not covered with active BIPV modules.
2.5. LCC Parameter Definitions
In this research, LCC and LCA were defined as the two main calculation tools to determine the economic feasibility of BIPV module installation based on the balancing of installation, operation, and maintenance costs with the expenses saved for electricity obtained from the public grid, including the sale of produced surplus electricity fed into the public grid.
The 50-year LCC of the NPV parameters definition in PV*SOL included the following parameters: (i) two scenarios for BIPV installation cost investment; (ii) financial and fiscal incentives for BIPV installations in the RoK (see Section 1.2); (iii) current taxation rates in the RoK; (iv) prosumer and demand-response surplus energy trade prices in the RoK; (v) electricity tariffs for household and commercial uses; (vi) inflation rates for electricity, operation, and maintenance costs; (vii) discount rates for the NPV calculation; and (viii) BIPV system depreciation models based on Korean taxation laws. Parameters (ii), (iii), (v), and (viii) were defined by current regulations. Parameters (i), (iv), (vi), and (vii) were estimated based on statistical trends as well as reference values from the scientific literature. Accordingly, the NPV in EUR of the systems was calculated considering all relevant economic parameters and cash flows for 50 years. The systems’ payback times (PBT) were also calculated. An important element in calculating costs is parameter (i), the analysis of potential BIPV system investment costs. BIPV system installation costs were estimated based on (i) the United States National Renewable Energy Laboratory’s (US NREL) US Solar Photovoltaic System and Energy Storage Cost Benchmark for Q1 2021 [] and BIPV system costs performed by US NREL in 2011 [] and (ii) the European BIPV BOOST [] project for competitiveness market analysis of BIPV systems, which evaluated multiple benchmark case studies. The US NREL cost estimates executed for a price of EUR/W of PV power capacity were considered a best-case scenario. The EU BIPV BOOST costing reference scenario, calculated for the EUR/m2 BIPV system surface, is considered a worst-case scenario, given the higher costs. Investment costs were calculated as fully financed in year zero, not requiring any form of loan, since the authors demonstrated in previous scientific articles that vertical and horizontal extension through building renovation would allow the sale or rent of additional space, thus producing the required funds for the investment. Additional financial support was considered to be provided by potential loan-lease agreements and contributions by building owners and tenants. Discount rates were evaluated based on publications on current investment risks in the RoK (see Section 3.4 for a detailed analysis of discount rate selection). In contrast, inflation rates were extracted as the running average from 20-year statistical data [] for the RoK.
2.6. BIPV Systems LCC of the NPV Estimation Models
Costs for the BIPV systems have been estimated according to two models: the US NREL and EU BIPV BOOST research projects (see Section 2.3) based on marketed technologies and case-study building data. Two distinct methods for each data source (US NREL or EU BIPV BOOST) have been adopted to determine relevant costs for the BIPV installation, operation, and maintenance for the three case-study buildings in the RoK: (i) polynomial curve interpolation of costs per W of PV power capacity based on system type statistical data for the US NREL scenario, and (ii) assignment of costs per square meter of BIPV surface based on EU BIPV BOOST benchmark installations by comparing building type, system size, and construction type, differentiating between roof and façade systems. The US NREL research was based on the statistical analysis of US PV systems, defined for residential, commercial, and utility-scale types based on the systems’ installed peak power capacity. However, since the full BIPV coverage solutions applied to the three Korean buildings’ envelopes have a higher installed peak power capacity than similar building type categories in the US NREL studies, purchase and installation prices for the PV systems (expressed in USD/Wp, converted to EUR/Wp in this study) have been interpolated across all three categories to find the most appropriate value. According to the installed peak power capacity, apartment and mixed-use buildings’ BIPV systems correlate with the US NREL category “commercial”. In contrast, the multi-unit residential building falls into the “residential” category. Costs estimated based on the EU BIPV BOOST project were based on the following compatibility parameters between the case-study systems included in the EU research data and the BIPV systems presented in this study: (i) type of BIPV system construction, such as rear-ventilated opaque panel and insulated glass pane; (ii) dimension of systems in square meters and coverage ratios; and (iii) type of building comparable to Korean case studies. The costs for the BIPV installations have been calculated in EUR/m2 of PV surface to match the costing methodology of the BIPV BOOST EU study. Regarding the analysis of costs for a lifetime of 50 years, the following three main assumptions were made to determine the evolution of the cost models employed for the BIPV systems designed for the three building renovations:
- The service life of the BIPV modules is considered to exceed 50 years, excluding the substitution of modules due to exceptional circumstances, such as damage from extreme climatic events and statistically distributed production defects. The 50-year service life prediction, while exceeding the common function and output period guaranteed by producers and the commonly assumed end-of-life scenarios for PV modules of 20 to 30 years foreseen in a circular economy scenario for renewable energy systems [], is nevertheless consistent with recent analyses of the existing market and the functionality of PV systems [].
- The EU BIPV BOOST and US NREL studies predict a future reduction in systems’ sourcing and installation costs and module maintenance costs during their service lives. Accordingly, operation and maintenance cost reductions have been adopted for this research’s three BIPV renovation case studies to reflect potential cost savings and extra costs for replacing single modules due to exceptional faults. Furthermore, adoptions addressed local economic circumstances, such as increased costs due to imports to the RoK, as well as higher operation and maintenance costs due to the specific characteristics of the buildings, such as air pollution, the building height of the apartment, and the high urban density location of the multi-unit and mixed-use buildings.
- Cost savings through reduced conventional electricity consumption and increased consumption of electricity produced with BIPV systems have been translated into virtual revenues for the three renovated buildings. The revenues were considered to be subject to inflationary fluctuations but price-invariant in the demand-response and prosumer markets of the RoK. In particular, the following factors contribute to stabilizing energy prices in the long and short terms: a significant imbalance in terms of imported or locally sourced energy in the country (93.50% of energy is imported into the RoK []), the ongoing rising energy intensity for all economic sectors of the Korean economy [], and the recorded response of the market for renewable systems against government incentives, which has been restrained notwithstanding regulation and normative stimuli [,]. Accordingly, based on growing energy supply insecurity for the RoK country profile [] and the setting of a localized, district-wide demand-response market, the equivalent price of spared energy bills is considered to not fluctuate in the long and short terms for the costing models provided in this study.
2.7. Simulation Parameters for LCA and LCC
The main LCA parameter to calculate the PE equivalent GHG emission substitution rate in the RoK for electricity produced with BIPV systems is the life cycle GWP for 1 kWh of conventional centralized grid-supplied electricity based on IEA 2019 data extracted from the OCLCA database. Renovation scenarios for the three case-study buildings include transitioning heating and warm water production facilities from gas boilers to electrically operated air-to-water and air-to-air heat pumps. Accordingly, the renovated buildings’ final energy and associated PE demand were considered exclusively associated with electricity consumption. The LCC of the NPV calculation parameters addresses the following four main factors: (i) NPV discount, (ii) inflation, (iii) energy prices (feed-in/energy tariffs), and (iv) fiscal parameters (income tax and depreciation). The NPV discount factor has been set at 4.00%, which is invariable for the NPV calculation period. The discount factor range has been selected based on a review of the scientific literature and institutional reports on BIPV systems’ LCC [,,,,]. Therefore, the average discount rate has been defined based on the range in the analyzed literature. The discount rate of 4.00% addressed the profitability of BIPV installations provided by the introduction of financial incentives from the city of Seoul supporting BIPV installations.
The inflation rate has been set at 2.00% based on statistical data for the RoK []. Electricity prices have been calculated for electricity from the public grid using the Korean Energy Power Corporation (KEPCO) rate calculator []. KEPCO tariffs have been calculated based on a fixed rate price for electricity supply, added to the pricing of electricity based on incremental price-to-PE consumption tiers. KEPCO tariffs were included in NPV calculations as actual costs for electricity consumed from the public grid and as virtual negative costs and savings, reducing electricity bills through electricity produced with BIPV systems substituting conventional centralized-supplied electricity. The renewable surplus electricity resale price has been calculated based on REC prosumer marketplace statistical data for the systematical marginal price (SMP) of 0.15 EUR/kWh from November 2021 to January 2022 []. A longer period for the definition of the SMP could not be analyzed, as a statistically predictable price trend could not be determined for five years. Fiscal parameters have been defined according to previous articles by the authors []. A 14.00% annual income tax rate has been determined based on the 1.00% tax discount incentive for BIPV installations. Linear depreciation rates for the annual tax discount on BIPV systems’ residual value calculations have been set at 20 years, according to the literature on the current Korean taxation system []. The capital for BIPV system installation costs is considered available at the start of the projects since the rent or sale of vertically added usable floor area would provide the necessary funding.
2.8. Description of Case-Study Buildings
LCA and LCC analyses have been executed for BIPV building envelope renovation systems for three case-study buildings that exemplify the most common building types in the RoK. Table 1 presents an overview of the three case-study buildings’ characteristics with relevant spatial and historical information.

Table 1.
Case-study buildings’ main characteristics.
3. Results
3.1. Overview of BIPV Systems in Building Envelope Renovations
The BIPV façade cladding mounting system consists of a horizontal and vertical profile-based substructure system for rear-ventilated façades, selected based on a market analysis, which facilitates the mounting of panels with and without PV properties and different types of panel-substructure connection anchors. Horizontal rail profiles connect the cladding panels with the vertical profiles, defining the rear ventilation layer, and are mounted on a non-flammable, water- and wind-tight membrane outside the prefabricated façade components. Figure 3 illustrates the mounting system for two differently sized BIPV modules on the façade of the apartment building. Open joints between the modules and façade panels facilitate appropriate rear ventilation. The parametric design system allows the adjustment of spacing between horizontal and vertical frame support elements and joints.

Figure 3.
Overview (a) of the mounting system for BIPV façade modules on two prefabricated façade components of the building renovation system with finally positioned modules, modules before mounting on horizontal rails (two modules on the bottom left), and module back elevation with illustration of connection anchors, electricity connectors, and cabling (module on the bottom right), and detailed illustration (b).
Figure 4 presents detail sections of façades with BIPV modules and the location of AC and ventilation units with duct penetrations through the façade (Figure 4a), the connection of electrical cabling to the basement of the apartment (Figure 4b), and the roof with BIPV modules (Figure 4c). Figure 4a illustrates sections of the BIPV prefabricated façade renovation system consisting of multiple components with façade cladding panels with and without PV properties, integration of an air-to-air heat pump outdoor unit connected to an indoor unit (A), and penetration of air in- and outlet air ducts for a mechanical ventilation system with heat recovery (B). Figure 4b shows the configuration of electricity cable connections from BIPV façade panels on the bottom edge of the slab–wall intersection for the horizontal extension of the first floor above ground. The system is composed of BIPV modules (C) mounted on horizontal and vertical substructure rails, electrical cabling connectors (D), DC plugs for the connection of multiple vertical PV electricity cable strings (E), and the cable duct (F) connected with a DC to AC inverter in the basement. The sections in Figure 4c illustrate the connection of the façade and roof components of the vertical building extension and envelope renovation system with the mounting of PV panels on the roof membrane with individual welded connections (G).

Figure 4.
(a) BIPV module mounting system on two prefabricated façade renovation components of the building renovation system with façade cladding panels, integration of an air-to-air heat pump outdoor unit connected to an indoor unit (A), and penetration of air in- and outlet air ducts for a mechanical ventilation system with heat recovery (B); (b) ground floor connection of BIPV (C) electricity cabling (D) using a multiple string connector (E) and a cable duct with the inverter in the basement (F); (c) building extension and façade and roof renovation component sections with BIPV modules in the façade and on the roof (G).
3.2. BIPV Module Layout for Maximized Coverage of the Building Envelope
The PV modules, according to the maximization of building envelope coverage, PV module power, and efficiency, have been selected using the PV*SOL software-integrated database to search for available products on the market. Accordingly, a complete mapping of BIPV paneling in the three renovated buildings has been produced. Figure 5 shows the paneling map overview of the three renovated buildings (Figure 5a–c), as well as the technical data description of the color-coded PV modules installed. Table A2 in Appendix A presents the selection of PV modules for the three renovations and the number of panels utilized for the product type on each building. In the case of the apartment complex, the BIPV LCA of the GWP and LCC for NPV calculations have been executed for four different apartment unit clusters, as each of the clusters (A, B1, B2, and C, corresponding to the blocks composing the three physical buildings that define the apartment complex) has separate entrances and legal status in terms of tenant associations. The position of HVAC inlets and outlets hosting modules is irregular along the façades of the apartment complex, as the typical floorplan configuration of the apartment units in the existing building and the 2-story vertical extension are different. The existing apartments (from the 1st to the 12th floors) consist of two apartment units per staircase and elevator. In contrast, four new apartment units are located and connected to the same staircase and elevator on the extended 13th and 14th floors. Based on the floor plan layout, on floors 1–12, AC and ventilation units and façade penetrations of ducts are positioned only on the northern façades, while on floors 13 and 14, they are positioned on the northern and southern façades. The distribution and electric connection of BIPV façade modules in the three buildings were based on vertical PV module strings consisting of identical module types (Figure 5). For the apartment and mixed-use buildings, each vertical PV module string was divided according to the façade layout determined by the location of windows. Strings separated by windows were connected in parallel to the inverter DC feed. The connection of module strings to interior inverters, each sized for a power of 50 kW, was then executed using cabling and rerouting in the rear ventilated façade cavities. Cabling for modules located above and below window heads and sills was rerouted in the façade rear ventilation cavity. In the case of multi-unit residential buildings, horizontal strings of panels located below the windows were connected in parallel to the inverter, situated on the ground floor of the building in a room created by the horizontal extension of the existing building.

Figure 5.
BIPV module design system for (a) an apartment building, (b) a mixed-use building, and (c) a multi-unit residential building with indication of module types (ID in Table A2) and technical specifications, indicated by specific color codes for the different selected PV module types.
3.3. PV Modules Data and LCA of BIPV Systems for the Three Renovated Buildings
Based on the quantification of PV modules covering the building renovation in Table A2 and the specific surface data for each module, the 50-year LCA of the GWP of the BIPV system for each building type and the apartment unit clusters has been calculated. Specifically, the parametric design suite has been utilized to calculate the required amount of support frame material based on manufacturer blueprints, as well as the number of cabling connectors required for the BIPV module strings. The PV*SOL electric cabling layout utility has been utilized as a reference for the length of electrical cabling. Table A3 in Appendix A includes the BIPV system components’ LCA carbon footprint calculations for the three renovated buildings, along with specifications of the minimum and average GWP. The LCA of the GWP of the BIPV and dummy modules is defined for a service lifetime of 50 years. Accordingly, no substitution of the modules and associated GWP is considered during their lifetime of 50 years. Figure 6 presents the results of LCA calculations for both the minimum and average GWP of the BIPV modules (without PV dummy modules) and the BIPV system components for the three renovated buildings.

Figure 6.
LCA results for the minimum and average GWP of BIPV modules (minimum and average system GWP) and BIPV system components for the (a) apartment, (b) mixed-use, and (c) multi-unit residential buildings.
Based on the conditions defined in Section 2.6, the LCC scenarios for the three case-study buildings’ BIPV renovation systems have been developed for the specific circumstances in the RoK. The calculation of break-even points and the internal rate of return (IRR) for 25 and 50 years is associated with constrained degrees of uncertainty. The life cycle costing scenario developed on the EU BIPV BOOST and US NREL benchmarks provides projections that are consistent with current trends in terms of both market and legislation in the RoK.
In terms of incentives for installation, a recent study by the authors [] indicated alternative financial incentive schemes for PV installations. However, as of 2021, the comprehensive plan of the “Seoul Solar City” [] incentive package has been adopted for the calculation of incentives in this study. The Solar City program has been halted due to the COVID-19 crisis and sudden political changes in the administration of the metropolitan city of Seoul. However, the program is expected to be reinstated in the future and is therefore considered in the incentive calculations of this study. In the event that the incentive scheme is not reinstated, this study will act, according to its research question (iv), as an assessment of incentive schemes in the RoK and an evaluation of their importance in implementing national decarbonization and sustainable building policies. The Seoul Solar City program supports BIPV installations for 70% of their investment cost for façade systems and 30% for roof systems. Table 2 includes the cost calculations for the two scenarios (US NREL and EU BIPV BOOST).

Table 2.
US NREL and EU BIPV BOOST-based costing scenarios for the three BIPV building envelope renovation systems.
3.4. BIPV Energy Production and Costing Simulation
Figure 7 presents an overview of the BIPV building models in the PV*SOL simulation environment. The calculation of the PV electricity production includes inverter, cabling, and degradation losses. Cabling losses have been set at 2.00%, accounting for the required cable length to connect BIPV modules with inverters. The degradation of BIPV modules has been set at an average linear 0.50% efficiency loss per year over a period of 50 years. Additionally, inverter losses and losses due to the connection of multiple strings of PV modules with different nominal power outputs to the same inverter have also been included in the software, depending on the inverter manufacturer’s technical data (average loss of 2.00%). Additionally, a soiling coverage ratio of 15% per module surface has been selected to account for high anthropogenic particulate matter coverage during the year in the city of Seoul.

Figure 7.
PV*SOL models for the three case-study buildings renovations. (a) Apartment Block A; (b) Apartment Block B1; (c) Apartment Block B2; (d) Apartment Block C; (e) Mixed-use building; and (f) Multi-unit residential.
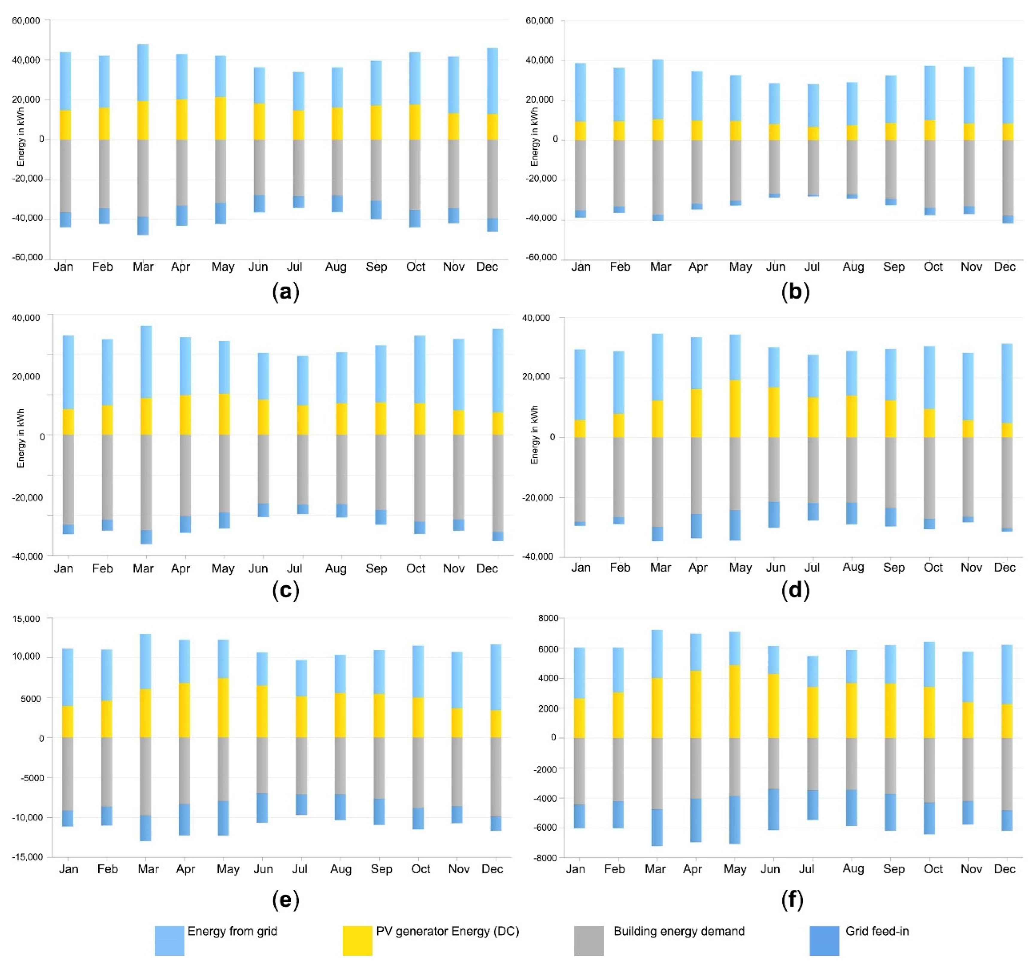
3.5. Simulation Results
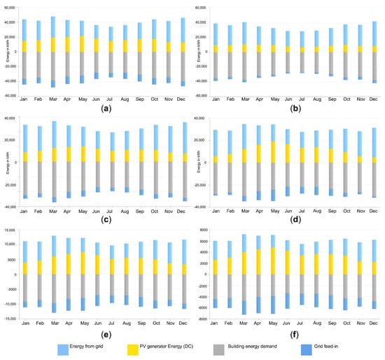
Figure 8 presents the electricity balance calculated based on the simulations with PV*SOL. Based on the LCA and LCC parameters defined in Section 3.5, Table 3 presents the results for both the LCA of the GWP and the LCC of the NPV. The results include the calculation of the primary energy demand coverage ratio by comparing the renewable energy produced by the simulated PV systems to the existing non-renewable demand. The GWP reduction (in spared kgCO2-eq. of GHG emissions) is calculated based on the coverage ratio of renewable energy to the total primary energy demand.

Figure 8.
PV*SOL energy simulation results for four apartment clusters (a–d), mixed-use (e), and multi-unit residential (f) buildings.

Table 3.
PV*SOL simulation results assessed against the LCA of the GWP and the LCC of the NPV scenarios.
Additionally, to evaluate the full BIPV system’s life cycle GWP, the difference between the spared GHG emissions from the installation of the BIPV systems and both the minimum and average material life cycle GWPs of the BIPV systems (produced in Table A3, Appendix A) is calculated. The positive difference shows that GHG emissions spared by the installation of BIPV systems overcompensate for the systems’ material life cycle GWP for both minimum and average carbon footprints. Additionally, the final, cumulative GWP of the five buildings (three apartment blocks, the multi-unit building, and the mixed-use building) is calculated by subtracting both the BIPV system minimum and average material life cycle GWPs and the GWP of the residual energy demand from the public grid from the spared GHG emissions through renewable BIPV-sourced energy.
The LCC of the NPV calculations includes both the final NPV at 50 years as well as the discounted cash flow at 25 years for both the minimum and average GWP of BIPV solutions. Furthermore, the PBT and IRR for PV-installation investments have been calculated for both US NREL and EU BIPV BOOST-based costing scenarios.
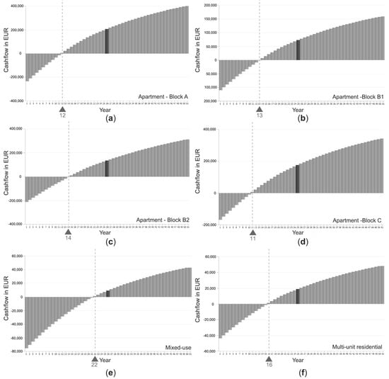
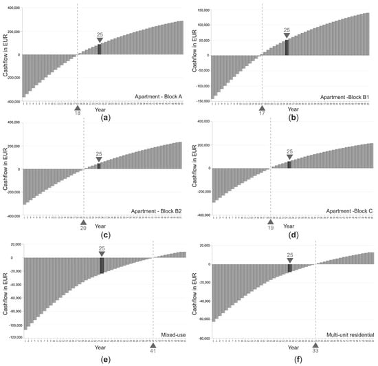
Figure 9 and Figure 10 present the NPV cash flow for the period of 50 years for both the US NREL (Figure 9) and EU BIPV BOOST-based costing scenarios (Figure 10). Cash flow for the 25th year is also marked to show the potential for the BIPV system to be evaluated for a shorter NPV service life scenario.

Figure 9.
US NREL-based costing scenario NPV for the service life period of four apartment clusters (a–d), mixed-use (e), and multi-unit residential (f) buildings. Darker markings indicate discounted cash flow at 25 years of service life.

Figure 10.
EU BIPV BOOST-based costing scenario NPV for the service life period of four apartment clusters (a–d), mixed-use (e), and multi-unit residential (f) buildings. Darker markings indicate discounted cash flow at 25 years of service life.
3.6. Potential Land Use Change Prevention by Building Extension and Building Envelope Renovation with BIPV Systems
The proposed urban densification by building extensions and building envelope renovations with integrated PV modules has the following main advantages compared with conventional new building and real estate developments and open land PV installations: (i) prevention of land use change and resource incentive substructure and electricity infrastructure constructions required for the installation and operation of open land PV systems; (ii) prevention of open land use change and saving of resources for the construction of new buildings and urban infrastructure; and (iii) reduction in grid losses for electricity distribution and maximization of on-site electricity consumption ratio.
Within the LCGG framework, Korean government initiatives aim to promote large-scale PV plant construction. However, large-scale installation areas on open land or new real estate developments are limited. Competing land uses for the accommodation of urban developments, agriculture, and freshwater bodies are mainly caused by the high population density associated with the mountainous topography of the RoK, with a ratio of more than 70% of the available land covered by middle- to high-slope areas, minimizing the amount of easily accessible land and resulting in expensive real estate. In the Seoul metropolitan area, the main destination of internal Korean migration and housing approximately 50% of the country’s population, the building industry has capitalized on the limited available areas to construct new residential districts and towns [], catering to the migrating population []. Accordingly, large PV commercial plants’ construction has been concentrated on three types of areas: (i) agricultural fields (agro-photovoltaics); (ii) mountainous, hillside areas previously covered by autochthonous forests [], and (iii) available water surfaces such as large ponds in city areas or lakes []. While the coexistence of agriculture and PV systems of different dimensions is being investigated to find an optimal solution [], the greenfield operations required for the construction of commercial PV plants in mountainous areas are associated with land use change, such as deforestation, increased landslide risk [], and the need for extensive connective infrastructure construction to supply electricity to end-users.
Exploiting forest areas for constructing PV commercial systems attempts to resolve the problem of energy carbon intensity in the RoK with a solution that provokes demonstrated unsustainable consequences on the environments and ecosystems in which it operates []. BIPV systems in building envelope renovation systems, according to the methods and materials developed in this research, would solve the problem of limited areas for constructing large commercial PV systems. Furthermore, the analysis of the average yield of the proposed systems and the specific difference compared to a hillside PV plant with a higher yield due to optimal solar orientation is offset mainly by two factors: (i) the improved performance of solar cells exposed to indirect or low light [,] and (ii) the reduction in electricity losses through infrastructural carriers due to direct-to-user energy production and consumption. Furthermore, natural soiling and ambient particulate matter (PM) impact both BIPV systems and large-scale open-land PV plants. The propagation of pollution in urban contexts and the distribution of PM on a regional scale due to airflow and wind also cover adjacent natural areas to cities, where most commercial PV plants are located [].
Compared with conventional PV installations, BIPV systems consume no additional land for the system installation, minimize grid and electricity transportation losses, and facilitate the use of existing electricity infrastructure from the building over the district to regional levels, the direct use and storage of electricity, and the distribution of surplus electricity through the electricity grid. Compared to new construction, building renovation contributes to the sustainable management of city district land. Building renovation with vertical extension represents a form of urban densification optimally constrained by factors such as the building’s exiting structure’s load-bearing residual capacity and the need to increase available parking areas. Due to such constraints, building renovations present a valid alternative to district-wide redevelopments []. Redevelopment through demolition has negative environmental impacts due to construction waste production, high resource consumption for new buildings, and infrastructure construction, resulting in gentrification and citizen-wide opposition []. Additional adverse ecological effects are associated with increased resource consumption, waste production, and emissions for living, the operation of buildings, and transportation, driven by the speculative increase in floor area for new buildings and districts. Gentrification and overburdening of urban infrastructure result in the displacement of the population to suburbia in new greenfield developments and the required reshaping of the urban infrastructure through redevelopment. Redevelopment comes at a higher cost to public land administration [], requiring increased land use for public and private services destined almost exclusively to the functioning of new high-rise apartment (30+ stories) districts often located in low-rise contexts of 2- to 5-story buildings []. Additionally, the increase in built areas, particularly on the hillslopes of the mountainous districts around Seoul, causes further environmental damage by deforestation, exacerbated by climate change, resulting in increased flooding and landslide risks [].
The building extension and envelope renovations with BIPV systems proposed in this research facilitate the progressive floor area and population density increase in low-rise urban districts. The sustainable vertical building extension creates value through limited development initiatives. The number of inhabitants that could benefit from a wide-scale building renovation and extension program compared to the influx of internal migrants in Seoul is beyond the scope of this research and was not investigated. However, the authors’ preliminary analysis of district and building types, their density, and their potential for building extension, tied with the common structural and spatial characteristics of contemporary Korean architecture, suggests that a balance between demand and availability can be achieved.
4. Discussion
4.1. Research Question Resolutions
The research questions outlined in Section 1, Introduction, can be summarized based on the results of the LCA of the GWP and the LCC of the NPV simulations and assigned to the following seven points:
- During a 50-year lifecycle, the GHG emission savings associated with the buildings’ service energy demand after energy-efficient building renovation and the GHG emission savings associated with the substitution of conventional fossil energy carriers and electricity from the public grid by BIPV-produced electricity exceed the complete kgCO2-eq. and GWP related to the BIPV systems and their components. Accordingly, the three BIPV building renovation systems can be considered carbon-negative. The resulting 50-year GWP balance between the BIPV systems’ material life cycle GWP and spared emissions reaches a negative value in the worst-case average GWP systems’ scenario (Table 3). The difference between spared emissions by BIPV system PE substitution and system material life cycle GWP for the apartment building, mixed-use building, and multi-unit residential building is 14,801,006.87, 1,968,344.63, and 1,312,160.73 kgCO2-eq., respectively.
- In the case of a cost calculation scenario based on US NREL data, the 25-year NPV of BIPV systems reaches positive values for all three buildings. In the case of a cost calculation scenario based on EU BIVP BOOST reference data, the mixed-use and multi-unit residential types achieve a negative 25-year NPV (Figure 9 and Figure 10). By the 50th year, all three buildings achieve positive NPVs under both US NREL and EU BIPV BOOST costing scenarios.
- The average BIPV investment PBT for the US NREL costing scenario is 15 years, while for the EU BIPV BOOST costing scenario, it is 25 years (Table 3).
- Protracted financial and fiscal incentives in the RoK to encourage the installation of BIPV systems are adequate to cover the required costs of the BIPV systems and achieve a positive NPV at the end of the service life. However, the evolution of the prosumer and demand-response markets, as well as the widespread adaptation of PV and other renewable and efficient energy systems incidence on the market and system costs, must be balanced by a reduction in costs for BIPV investments to maintain the economic sustainability of high financial credits (70% for façade and 30% for roof systems) in the long term.
- Design strategies relevant to a quasi-full building envelope sheathing in BIPV modules (above 70% coverage ratio) are the montage system, which must allow the maintenance and substitution of modules without encumbering the prefabricated envelope renovation components, as well as the tailoring of energy production based on shading from contextual elements, such as buildings and natural and artificial infrastructure. Soiling from particulate matter from both natural and anthropogenic blocking sources must also be carefully considered, in that it influences the yield of renewable energy production as well as maintenance and cleaning costs.
- BIPV electricity production from the designed BIPV systems (see Figure 5) can cover the entire building’s electricity demand and therefore achieve a net-negative energy demand only in the case of multi-unit residential buildings. The other two case-study building types have a net-positive energy demand. Therefore, to achieve net-negative service energy demands, a reduction in annual energy and electricity demand for appliances and building services would need to be realized.
- Total PE demand equivalent GHG emissions can be covered only in the case of a multi-unit residential building. The building dimensions and energy demand-related floor area-to-volume ratio, as well as the window-to-wall ratio of the façades and receiving global radiation, allow the building to achieve full GHG emissions coverage by BIPV electricity production, while based on the same parameters, the apartment and mixed-use buildings do not reach full self-sufficiency.
4.2. Agile PV Mounting System for Multiple Applications
The proposed BIPV mounting system facilitates the connection of panels with and without PV function to mounting rails with different widely used connection types, such as screws. The connection system must facilitate (i) free positioning of the panels on mounting rails to allow the installation of façade panels with different dimensions, (ii) accessibility of individual panels’ connection anchors for maintenance and potential replacement purposes through open joints surrounding each panel, and (iii) BIPV module connections to the PV system’s DC electricity cable network. The proposed mounting system for PV modules on the roof membrane consists of connection pads welded to the roof membrane to minimize the required material use. The BIPV modules are installed with a minimized inclination angle of 10 to 15 degrees to improve rainwater drainage and self-cleaning properties by soiling sliding.
4.3. LCA and LCC Simulation Variables’ Uncertainty vs. an LCC of 50 Years: Assessment of Potential Scenarios and Limitations of LCA and LCC Projection Settings
To evaluate the research results, the relevant dynamics between specific simulation parameters were determined. The negative GWP and positive LCC of the NPV results within this research depend highly on the potential future variation of specific parameters. Crucial for the LCA of the GWP calculations is the ratio between the normalized GWP per square meter of BIPV modules, the substituted GWP per kWh of electricity in the RoK, and the associated PE and GHG emissions in kgCO2-eq.
While the indications provided in Section 3.4 for the calculation of LCC relate to a conservative scenario, it can be predicted that, with the effect of the future increase in renewable energy ratio on the total PE mix of the RoK, substitution rates for GWP and costs will also decrease, causing BIPV systems to account for lower GHG emissions substituted per 1 kWh of BIPV electricity. However, innovation in the manufacturing processes for BIPV modules also shows a decrease in potential material life cycle emissions [,], thus lowering the normalized material life cycle GWP of BIPV systems.
The projection of operation and maintenance costs for a lifecycle extending 25 years may increase the uncertainty of LCC calculation results. For example, replacing BIPV modules after 25 years would be associated with higher purchase and installation costs and improved module efficiency and electricity yields. However, the costing and degradation variables defined in Section 3.4 and Section 3.5 were based on realistic empirical models. Therefore, energy and cost calculations can be considered appropriate for the current state-of-the-art PV technologies. Furthermore, the conservative scenario proposed in this study aims to minimize the BIPV systems’ carbon footprint by avoiding the replacement of BIPV components after the expiration of the standard function and output guarantee time of approximately 25 years provided by producers and by employing renewable energy systems for the entire duration of their potential service life of at least 50 years.
In addition to LCA and LCC parameters, relevant factors that might influence the results of BIPV renewable energy yield simulations will require future discussion. In particular, only PV modules and system components currently available on the market and purchasable in the RoK have been selected for this research. Moreover, the impacts of climate change, such as rising ambient temperatures and soiling due to anthropogenic air pollution, might require a more detailed analysis and evaluation, including the causes and impact of malfunctions and maintenance of the modules on the overall system’s yield. Validation of the simulation setup was provided by the accurate selection of climate data within PV*SOL and the matching of capacity and efficiency between modules selected in OCLCA for LCA calculations and systems selected in PV*SOL for energy yield simulation. Accordingly, realized case-study tests could be conducted in the future to validate the simulations in this research with products indicated in the study, facilitating practical implementation of the research methodology from exemplary module installations to complete renovation scenario realization, monitoring, analysis, and evaluation.
Finally, the importance of incentives for BIPV installations is the main factor contributing to the potential future instability of the renewables’ market and profitability. According to the 2022 rate, reflection on the economic sustainability of the incentive systems in the RoK is necessary, especially given the suspension of the “Seoul Solar City” program. In particular, comparing the NPV of the installed BIPV systems with the public incentives provided can be a potential metric to assess the long-term profitability of incentives. In fact, if the 50-year NPV of the BIPV systems were higher than the incentives provided at year 0, benefits associated with public and private value production in terms of PV system investment, energy costs, and market value could be established. The calculation of US NREL- and EU BIPV BOOST-based cost scenarios results on average in the following: For the US NREL-based costing scenario, 92.58% of incentives could be recovered through the 50-year cash flow (101.71% for apartments, 43.86% for mixed-use, and 94.82% for multi-unit residential types). In contrast, only 59.94% of costs for an EU BIPV-BOOST-based costing scenario (61.64% for apartments, 31.16% for mixed-use, and 68.34% for multi-unit residential types) could be recovered. The NPV or incentives ratio therefore determines that three factors are most important in the future development of legislative action towards financial and fiscal incentives for BIPV installations in the RoK: (i) lowering of discount rates to make BIPV installation investment profitable in both the long- and short-term; (ii) fiscal incentive increments in terms of tax rate discounts may play a very important role in BIPV investment, as tax savings function as virtual income (taxes) rather than effective liabilities (provided financial support) on the RoK national budget; and (iii) lowering of the production and installation costs of BIPV systems to increase future discounted NPVs.
5. Conclusions
This study presented the LCA of the GWP and the LCC of the NPV analysis of BIPV system installations in three modular renovation systems for aged buildings in the RoK: apartment complexes, mixed-use buildings, and multi-unit residential buildings. Regarding a LCA, two scenarios have been analyzed: one for the minimum and one for the average GWP of BIPV installation systems. For LCC of the NPV calculations, two costing scenarios based on US and EU research data on BIPV installation costs have been developed. The results show that the final GHG emissions from the substituted PE carrier cover the material life cycle GWP of the three systems in both LCA scenarios.
Furthermore, the 50-year NPV is positive for all three buildings under both costing scenarios. The 25-year NPV is positive for the apartment complex and negative for the mixed-use and multi-unit residential buildings.
This research also investigated the positive impacts of building extensions and building envelope renovation systems with BIPV systems on the environment and the prevention of open land use change associated with the following measures: (i) substitution of conventional open-land PV plants with BIPV systems; (ii) reduction in PE demand by improved buildings’ service energy efficiency, PV electricity onsite consumption, and reduction in grid and electricity transport losses; and (iii) prevention of speculative urban redevelopments with new high-rise and infrastructure constructions by reducing building renovations and densification of urban areas.
Limitations to this study are the availability of further experimental studies demonstrating the potential for BIPV utilization beyond 25 years (which is considered the 80% output performance warranty period of PV modules) and more detailed costing information for modules in the RoK. Further research development should address understanding the propensity and network of involved stakeholders (citizens, authorities, and private energy providers) in incentivizing and participating in the renewable energy market, consistent with Korean national policies. Accordingly, this study already proposes a quantitative basis on which a single stakeholder can evaluate the long-term environmental and economic benefits of BIPV installations in building renovations.
Author Contributions
All authors contributed equally to the original draft preparation, writing and editing of this article. All authors have read and agreed to the published version of the manuscript.
Funding
This research was supported by the Basic Science Research Program through the National Research Foundation of Korea (NRF) and funded by the Ministry of Education (2018R1D1A1B07050989).
Institutional Review Board Statement
Not applicable.
Informed Consent Statement
Not applicable.
Data Availability Statement
The data presented in this article can be obtained from the first author upon request.
Acknowledgments
The authors thank Valentin Software GmbH for providing a PV*SOL professional license to perform the BIPV simulations within this research.
Conflicts of Interest
The authors declare no conflict of interest.
Nomenclature
LCA | Life Cycle Assessment |
LCC | Life Cycle Costing |
NPV | Net Present Value |
GWP | Global Warming Potential |
BIPV | Building Integrated Photovoltaics |
BAPV | Building Addictive Photovoltaics |
OCLCA | One Click LCA |
US NREL | US National Renewable Energy Laboratory |
PH | Passive House |
GHG | Greenhouse Gas |
Appendix A

Table A1.
Summary of the selected scientific literature on the subject of BIPV LCA/LCC and energy performance with relevant contributions.
Table A1.
Summary of the selected scientific literature on the subject of BIPV LCA/LCC and energy performance with relevant contributions.
Authors | Year | Contribution |
---|---|---|
Saretta et al. [] | 2019 | Systematic review of common approaches for urban planning integrating the application of BIPV for renewable energy demand production. |
Yang [] | 2015 | Analysis of BIPV cost and energy production factors based on building simulations and definition of a system of barriers that prevent realization of BIPV systems. |
Evola and Margani [] | 2016 | Analysis of Italian aged (1970s) building renovation. Energy consumption supplied by 50% through BIPV system and payback time of 9 years. |
Chivelet et al. [] | 2018 | Empirical renovation of a case-study building in Spain. Analysis of the reductive effective of temperature on BIPV system energy yield. |
Palacio-Jaimes et al. [] | 2017 | Case-study building renovation in Spain, operational energy GHG emissions’ reduction of 53%. |
Jayathissa et al. [] | 2016 | Analysis of dynamic BIPV systems toward the reduction in the impact of shading on system yield. Comparison of cost and environmental impact between static and dynamic BIPV systems options. |
Aguacil Moreno et al. [] | 2019 | Analysis of Local climate impact on optimal BIPV systems’ design with sensitive analysis of multiple orientation and coverage scenarios for a case-study building. |
Shabunko et al. [] | 2018 | Real case-study analysis of BIPV systems to collect field data for systems costing (ref. also successive work by Skandalos et al.) |
Apostolopoulos et al. [] | 2023 | Digital tool for BIPV systems’ LCA/LCC; reduction in carbon footprint for operative energy of 91–95% and positive 25-year NPV above 500k Euro |
Abdelrazik et al. [] | 2022 | Analysis of improved BIPV technologies with higher efficiency and analysis of cost impact of BIPV systems compared to traditional BAPV technologies. |
Pillai et al. [] | 2022 | Improved strategies for BIPV constructions to improve energy performance and yield against shading; investigation on 36 test systems with higher yield variation range; need for further availability of economic data. |
Skandalos et al. [] | 2023 | Development of a framework for climatic BIPV systems’ design in order to improve system climate change adaptation and integration with bioclimatic design. |
Choi et al. [] | 2022 | BIM-supported evaluation tool for the calculation of energy independence of building with application of BIPV |

Table A2.
Selected PV modules from the PV*SOL software database. IDs correspond to the indices provided in Figure 4 to better identify the specific products positioned on the building envelope.
Table A2.
Selected PV modules from the PV*SOL software database. IDs correspond to the indices provided in Figure 4 to better identify the specific products positioned on the building envelope.
Module Type (ID) | Length (m) | Width (m) | Single Module Surface (m2) | Cell Technology | Module Nominal Output Power (kW) | Efficiency (%) | PV Modules Number per Type | ||
---|---|---|---|---|---|---|---|---|---|
Apartment | Mixed-Use | Multi-Unit | |||||||
MC1 | 1.96 | 0.99 | 1.94 | Si Mono | 460.00 | 23.72 | 747 | 18 | 0 |
MC2 | 1.27 | 0.85 | 1.08 | Si Mono | 175.00 | 16.10 | 380 | 2 | 0 |
MC3 | 1.33 | 0.81 | 1.07 | Si Mono | 170.00 | 15.70 | 172 | 0 | 0 |
MC4 | 1.11 | 0.41 | 0.45 | Si Mono | 37.00 | 8.68 | 470 | 0 | 0 |
PC2 | 1.25 | 0.27 | 0.34 | SI Poly | 75.00 | 10.56 | 112 | 0 | 0 |
MC5 | 1.41 | 0.47 | 0.66 | Si Mono | 83.50 | 12.60 | 56 | 0 | 0 |
MC6 | 1.98 | 0.66 | 1.31 | Si Mono | 235.00 | 24.72 | 2567 | 296 | 218 |
MC7h | 1.37 | 0.68 | 0.92 | Si Mono | 130.00 | 14.13 | 0 | 132 | 0 |
MC10 | 1.07 | 1.07 | 1.14 | Si Mono | 100.00 | 8.75 | 36 | 0 | 0 |
MC11 | 1.63 | 0.84 | 1.37 | Si Mono | 200.00 | 14.64 | 15 | 0 | 0 |
MC9 | 1.39 | 0.67 | 0.93 | Si Mono | 150.00 | 16.63 | 63 | 0 | 0 |
MC8 | 1.48 | 0.66 | 0.98 | SI Poly | 160.00 | 16.31 | 0 | 3 | 2 |
MC12 | 1.39 | 0.67 | 0.93 | Si Mono | 110.00 | 15.14 | 48 | 0 | 0 |
PC1 | 1.35 | 1.00 | 1.34 | SI Poly | 195.00 | 14.55 | 106 | 0 | 0 |
PC3 | 1.32 | 0.66 | 0.87 | SI Poly | 112.00 | 12.80 | 0 | 0 | 21 |

Table A3.
Life cycle carbon footprint of minimum and average GWP PV modules, minimum GWP BIPV system components.
Table A3.
Life cycle carbon footprint of minimum and average GWP PV modules, minimum GWP BIPV system components.
BIPV System Component | Functional Unit | A1–A3 | A4 | B1–B5 | C1–C3 | D | Total Sum |
---|---|---|---|---|---|---|---|
kgCO2-eq./Functional Unit | |||||||
Minimum GWP solution—Monocrystalline silicon | 1 m2 | 77.20 | * | 0.00 | 0.15 | 0.00 | 77.35 |
Minimum GWP solution—Polycrystalline silicon | 1 m2 | 177.27 | * | 0.00 | 0.16 | 0.00 | 177.43 |
Average GWP—Monocrystalline silicon | 1 m2 | 207.49 | * | 0.00 | 0.15 | 0.00 | 207.64 |
Average GWP—Polycrystalline silicon | 1 m2 | 184.52 | * | 0.00 | 0.11 | 0.00 | 184.63 |
Electrical cabling | 1 m | 0.45 | 0.06 | 0.00 | 0.00 | 0.00 | 0.51 |
Linear support frame in anodized aluminum | 1 m3 | 19,578.45 | 835.99 | 0.00 | 21.31 | −1314.03 | 19,121.72 |
Inverter 50 kW | 1 unit | 1080.00 | 5.47 | 0.00 | 0.06 | 0.00 | 1085.53 |
PV cabling connector | 1 unit | 2.36 | 0.07 | 0.00 | 0.00 | 0.00 | 2.43 |
CVD coated safety glass panels (PV dummy modules) | 1 m2 | 7.91 | 1.98 | 7.91 | 0.03 | 0.00 | 9.92 |
* Multiple entries depending on PV modules manufacturing country.

Table A4.
LCA of the BIPV systems for the three renovated buildings: minimum and average BIPV systems selection.
Table A4.
LCA of the BIPV systems for the three renovated buildings: minimum and average BIPV systems selection.
LCA Scenario/Building Type | A1–A3 | A4 | B1–B5 | C1–C3 | D | Total | GWP/PV Surface Ratio |
---|---|---|---|---|---|---|---|
kgCO2-eq. | kgCO2-eq./m2 | ||||||
BIPV modules—minimum GWP | |||||||
Apartment | 509,939.27 | 7634.90 | 0.00 | 957.61 | 0.00 | 518,531.78 | 81.56 |
Mixed-use | 42,610.83 | 563.55 | 0.00 | 82.25 | 0.00 | 43,256.63 | 78.92 |
Multi-unit residential | 26,113.16 | 157.91 | 0.00 | 45.75 | 0.00 | 26,316.82 | 86.33 |
BIPV modules—average GWP | |||||||
Apartment | 1,318,034.56 | 7634.90 | 0.00 | 954.57 | 0.00 | 1,326,624.03 | 208.67 |
Mixed-use | 113,671.51 | 562.57 | 0.00 | 82.58 | 0.00 | 114,316.66 | 208.57 |
Multi-unit residential | 62,787.95 | 102.89 | 0.00 | 45.24 | 0.00 | 62,936.07 | 206.45 |
Inverter—minimum GWP | |||||||
Apartment | 25,920.00 | 131.28 | 0.00 | 1.49 | 0.00 | 26,052.77 | 4.10 |
Mixed-use | 2160.00 | 10.94 | 0.00 | 0.12 | 0.00 | 2171.06 | 3.96 |
Multi-unit residential | 1080.00 | 5.47 | 0.00 | 0.06 | 0.00 | 1085.53 | 3.56 |
Roof mounting frame—minimum GWP | |||||||
Apartment | 6302.33 | 269.11 | 0.00 | 6.86 | −422.99 | 6155.31 | 0.97 |
Mixed-use | 1322.89 | 56.49 | 0.00 | 1.44 | −88.79 | 1292.03 | 2.36 |
Multi-unit residential | 985.98 | 42.10 | 0.00 | 1.07 | −66.17 | 962.98 | 3.16 |
Electrical cabling—minimum GWP | |||||||
Apartment | 5842.51 | 794.58 | 0.00 | 8.96 | 0.00 | 6646.05 | 1.05 |
Mixed-use | 391.13 | 53.19 | 0.00 | 0.60 | 0.00 | 444.93 | 0.81 |
Multi-unit residential | 222.16 | 30.21 | 0.00 | 0.34 | 0.00 | 235.46 | 0.77 |
Cable connector—minimum GWP | |||||||
Apartment | 23,425.36 | 702.76 | 0.00 | 38.71 | 0.00 | 24,166.83 | 3.80 |
Mixed-use | 533.36 | 16.00 | 0.00 | 0.88 | 0.00 | 550.24 | 1.00 |
Multi-unit | 285.56 | 8.57 | 0.00 | 0.47 | 0.00 | 294.60 | 0.97 |
CVD coated safety glass panels (PV dummy modules) | |||||||
Apartment | 3894.12 | 3267.10 | 13,051.90 | 56.10 | 0.00 | 20,269.22 | 3.19 |
Mixed-use | 148.96 | 124.98 | 499.28 | 2.15 | 0.00 | 775.37 | 0.12 |
Multi-unit | 539.87 | 452.94 | 1809.49 | 7.78 | 0.00 | 2810.09 | 0.44 |
Total GWP—minimum carbon-footprint | |||||||
Apartment | 575,769.20 | 90.56 | |||||
Mixed-use | 46,319.20 | 84.51 | |||||
Multi-unit | 30,619.94 | 100.44 | |||||
Total GWP—average carbon-footprint | |||||||
Apartment | 1,958,768.13 | 308.10 | |||||
Mixed-use | 119,105.37 | 217.31 | |||||
Multi-unit | 68,089.27 | 223.36 |
References
- Jäger-Waldau, A. Snapshot of photovoltaics—March 2021. EPJ Photovolt. 2021, 12, 2. [Google Scholar] [CrossRef]
- Detollenaere, A.; Masson, G.; Kaizuka, I.; Jäger-Waldau, A.; Donoso, J. Snapshot of Global PV Markets 2021; Report IEA-PVPS T1-39: 202; IEA: Paris, France, 2021. [Google Scholar]
- Schmela, M.; Clark, B.; Heisz, M.; Lits, C.; Rossi, R. Global Market Outlook for Solar Power 2021–2025; SolarPower Europe: Bruxelles, Belgium, 2021. [Google Scholar]
- Henemann, A. BIPV: Built-in solar energy. Renew. Energy Focus 2008, 9, 14–19. [Google Scholar] [CrossRef]
- Machado, M.; Alonso, R.; Frontini, F.; Bonomo, P.; Weiss, I.; Alonso, P.; Rico, E.; Alamy, P.; Apraiz, A.; Pierret, S. BIPVBOOST Project: Bringing Down Costs of Building-Integrated Photovoltaic (BIPV) Solutions and Processes Along the Value Chain, Enabling Widespread Implementation in Near Zero Energy Buildings (nZEBs) Implementation. In Proceedings of the 36th European Photovoltaic Solar Energy Conference and Exhibition, Marseille, France, 9–13 September 2019. [Google Scholar]
- James, T.; Goodrich, A.; Woodhouse, M.; Margolis, R.; Ong, S. Building-Integrated Photovoltaics (BIPV) in the Residential Sector: An Analysis of Installed Rooftop System Prices; National Renewable Energy Lab (NREL): Golden, CO, USA, 2011.
- Frontini, F.; von Ballmoos, C.; Di Gregorio, S. Renovation of a residential building in Switzerland, with BIPV façades, in order to achieve the nZEB standard. In Proceedings of the29th European Photovoltaic Solar Energy Conference and Exhibition, Amsterdam, The Netherlands, 22–26 September 2014. [Google Scholar]
- Macé, P.; Huerta, I.; Haller, A.; Roman, E.; Seoane, J.M.V.d.; Frontini, F.; Alonso, P. D9.1 BIPV Market and Stakeholder Analysis; ICARES—Becquerel Institute: Bruxelles, Belgium, 2019. [Google Scholar]
- Ministry of Land. Framework Act on Low Carbong, Green Growth; Ministry of Government Legislation: Seoul, Republic of Korea, 2010; Volume 9931.
- Ritchie, H.; Roser, M. CO₂ and Greenhouse Gas Emissions; Our World in Data: Oxford, UK, 2020. [Google Scholar]
- Koo, B. Examining the impacts of Feed-in-Tariff and the Clean Development Mechanism on Korea’s renewable energy projects through comparative investment analysis. Energy Policy 2017, 104, 144–154. [Google Scholar] [CrossRef]
- Kwon, T.-h. Policy mix of renewable portfolio standards, feed-in tariffs, and auctions in South Korea: Are three better than one? Util. Policy 2020, 64, 101056. [Google Scholar] [CrossRef]
- Korean Energy Agency. Renewable Portfolio Standards. Available online: https://dco.energy.or.kr/renew_eng/new/standards.aspx (accessed on 4 January 2022).
- IEA Photovoltaic Power Systems Programme. National Survey Report of PV Power Applications in Korea 2019; International Energy Agency Paris: Paris, France, 2019. [Google Scholar]
- Kim, H.-J.; Kim, J.-S. Design Methodology for Street-Oriented Block Housing Considering Daylight and Natural Ventilation. Sustainability 2018, 10, 3154. [Google Scholar] [CrossRef]
- Moon, J.; Jung, T.Y. A critical review of Korea’s long-term contract for renewable energy auctions: The relationship between the import price of liquefied natural gas and system marginal price. Util. Policy 2020, 67, 101132. [Google Scholar] [CrossRef]
- Kang, B.O.; Lee, M.; Kim, Y.; Jung, J. Economic analysis of a customer-installed energy storage system for both self-saving operation and demand response program participation in South Korea. Renew. Sustain. Energy Rev. 2018, 94, 69–83. [Google Scholar] [CrossRef]
- Park, J.-S.; Lee, H.-J.; Kim, D.-Y. Challenges for utility with energy prosumer in Korea. CIRED-Open Access Proc. J. 2017, 2017, 2632–2634. [Google Scholar] [CrossRef]
- Jin-bok, J. Seoul City’s ‘One Less Nuclear Power Plant’ Project Finally Ended. Available online: https://www.seoul.co.kr/news/newsView.php?id=20211103006018 (accessed on 12 January 2022).
- Kim, M.-H.; Gim, T.-H.T. Spatial Characteristics of the Diffusion of Residential Solar Photovoltaics in Urban Areas: A Case of Seoul, South Korea. Int. J. Environ. Res. Public Health 2021, 18, 644. [Google Scholar] [CrossRef]
- Seoul Metropolitan Government. City of the Sun, Seoul. Available online: https://news.seoul.go.kr/env/environment/climate-energy/seoul-the-city-of-the-sun (accessed on 12 January 2022).
- Kim, I.-P.; Hwang, H.S.; Jung, J.-W. Conflict cause analysis between stakeholders in a utility-scale PV plant and its policy improvement methods in Korea. Energy Policy 2018, 121, 452–463. [Google Scholar] [CrossRef]
- Korean Statistical Service (KOSIS). Buildings by Use. Available online: http://kosis.kr/eng/statisticsList/statisticsListIndex.do?menuId=M_01_01&vwcd=MT_ETITLE&parmTabId=M_01_01&statId=1974006&themaId=#SelectStatsBoxDiv (accessed on 21 January 2020).
- Koh, S.-B. Temporal and Spatial Characteristics of Apartment Development by Types of Construction Policies—A Case Study Focusing on Apartments in Seoul. J. Urban Des. Inst. Korea Urban Des. 2014, 15, 61–79. [Google Scholar]
- Kim, S.; Lee, S.; Ahn, Y.H. Evaluating Housing Maintenance Costs with Loss-Distribution Approach in South Korean Apartment Housing. J. Manag. Eng. 2019, 35, 04018062. [Google Scholar] [CrossRef]
- Porteux, J.N.; Kim, S. Public ordering of private coercion: Urban redevelopment and democratization in south korea. J. East Asian Stud. 2016, 16, 371–390. [Google Scholar] [CrossRef]
- Saretta, E.; Caputo, P.; Frontini, F. A review study about energy renovation of building facades with BIPV in urban environment. Sustain. Cities Soc. 2019, 44, 343–355. [Google Scholar] [CrossRef]
- Yang, R.J. Overcoming technical barriers and risks in the application of building integrated photovoltaics (BIPV): Hardware and software strategies. Autom. Constr. 2015, 51, 92–102. [Google Scholar] [CrossRef]
- Evola, G.; Margani, G. Renovation of apartment blocks with BIPV: Energy and economic evaluation in temperate climate. Energy Build. 2016, 130, 794–810. [Google Scholar] [CrossRef]
- Martín-Chivelet, N.; Gutiérrez, J.C.; Alonso-Abella, M.; Chenlo, F.; Cuenca, J. Building Retrofit with Photovoltaics: Construction and Performance of a BIPV Ventilated Façade. Energies 2018, 11, 1719. [Google Scholar] [CrossRef]
- Palacios-Jaimes, G.Y.; Martín-Ramos, P.; Rey-Martínez, F.J.; Fernández-Coppel, I.A. Transformation of a University Lecture Hall in Valladolid (Spain) into a NZEB: LCA of a BIPV System Integrated in Its Façade. Int. J. Photoenergy 2017, 2017, 2478761. [Google Scholar] [CrossRef]
- Jayathissa, P.; Jansen, M.; Heeren, N.; Nagy, Z.; Schlueter, A. Life cycle assessment of dynamic building integrated photovoltaics. Sol. Energy Mater. Sol. Cells 2016, 156, 75–82. [Google Scholar] [CrossRef]
- Aguacil, S.; Lufkin, S.; Rey, E. Active surfaces selection method for building-integrated photovoltaics (BIPV) in renovation projects based on self-consumption and self-sufficiency. Energy Build. 2019, 193, 15–28. [Google Scholar] [CrossRef]
- Shabunko, V.; Bieri, M.; Reindl, T. Building Integrated Photovoltaic Facades in Singapore: Online BIPV LCC Calculator. In Proceedings of the 2018 IEEE 7th World Conference on Photovoltaic Energy Conversion (WCPEC) (A Joint Conference of 45th IEEE PVSC, 28th PVSEC & 34th EU PVSEC), Waikoloa, HI, USA, 10–15 June 2018; pp. 1231–1233. [Google Scholar]
- Apostolopoulos, V.; Mamounakis, I.; Seitaridis, A.; Tagkoulis, N.; Kourkoumpas, D.-S.; Iliadis, P.; Angelakoglou, K.; Nikolopoulos, N. An integrated life cycle assessment and life cycle costing approach towards sustainable building renovation via a dynamic online tool. Appl. Energy 2023, 334, 120710. [Google Scholar] [CrossRef]
- Abdelrazik, A.S.; Shboul, B.; Elwardany, M.; Zohny, R.N.; Osama, A. The recent advancements in the building integrated photovoltaic/thermal (BIPV/T) systems: An updated review. Renew. Sustain. Energy Rev. 2022, 170, 112988. [Google Scholar] [CrossRef]
- Valentin Software GmbH. PV*SOL Premium. Available online: https://valentin-software.com/en/products/pvsol-premium/ (accessed on 8 June 2022).
- Amoruso, F.M.; Schuetze, T. Hybrid timber-based systems for low-carbon, deep renovation of aged buildings: Three exemplary buildings in the Republic of Korea. Build. Environ. 2022, 214, 108889. [Google Scholar] [CrossRef]
- Robert McNeel & Associates. Grasshopper Generative Modeling for Rhino; Robert McNeel & Associates: Seattle, WA, USA, 2010. [Google Scholar]
- ISO 14044:2006; Environmental Management—Life Cycle Assessment—Requirements and Guidelines. International Standard Organization: Geneva, Switzerland, 2017; Volume 13.020.10.
- ISO 14025:2006; Environmental Labels and Declarations—Type III Environmental Declarations—Principles and Procedures. International Standard Organization: Geneva, Switzerland, 2006; p. 24.
- ISO 14040: 2006; Environmental Management—Life Cycle Assessment—Principles and Framework. ISO/TC 207/SC 5 Life Cycle Assessment. International Standard Organization: Geneva, Switzerland, 2006; Volume 13.020.10/13.020.60.
- ISO 15686-5:2017; Buildings and Constructed Assets—Service Life Planning—Part 5: Life-Cycle Costing. International Standard Organization: Geneva, Switzerland, 2017; Volume 91.040.01.
- Jang, H. Modelling of Existing High-Rise Apartment Buildings for Energy-Efficient Refurbishment in South Korea. Ph.D. Thesis, University of Sheffield, Sheffield, UK, 2016. [Google Scholar]
- Jordan, D.C.; Kurtz, S.R. Photovoltaic degradation rates—An analytical review. Prog. Photovolt. Res. Appl. 2013, 21, 12–29. [Google Scholar] [CrossRef]
- Kaaya, I.; Koehl, M.; Mehilli, A.P.; Mariano, S.D.C.; Weiss, K.A. Modeling Outdoor Service Lifetime Prediction of PV Modules: Effects of Combined Climatic Stressors on PV Module Power Degradation. IEEE J. Photovolt. 2019, 9, 1105–1112. [Google Scholar] [CrossRef]
- Ekici, S.; Kopru, M. Investigation of PV System Cable Losses. Int. J. Renew. Energy Res. (IJRER) 2017, 7, 807–881. [Google Scholar]
- Lillo-Sánchez, L.; López-Lara, G.; Vera-Medina, J.; Pérez-Aparicio, E.; Lillo-Bravo, I. Degradation analysis of photovoltaic modules after operating for 22 years. A case study with comparisons. Sol. Energy 2021, 222, 84–94. [Google Scholar] [CrossRef]
- Rustad, V. One Click LCA som Verktøy for Sammenlignbare Klimagassberegninger av Nybygg-Og Rehabiliteringsprosjekt. Master’s Thesis, Norwegian University of Life Sciences, Ås, Norway, 2021. [Google Scholar]
- Ramasamy, V.; Feldman, D.; Desai, J.; Margolis, R. US Solar Photovoltaic System and Energy Storage Cost Benchmark: Q1 2021; National Renewable Energy Lab. (NREL): Golden, CO, USA, 2021.
- The World Bank. Inflation, Consumer Prices (Annual %). Republic of Korea. Available online: https://data.worldbank.org/indicator/FP.CPI.TOTL.ZG?locations=KR (accessed on 4 January 2022).
- Tsanakas, J.A.; van der Heide, A.; Radavičius, T.; Denafas, J.; Lemaire, E.; Wang, K.; Poortmans, J.; Voroshazi, E. Towards a circular supply chain for PV modules: Review of today’s challenges in PV recycling, refurbishment and re-certification. Prog. Photovolt. Res. Appl. 2020, 28, 454–464. [Google Scholar] [CrossRef]
- Smith, B.; Woodhouse, M.; Horowitz, M.; Horowitz, K.A.W.; Slverman, T.; Zuboy, J.; Margolis, R.M. Photovoltaic (PV) Module Technologies: 2020 Benchmark Costs and Technology Evolution Framework Results; U.S. Department of Energy: Washington, DC, USA, 2020.
- Ministry of Foreign Affairs of the Republic of Korea. Energy. Available online: https://www.mofa.go.kr/eng/wpge/m_5657/contents.do#:~:text=The%20country%20imports%20almost%2093.5,its%20total%20amount%20of%20imports (accessed on 30 March 2023).
- Kim, H.; Shin, E.-S.; Chung, W.-J. Energy demand and supply, energy policies, and energy security in the Republic of Korea. Energy Policy 2011, 39, 6882–6897. [Google Scholar] [CrossRef]
- Ha, Y.-H.; Byrne, J.; Lee, H.-S.; Lee, Y.-J.; Kim, D.-H. Assessing the impact of R&D policy on PV market development: The case of South Korea. WIREs Energy Environ. 2020, 9, e366. [Google Scholar] [CrossRef]
- Kim, C. A review of the deployment programs, impact, and barriers of renewable energy policies in Korea. Renew. Sustain. Energy Rev. 2021, 144, 110870. [Google Scholar] [CrossRef]
- Park, H.; Bae, S. Quantitative Assessment of Energy Supply Security: Korea Case Study. Sustainability 2021, 13, 1854. [Google Scholar] [CrossRef]
- Corti, P.; Bonomo, P.; Frontini, F.; Mace, P.; Bosch, E. Building Integrated Photovoltaics: A Practical Handbook for Solar Buildings’ Stakeholders; University of Applied Sciences of Southern Switzerland: Manno, Switzerland, 2020. [Google Scholar]
- Guaita-Pradas, I.; Blasco-Ruiz, A. Analyzing Profitability and Discount Rates for Solar PV Plants. A Spanish Case. Sustainability 2020, 12, 3157. [Google Scholar] [CrossRef]
- Gholami, H.; Nils Røstvik, H. Levelised Cost of Electricity (LCOE) of Building Integrated Photovoltaics (BIPV) in Europe, Rational Feed-In Tariffs and Subsidies. Energies 2021, 14, 2531. [Google Scholar] [CrossRef]
- Lovati, M.; Salvalai, G.; Fratus, G.; Maturi, L.; Albatici, R.; Moser, D. New method for the early design of BIPV with electric storage: A case study in northern Italy. Sustain. Cities Soc. 2019, 48, 101400. [Google Scholar] [CrossRef]
- Wijeratne, W.M.P.U.; Samarasinghalage, T.I.; Yang, R.J.; Wakefield, R. Multi-objective optimisation for building integrated photovoltaics (BIPV) roof projects in early design phase. Appl. Energy 2022, 309, 118476. [Google Scholar] [CrossRef]
- Korea Electric Power Corporation. Electric Rates Calculation. Available online: https://home.kepco.co.kr/kepco/EN/F/B/ENFBPP002.do?menuCd=EN060202# (accessed on 15 January 2022).
- Korea Electric Power Corporation (KEPCO). REC Marketplace. Available online: https://onerec.kmos.kr/portal/index.do (accessed on 15 January 2022).
- Amoruso, F.M.; Sonn, M.-H.; Chu, S.; Schuetze, T. Sustainable Building Legislation and Incentives in Korea: A Case-Study-Based Comparison of Building New and Renovation. Sustainability 2021, 13, 4889. [Google Scholar] [CrossRef]
- Kim, K.N. The Effects of Depreciation Methods on Investment Motivation for Solar Photovoltaic Systems. New Renew. Energy 2020, 17, 65–75. [Google Scholar] [CrossRef]
- Nyangon, J. Seoul 1 GWp ‘Solar City’Highlighted at Mayors Forum. Available online: https://freefutures.org/free-works-with-smg-on-seoul-solar-city/ (accessed on 15 January 2022).
- Kim, K.-J. Inner-city growth management problem in Seoul: Residential rebuilding boom and planning response. In Towards Sustainable Cities; Routledge: Abingdon, UK, 2017; pp. 267–284. [Google Scholar]
- Kim, H.; Kim, S.-N. Shaping suburbia: A comparison of state-led and market-led suburbs in Seoul Metropolitan Area, South Korea. Urban Des. Int. 2016, 21, 131–150. [Google Scholar] [CrossRef]
- Um, D.-B. Exploring the operational potential of the forest-photovoltaic utilizing the simulated solar tree. Sci. Rep. 2022, 12, 12838. [Google Scholar] [CrossRef]
- Song, J.; Choi, Y. Analysis of the potential for use of floating photovoltaic systems on mine pit lakes: Case study at the Ssangyong open-pit limestone mine in Korea. Energies 2016, 9, 102. [Google Scholar] [CrossRef]
- Jo, H.; Asekova, S.; Bayat, M.A.; Ali, L.; Song, J.T.; Ha, Y.-S.; Hong, D.-H.; Lee, J.-D. Comparison of Yield and Yield Components of Several Crops Grown under Agro-Photovoltaic System in Korea. Agriculture 2022, 12, 619. [Google Scholar] [CrossRef]
- Kim, H.G.; Park, C.Y. Landslide susceptibility analysis of photovoltaic power stations in Gangwon-do, Republic of Korea. Geomat. Nat. Hazards Risk 2021, 12, 2328–2351. [Google Scholar] [CrossRef]
- Yang, H.-J.; Lim, S.-Y.; Yoo, S.-H. The Environmental Costs of Photovoltaic Power Plants in South Korea: A Choice Experiment Study. Sustainability 2017, 9, 1773. [Google Scholar] [CrossRef]
- Gokul, G.; Pradhan, S.C.; Soman, S. Dye-Sensitized Solar Cells as Potential Candidate for Indoor/Diffused Light Harvesting Applications: From BIPV to Self-powered IoTs. In Advances in Solar Energy Research; Tyagi, H., Agarwal, A.K., Chakraborty, P.R., Powar, S., Eds.; Springer: Singapore, 2019; pp. 281–316. [Google Scholar] [CrossRef]
- Kirn, B.; Topic, M. Diffuse and direct light solar spectra modeling in PV module performance rating. Sol. Energy 2017, 150, 310–316. [Google Scholar] [CrossRef]
- Jeong, U.; Kim, J.; Lee, H.; Jung, J.; Kim, Y.J.; Song, C.H.; Koo, J.-H. Estimation of the contributions of long range transported aerosol in East Asia to carbonaceous aerosol and PM concentrations in Seoul, Korea using highly time resolved measurements: A PSCF model approach. J. Environ. Monit. 2011, 13, 1905–1918. [Google Scholar] [CrossRef]
- Ha, S.-K. Housing policy and urban redevelopment in contemporary Korea. In Exporting Urban Korea? Routledge: Abingdon, UK, 2020; pp. 165–181. [Google Scholar]
- Lukens, D. Configurations of gentrification and displacement: Chronic displacement as an effect of redevelopment in Seoul, South Korea. Urban Geogr. 2021, 42, 812–832. [Google Scholar] [CrossRef]
- Hwang, H.-Y.; Byun, B. Land use control strategies around urban growth boundaries in Korea. Inst. Glob. Environ. Strateg. 2003, 4, 207–221. [Google Scholar]
- Lee, J.; Arts, J.; Vanclay, F. Stakeholder views about Land Use and Transport Integration in a rapidly-growing megacity: Social outcomes and integrated planning issues in Seoul. Sustain. Cities Soc. 2021, 67, 102759. [Google Scholar] [CrossRef]
- Chang, H.; Eom, S.; Makido, Y.; Bae, D.-H. Land use change, extreme precipitation events, and flood damage in South Korea: A spatial approach. J. Extrem. Events 2020, 7, 2150001. [Google Scholar] [CrossRef]
- Shukla, A.K.; Sudhakar, K.; Baredar, P. Recent advancement in BIPV product technologies: A review. Energy Build. 2017, 140, 188–195. [Google Scholar] [CrossRef]
- Pillai, D.S.; Shabunko, V.; Krishna, A. A comprehensive review on building integrated photovoltaic systems: Emphasis to technological advancements, outdoor testing, and predictive maintenance. Renew. Sustain. Energy Rev. 2022, 156, 111946. [Google Scholar] [CrossRef]
- Skandalos, N.; Wang, M.; Kapsalis, V.; D’Agostino, D.; Parker, D.; Bhuvad, S.S.; Udayraj; Peng, J.; Karamanis, D. Building PV integration according to regional climate conditions: BIPV regional adaptability extending Köppen-Geiger climate classification against urban and climate-related temperature increases. Renew. Sustain. Energy Rev. 2022, 169, 112950. [Google Scholar] [CrossRef]
- Choi, K.-H.; Jeon, H.-W.; Park, K.-D. A Study on the Review Method of Zero Energy Independence Rate in Building Applied with BIM-based BIPV. J. Digit. Converg. 2022, 20, 277–287. [Google Scholar]
Disclaimer/Publisher’s Note: The statements, opinions and data contained in all publications are solely those of the individual author(s) and contributor(s) and not of MDPI and/or the editor(s). MDPI and/or the editor(s) disclaim responsibility for any injury to people or property resulting from any ideas, methods, instructions or products referred to in the content. |
© 2023 by the authors. Licensee MDPI, Basel, Switzerland. This article is an open access article distributed under the terms and conditions of the Creative Commons Attribution (CC BY) license (https://creativecommons.org/licenses/by/4.0/).