Abstract
Present-day supply-side structural reform in China places an abundance of emphasis on environmental protection. In this paper, we re-measure the upstreamness of Chinese enterprises in global value chains as described by Ni Hongfu (2022). Subsequently, the impact of environmental regulations on the global value chain position of Chinese firms is studied in depth, using the cleaner production standards promulgated and implemented by the Chinese government in 2003 as a quasi-natural experiment, taking a time-varying difference-in-differences (DID) approach. The data sources employed include the Cleaner Production Standard Implementation Industry Directory, the World Input–Output Database (WIOD), the China Industrial Enterprise Database, and the China Customs Import and Export Database. This research discovered the following: First, adopting cleaner production standards significantly improves Chinese enterprises’ positions in the global value chain—a conclusion that holds up to a number of robustness tests. Second, in terms of firm size, capital intensity, ownership characteristics, and government subsidies, there exists a noticeable heterogeneity in the promotion of the adoption of cleaner production standards for the improvement of Chinese enterprises’ global value chain position. Third, the implementation of cleaner production standards stimulates the upgrading of Chinese enterprises’ global value chain position, primarily through the entry and exit impacts, product-switching effect, and innovation compensation effect. The following proposals for policy can be implemented in light of the findings of this paper: “upstream prevention” strategies in the development of future environmental protection and trade policies should be advocated; nuanced and stratified environmental policies should be meticulously constructed; a mix of policies should be employed to bolster the institutional support for green environmental regulations; the integration of environmental governance into the evaluation framework should be emphasized; the creation of an innovation-oriented environmental governance system should be expedited. In conclusion, the findings of this research provide empirical evidence on the role of environmental regulations in coordinating ecological development and strengthening the position of Chinese enterprises in global value chains, which may assist other developing nations in making the transition to a path of high-quality growth.
1. Introduction
The nature of international trade has drastically changed since the 1980s, primarily as a result of the evolving worldwide division of labor [1]. In the late 1980s, the “intra-product division of labor” system [2,3,4,5,6,7], with fragmented production at its core, replaced the traditional David Ricardo comparative advantage trade model [8], which had “inter-industry division of labor” and “intra-industry division of labor” as its key characteristics. This system was later summarized as “global value chains” [9]. The primary focus of this new global division of labor is the product, and the entire production cycle is seen as a comprehensive process of continuous value creation from nothing to something. With the aim of maximizing the use of resources, each production link can be seen as a process of adding value. Each production link is assigned to the country or region in the world that has the comparative advantage, and then the countries of the world and value creation are organically linked through the product. Nations and industries in this context attempt to participate in the global value chain’s production chain by utilizing their unique comparative advantages for the purpose of earning profits, whereas enterprises, who are the actual bearers of all production and trade activities, need to maximize profits in the manufacturing process along the global value chain [10,11,12,13,14,15]. As the most prominent developing country, China has astounded the world with its incredible rate of economic expansion. Nevertheless, throughout its decades-long growth, mostly in the processing trade, a number of environmental issues have occurred, which have hindered its high-quality development. As a result, China has long struggled with issues including being locked at the low end of the value chain, key technology necking, and being trapped at the bottom of the “smile curve”, and the above dilemma is a common problem shared by most developing countries. Studying the effects of environmental regulation on businesses’ GVC positions on behalf of China is therefore of great practical significance, as it can serve as a theoretical guide and source of policy inspiration for the majority of developing nations to achieve their objectives of industrial upgrading and optimization, upward mobility along the global value chain, and high-quality development.
China has been striving to strengthen its global competitiveness since the beginning of the 21st century, with high-quality development serving as the primary objective for the immediate and long-term future. A crucial step in China’s economic reform and upgrading is high-quality development. The progress of a country, sector, or firm along the global value chain is a significant indicator of the high-quality growth of international trade. Despite the fact that China has progressively surpassed all other countries in terms of trade since 2013, the quality standard of international trade is only slowly rising. The phrase “cheap and low quality” is frequently utilized to describe China’s exports. The trade growth strategy of depending on cheap labor and inexpensive export goods is no longer viable; hence, immediate attention should be devoted to the problem of improving the export structure. However, the issue of environmental pollution in China has gained visibility with the country’s fast economic expansion. According to the Communique on the State of China’s Ecological Environment, 180 out of China’s 337 cities at the prefecture level and above endured ambient air pollution levels that were above the standard in 2019, accounting for 53.4%, and showing that the problem of environmental pollution has grown to be a major obstacle to China’s economic and social progress. China has voluntarily agreed to “strive to peak China’s carbon dioxide emissions by 2030 and work towards achieving carbon neutrality by 2060” to promote sustainable development. However, how will tightening environmental laws impact the growth of China’s economy, and particularly its international trade? The influence and diversity of environmental regulatory restrictions on enterprises’ positions in the global value chain are examined in this paper under the present setting. In addition, this paper also examines the mechanisms of influence of the two through the intermediary effect test, in order to give policy guidance for accomplishing the “win-win” aim of environmental protection and high-quality exports in China.
The Chinese government has developed and implemented a variety of rigorous environmental laws in an effort to decrease pollution. However, as opposed to end-of-pipe treatment, these regulations are primarily centered on prevention and control. Given the interrelationship between serious environmental problems and booming international trade, an intriguing question is whether initiatives to improve the internal environment have contributed to the upgrading of China’s international trade and to the improvement of Chinese enterprises’ positions in global value chains.
With the goal of establishing a condition where trade and the environment benefit, it is crucial to resolve the aforementioned concerns on a global basis, not just for China’s growth but also for other emerging nations. Since 2000, as a direct consequence of concentrating on certain steps of the production process, several emerging nations have increased their participation in the global market [16]. International trade represents a crucial component of entering global value chains, which benefits emerging nations and fosters their economic growth. Therefore, especially in emerging nations under tremendous strain from economic growth and environmental deterioration, the development of the environment and international commerce must be coordinated. Despite the relatively well-established body of research on both the measurement of GVC location [17,18,19,20,21] and GVC climbing pathways [22,23,24,25,26,27,28,29,30,31,32,33] in the literature, a typical representative of the relationship between environmental regulation and GVC location at the firm level in developing countries has not yet been identified. For a considerable duration, China’s economic growth has occurred at the expense of the environment. This has not only burdened the ecosystem but also curtailed the nation’s long-term economic prosperity. Nevertheless, the market failures inherent in the externality of environmental degradation render a complete reliance on market mechanisms insufficient for addressing this challenge. Consequently, in the current phase of development, a pivotal question that China grapples with is how to ensure successful environmental regulation via governmental intervention and, concurrently, to secure high-quality economic growth. Moreover, in the context of intensifying international economic exchanges and labor division, an enterprise’s position in the global value chain has emerged as a critical yardstick for assessing a nation’s economic development. Given these circumstances, this research primarily aims to explore whether the environmental policies published by the Chinese government have catalyzed the ascent of enterprises up the global value chain. If so, what constitutes the principal mechanism of influence? Addressing these questions holds significant implications for propelling China’s simultaneous advancement in environmental governance and economic development. With the objective of analyzing the aforementioned subjects, this paper employs the cleaner production standards in Chinese environmental laws as an example to focus on the influence of cleaner production in environmental rules on Chinese enterprises’ positions in the global value chain. Furthermore, based on the China Industrial Enterprise Database, WIOD data, and the China Customs Import and Export Database, the time-varying DID method is used to avoid errors and measure whether the influence exists.
Compared with previous studies, the contributions of this paper may include the following: Firstly, this study enhances the computation method of the global value chain position, extending it to the enterprise level. This approach allows for a more precise assessment of a country’s high-quality economic development. Subsequently, the study investigates the impact of environmental regulation on this enhanced measure of the global value chain position. Finally, the study scrutinizes the interplay and the underlying mechanisms between these two aspects.
2. Literature Review
The existing literature deemed relevant to the subject of the current paper focuses on the long-discussed economic consequences of environmental legislation. The Porter hypothesis’s proponents contend that due to the fact that environmental regulation promotes the competitiveness of enterprises’ products through the “compensating effect” of innovation, regulation results in innovation with lower costs [34,35,36,37,38,39]. However, another group of academics has questioned the effectiveness of environmental regulation on the grounds that by limiting pollution emissions, environmental regulation raises the production and operation costs of corporations, suggesting a weakening of firm productivity and product competitiveness through the “cost effectiveness” of production [40,41,42].
Concerns regarding pollution management and trade have specifically been highlighted in the area of international economics, due to how trade and the environment interact. The pollution haven effect (PHE) and the pollution haven hypothesis (PHH) have served as the focus of academic research on this subject [43]. The former contends that stringent environmental restrictions may affect where pollution-producing companies are located and, thus, the direction of trade flows [44]. The latter, on the other hand, supports the idea that trade liberalization would have a negative impact on the environment because lower trade costs would lead pollution-intensive businesses to be redistributed from nations with strict environmental rules to nations with loose environmental controls [45]. In particular, a modest body of work aims to analyze the underlying mechanisms at the micro-firm level while emphasizing how environmental restrictions affect businesses’ export decisions, structure, sales, and competitiveness [46].
Nonetheless, studies examining the relationship between environmental legislation and companies’ GVC sites are scarce. Going further to the firm level is challenging, since the research that is now available mostly focuses on GVC location assessment at the country (macro) or product sector (meso) levels [22,47,48,49,50,51,52,53,54]; only Chor et al., (2014) offer firm-level location measurement in the literature [10]. Johnson [55] presented a thorough overview of micro- and macro-level indicators of GVC participation and length, emphasizing the need for gradual integration of the two, and focusing on the use of GVC accounting indicators in the macroeconomic, trade, environmental, and industrial sectors. The table below provides a summary of the research on the measurement of GVCs at the firm level by input–output table type and firm categorization basis, shown as Table 1.
Table 1.
Review of the literature on firm-level GVC measurement.
The existing literature expands upon global value chain (GVC) research at an enterprise level, emphasizing the traceability of added value and the examination of enterprise heterogeneity. However, when calculating GVC positions, most studies utilize single-country input–output tables for sectoral analysis, causing some information to be omitted and some loss of accuracy. The methodology for determining an enterprise’s GVC position in this paper draws from the work of Ni Hongfu et al., (2022) [74]. This calculation approach employs a global input–output model to derive the GVC position at a national industry level, which is then paired with a firm’s import and export products. By weighting the GVC position of the department to which the product belongs according to the firm’s proportion of import and export products, we can determine the position of the micro-enterprise. This method represents a novel exploration of global value chain research at the enterprise level.
Another body of literature related to this field explores the effects of environmental regulations on indicators such as export product quality and GVC position. For instance, Zhang Ming et al., (2023) [75] utilized a quasi-natural experiment—the air pollution prevention and control policy initiated by the Chinese government during the “Twelfth Five-Year Plan” period—to examine how environmental regulations influence the quality of enterprises’ export products. Huang Huiping et al., (2022) [76] used the State Environmental Protection Administration’s policy on air pollution prevention and used a natural experiment to empirically test the impacts of environmental regulations in 113 key cities on the quality of the firms’ export products, employing the matched data of the China Customs Enterprise Database and the Industrial Enterprise Database. Their findings revealed a significant role of environmental regulation in promoting the quality upgrading of firms’ export products. Sheng Pengfei et al., (2020) [77] used a panel autoregressive distributed lag model to establish a statistical test model that could simultaneously examine the long-term and short-term effects of environmental regulation on the global value chain index. Using empirical data from China’s provincial industrial departments from 2001 to 2016, they found that in the long run, strengthening environmental regulation would be conducive to the improvement of China’s industrial sector’s GVC, thereby validating the existence of the “Porter Hypothesis”. Wang Jie et al., (2019) [78] employed micro-firm data from China to explore the impact of environmental regulations on the quality of firms’ export products and the upgrading of firms’ GVCs. Their results indicated the following: first, environmental regulation significantly promotes the improvement of the quality of firms’ export products, and with the increase in product quality, the promotion effect of environmental regulation on firms’ embeddedness and division of labor in the GVC becomes more prominent. Xie Bo et al., (2018) [79], based on data released by the OECD, World Bank, and CIEs IN from 2002 to 2011, selected panel data from 45 OECD countries to study the impact of environmental regulation on the status of the service industry’s GVC. The results showed that environmental governance in middle- and high-income countries is much lower than that in low-income countries.
Despite the aforementioned literature having delved into the causal relationship between environmental regulation and indicators related to the global value chain to a certain degree, research concerning the influence of environmental regulation on the global value chain position of firms is relatively sparse. Existing studies, albeit limited in number, exhibit significant deficiencies in their choice of model and methods of measuring the global value chain position of firms.
For the purpose of thoroughly examining the impact and mechanisms of environmental regulations on the location of Chinese firms in global value chains, this paper applies the increased intensity of environmental regulations in some manufacturing industries as a backdrop, since China started implementing cleaner production standards in 2003. The minor contributions of this study to the body of literature are as follows: First, in contrast to earlier studies, the present study looks at the implementation of cleaner production standards from a fresh point of view to analyze how environmental regulations affect the positions that enterprises hold in the global value chain. This can lead to new policy recommendations for the modernization and upgrading of Chinese businesses, as well as high-quality economic growth. Second, the majority of the present study focuses on the national, regional, and industrial levels when examining the locations of GVCs. The position of Chinese businesses in the global value chain is, however, recalculated in this study by utilizing micro data from the value-added viewpoint, which may better capture the distinctive features of enterprise heterogeneity. Third, this study employs a multi-temporal double-difference method, which can successfully mitigate endogeneity bias caused by sample selectivity bias, to examine the impact of environmental regulations on firms’ global value chain location through a quasi-natural experiment of implementing cleaner production standards.
The remainder of this paper is organized as follows: The theoretical hypotheses and policy background are introduced in Section 2; the research design, model setting, data sources, and variable selection are established in Section 3; the empirical analysis, including the basic regression, parallel trend test, and robustness test, is provided in Section 4; a further analysis of firm heterogeneity and the influence mechanism is delivered in Section 5; and the conclusions and policy recommendations are presented in Section 6.
3. Policy Background, Theoretical Analysis, and Theoretical Hypothesis
3.1. Policy Background
The majority of China’s initial environmental regulations, including those for water pollution control, air pollution control, and two control-zone laws, were end-of-pipe treatments [42]. End-of-pipe treatment, however, leads to decreased resource utilization and greater pollution costs while barely controlling pollution. Therefore, environmental policies are gradually shifting towards prevention and control.
The concept of cleaner manufacturing was first explicitly introduced in the form of an official government document by the Chinese State Council’s formulation and promulgation of the “Ten Measures for Environment and Development” in August 1992. Since then, China has witnessed plenty of speculation regarding cleaner production. The “Cleaner Production Promotion Law of the People’s Republic of China” was reviewed and accepted by the Standing Committee of the National People’s Congress in June 2002, which was legally put into effect in January 2003, putting China’s cleaner production activity on the legal rails. The Chinese Ministry of Ecology and Environment established the Cleaner Production Standard in 2003 in accordance with the Cleaner Production Promotion Law, with the goal of encouraging the growth of industry in a clean, low-carbon, circular, and sustainable manner. Numerous tactics for lowering pollution, improving resource efficiency, and enhancing industrial processes are included in the standard. While additionally offering the potential to increase production efficiency and product quality, its primary goal is to minimize environmental pollution in the manufacturing processes. The first industries to be prioritized for fulfilling the criteria were leather, petroleum refining, and coking. The Interim Measures for Cleaner Production Audits were jointly promulgated by the National Development and Reform Commission (NDRC) and the Ministry of Environmental Protection (MEP) in August 2004. They were formally implemented in October of the same year, thereby establishing the foundation for China’s cleaner production audit system. The Ministry of Environmental Protection has since established a series of successive cleaner manufacturing standards, spanning several industries, from 2006 to 2010.
3.2. Identification of Target Industries and Companies
For the objective of identifying the industries that apply cleaner manufacturing standards, the operation of this paper is as follows: The directory of industries implementing cleaner production standards, published by the Ministry of Ecology and Environment, was matched with the industry codes provided by the database of Chinese industrial enterprises in accordance with the National Economic Classification of Industries published by the National Bureau of Statistics in 2002. For industries that could not be determined by industry codes through the National Economic Classification of Industries, we used the methodology of Long et al. [80] to confirm and match the proper industry codes with the primary business information of the enterprises supplied in the database of industrial enterprises (see Appendix A for the industry directory). Appendix A shows that at the end of 2011, the Ministry of Environmental Protection had released 56 criteria for cleaner manufacturing in industry. We categorized the businesses in the sample with perfect matching as regulated enterprises, and the remainder as non-regulated ones.
3.3. Theoretical Assumptions
3.3.1. Innovation Compensation Effect
In accordance with the conventional framework for economic analysis, it is commonly accepted that environmental laws would render businesses less competitive by increasing their short-term production and operating expenses. Environmental regulation policies will undoubtedly cause businesses to incur greater regulatory and compliance costs, i.e., they will lessen businesses’ ability to compete globally due to “cost effects”, even though the government can internalize external environmental costs effectively in this manner [81], which ultimately undermines a company’s standing in the global value chain. However, from a long-term dynamic perspective, the strengthening of environmental regulations will likely exert an advantageous impact on innovation within companies. The “Porter hypothesis” contends that effective environmental regulation can foster business innovation. On the one hand, environmental regulation may put pressure on businesses from the outside by enforcing environmental constraints that make them hasten innovation. When the cleaner production standard becomes higher, enterprises can capitalize on the innovation compensation effect by independently innovating, boosting firm productivity, or fostering green technology R&D if the marginal cost of technological innovation falls lower than that of cleaner production [82]. On the other hand, environmental regulation might reduce the uncertainty of business innovation and direct it toward issues including superior technology and cleaner production. Thus, it encourages the effective utilization of corporate innovation resources, considerably cuts the cost of enterprise exploration, inspires enterprise creativity, and promotes enterprise efficiency and competitiveness by means of innovation [83]. In light of the above, the environmental regulation of cleaner manufacturing could boost the firm’s position in the global value chain and offset the ensuing “cost effect” through the “innovation compensation effect”. As a result, Hypothesis 1 is put forward in this paper:
Hypothesis 1 (H1).
The “innovation compensation effect” will cause environmental legislation to exert an influence on the positions of businesses throughout the global value chain.
3.3.2. Product Conversion Effect
When businesses pick alternative product combinations in response to environmental laws, they incur varying costs of environmental contamination. Firms might choose to modify their production behavior and participate in intra-firm resource reallocation activities in response to the simultaneous effects of environmental regulatory cost limitations and their motivation to maximize benefits [84]. As environmental regulations grow increasingly stringent, enterprises may stop producing their original environmentally damaging products in order to avoid paying the associated costs, and then switch to the manufacturing of clean and environmentally friendly commodities to enhance the diversity of clean products exported and boost international competitiveness [85]. Companies will adopt environmentally friendly factor inputs and modify their product mix behavior at the input level in response to restricted environmental regulation standards [86]. The cost of environmental regulation will change for enterprises picking alternative product combinations due to corporate heterogeneity [87]. In other words, through internal product reallocation operations, businesses might fairly avoid some of the manufacturing and operational expenses of environmental necessities. While Li et al. [88] discovered that product reconfiguration activities within businesses exhibit a strong correlation with product competitiveness, product-switching behavior can be beneficial for supporting the improvement of product competitiveness. The “product switching effect” is expected to boost an enterprise’s export competitiveness as a result of environmental legislation, which will further elevate the enterprise’s position in the global value chain. Accordingly, Hypothesis 2 is proposed in this paper:
Hypothesis 2 (H2).
The “product switching effect” will result in environmental restrictions to exert an influence on the positions of businesses throughout the global value chain.
3.3.3. Entry and Exit Effects of Enterprises
In addition to strict environmental regulations, there also exists fierce rivalry among businesses in the same sector, which frequently manifests in how enterprises enter and quit the market [89]. On the one hand, inefficient and environmentally destructive businesses will inevitably exit the market as a result of their incapacity to absorb the high cost of environmental pollution in the face of stringent environmental regulations. The introduction of environmental regulations, on the other hand, will undoubtedly increase the sunk costs for potential market entrants; thus, environmental obstacles strengthen the hurdles to entry for new enterprises. In other words, only firms that are technologically sophisticated and adhere to environmental standards can thrive in the market under the restrictions of environmental legislation, and these companies are typically unlikely to depart the market in the near future. Additionally, incumbent businesses anticipate higher profits as a result of the entry and exit of businesses, which, in turn, increases production efficiency by changing investment choices and promotes the competitiveness of their products and services [90]. The industry as a whole is continually being “refined” in terms of the entry and departure behavior of firms, as a result of the industry-wide steady increase in the strength of environmental laws. As a result, the entire industry will change and advance, with the “evolution” of the sector referring to the improvement of the current businesses’ positions in the global value chain. Environmental legislation will therefore trigger businesses’ spontaneous entry–exit behavior, which will strengthen their GVC position due to the “entry-exit effect”. As a result, Hypothesis 3 is put forward in this paper:
Hypothesis 3 (H3).
The “entry-exit effect” of environmental regulations will affect the positions of businesses in the global value chain.
4. Research Design
4.1. Model Specification
Commencing in 2003, China initiated the enactment of cleaner production standards within select industries, signaling a significant transition in their environmental regulatory tactics, transitioning from an “end-of-pipe control” methodology to a more dynamic “process control”. In relation to the two aforementioned points, combining the methods of Orley et al., (1985) [91], Zhang Ming et al., (2023) [75], and Huang Huiping et al., (2022) [76], this investigation utilizes the time-varying difference-in-differences (DID) approach to conduct an empirical study of the impact of environmental regulations on the position of firms in global value chains. An illustration of the DID method is shown in Figure 1.
Figure 1.
Hypothesis based on mediating effect.
The primary rationale for the model chosen in this paper lies in the fact that the parameters indicative of cleaner production standards are not readily quantifiable or precise, thereby posing a challenge to accurately representing environmental regulations. Furthermore, the introduction of cleaner production standards coincides with various other policy and exogenous elements that could potentially obscure the precise delineation of regulatory effectiveness. However, as an environmental policy, the Ministry of Environmental Protection (MEP) provides a “quasi-natural experiment” research opportunity for environmental regulations and the position of firms in global value chains. Additionally, the estimation strategy of DID used in this paper has significant advantages in identifying the above causal effects. Firstly, the DID estimator has the advantage of differencing out pre-existing variation in firms affected by the MEP and in the control group, thereby reducing selection bias, while also controlling for potentially confounding factors. Second, the inclusion of two fixed effects (i.e., the year and the individual) allows us to control the treatment effect over time or the heterogeneity of enterprises that are not related to other control variables and cannot be measured, shown in Figure 2.
Figure 2.
Difference-in-difference illustration.
However, the timeframe for the enforcement of cleaner production regulations spans multiple periods, as the Ministry of Environmental Protection (MEP) issued amendments to the regulations annually from 2003 to 2010. Given this temporal variability, the present study utilizes a time-varying DID method, as proposed by Lu [92], wherein companies within pilot industries are designated as the treatment group, while those outside of these industries serve as the control group. The implementation of cleaner production standards is viewed as a “quasi-natural experiment”. The corresponding regression framework is delineated in Equation (1):
The indices “i” and “t” represent firms and years, while “positiongvc” signifies the position of firms in global value chains. The core explanatory variable is DIDit, which is assigned a value of 1 if cleaner production standards have been implemented within the industry where firm “i” is located during year “t”; otherwise, it is assigned a value of 0. It is important to note that DIDit is attributed a value of 0 in the current year for industries that have adopted these standards before June of the same year, and it is assigned a value of 1 in and after the current year for industries that have enforced these standards after June of the current year and prior to June of the following year. signifies a collection of additional control variables, and symbolize the firm and year fixed effects, respectively, while is the random error term. Furthermore, in an effort to alleviate issues related to intragroup correlation, the standard errors of the regression outcomes are adjusted and clustered at the industry’s four-digit code level within this study.
4.2. Variables
4.2.1. Dependent Variable
The main explanatory variable within this research is the position of firms in global value chains. As the production process becomes increasingly decentralized and fragmented, the task and functional division on a global scale results in varied positions for different countries within the global value chain, which can be assessed through upstream and downstream degrees. Specifically, the upstream degree corresponds to the distance from the final demand, whereas the downstream degree reflects the number of production stages in products and services. If a larger share of the output from a particular product sector is allocated to upstream product sectors, it can be interpreted that this sector is positioned relatively upstream in the global value chain. Consequently, an appropriate upstream degree can be determined by constructing a linear equation.
We first constructed a value-added trade accounting coefficient matrix [74]. Table 2 is a simplified global input–output table for two sectors per country in three countries, which can be extended to a multi-country, multisector, global input–output modeling framework.
Table 2.
Global input–output table for two sectors per country in three countries.
Based on the global input–output model framework, the global input–output model for two sectors per country in three countries can be expressed as follows:
where A is the matrix of direct consumption coefficients, X is the total output column vector, and Y is the final demand column vector. The element in A denotes the value of direct consumption of product i in country g by the total output per unit of production in product sector j in country h. Simple matrix operations lead to the following expression:
In this model, is often referred to as the (global) Leontief inverse matrix. Further, we define the value-added rate coefficient as follows:
where is the value added (additional value) of sector i in country g. The value-added rate coefficients constitute the column vector V. Hence, the matrix for value-added trade calculation coefficients can be represented as follows:
where signifies the diagonalized matrix of the value-added rate (additional value rate) of each sector in each country. The elements of the matrix (the matrix for value-added trade calculation coefficients) represent the direct and indirect value added from sector i in country g in the production of one unit of final product value in sector j in country h.
Within Equation (5), row-wise, it signifies the value added from the corresponding sector for the production of one unit of final product by all other sectors. Column-wise, it represents the contribution rate of value added by all other sectors to the production of one unit of final product value in the corresponding sector, where the column total equals one:
Drawing on the method and thoughts on the average value-added delivery length [25], we redefined and elaborated on the upstream and downstream indices of the national product sectors, considering that the production stage of the initial value-added creation phase is 1. This makes the definitions of upstream and downstream levels for sectors in this study consistent with those defined by previous researchers [20].
From the perspective of global value chain position, a longer distance for value added from product sector 1 in country C to reach the final demand of product sector 2 in country U indicates that product sector C1 is in the upper part of the global value chain compared to product sector U2. This is similar to the method derived by Ni Hongfu [25], but we consider that the initial value-added creation of a sector has already undergone one phase (step length) and has gone through two phases when serving as an intermediate input in the production of another sector’s products. Thus, the generalized average value-added transmission step length of transferring one unit of value added from C1 to U2 is
The generalized average value-added transmission step length mentioned above is defined from product sector to product sector (point-to-point). In reality, it can also be derived from product sector to product sector group (point-to-surface), product sector group to product sector (surface-to-point), or product sector group to product sector group (surface-to-surface). This allows us to ascertain a general situation of multiple countries and multiple sectors.
In this expression, E is a column vector consisting of 0 and 1, where the selected value-added source sector is taken as 1; otherwise, it is assigned as 0. Y is the final demand sector group column vector, assuming all element sums are standardized to 1. Thus, when taking E = (1 0 0 0 0 0)T and Y = (1 0 0 0 0 0)T, the generalized average value-added transmission step length from point (C1) to point (U2) can be obtained. When E and Y take special values, the definition of generalized average value-added transmission step length by Equation (8) is the same as many other measures, such as APL, upstreamness, and downstreamness, in various other research. The definition of the generalized average value-added transmission step length provides a unified logical framework for the measurement of location. We can express it as follows:
In this context, Ui refers to the upstream under the framework of the global input–output model, as expanded upon by Antràs [51]. The generalized average value-added transmission step length defined by the face-to-point method can be derived, for example, when taking E = (1 1 1 1 1 1)T, where Y(i) represents the i-th component as 1, and all other components as a column vector of 0, through the following expression:
where Di refers to the downstream of product sector i. For instance, when taking Y(1)T = (1 0 0 0 0 0)T, we can obtain the downstream of product sector C1. It is straightforward to verify that the generalized average value-added transmission step length defined by the face-to-point method is consistent with the number of production stages (downstream) and the backward production length, as described by Wang et al. [22]. In sum, the method of defining the generalized average value-added transmission step length provides a unified logical framework for the measurement of position.
On this basis, a similar decomposition can be performed for firms’ locations on global value chains, which is gauged by extending the method of the average transmission step of generalized value added for assessing the upstream degree of firm exports as per NI [69]. That is, in accordance with the harmonized alignment between HS product classification supplied by the China Customs Import and Export Database and product sectors in the World Input–Output Table (WIOT), the imports and exports of enterprises are ascribed to the corresponding national product sectors within the WIOT and measured through a specific formula:
where is the total export of a firm “f” within period “t”, while is the sum of exports of products pertaining to product sector “i”. We can measure the upstream degree of the product sector of the firm’s exports by weighting it with the ratio of the firm’s varied export products to the firm’s total exports. Modifications in a firm’s upstream degree generally result from alterations in the upstream degree of the product sector of the corporation’s exports and changes in the composition of the firm’s exports. A higher upstream degree implies that the exported products are more oriented towards intermediate inputs.
4.2.2. Independent Variables
The key explanatory variable within this research is the cleaner production standard (DIDit), which can be expressed as DIDit = Policyi × Postt. Here, Policyi distinguishes between the treatment and control groups, and it is allocated a value of 1 (treatment group) when the cleaner production standard is enforced in the industry where the firm is situated during the sample period, and 0 (control group) otherwise. Postt differentiates between the periods prior to and after the policy implementation; it is assigned a value of 1 for all subsequent years after the cleaner production standard has been implemented in an industry, and 0 otherwise.
4.2.3. Mediating Variables
Innovation level (innovation): This is measured using the natural logarithm of the total number of patent applications in the year + 1. This metric was chosen due to the high amount of missing data in the Chinese industrial enterprise database for measuring corporate innovation investment, and because the number of patent applications can accurately reflect a corporation’s current innovation level.
Product transformation (transformation): The absolute value of the number of products exported in the current year minus the number of products in the previous year + 1, taken as the natural logarithm, serves as a measure for product transformation. Optimal resource allocation can be achieved by corporations by introducing new products, discontinuing existing products, or even transforming core products.
Entry and exit (exit × year): The interaction term between the dummy variable of a corporation’s exit from the export market and the dummy variable of the current year is utilized in this study. When faced with environmental regulation, enterprises that cannot adapt to the cost of environmental regulation will be expelled from the industry, enhancing the surviving corporations’ potential to occupy a higher position in the global value chain.
4.2.4. Control Variables
Referring to the study of Cheng [93], we selected the following control variables and provide summary statistics shown in Table 3: corporate total factor productivity (tfp), determined via the LP technique; corporate ownership categorization (soe), symbolized by a binary variable for state-owned firms; corporate dimensions (size), gauged by the logarithm of the yearly average workforce size; governmental subsidization (subsidy), gauged by the proportion of subsidies to the total sales revenue; firm age (age), computed by the difference between the current year and the year of establishment plus one; financial constraint (finance), gauged by the liquidity of the firm, (current assets—current liabilities)/total firm assets; capital intensity (capital), gauged by the ratio of total fixed assets, computed by the natural logarithm of the ratio of total fixed assets to the number of employees; and industrial competitiveness (hhi), utilizing the Herfindahl index calculated at the CIC four-digit industry level to reflect the degree of competition in the firm’s industry.
Table 3.
Definition and data sources of variables and summary statistics.
5. Main Results
5.1. Baseline Analysis
Table 4 reports the outcomes of the baseline regressions assessing the effects of environmental regulations for cleaner production on the firms’ location in the global value chain, displaying significant positive coefficients of DID at the 1% statistical level across the board. Column (1) exhibits regression outcomes without incorporating any control variables, while columns (2) and (3) sequentially integrate firm-level and industry-level control variables to the regressions. These outcomes underline the significantly positive coefficients of DID at the 1% statistical level, implying the significant contribution of environmental regulations for cleaner production standards to a firm’s position in the global value chain, when holding other factors constant. According to the results in column (3), the average treatment effect of environmental regulations for cleaner production standards on firms’ position in the global value chain is 15.2%.
Table 4.
The baseline modeling results.
5.2. Parallel Trend Test
A key prerequisite for deploying the DID model is the requirement for the treatment and control groups to satisfy the “parallel trend” hypothesis. For time-varying DID models, regressions can be conducted by using the event study method with the inclusion of interaction terms for the treatment group and year dummy variables. Since the environmental regulations for cleaner production standards studied in this paper are a multi-temporal policy shock with multiple treatment and control groups, the event study method was used for checking parallel trends, and the model was as follows:
where is a series of dummy variables. takes the value of 1 when the time is q years before the implementation of cleaner production standards in the industry in which the enterprise is located; takes the value of 1 when the time is q years after the implementation of cleaner production standards in the industry in which the enterprise is located; otherwise, takes the value of 0. In this model, we take the year when the cleaner production standard was implemented as the reference group, and the significance of the coefficients in the regression results can reflect whether there is a significant difference in the trend of the global value chain position between the treatment group and the control group in the year q before and after the cleaner production standard was implemented.
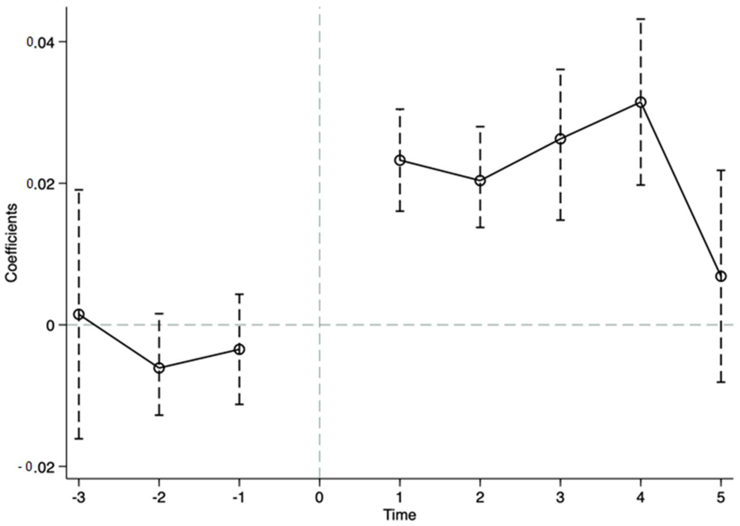
To provide a clear visualization of the statistical findings, the trajectory of coefficient is depicted in the Figure 3. The findings reveal that prior to the enforcement of cleaner production standards in the sectors where these firms operate, none of the coefficients of appeared to be statistically significant. This implies that there was no notable divergence in the positions of the companies within the global value chain between the treatment and control groups prior to the policy revision, thereby validating the assumption of parallel trends. After the four-year period following the implementation of cleaner production standards in the respective sectors, the global value chain standing of companies that adopted these standards was markedly higher than that of those who did not enhance their standards. This suggests that there is no temporal delay in the effect of implementing cleaner production standards on a company’s position within the global value chain, and that this effect persists for a duration of four years.
Figure 3.
Parallel trend test.
5.3. Robustness Tests
5.3.1. Alternative Measurement of Firms’ Position in Global Value Chains
This study utilizes the methodology introduced by Chor et al. [10], which employs the downstream degree of a firm’s imports as a measure of the firm’s position in the global value chain. However, the upstream degrees calculated by this method are based solely on single-country input–output tables; as such, they fail to differentiate between countries. In other words, the upstream degree of products imported from overseas is considered to be equivalent to the upstream degree of products manufactured domestically in China. It is apparent, however, that products from the same sector but from different countries occupy distinct positions within the global production network system. For instance, the downstream degree of products from China’s electronics industry differs from that of the electronics industry in the United States. Hence, the approach of Chor et al. [10] is inadequate.
This paper instead aligns with the method proposed by Ni [69], using the downstream degree indicator of imported products as the defining measure, and distinguishing differences according to the country of product origin. The adjusted measurement formula is as follows:
where represents the total import value of firm f in period t, denotes the value of products imported by the firm from product sector i in country r, is the import downstream degree of firm f, and is the downstream degree of product sector i in country r within the context of the global input–output model. A larger value of suggests that the firms’ imported products are more likely to be in downstream positions. This implies that the firm’s imported products are further from the initial value-creation end of all product sectors. If we consider the number of production stages, it means that the more stages an enterprise’s imported product goes through, the greater the production complexity of the imported product. Conversely, if the downstream degree of imported products is higher, the imported products are closer to the final demand side, which may reflect that the enterprise is more engaged in processing and assembly operations.
Column (1) in Table 5 shows the regression results using the adjusted firm import downstreamness as the explanatory variable. The results reveal that the coefficient of the firm’s location in global value chain, as measured by firm import downstreamness, is significantly positive at the 1% statistical level. This is consistent with the results of the benchmark regression in the previous section, thereby attesting to the robustness of our findings.
Table 5.
Results of robustness tests.
5.3.2. Adjusting Identification of Policy Year
In the preceding segment, the year of policy implementation was primarily identified based on the specific year in which the industry where the firm operates initiated the cleaner production standards. In this robustness test, we further refined the policy year identification. For instance, for industries that began implementing cleaner production standards in October 2006, the preceding year (2005) was assigned a value of 0, the following year (2007) a value of 1, and 2006 itself a value of 1/4 (considering that the industry implemented cleaner production standards for 3 months in 2006). The same methodology was utilized to identify the policy implementation years in other industries. The results demonstrate that in column (2) of Table 5, the DID coefficient remains significantly positive and the core findings do not materially change.
5.3.3. Alternative Measurement of the Cleaner Production Evaluation Index System
This study also includes the cleaner production evaluation index system, released by the National Development and Reform Commission and the Ministry of Industry and Information Technology, for robustness testing. The cleaner production evaluation index system, used to assess the cleaner production levels of industrial enterprises, functions similarly to the directory of industries implementing cleaner production standards. Since 2005, relevant state departments have issued 30 cleaner production evaluation index systems for industrial sectors. Column (3) of Table 5 presents the regression results of the DID method obtained using the cleaner production evaluation index system. The coefficient of the primary explanatory variable, DID, is significantly positive, indicating that environmental regulatory policies bolster the firms’ position in global value chains, and confirming the robustness of this paper’s conclusions.
5.3.4. Placebo Test
This paper considers 6120 enterprise samples that implemented cleaner production standards. To conduct the placebo test, 6120 samples were randomly selected from the sample as the treatment group, and the remaining samples served as the control group to test the effects of implementing cleaner production standards on the global value chain position of enterprises. To enhance the validity of the placebo test, this procedure was repeated 500 times, with the results collated and presented in column (4) of Table 5. The estimated coefficients of the core explanatory variable, DID, align with those in the benchmark regression, suggesting that the shift in the firm’s GVC position was not induced by the implementation of cleaner production standards. Therefore, it can be reasonably inferred, with a 99% confidence level, that our results are not randomly generated, and that the core findings of this study remain robust.
6. Further Analysis
6.1. Heterogeneity Analysis
This study explores the influence of environmental regulatory policies—specifically, cleaner production standards—on diverse business types across four dimensions: firm size, capital intensity, ownership characteristics, and governmental subsidies.
6.1.1. Firm Size Heterogeneity
As firms apply cleaner production standards as an environmental regulation policy, they must bear compliance costs associated with machinery, personnel, and production materials that are integrally linked to the regulation. Larger firms can mitigate these costs through means such as facility sharing [56], consequently reducing the average production cost increase. This paper gauges firm size by employing the logarithm of a firm’s fixed assets, segregating the total sample into above-mean and below-mean samples. The findings are depicted in columns (1) and (2) of Table 6 revealing a significantly positive DID coefficient in the above-average firm size sample. However, the DID coefficient is insignificant in the below-average firm size sample, suggesting that environmental regulations may particularly benefit larger firms, enabling them to attain superior positions in the global value chain. This may achieve high-quality development through the scale effect and the radiation of large enterprises to the surrounding area, but if the government does not intervene properly with SMEs, it may be detrimental to their survival and long-term development This is also consistent with our proposed Hypothesis 3: that environmental regulations may crowd out the firms that cannot afford pollution treatment.
Table 6.
Results of heterogeneity analysis (I).
6.1.2. Capital Intensity Heterogeneity
Firms with higher capital intensity are typically more driven to engage in R&D innovation activities. The internal product-switching behavior of these firms could be perceived as a form of “disruptive innovation”. Therefore, the adverse impact of implementing cleaner production standards on the R&D innovation of such firms may be minimal while enhancing the product-switching rate within these firms. In this study, the firm sample was divided into two categories—capital-intensive and labor-intensive—and the effect of implementing cleaner production standards on the global value chain positions of firms in these two categories was examined. The results, reported in columns (3) and (4) of Table 6, demonstrate significantly positive DID coefficients in the capital-intensive firm sample, but the coefficients are positive yet not significant in the labor-intensive firm sample. This implies that environmental regulations may favor capital-intensive firms in terms of their global value chain position. This can be explained by the fact that capital-intensive firms have shorter production chains, are less affected by production costs, and are therefore better able to capture global value chain positions while being subject to environmental regulations.
6.1.3. Ownership Attributes Heterogeneity
State-owned enterprises are subject to relatively stringent environmental regulations due to their substantial responsibilities towards energy conservation and emission reduction. In contrast, foreign and private enterprises, with more flexibility in their location selection and investment, may be less impacted by environmental regulations. The firm sample was segmented into state-owned, foreign-owned, and private enterprises. The effects of implementing cleaner production standards on the global value chain location for each category were examined, and the results are presented in columns (1) to (3) of Table 7. The findings reveal that implementing cleaner production standards significantly improves the global value chain position of state-owned enterprises, while the effect on foreign and private enterprises is not substantial. A possible explanation for this is that state-owned enterprises (SOEs) have easier access to government subsidies, while foreign and private firms are more restricted in their operations and, therefore, have an advantage when measuring the climb in the global value chain position.
Table 7.
Results of heterogeneity analysis (II).
6.1.4. Government Subsidies Heterogeneity
Given that implementing cleaner production standards may negatively affect firms’ production costs, governments may offer subsidies to enterprises to counterbalance the detrimental effects of environmental regulations. Consequently, the comprehensive firm sample was divided into three categories (non-subsidized, below-mean subsidy, and above-mean subsidy), and the results are shown in columns (4) to (6) of Table 7. Cleaner production standards significantly enhanced the global value chain position of firms receiving below-mean subsidies, while the effect on the global value chain position of non-subsidized firms was not significant. Intriguingly, the coefficient of DID was positive but not significant in the sample of firms receiving above-average subsidies. These findings suggest that moderate subsidies contribute to these results, whereas excessive subsidies may induce policy path dependency, distort production and operational costs, and hinder improvements in firms’ position in global value chains.
6.2. Mechanism Analysis
This study sought to verify the validity of three proposed influence mechanisms by implementing a mediating effect model, wherein three mediating variables are introduced: innovation intensity (innovation), product transformation rate (transformation), and a variable denoting firm exit multiplied by year (exit × year). The innovation intensity is determined by the ratio of the value of new product output to sales revenue, with the lagged one-period term of innovation intensity serving as the final mediating variable, given that product innovation necessitates R&D time. The product transformation rate is measured by the ratio of the number of product types exported in the current year to the number of products exported in the preceding year. Lastly, the variable denoting firm exit and year is ascertained by the interaction term between the dummy variable for the firm’s exit from the export market and the dummy variable for the current year.
The regression results of the mediating effects test are reported in Table 8 Column (1) displays the results of the basic regression, while column (2) tests the innovation compensation mechanism. The estimated DID coefficient is 0.0243, significant at the 1% level, suggesting that cleaner production standards significantly enhance firms’ position in global value chains by encouraging firms to innovate and upgrade their equipment. Column (3) reveals the impact of cleaner production standards on the product transformation rate, with a significantly positive estimated coefficient, implying that cleaner production standards enhance internal allocation through the “cost effect”, increasing the compliance of products with environmental regulations and, thus, significantly boosting the product transformation rate of firms and advancing their position in the global value chain. Column (4) displays the effect of environmental regulations on firm exit, with a significantly positive DID coefficient, indicating that the “cost effect” of environmental regulations indeed augments the likelihood of market exit. The coefficients of innovation, transformation, and exit × year are positive, positive, and negative, respectively, signifying that the acceleration of R&D innovation and internal product-switching behavior enhances the firms’ GVC position, while the GVC position of firms that exit the market in the given year is lower than that of surviving firms. Therefore, cleaner production standards boost the GVC position by fostering enterprise innovation, product transformation, and market exit mechanisms.
Table 8.
Results of the mechanism test.
7. Conclusions and Policy Implications
7.1. Conclusions
This study was based on an improved measure of firms’ position in GVCs and employed a time-varying DID method to explore the effect of cleaner production environmental regulations on the global value chain positions of Chinese firms, considering the cleaner production standards that were rigorously implemented by China’s Ministry of Ecology and Environment starting in 2003 as a case study. The principal conclusions drawn are as follows: Initially, cleaner production standards significantly augment the GVC positions of firms, and this positive impact exhibits a high degree of robustness. This finding fills a gap, as no scholars had previously studied the impact of environmental regulations on the location of firms in global value chains. Meanwhile, earlier research has investigated the effects of environmental regulations on the quality of firms’ exports. The findings of this study align with those prior works, underscoring the pivotal role of environmental regulations in fostering an economy’s shift towards high-quality development. Secondly, the analysis of heterogeneity reveals that factors such as firm size, capital intensity, ownership characteristics, and government subsidies play critical roles in explaining the divergent effects of cleaner production. Finally, cleaner production standards primarily enhance firms’ GVC positions through mechanisms such as the innovation compensation effect, the product-switching effect, and the market entry–exit effect.
7.2. Policy Implications
Based on the aforementioned findings, this paper proposes the following policy recommendations:
Firstly, a gradual increase in the adoption of “upstream prevention” strategies in the development of future environmental protection and trade policies is advocated. As evidenced in this study, environmental regulations for cleaner production foster the elevation of Chinese firms within the global value chain and enhance the efficiency of resource allocation. Consequently, progressively fortifying the enforcement of such environmental regulations will be advantageous for optimizing business competitiveness, expediting the transition to green practices, and promoting further ascension of Chinese enterprises in global value chains.
Secondly, nuanced and stratified environmental policies should be meticulously constructed in response to the heterogeneity of businesses, industries, and regions. The inherent diversity of enterprises is a crucial factor causing the differential impacts of cleaner production standards. Numerous studies have proposed and substantiated that a balanced combination of environmental regulations constitutes an essential component in determining a firm’s innovation capacity and environmental performance. Hence, the government should enhance the variety and efficacy of regulatory instruments, such as directive regulations like cleaner production and pollution emission permits, and market-oriented policies like emissions trading, green tax exemptions, and environmental subsidies, to amplify the synergistic effects on the green transformation and elevation of Chinese firms within global value chains.
Thirdly, assuming a market-driven approach, the government should also employ a mix of policies to bolster the institutional support for green environmental regulations, including production subsidies, financial backing, and protection of intellectual property rights. Environmental regulations for cleaner production primarily boost the standing of Chinese firms in the global value chain through resource reallocation. Therefore, future environmental policy should transform from a static “stimulus-response” approach to a dynamic “green transformation—autonomous innovation—efficiency enhancement” process to attain a mutual benefit for both businesses and the environment, which will facilitate the achievement of a positive interplay between green development and economic growth.
Fourthly, as China strives to shift its economic growth paradigm and foster high-quality economic development, the integration of environmental governance into the evaluation framework for development effectiveness is critical. Moreover, active exploration of a balanced management system that accounts for the bidirectional interaction between economic growth and environmental quality is needed. In conjunction with moderately amplifying the intensity of environmental regulation, the deepening reform of vertical management in environmental protection is not just an essential requirement for the enactment of the new development concept, but also a pivotal measure for executing a high-quality development strategy. Local governments should proactively bolster environmental pollution control to safeguard the fairness and efficacy of environmental regulatory policies. Concurrently, the scope of the government appraisal system should be broadened, incorporating high-quality development indicators such as environmental protection and innovation efficiency into the governmental assessment mechanism, and elevating their evaluation weight. Such a transition from extensive development competition to high-quality development competition is integral to truly actualizing a dual enhancement of ecological governance and economic growth.
Fifthly, governments should expedite the creation of an innovation-oriented environmental governance system and consistently enhance green technological innovation capabilities. Technological advancement plays a crucial role in the process of environmental regulations enhancing the quality of economic development, necessitating a further consolidation of corporate technology during future developmental stages. The primacy of innovation should be affirmed, and fiscal and taxation policies that foster green technological innovation should be ameliorated to invigorate the autonomous innovative dynamism of enterprises. Of course, the decisive function of the market in selecting technological research and development trajectories and allocating innovative resources should be fully utilized to compensate for potential deficiencies in local governments’ environmental governance. Simultaneously, the macro-regulatory role of the government should be fully enacted to effectively rectify market failures such as innovation externalities, thereby enhancing the allocation efficiency of environmental and innovative resources, capitalizing on the technological advancement effect of environmental regulations, and stimulating high-quality economic development.
Finally, when designing policies, local governments should also give substantial attention to fluctuations in the macroeconomic environment brought about by economic cycles, ensure the smooth execution of institutional policy arrangements, and foster a stable long-term innovative environment. This approach will progressively advance high-quality economic development strategies.
Author Contributions
Conceptualization, J.H.; methodology, J.H.; software, J.H.; formal analysis, J.H. and Y.Z. (Yuan Zhong); writing—original draft, J.H., Y.Z. (Yuan Zhong), and Y.Z. (Yabin Zhang); writing—review and editing, J.H., Y.Z. (Yuan Zhong), and Y.Z (Yabin Zhang). All authors have read and agreed to the published version of the manuscript.
Funding
This work was supported by the Major Program of the National Fund of Philosophy and Social Science of China (grant number 18ZDA068), the National Natural Science Foundation of China (grant number 72203058), the Project of Philosophy and Social Science in Hunan Province (grant number 22JD009), the Natural Science Foundation in Hunan Province (grant number 2021JJ30156), and a project funded by the China Postdoctoral Science Foundation (2021M701164, 2022T150204). The responsibility for any error rests solely with the authors.
Institutional Review Board Statement
Not applicable.
Informed Consent Statement
Not applicable.
Data Availability Statement
The datasets used and/or analyzed during the present study are available from the corresponding author upon reasonable request.
Conflicts of Interest
The authors declare no conflict of interest.
Appendix A
Table A1.
Industries implementing cleaner production standards.
Table A1.
Industries implementing cleaner production standards.
| No. | Industry Names | Industry Codes | Implementation Time |
|---|---|---|---|
| 1 | Tanning industry (Pig leather) | 1910 | 1 June 2003 |
| 2 | Petroleum refining industry | 2511 | 1 June 2003 |
| 3 | Coking industry | 2520 | 1 June 2003 |
| 4 | Edible vegetable oil industry (soybean oil and soybean cakes) | 1331 | 1 October 2006 |
| 5 | Cane sugar manufacturing industry | 1340 | 1 October 2006 |
| 6 | Beer sugar manufacturing industry | 1522 | 1 October 2006 |
| 7 | Textile industry (dyeing and finishing of cotton) | 1712 | 1 October 2006 |
| 8 | Basic chemical raw material industry ( ethylene oxide and ethylene glycol) | 2612, 2653 | 1 October 2006 |
| 9 | Nitrogenous fertilizer industry | 2621 | 1 October 2006 |
| 10 | Aluminum electrolytic industry | 3316 | 1 October 2006 |
| 11 | Iron and steel industry | 3210, 3220, 3230 | 1 October 2006 |
| 12 | Iron ore mining and mineral processing industry | 0810 | 1 December 2006 |
| 13 | Automobile manufacturing (painting) | 3460 | 1 December 2006 |
| 14 | Dairy product manufacture (pure milk and whole-milk powder) | 1440 | 1 February 2007 |
| 15 | Wood-based panel industry (medium-density fiberboard) | 2022 | 1 February 2007 |
| 16 | Processing of bleached alkali bagasse pulp in the paper industry | 2210 | 1 February 2007 |
| 17 | Steel rolling (plate) industry | 3230 | 1 February 2007 |
| 18 | Plating and surface finishing industry | 3460 | 1 February 2007 |
| 19 | Paper industry (production of bleached soda straw pulp) | 2210 | 1 July 2007 |
| 20 | Paper industry (production of kraft chemical wood pulp) | 2210 | 1 July 2007 |
| 21 | Nickel ore processing | 0913 | 1 October 2007 |
| 22 | Chemical fiber industry (spandex) | 2829 | 1 October 2007 |
| 23 | Flat glass industry | 3141 | 1 October 2007 |
| 24 | Manganese electrolytic industry | 3250 | 1 October 2007 |
| 25 | Color picture (display) tube industry | 4051 | 1 October 2007 |
| 26 | Tobacco industry | 1610, 1620, 1690 | 1 March 2008 |
| 27 | Liquor manufacturing industry | 1521 | 1 March 2008 |
| 28 | Iron and steel industry (blast furnace ironmaking) | 3210 | 1 August 2008 |
| 29 | Iron and steel industry (steelmaking) | 3220 | 1 August 2008 |
| 30 | Iron and steel industry (sintering) | 3230 | 1 August 2008 |
| 31 | Chemical fiber industry (polyester) | 2822 | 1 August 2008 |
| 32 | Calcium carbide industry | 2619 | 1 August 2008 |
| 33 | Petroleum refining industry (bitumen) | 2511 | 1 November 2008 |
| 34 | Monosodium glutamate industry | 1461 | 1 November 2008 |
| 35 | Starch industry (cornstarch) | 1391 | 1 November 2008 |
| 36 | Coal mining industry | 0610, 0620, 0690 | 1 February 2009 |
| 37 | Lead battery industry | 3940 | 1 February 2009 |
| 38 | Leather industry (cow light leather) | 1910 | 1 February 2009 |
| 39 | Printed circuit board manufacturing | 3050 | 1 February 2009 |
| 40 | Wine manufacturing industry | 4062 | 1 February 2009 |
| 41 | Cement industry | 1524 | 1 March 2009 |
| 42 | Paper industry (waste paper pulping) | 3111, 3121 | 1 July 2009 |
| 43 | Iron and steel industry (ferroalloys) | 2210 | 1 July 2009 |
| 44 | Aluminum oxide | 3240 | 1 August 2009 |
| 45 | Soda ash industry | 3351 | 1 July 2009 |
| 46 | Chlor-alkali industry (caustic soda) | 2612 | 1 October 2009 |
| 47 | Chlor-alkali industry (polyvinyl chloride) | 2612 | 1 October 2009 |
| 48 | Waste lead–acid battery lead recovery industry | 2614 | 1 October 2009 |
| 49 | Printed circuit board manufacturing | 4310 | 1 January 2010 |
| 50 | Crude leads smelting industry | 3312 | 1 February 2010 |
| 51 | Lead electrolysis industry | 3312 | 1 February 2010 |
| 52 | Hotel and hotel industry | 6610, 6620, 6690 | 1 March 2010 |
| 53 | Copper smelting industry | 3311 | 1 May 2010 |
| 54 | Copper electrolysis industry | 3311 | 1 May 2010 |
| 55 | Leather industry (sheep leather) | 1910 | 1 May 2010 |
| 56 | Alcohol manufacturing industry | 1510 | 1 May 2010 |
References
- Smith, A. The Wealth of Nations [1776]; W. Strahan and T. Cadell: London, UK, 1937; Volume 11937. [Google Scholar]
- Arndt, S.W. Globalization and the Open Economy. North Am. J. Econ. Financ. 1997, 8, 71–79. [Google Scholar] [CrossRef]
- Krugman, P.; Cooper, R.N.; Srinivasan, T.N. Growing World Trade: Causes and Consequences. Brook. Pap. Econ. Act. 1995, 1995, 327–377. [Google Scholar] [CrossRef]
- Yeats, A.J. Just How Big Is Global Production Sharing? World Bank: Washington, DC, USA, 1998; SSRN 597193. [Google Scholar]
- Rangan, S.; Lawrence, R.Z. Search and Deliberation in International Exchange: Learning from Multinational Trade about Lags, Distance Effects, and Home Bias; National Bureau of Economic Research: Cambridge, MA, USA, 1999. [Google Scholar]
- Deardorff, A.V. Fragmentation in Simple Trade Models. North Am. J. Econ. Financ. 2001, 12, 121–137. [Google Scholar] [CrossRef]
- Jin, F. International division of labor within products and its three-dimensional analysis. World Econ. Study 2006, 4–9. [Google Scholar]
- Ricardo, D. On the Principles of Political Economy; J. Murray: London, UK, 1821. [Google Scholar]
- Wood, A. World Trade Report 2014–Trade and Development: Recent Trends and the Role of the WTOWorld Trade Organization, 2014. World Trade Rev. 2015, 14, 546–548. [Google Scholar] [CrossRef]
- Chor, D.; Manova, K.; Yu, Z. The Global Production Line Position of Chinese Firms. Econ. Res. 2014, 28, 29. [Google Scholar]
- Gereffi, G.; Humphrey, J.; Sturgeon, T. The Governance of Global Value Chains. Rev. Int. Political Econ. 2005, 12, 78–104. [Google Scholar] [CrossRef]
- Gereffi, G.; Lee, J. Economic and Social Upgrading in Global Value Chains and Industrial Clusters: Why Governance Matters. J. Bus. Ethics 2016, 133, 25–38. [Google Scholar] [CrossRef]
- Johnson, R.C. Five Facts about Value-Added Exports and Implications for Macroeconomics and Trade Research. J. Econ. Perspect. 2014, 28, 119–142. [Google Scholar] [CrossRef]
- Karlsson, S.; Lundin, N.; Sjöholm, F.; He, P. Foreign Firms and Chinese Employment. World Econ. 2009, 32, 178–201. [Google Scholar] [CrossRef]
- Kummritz, V.; Taglioni, D.; Winkler, D. Economic Upgrading through Global Value Chain Participation: Which Policies Increase the Value Added Gains? World Bank Policy Res. Work. Pap. 2017, 8007, 1–45. [Google Scholar]
- De Melo, J.; Solleder, J.-M. Barriers to Trade in Environmental Goods: How Important They Are and What Should Developing Countries Expect from Their Removal. World Dev. 2020, 130, 104910. [Google Scholar] [CrossRef]
- Wang, Z. Dynamic Changes of Functional Specialization in China’s Export and International Comparison under Global Value Chains. China Ind. Econ. 2020, 6, 62–80. [Google Scholar] [CrossRef]
- Pan, W. National Value Chain and Global Value Chain in Chinese Regions:Regional Interaction and Value-added Gains. Econ. Res. J. 2018, 53, 171–186. [Google Scholar]
- Ni, H. New Progress in the Theory and Application of Global Value Chain Measurement. J. Zhongnan Univ. Econ. Law 2018, 3, 115–126+160. [Google Scholar] [CrossRef]
- Wang, Z.; Wei, S.-J.; Yu, X.; Zhu, K. Characterizing Global Value Chains: Production Length and Upstreamness; National Bureau of Economic Research: Cambridge, MA, USA, 2017. [Google Scholar]
- Zhang, J. Measuring the Domestic Value Added in China’s Exports and the Mechanism of Change. Econ. Res. J. 2013, 48, 124–137. [Google Scholar]
- Wang, Z.; Wei, S.J.; Zhu, K.F. Gross Trade Accounting Method:Official Trade Statistics and Measurement of the Global Value Chain. Soc. Sci. China 2015, 9, 108–127+205–206. [Google Scholar]
- Zhang, S. Industry Transference of GVC Mode—Force, Influence and Inspiration for China’s Industrial Upgrading and Balanced Development of Areas. China Ind. Econ. 2009, 11, 5–15. [Google Scholar] [CrossRef]
- Tong, J. The Talks on Paper of the Deglobalization and Transformation and Upgrading of Real Economy. China Ind. Econ. 2017, 6, 5–59. [Google Scholar]
- Ni, H. Dynamic Changes to the Technological Content of China’s Exports and an International Comparison. Econ. Res. J. 2017, 52, 44–57. [Google Scholar]
- Humphrey, J.; Schmitz, H. How Does Insertion in Global Value Chains Affect Upgrading in Industrial Clusters? Reg. Stud. 2002, 36, 1017–1027. [Google Scholar] [CrossRef]
- Kee, H.L.; Tang, H. Domestic Value Added in Exports: Theory and Firm Evidence from China. Am. Econ. Rev. 2016, 106, 1402–1436. [Google Scholar] [CrossRef]
- De Vries, G.; Chen, Q.; Hasan, R.; Li, Z. Do Asian Countries Upgrade in Global Value Chains? A Novel Approach and Empirical Evidence. Asian Econ. J. 2019, 33, 13–37. [Google Scholar] [CrossRef]
- Van Assche, A.; Van Biesebroeck, J. Functional Upgrading in China’s Export Processing Sector. China Econ. Rev. 2018, 47, 245–262. [Google Scholar] [CrossRef]
- Zhong, Y.; Wang, Z.; Zhang, Y. China’s Functional Upgrading in Global Value Chains and Its Drivers: A Multi-Country Chaining Structural Decomposition Analysis. Appl. Econ. 2021, 53, 2727–2742. [Google Scholar] [CrossRef]
- Tian, K.; Dietzenbacher, E.; Jong-A-Pin, R. Measuring Industrial Upgrading: Applying Factor Analysis in a Global Value Chain Framework. Econ. Syst. Res. 2019, 31, 642–664. [Google Scholar] [CrossRef]
- Blomström, M.; Kokko, A.; Mucchielli, J.-L. The Economics of Foreign Direct Investment Incentives; Springer: Berlin/Heidelberg, Germany, 2003. [Google Scholar]
- Greenstone, M.; Moretti, E. Bidding for Industrial Plants: Does Winning a’Million Dollar Plant’Increase Welfare? Massachusetts Institute of Technology, Department of Economics: Cambridge, MA, USA, 2003. [Google Scholar]
- Porter, M.E.; van der Linde, C. Toward a New Conception of the Environment-Competitiveness Relationship. J. Econ. Perspect. 1995, 9, 97–118. [Google Scholar] [CrossRef]
- Jaffe, A.B.; Palmer, K. Environmental Regulation and Innovation: A Panel Data Study. Rev. Econ. Stat. 1997, 79, 610–619. [Google Scholar] [CrossRef]
- Lanoie, P.; Patry, M.; Lajeunesse, R. Environmental Regulation and Productivity: Testing the Porter Hypothesis. J. Product. Anal. 2008, 30, 121–128. [Google Scholar] [CrossRef]
- Peuckert, J. What Shapes the Impact of Environmental Regulation on Competitiveness? Evidence from Executive Opinion Surveys. Environ. Innov. Soc. Transit. 2014, 10, 77–94. [Google Scholar] [CrossRef]
- Rubashkina, Y.; Galeotti, M.; Verdolini, E. Environmental Regulation and Competitiveness: Empirical Evidence on the Porter Hypothesis from European Manufacturing Sectors. Energy Policy 2015, 83, 288–300. [Google Scholar] [CrossRef]
- Jorge, D.; Molnar, G.; de Almeida Correia, G.H. Trip Pricing of One-Way Station-Based Carsharing Networks with Zone and Time of Day Price Variations. Transp. Res. Part B Methodol. 2015, 81, 461–482. [Google Scholar] [CrossRef]
- Christainsen, G.B.; Haveman, R.H. The Contribution of Environmental Regulations to the Slowdown in Productivity Growth. J. Environ. Econ. Manag. 1981, 8, 381–390. [Google Scholar] [CrossRef]
- Levinson, A.; Taylor, M.S. Unmasking the Pollution Haven Effect. Int. Econ. Rev. 2008, 49, 223–254. [Google Scholar] [CrossRef]
- Hering, L.; Poncet, S. Environmental Policy and Exports: Evidence from Chinese Cities. J. Environ. Econ. Manag. 2014, 68, 296–318. [Google Scholar] [CrossRef]
- Duan, Y.; Ji, T.; Lu, Y.; Wang, S. Environmental Regulations and International Trade: A Quantitative Economic Analysis of World Pollution Emissions. J. Public Econ. 2021, 203, 104521. [Google Scholar] [CrossRef]
- Zhang, Y.; Cui, J.; Lu, C. Does Environmental Regulation Affect Firm Exports? Evidence from Wastewater Discharge Standard in China. China Econ. Rev. 2020, 61, 101451. [Google Scholar] [CrossRef]
- Copeland, B.R.; Taylor, M.S. Trade, Growth, and the Environment. J. Econ. Lit. 2004, 42, 7–71. [Google Scholar] [CrossRef]
- Joo, H.-Y.; Seo, Y.-W.; Min, H. Examining the Effects of Government Intervention on the Firm’s Environmental and Technological Innovation Capabilities and Export Performance. Int. J. Prod. Res. 2018, 56, 6090–6111. [Google Scholar] [CrossRef]
- Hummels, D.; Ishii, J.; Yi, K.-M. The Nature and Growth of Vertical Specialization in World Trade. J. Int. Econ. 2001, 54, 75–96. [Google Scholar] [CrossRef]
- Koopman, R.; Wang, Z.; Wei, S.-J. Tracing Value-Added and Double Counting in Gross Exports. Am. Econ. Rev. 2014, 104, 459–494. [Google Scholar] [CrossRef]
- Johnson, R.C.; Noguera, G. Accounting for Intermediates: Production Sharing and Trade in Value Added. J. Int. Econ. 2012, 86, 224–236. [Google Scholar] [CrossRef]
- Los, B.; Timmer, M.P.; De Vries, G.J. Tracing Value-Added and Double Counting in Gross Exports: Comment. Am. Econ. Rev. 2016, 106, 1958–1966. [Google Scholar] [CrossRef]
- Antràs, P.; Chor, D.; Fally, T.; Hillberry, R. Measuring the Upstreamness of Production and Trade Flows. Am. Econ. Rev. 2012, 102, 412–416. [Google Scholar] [CrossRef]
- Fally, T. On the Fragmentation of Production in the US; University of Colorado Mimeo: Boulder, CO, USA, 2011. [Google Scholar]
- Baldwin, R.; Lopez-Gonzalez, J. Supply-Chain Trade: A Portrait of Global Patterns and Several Testable Hypotheses. World Econ. 2015, 38, 1682–1721. [Google Scholar] [CrossRef]
- Amador, J.; Cabral, S. Global Value Chains: A Survey of Drivers and Measures. J. Econ. Surv. 2016, 30, 278–301. [Google Scholar] [CrossRef]
- Johnson, R.C. Measuring Global Value Chains. Annu. Rev. Econ. 2018, 10, 207–236. [Google Scholar] [CrossRef]
- Dietzenbacher, E.; Pei, J.; Yang, C. Trade, production fragmentation, and China’s carbon dioxide emissions. J. Environ. Econ. Manag. 2012, 64, 88–101. [Google Scholar] [CrossRef]
- Koopmanet, R.; Wang, Z.; Wei, S.-J. Estimating domestic content in exports when processing trade is pervasive. J. Dev. Econ. 2012, 99, 178–189. [Google Scholar] [CrossRef]
- Mattoo, A.; Wang, Z.; Wei, S.-J. Trade in Value Added: Developing New Measures of Cross-Border Trade; Centre for Economic Policy Research and the World Bank: London, UK, 2013. [Google Scholar]
- Duan, Y.; Dietzenbacher, E.; Jiang, X. Why has China’s vertical specialization declined? Econ. Syst. Res. 2018, 30, 178–200. [Google Scholar] [CrossRef]
- Meng, B.; Liu, Y.; Andrew, R. More than half of China’s CO2 emissions are from micro, small and medium-sized enterprises. Appl. Energy 2018, 230, 712–725. [Google Scholar] [CrossRef]
- Tang, H.; Wang, F.; Wang, Z. Domestic segment of global value chains in China under state capitalism. J. Comp. Econ. 2020, 48, 797–821. [Google Scholar] [CrossRef]
- Su, D.; Sheng, B.; Shao, C.; Chen, S.Z.D. The Interactive Effect of Global Value Chain, Localization of Industrial Agglomeration, and Firm Productivity. Econ. Res. 2020, 55, 100–115. [Google Scholar]
- Michel, B.; Hambÿe, C. Export-sustained employment: Accounting for exporter-heterogeneity in input–output tables. Econ. Syst. Res. 2022, 34, 215–233. [Google Scholar] [CrossRef]
- Zhou, Z.; Zhu, K.F. The Ownership Structure of Factors in Foreign Firms and the Attribution of Gains from Export Value Added. Chin. Ind. Econ. 2020, 1, 118–135. [Google Scholar]
- Chen, Q.; Zhu, K.; Liu, P. Distinguishing China’s processing trade in the world input-output table and quantifying its effects. Econ. Syst. Res. 2019, 31, 361–381. [Google Scholar] [CrossRef]
- Gao, X.; Huang, J.Z.; Yuan, K.H. Value Chain Embedment Position and Domestic Value-Added Rate of Exports. Quant. Econ. Tech. Econ. Res. 2019, 36, 41–61. [Google Scholar]
- Ito, K.; Deseatnicov, I.; Fukao, K. Japan’s participation in global value chains: Splitting the IO table into production for export and domestic sale. Econ. Syst. Res. 2020, 32, 173–191. [Google Scholar] [CrossRef]
- Cadestin, C.; De Backer, K.; Miroudot, S. Multinational Enterprises in Domestic Value Chains; OECD: Paris, France, 2019. [Google Scholar]
- Fortanier, F.; Miao, G.; Kolk, A. Accounting for firm heterogeneity in global value chains. J. Int. Bus. Stud. 2020, 51, 432–453. [Google Scholar] [CrossRef]
- Miroudot, S.; Ye, M. Multinational production in value-added terms. Econ. Syst. Res. 2020, 32, 395–412. [Google Scholar] [CrossRef]
- Zhang, Z.; Guan, D.; Wang, R. Embodied carbon emissions in the supply chains of multinational enterprises. Nat. Clim. Chang. Nat. 2020, 10, 1096–1101. [Google Scholar] [CrossRef]
- Zhu, K.F.; Yu, X.D.; Wei, S.J. Measurement of Multinational Corporations’ Activities in the Global Value Chain and its Value-added Traceability. Econ. Res. 2022, 57, 136–154. [Google Scholar]
- Wang, Z.; Wei, S.-J.; Yu, X. Measures of participation in global value chains and global business cycles. Natl. Bur. Econ. Res. 2017, 1–35. Available online: http://www.nber.org/papers/w23222 (accessed on 16 May 2023).
- Ni, H.F. Position and Its Structural Changes of Firms in Global Value Chains. Econ. Res. J. 2022, 57, 107–124. [Google Scholar]
- Zhang, M.; Zhao, Y.X. Environmental Regulation, Technological Innovation and Enterprise Export Product Quality: Evidence from a Quasi-Natural Experiment. Int. Trade Issues 2023, 3, 36–52. [Google Scholar]
- Huang, H.P.; Guo, Y.D. Can Environmental Regulation Improve the Quality of China’s Export Products? A Quasi-Natural Experiment Based on Deadline Compliance in Key Cities. Ecol. Econ. 2022, 38, 127–135. [Google Scholar]
- Sheng, P.F.; Wei, H.H. Environmental Regulation and the Enhancement of China’s Industrial Sectors in the Global Value Chain: A Re-examination of the “Porter Hypothesis”. Mod. Financ. Econ. 2020, 40, 85–98. [Google Scholar]
- Wang, J.; Duan, R.Z.; Sun, X.M. Environmental Regulation, Product Quality and the Upgrading of China’s Enterprises in the Global Value Chain. Ind. Econ. Res. 2019, 99, 64–75+101. [Google Scholar]
- Xie, B.; Jia, X.; Yi, Z.H. The Impact of Environmental Regulation on the Global Value Chain Position of the Service Industry: An Empirical Study Based on Panel Data from 45 OECD Countries. Mod. Econ. Explor. 2018, 437, 70–77. [Google Scholar]
- Long, X. Environmental Regulation, Corporate Profit Margins and Compliance Cost Heterogeneity of Different Scale Enterprises. China Ind. Econ. 2017, 6, 155–174. [Google Scholar] [CrossRef]
- Jaffe, A.B.; Stavins, R.N. Dynamic Incentives of Environmental Regulations: The Effects of Alternative Policy Instruments on Technology Diffusion. J. Environ. Econ. Manag. 1995, 29, S43–S63. [Google Scholar] [CrossRef]
- Ambec, S.; Cohen, M.A.; Elgie, S.; Lanoie, P. The Porter Hypothesis at 20: Can Environmental Regulation Enhance Innovation and Competitiveness? Rev. Environ. Econ. Policy 2013, 7, 655–690. [Google Scholar] [CrossRef]
- Zheng, Z. A Study of the Threshold Effect of Environmental Regulation on Technological Innovation. Econ. Surv. 2022, 39, 14–23. [Google Scholar] [CrossRef]
- Han, C. Enterprises’ Product Switching and Product Quality Improvement under Environmental Regulation. China Ind. Econ. 2018, 2, 43–62. [Google Scholar] [CrossRef]
- Du, W. Environmental Regulation and Export Behavior of Multi Product Enterprises. J. Int. Trade 2017, 11, 82–92. [Google Scholar] [CrossRef]
- Elrod, A.A.; Malik, A.S. The Effect of Environmental Regulation on Plant-Level Product Mix: A Study of EPA’s Cluster Rule. J. Environ. Econ. Manag. 2017, 83, 164–184. [Google Scholar] [CrossRef]
- Bernard, A.B.; Redding, S.J.; Schott, P.K. Multiple-Product Firms and Product Switching. Am. Econ. Rev. 2010, 100, 70–97. [Google Scholar] [CrossRef]
- Li, X. Cross-border E-commerce and Enterprises’ Export Product Switching. Econ. Res. J. 2023, 58, 124–140. [Google Scholar]
- Liu, Y. Will Environmental Regulation Hinder Firms’ Competitiveness? A General Equilibrium Model with Heterogeneous Firms. J. World Econ. 2018, 41, 150–167. [Google Scholar] [CrossRef]
- HAO. Firms’ entry-exit, dynamic industrial agglomeration and productivity coordination of cities——Based on the evidence of Chinese manufacturing firms. Syst. Eng. Theory Pract. 2021, 41, 1942–1960. [Google Scholar]
- Orley, A.; David, C. Using the longitudinal structure of earnings to estimate the effect of training Programs. Rev. Econ. Stat. 1985, 67, 648–660. [Google Scholar]
- Lu, Y.; Tao, Z.; Zhu, L. Identifying FDI Spillovers. J. Int. Econ. 2017, 107, 75–90. [Google Scholar] [CrossRef]
- Cheng, Z.; Kong, S. The Effect of Environmental Regulation on Green Total-Factor Productivity in China’s Industry. Environ. Impact Assess. Rev. 2022, 94, 106757. [Google Scholar] [CrossRef]
Disclaimer/Publisher’s Note: The statements, opinions and data contained in all publications are solely those of the individual author(s) and contributor(s) and not of MDPI and/or the editor(s). MDPI and/or the editor(s) disclaim responsibility for any injury to people or property resulting from any ideas, methods, instructions or products referred to in the content. |
© 2023 by the authors. Licensee MDPI, Basel, Switzerland. This article is an open access article distributed under the terms and conditions of the Creative Commons Attribution (CC BY) license (https://creativecommons.org/licenses/by/4.0/).


