Fracture Evolution Characteristics and Deformation Laws of Overlying Strata during the Initial Period of Longwall Mining: Case Study
Abstract
1. Introduction
2. Engineering Background
3. Research on Similar Simulations of the Overburden Collapse Law
3.1. Similar Simulation Experimental Design
3.2. Proportions and Calculations of Similar Materials
3.3. Experimental Scheme
3.4. Model Measurement Point Setting
- (1)
- Layout and testing method of rock stress measuring points
- (2)
- Layout and testing method of displacement measuring points
4. Failure Characteristics of Overlying Strata
4.1. Analysis of the Direct Roof Caving Process
4.2. Primary Collapse Process of the Basic Roof
4.3. Regularity of the Periodic Collapse of the Basic Roof
4.4. Correlation between Fracture Evolution and Caving Step Distance in the Mining Process
5. Overburden Deformation Law
5.1. Law of Direct Roof Sinking and Falling
5.2. Laws of Basic Roof Sinking and Falling
5.3. Law of Basic Roof Strata Falling
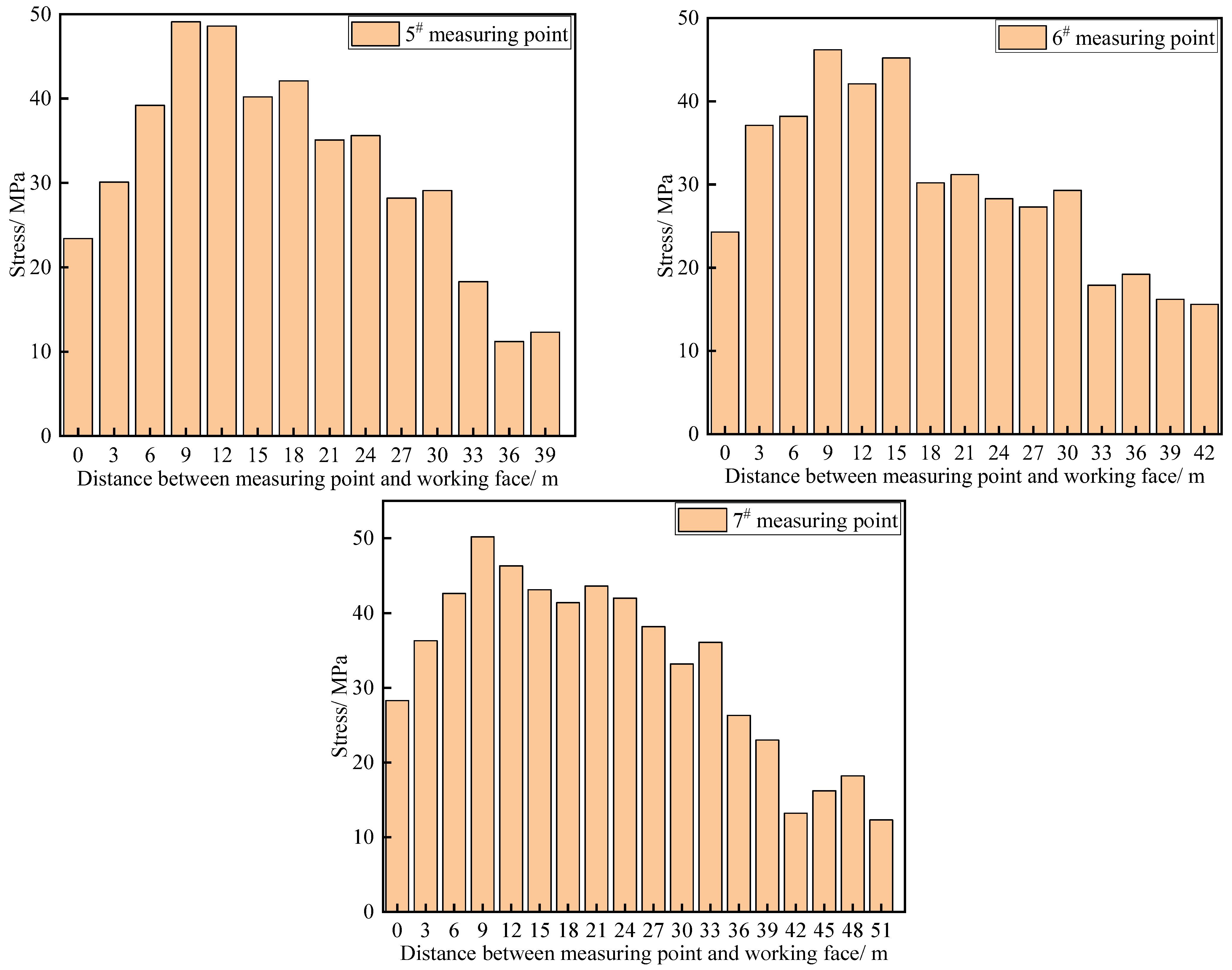
5.4. Stress Distribution Characteristics of the Working Face in the Initial Mining Period
5.5. Evolution and Distribution Characteristics of Overburden Fractures during the Initial Mining Period
6. Discussion
7. Conclusions
- (1)
- By taking the #3 + 4 coal seam in the 24207 working face of the Shaqu Mine as the research object, the distribution laws of overburden deformation, collapse and fracture area during the initial mining period are quantitatively studied by using similar simulations.
- (2)
- While advancing the working face from the open cut to 19 m, there is no collapse or separation. When the working face advances for an additional 3 m, the cracks enter the slow development stage. Afterwards, the number of transverse cracks in the rock stratum increases with every 3 m of working face advancement. When the working face advances to 28 m, the direct roof collapses for the first time, and the direct roof exhibits slight vertical cracks. The second, third, and fourth collapses of the direct roof follow, indicating that the horizontal and vertical fractures of the overlying strata slowly expand and extend to the third and fourth layers.
- (3)
- When the working face advances to 57 m, the basic roof collapses for the first time, indicating that the mining-induced fractures of the overlying strata enter a period of rapid development, the numbers of horizontal fractures and vertical fractures increase rapidly, and the scope expands to 6 layers. The working face moves forwards by 11 m again. In this process, the fracture area increases rapidly, it is highly developed and stable in the medium sandstone layer, and new fractures are constantly generated or opened.
- (4)
- When the working face advances from 83 m to 101 m, the third and fourth periodic weighting occurs on the basic roof. The opening and closing speeds of the mining fractures are basically the same at this time, and the fracture and compaction areas stabilize.
Author Contributions
Funding
Institutional Review Board Statement
Informed Consent Statement
Data Availability Statement
Conflicts of Interest
References
- Hao, X.; Song, M.; Feng, Y.; Zhang, W. De-Capacity Policy Effect on China’s Coal Industry. Energies 2019, 12, 2331. [Google Scholar] [CrossRef]
- Zhong, C.; Dong, F.; Geng, Y.; Dong, Q. Toward carbon neutrality: The transition of the coal industrial chain in China. Front. Environ. Sci. 2022, 10, 1–8. [Google Scholar] [CrossRef]
- Xiao, W. Coal Mine Safety Risk Intelligent Control and Information Decision Analysis System. Appl. Intell. Syst. Multi-Modal Inf. Anal. 2022, 105, 45–52. [Google Scholar]
- Yang, Z.; Zhao, Q.; Liu, X.; Yin, Z.; Zhao, Y.; Li, X. Experimental Study on the Movement and Failure Characteristics of Karst Mountain with Deep and Large Fissures Induced by Coal Seam Mining. Rock Mech. Rock Eng. 2022, 55, 4839–4867. [Google Scholar] [CrossRef]
- Wang, H.; Deng, D.; Shi, R.; Yang, G.; Xu, S.; Jiang, Y. Investigation on the Movement and Fracture Characteristics of an Extra-Thick Hard Roof during Longwall Panel Extraction in the Yima Mining Area, China. Geofluids 2021, 2021, 1–12. [Google Scholar] [CrossRef]
- Wu, S.; Zheng, C.; Sun, X.; Jiang, X. Study on temporal and spatial evolution characteristics of overburden deformation and gas emission during the longwall working face initial mining phase. J. Geophys. Eng. 2022, 19, 534–549. [Google Scholar] [CrossRef]
- Wang, G.; Wu, M.; Wang, R.; Xu, H.; Song, X. Height of the mining-induced fractured zone above a coal face. Eng. Geol. 2017, 216, 140–152. [Google Scholar] [CrossRef]
- Liu, Y.; Liu, Q.; Li, W.; Hu, Y. Height of Mining-Induced Fractured Zones in Overlying Strata and Permeability of Rock with Nonpenetrative Fractures. Geofluids 2020, 2020, 1–15. [Google Scholar] [CrossRef]
- Zhang, R.; Ai, T.; Zhou, H.W.; Ju, Y.; Zhang, Z.T. Fractal and volume characteristics of 3D mining-induced fractures under typical mining layouts. Environ. Earth Sci. 2015, 73, 6069–6080. [Google Scholar] [CrossRef]
- Yao, W.; Yang, Z.; Guo, X. Fracture development in large-scale overburden strata induced by longwall mining. Energy Sources Part A Recovery Util Environ. Eff. 2019, 41, 269–279. [Google Scholar] [CrossRef]
- Li, S.; Gao, M.; Yang, X.; Zhang, R.; Ren, L.; Zhang, Z.P.; Li, G.; Zhang, Z.T.; Xie, J. Numerical simulation of spatial distributions of mining-induced stress and fracture fields for three coal mining layouts. J. Rock Mech. Geotech. Eng. 2018, 10, 907–913. [Google Scholar] [CrossRef]
- Zhang, Z.; Xie, H.; Zhang, R.; Gao, M.; Ai, T.; Zha, E. Size and spatial fractal distributions of coal fracture networks under different mining-induced stress conditions. Int. J. Rock Mech. Min. Sci. 2020, 132, 1–12. [Google Scholar] [CrossRef]
- Zhuo, H.; Qin, B.; Shi, Q.; Li, L. Development law of air leakage fractures in shallow coal seams: A case study in the Shendong Coalfield of China. Environ. Earth Sci. 2018, 77, 772–785. [Google Scholar] [CrossRef]
- Palchik, V. Analysis of main factors influencing the apertures of mining-induced horizontal fractures at longwall coal mining. Geomech. Geophys. Geo-Energy Geo-Resour. 2020, 6, 37–46. [Google Scholar] [CrossRef]
- Cao, J.; Li, W. Numerical simulation of gas migration into mining-induced fracture network in the goaf. Int. J. Min. Sci. Technol. 2017, 27, 681–685. [Google Scholar] [CrossRef]
- Zhang, J.; Wang, M.; Wang, Y. Fracture evolution and gas transport laws of coal and rock in one kilometer deep coal mine with complicated conditions. Therm. Sci. 2019, 23, 907–915. [Google Scholar] [CrossRef]
- Xie, J.; Gao, M.; Zhang, R.; Li, S.; Tan, Q.; Qiu, Z. Lessons Learnt from Measurements of Vertical Pressure at a Top Coal Mining Face at Datong Tashan Mines, China. Rock Mech. Rock Eng. 2016, 113, 82–93. [Google Scholar] [CrossRef]
- Du, F.; Wang, K. Unstable failure of gas-bearing coal-rock combination bodies: Insights from physical experiments and numerical simulations. Process Saf. Environ. Prot. 2019, 129, 264–279. [Google Scholar] [CrossRef]
- Du, F.; Wang, K.; Wang, G.; Huang, Y.; Yi, L. The mechanism of damage in gas-bearing coal-rock combination bodies and gas seepage in coals. Energy Sources Part A Recovery Util. Environ. Eff. 2021, 43, 1181–1201. [Google Scholar] [CrossRef]
- Guo, W.; Zhao, G.; Bai, E.; Guo, M.; Wang, Y. Effect of overburden bending deformation and alluvium mechanical parameters on surface subsidence due to longwall mining. Bull. Eng. Geol. Environ. 2021, 80, 2751–2764. [Google Scholar] [CrossRef]
- Zheng, C.; Jiang, B.; Xue, S.; Chen, Z.; Li, H. Coalbed methane emissions and drainage methods in underground mining for mining safety and environmental benefits: A review. Process Saf. Environ. Prot. 2019, 127, 103–124. [Google Scholar] [CrossRef]
- Zhu, L.; Gu, W.; Pan, H.; Liu, Z.; Chai, J.; Ouyang, Y.B. Calculation model of overburden rock failure volume in mined-out area based on Brillouin optical time-domain analysis technology. Opt. Fiber Technol. 2021, 66, 102640. [Google Scholar] [CrossRef]
- Zhu, Z.; Feng, T.; Yuan, Z.; Xie, D.; Chen, W. Solid-gas coupling model for coal-rock mass deformation and pressure relief gas flow in protection layer mining. Adv. Civ. Eng. 2018, 2018, 1–6. [Google Scholar] [CrossRef]
- Zhao, W.; Wang, K.; Zhang, R. Influence of combination forms of intact sub-layer and tectonically deformed sub-layer of coal on the gas drainage performance of boreholes: A numerical study. Int. J. Coal Sci. Technol. 2020, 7, 571–580. [Google Scholar] [CrossRef]
- Chen, Z.Y.; Xiao, Z.X.; Zou, M. Research on mechanism of quantity discharge of firedamp from coal drift of headwork surface reflect coal and gas outburst. Int. J. Hydrog. Energy 2017, 42, 19395–19401. [Google Scholar] [CrossRef]
- He, X.; Zhang, C.; Han, P. Overburden damage degree-based optimization of high-intensity mining parameters and engineering practices in China’s western mining area. Geofluids 2020, 2020, 1–21. [Google Scholar] [CrossRef]
- Hu, C.; Li, Q.; Wang, Y.; Li, Y.; Wang, Y.; Chang, K. Influence mechanism of mine pressure on coal seam gas emission during mining. Geotech. Geol. Eng. 2022, 40, 1–8. [Google Scholar] [CrossRef]
- Hu, G.; Xu, J.; Ren, T.; Gu, C.; Qin, W.; Wang, Z. Adjacent seam pressure-relief gas drainage technique based on ground movement for initial mining phase of longwall face. Int. J. Rock Mech. Min. Sciences 2015, 77, 237–245. [Google Scholar] [CrossRef]
- Karacan, C.O. Analysis of gob gas venthole production performances for strata gas control in longwall mining. Int. J. Rock Mech. Min. Sci. 2015, 79, 9–18. [Google Scholar] [CrossRef] [PubMed]
- Lu, C.; Xu, J.; Li, Q. Research on the Development Law of Water-Conducting Fracture Zone in the Combined Mining of Jurassic and Carboniferous Coal Seams. Appl. Sci. 2022, 12, 11178. [Google Scholar] [CrossRef]
- Lu, C.; Xu, J. Development law of water conducting fissures in the goaf of multiple coal seams based on similar material simulation—Taking the majiliang coal mine as an example. Fresenius Environ. Bull. 2022, 31, 2545–2553. [Google Scholar]
- Sun, Q.; Meng, G.; Sun, K.; Zhang, J. Physical simulation experiment on prevention and control of water inrush disaster by backfilling mining under aquifer. Environ. Earth Sci. 2020, 79, 429–430. [Google Scholar] [CrossRef]
- Liu, Y.; Sun, H.; Wang, B.; Dai, L.; Cao, J. Experimental Accuracy and Stability of Gas Outburst Experimental System. Geofluids 2021, 2021, 1–13. [Google Scholar] [CrossRef]
- Wang, W.; Yuan, Y.; Liang, X.; Qin, Z.; Chen, Z.; Ding, K.; Xia, Y.; Yan, C. Experimental Study on Floor Damage and Slurry Material Ratio Optimization in Deep and High Confined Water Mining. Processes 2022, 10, 1806. [Google Scholar] [CrossRef]
- Fumagalli, E. Statics Models and Geomechanics Models; China Water Power Press: Beijing, China, 1979. [Google Scholar]
- Jiang, L.S.; Zhang, P.P.; Chen, L.J.; Hao, Z.; Sainoki, A.; Mitri, H.S.; Wang, Q.B. Numerical approach for goaf-side entry layout and yield pillar design in fractured ground conditions. Rock Mech. Rock Eng. 2017, 50, 3049–3071. [Google Scholar] [CrossRef]
- Hu, D.C.; Zhang, B.L.; Shen, B.T. Quantitative study on rational width of section coal pillar in large mining height working face. J. Shan Dong Univ. Sci. Technol. 2017, 36, 32–37. [Google Scholar]
- Wang, P.; Jiang, L.; Jiang, J.; Zheng, P.; Li, W. Strata behaviors and rock burst-inducing mechanism under the coupling effect of a hard, thick stratum and a normal fault. Int. J. Geomech. 2018, 18, 1–17. [Google Scholar] [CrossRef]
- Wang, P.; Jiang, J.Q.; Zhang, P.P. Breaking process and mining stress volution characteristics of high-position hard and thick strata. Int. J. Min. Sci. Technol. 2016, 26, 563–569. [Google Scholar] [CrossRef]
- Zou, D.Y.; Duan, W.; Liu, Z.G. Study on mine earthquake induced by falling of overburden strata over goaf and its predictive technology. J. Shandong Univ. Sci. Technol. 2009, 28, 54–58. [Google Scholar]
- Kornowski, J.; Kurzeja, J. Prediction of rockburst probability given seismic energy and factors defined by the expert method of hazard evaluation (MRG). Acta Geophys. 2012, 60, 472–486. [Google Scholar] [CrossRef]
- Boettcher, M.S.; Kane, D.L.; Mcgarr, A. Moment tensors and other source parameters of mining-induced seismicitys in tautona mine, South Africa. Bull. Seismol. Soc. Am. 2015, 105, 1576–1593. [Google Scholar] [CrossRef]
- Shabarov, A.N. On formation of geodynamic zones prone to rock bursts and tectonic shocks. J. Min. Sci. 2001, 37, 129–139. [Google Scholar] [CrossRef]
- Procházka, P.P. Application of discrete element methods to fracture mechanics of rock bursts. Eng. Fract. Mech. 2002, 71, 601–618. [Google Scholar] [CrossRef]
- Ning, J.G.; Wang, J.; Jiang, L.S.; Jiang, N.; Liu, X.S.; Jiang, J.Q. Fracture analysis of double-layer hard and thick roof and the controlling effect on strata behavior: A case study. Eng. Fail. Anal. 2017, 81, 117–134. [Google Scholar] [CrossRef]
- Ye, H.L.; Zhao, C.H.; Zhang, Y.; Yao, Q.; Xiao, Y. Analysis of mechanical properties in bending processes and optimal design of simple tape spring. J. Model. Mech. Mater. 2017, 1, 16–23. [Google Scholar] [CrossRef]
- Qi, Q.X.; Yi, Z.; Zhao, S.K. Seventy years development of coal mine rockburst in China: Establishment and consideration of theory and technology system. Coal Sci. Technol. 2019, 47, 1–41. [Google Scholar]
- Wei, L.K.; Jiang, D.Y.; Wang, C.; Chen, J.; Gao, S.; Fan, J.Y. Key technology architecture of the intelligent monitoring analysis system for coal mine rockburst hazard risk supervision. J. China Coal Soc. 2020, 48, 1–20. [Google Scholar]
- Fan, J.; Chen, J.; Jiang, D.; Wu, J.X.; Shu, C.; Liu, W. A stress model reflecting the effect of the friction angle on rockbursts in coal mines. Geomech. Eng. 2019, 18, 21–27. [Google Scholar]
- Jia, R.S.; Yan, X.H.; Sun, H.M.; Fan, J.C.; Yang, H.B.; Wu, C.F. Situation assessment method of rock burst based on multi-source information fusion. J. Min. Saf. Eng. 2014, 31, 187–195. [Google Scholar]
- Kang, H.P.; Xu, G.; Wang, B.M.; Wu, Y.Z.; Jiang, P.F.; Pan, J.F.; Ren, H.W.; Zhang, Y.J.; Pang, Y.H. Forty years development and prospects of underground coal mining and strata control technologies in China. J. Min. Strat. Control. Eng. 2019, 1, 1–33. [Google Scholar]



















| Serial | Lithology | Compressive Strength/KPa | Layer Thickness/cm | Density/(kg·m−3) | Proportioning | River Sand/kg | Cement/(Lime) kg | Gypsum/kg | Water/kg | Borax/g |
|---|---|---|---|---|---|---|---|---|---|---|
| 1 | Medium sandstone | 339 | 12.17 | 1768 | 337 | 117.0 | 48.6 | 113.5 | 23.2 | 463.1 |
| 2 | K-sandstone | 652 | 2.8 | 1768 | 655 | 10.9 | 3.7 | 3.7 | 1.8 | 18.3 |
| 3 | mudstone | 369 | 3.45 | 1219 | 973 | 22.9 | 6.8 | 2.9 | 9.7 | 96.9 |
| 4 | #2 coal seam | 420 | 1.73 | 925 | 537 | 8.7 | 9.58 | 22.3 | 6.4 | 63.6 |
| 5 | Carbonaceous mudstone | 411 | 2.9 | 1713 | 855 | 14.7 | 1.88 | 1.8 | 1.8 | 18.4 |
| 6 | Fine sandstone | 576 | 2.7 | 1754 | 555 | 8.8 | 4.4 | 4.4 | 1.8 | 17.5 |
| 7 | Medium sandstone | 339 | 9.2 | 1768 | 337 | 18.1 | 12.6 | 29. 5 | 6.0 | 12.0 |
| 8 | Sandy mudstone | 311 | 9.2 | 1678 | 436 | 22.8 | 10.3 | 23.9 | 5.7 | 57.1 |
| 9 | #3 + 4 coal seam | 89.25 | 7.7 | 938 | 473 | 10.7 | 11.2 | 4.8 | 2.7 | 53.47 |
| 10 | Medium sandstone | 339 | 1.8 | 1768 | 337 | 3.5 | 2.5 | 5.8 | 1.2 | 23.5 |
| 11 | Siltstone | 669 | 4.2 | 1744 | 955 | 24.4 | 1.4 | 1. 4 | 2.7 | 27.1 |
| 12 | Mudstone | 369 | 3.3 | 1700 | 973 | 18.7 | 1.5 | 0.6 | 2.1 | 20.8 |
| 13 | #5 coal seam | 89.25 | 5.5 | 925 | 473 | 7.5 | 7.9 | 3. 4 | 1.8 | 37.6 |
| 14 | Sandy mudstone | 311 | 4.3 | 1677 | 436 | 8.0 | 4.8 | 11.2 | 2.7 | 26.7 |
| Serial | Collapse/Pressure | Advancement of Working Face | Step Distance | ||
|---|---|---|---|---|---|
| Model/mm | Prototype/m | Model/mm | Prototype/m | ||
| 1 | First collapse of direct roof | 620 | 37.2 | 620 | 37.2 |
| 2 | Second collapse of direct roof | 650 | 39 | 30 | 1.8 |
| 3 | Third collapse of direct roof | 700 | 42 | 50 | 3.0 |
| 4 | Fourth collapse of direct roof | 791.7 | 47.5 | 91.7 | 5.5 |
| 5 | Primary pressure of basic roof | 950 | 57 | 950 | 57 |
| 6 | First cycle pressure | 1133.3 | 68.0 | 183.3 | 11 |
| 7 | Second cycle pressure | 1383.3 | 83.0 | 250 | 15 |
| 8 | Third cycle pressure | 1516.7 | 91.0 | 133.3 | 8 |
| 9 | Fourth cycle pressure | 1683.3 | 101.0 | 166.7 | 10 |
| 7 | Average step distance of periodic pressure | 183.3 | 11 | ||
| Distance between Stress Sensor and Working Face (m) | #5 Stress Measuring Point (MPa) | #6 Stress Measuring Point (MPa) | #7 Stress Measuring Point (MPa) |
|---|---|---|---|
| 0 | 23.4 | 24.3 | 28.3 |
| 3 | 30.1 | 37.1 | 36.3 |
| 6 | 39.2 | 38.2 | 42.6 |
| 9 | 49.1 | 46.2 | 50.2 |
| 12 | 48.6 | 42.1 | 46.3 |
| 15 | 40.2 | 45.2 | 43.1 |
| 18 | 42.1 | 30.2 | 41.4 |
| 21 | 35.1 | 31.2 | 43.6 |
| 24 | 35.6 | 28.3 | 42 |
| 27 | 28.2 | 27.3 | 38.2 |
| 30 | 29.1 | 29.3 | 33.2 |
| 33 | 18.3 | 17.9 | 36.1 |
| 36 | 11.2 | 19.2 | 26.3 |
| 39 | 12.3 | 16.2 | 23 |
| 42 | 15.6 | 13.2 | |
| 45 | 12.1 | 16.2 | |
| 48 | 18.2 | ||
| 51 | 12.3 |
| Distance between Stress Sensor and Working Face (m) | #16 Stress Measuring Point (MPa) | #17 Stress Measuring Point (MPa) | #18 Stress Measuring Point (MPa) |
|---|---|---|---|
| 0 | 24.8 | 24.3 | 22.6 |
| 3 | 23.1 | 30.1 | 28.3 |
| 6 | 26.3 | 42.6 | 35.9 |
| 9 | 32.4 | 37.2 | 21.3 |
| 12 | 35.2 | 40.2 | 22.3 |
| 15 | 27.2 | 30.4 | 19.3 |
| 18 | 29.3 | 32.6 | 22.1 |
| 21 | 28.2 | 26.3 | 15.3 |
| 24 | 23.2 | 25.9 | 16.3 |
| 27 | 24.2 | 21.3 | 12.3 |
| 30 | 19.2 | 23.2 | 13.2 |
| 33 | 19.3 | 14.3 | 10.3 |
| 36 | 15.2 | 13.2 | 15.3 |
| 39 | 11.8 | 15.2 | 13.2 |
| 42 | 12.2 | 14.3 | |
| 45 | 12.5 | 10.3 | |
| 48 | 13.2 | ||
| 51 | 11.3 |
| Distance between Stress Sensor and Working Face (m) | #27 Stress Measuring Point (MPa) | #28 Stress Measuring Point (MPa) | #29 Stress Measuring Point (MPa) |
|---|---|---|---|
| 0 | 23.7 | 20.3 | 30.2 |
| 3 | 20.9 | 21.9 | 31.6 |
| 6 | 30.6 | 25.3 | 29.3 |
| 9 | 31.2 | 31.6 | 35.2 |
| 12 | 28.3 | 30.3 | 31.2 |
| 15 | 25.6 | 25.7 | 32.6 |
| 18 | 26.3 | 23.2 | 29.6 |
| 21 | 23.4 | 26.7 | 28.6 |
| 24 | 25 | 21.3 | 26.3 |
| 27 | 20.3 | 19.6 | 23.6 |
| 30 | 21.3 | 19.9 | 24.3 |
| 33 | 22.6 | 15.3 | 19.3 |
| 36 | 15.9 | 16.5 | 13.6 |
| 39 | 10.3 | 10.9 | 18.6 |
| 42 | 13.5 | 14.3 | |
| 45 | 12.9 | 16.3 | |
| 48 | 13.6 | ||
| 51 | 12.9 |
Disclaimer/Publisher’s Note: The statements, opinions and data contained in all publications are solely those of the individual author(s) and contributor(s) and not of MDPI and/or the editor(s). MDPI and/or the editor(s) disclaim responsibility for any injury to people or property resulting from any ideas, methods, instructions or products referred to in the content. |
© 2023 by the authors. Licensee MDPI, Basel, Switzerland. This article is an open access article distributed under the terms and conditions of the Creative Commons Attribution (CC BY) license (https://creativecommons.org/licenses/by/4.0/).
Share and Cite
Li, C.; He, Y.; Sun, X.; Fu, Y. Fracture Evolution Characteristics and Deformation Laws of Overlying Strata during the Initial Period of Longwall Mining: Case Study. Sustainability 2023, 15, 8596. https://doi.org/10.3390/su15118596
Li C, He Y, Sun X, Fu Y. Fracture Evolution Characteristics and Deformation Laws of Overlying Strata during the Initial Period of Longwall Mining: Case Study. Sustainability. 2023; 15(11):8596. https://doi.org/10.3390/su15118596
Chicago/Turabian StyleLi, Chuantian, Yongliang He, Xiaoyuan Sun, and Yuping Fu. 2023. "Fracture Evolution Characteristics and Deformation Laws of Overlying Strata during the Initial Period of Longwall Mining: Case Study" Sustainability 15, no. 11: 8596. https://doi.org/10.3390/su15118596
APA StyleLi, C., He, Y., Sun, X., & Fu, Y. (2023). Fracture Evolution Characteristics and Deformation Laws of Overlying Strata during the Initial Period of Longwall Mining: Case Study. Sustainability, 15(11), 8596. https://doi.org/10.3390/su15118596
