Spatio-Temporal Distribution and Risk Assessment of Antibiotic in the Aquatic Environment in China Nationwide, A Review
Abstract
1. Introduction
2. Materials and Methods
2.1. Literature Retrieval and Data Source
2.2. Data Processing and Statistical Analysis
2.3. Study Area Division
3. Results and Discussion
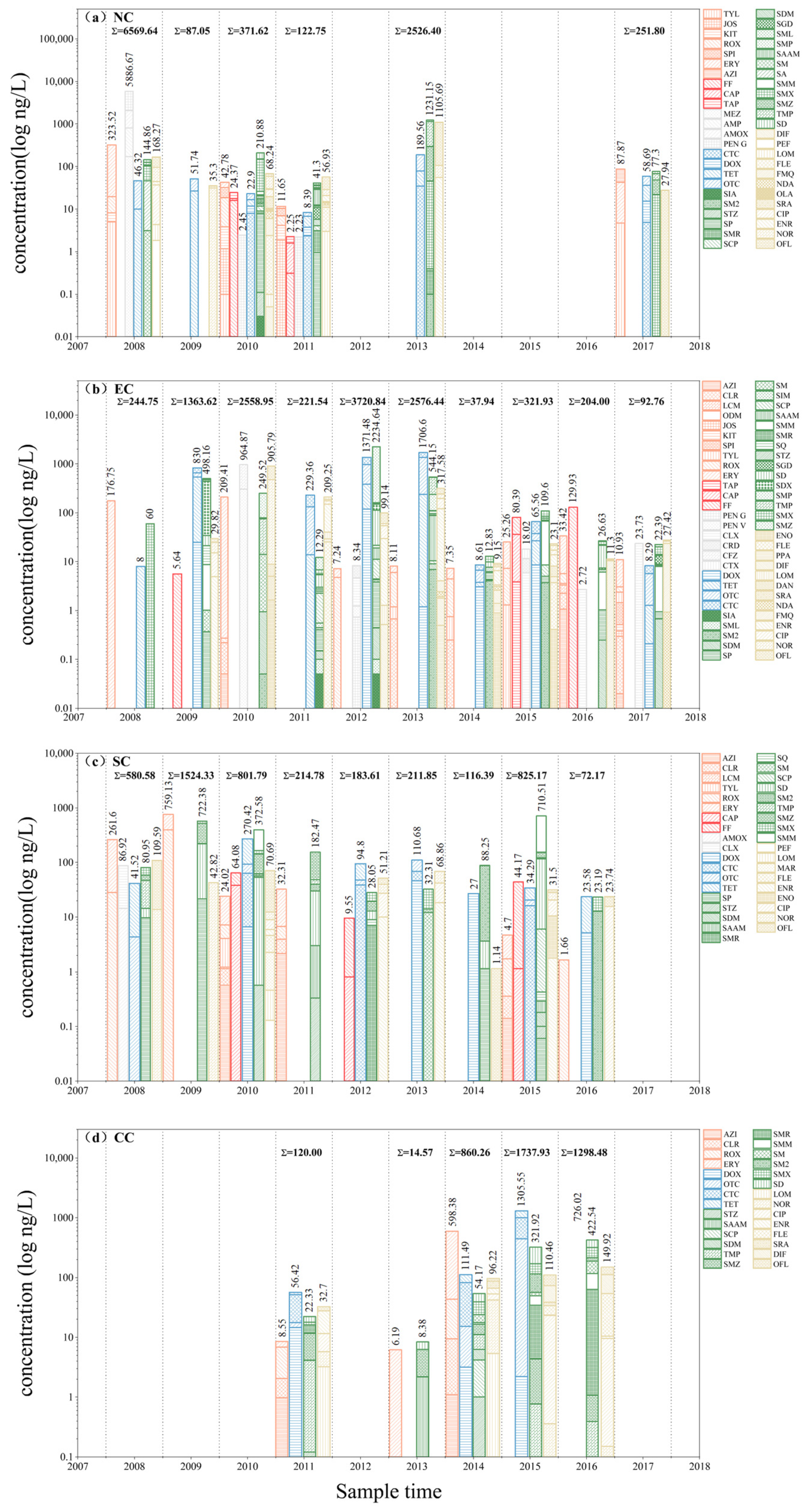
3.1. Temporal Dynamic of Antibiotics in the Typical Water Body
3.2. Spatial Distribution of Antibiotics in the Surface Water
3.3. Antibiotics Pollution in the WWTPs
3.4. Environmental Risk Assessment of Antibiotics Nationwide
4. Conclusions and Future Research Prospects
- Previous studies on antibiotics are mainly concentrated in developed areas. Further investigation on the occurrence and distribution of antibiotics in the aquatic environment, especially in the underdeveloped or developing areas (above the Hu Huanyong Line), should be carried out to make clear the level and fate of antibiotics in China and draw a map of antibiotic distribution in the water body.
- Antibiotics used in the aquaculture and livestock husbandry have resulted in their higher concentration in the water environment. Practical standards and regulations about the permissible limits and types of antibiotics in aquaculture and livestock industries should be formulated and established to control the levels of TCs, SAs and QNs in surface water and seawater.
- WWTPs are significant sources and sinks of antibiotics pollution. The removal efficiency of traditional wastewater treatment processes should be improved and the new wastewater treatment processes should be developed to cut off one of the most important pathways of antibiotics and restrict the dispreading of β-lactams, SAs and QNs in the aquatic environment.
- Combined antibiotics risk at trace level of antibiotics chronic exposure needs to be explored and the toxic effects and mechanisms of antibiotics on organisms should be paid more attention. Furthermore, the diffusion and ecological/health effect of ARGs relating to antibiotics have become another research hotspot.
Supplementary Materials
Author Contributions
Funding
Institutional Review Board Statement
Informed Consent Statement
Data Availability Statement
Conflicts of Interest
References
- Kümmerer, K. Antibiotics in the aquatic environment—A review–part I. Chemosphere 2009, 75, 417–434. [Google Scholar] [CrossRef] [PubMed]
- Kim, H.; Lee, I.; Oh, J. Human and veterinary pharmaceuticals in the marine environment including fish farms in Korea. Sci. Total Environ. 2017, 579, 940–949. [Google Scholar] [CrossRef] [PubMed]
- Krzeminski, P.; Tomei, M.C.; Karaolia, P.; Langenhoff, A.; Almeida, C.M.R.; Felis, E.; Gritten, F.; Andersen, H.R.; Fernandes, T.; Manaia, C.M.; et al. Performance of secondary wastewater treatment methods for the removal of contaminants of emerging concern implicated in crop uptake and antibiotic resistance spread: A review. Sci. Total Environ. 2019, 648, 1052–1081. [Google Scholar] [CrossRef]
- Juela, D.; Vera, M.; Cruzat, C.; Astudillo, A.; Vanegas, E. A new approach for scaling up fixed-bed adsorption columns for aqueous systems: A case of antibiotic removal on natural adsorbent. Process. Saf. Environ. 2022, 159, 953–963. [Google Scholar] [CrossRef]
- Choo, G.; Oh, J. Seasonal occurrence and removal of organophosphate esters in conventional and advanced drinking water treatment plants. Water Res. 2020, 186, 116359. [Google Scholar] [CrossRef]
- Zhang, Q.; Ying, G.; Pan, C.; Liu, Y.S.; Zhao, J.L. Comprehensive evaluation of antibiotics emission and fate in the river basins of China: Source analysis, multimedia modeling, and linkage to bacterial resistance. Environ. Sci. Technol. 2015, 49, 6772–6782. [Google Scholar] [CrossRef]
- Zhu, S.; Chen, H.; Li, J. Sources, distribution and potential risks of pharmaceuticals and personal care products in Qingshan lake basin, eastern China. Ecotox. Environ. Safe 2013, 96, 154–159. [Google Scholar] [CrossRef]
- Ying, G.; He, L.; Ying, A.J.; Zhang, Q.; Liu, Y.S.; Zhao, J.L. China must reduce its antibiotic use. Environ. Sci. Technol. 2017, 51, 1072–1073. [Google Scholar] [CrossRef]
- Jiang, Y.; Li, M.; Guo, C.; An, D.; Xu, J.; Zhang, Y.; Xi, B. Distribution and ecological risk of antibiotics in a typical effluent–receiving river (Wangyang river) in North China. Chemosphere 2014, 112, 267–274. [Google Scholar] [CrossRef] [PubMed]
- Zheng, Q.; Zhang, R.; Wang, Y.; Pan, X.; Tang, J.; Zhang, G. Occurrence and distribution of antibiotics in the Beibu gulf, China: Impacts of river discharge and aquaculture activities. Mar. Environ. Res. 2012, 78, 26–33. [Google Scholar] [CrossRef] [PubMed]
- Ma, J.; Cui, Y.; Li, A.; Zou, X.; Ma, C.; Chen, Z. Antibiotics and antibiotic resistance genes from wastewater treated in constructed wetlands. Ecol. Eng. 2022, 177, 106548. [Google Scholar] [CrossRef]
- Le, T.; Ng, C.; Tran, N.H.; Chen, H.; Gin, Y.H. Removal of antibiotic residues, antibiotic resistant bacteria and antibiotic resistance genes in municipal wastewater by membrane bioreactor systems. Water Res. 2018, 145, 498–508. [Google Scholar] [CrossRef]
- Ahmed, M.B.; Zhou, J.L.; Ngo, H.H.; Guo, W. Adsorptive removal of antibiotics from water and wastewater: Progress and challenges. Sci. Total Environ. 2015, 532, 112–126. [Google Scholar] [CrossRef] [PubMed]
- Watkinson, A.; Murby, E.; Costanzo, S. Removal of antibiotics in conventional and advanced wastewater treatment: Implications for environmental discharge and wastewater recycling. Water Res. 2007, 41, 4164–4176. [Google Scholar] [CrossRef] [PubMed]
- Binh, V.N.; Dang, N.; Anh, N.T.K.; Ky, L.X.; Thai, P.K. Antibiotics in the aquatic environment of Vietnam: Sources, concentrations, risk and control strategy. Chemosphere 2018, 197, 438–450. [Google Scholar] [CrossRef] [PubMed]
- Xu, W.; Zhang, G.; Zou, S.; Li, X.; Liu, Y. Determination of selected antibiotics in the Victoria Harbour and the Pearl River, south China using high-performance liquid chromatography-electrospray ionization tandem mass spectrometry. Environ. Pollut. 2007, 145, 672–679. [Google Scholar] [CrossRef] [PubMed]
- Michael, I.; Rizzo, L.; Mcardell, C.; Merlin, C.; Schwartz, T.; Dagot, D.; Fatta-Kassinos, D. Urban wastewater treatment plants as hotspots for the release of antibiotics in the environment: A review. Water Res. 2013, 47, 957–995. [Google Scholar] [CrossRef]
- Matsui, Y.; Ozu, T.; Inoue, T.; Matsushita, T. Occurrence of a veterinary antibiotic in streams in a small catchment area with livestock farms. Desalination 2008, 226, 215–221. [Google Scholar] [CrossRef]
- Chen, H.; Zhang, M. Occurrence and removal of antibiotic resistance genes in municipal wastewater and rural domestic sewage treatment systems in eastern China. Environ. Int. 2013, 55, 9–14. [Google Scholar] [CrossRef]
- Andreozzi, R.; Caprio, V.; Ciniglia, C.; Champdoré, M.; Giudice, R.; Marotta, R.; Zuccato, E. Antibiotics in the environment: occurrence in Italian STPs, fate, and preliminary assessment on algal toxicity of amoxicillin. Environ. Sci. Technol. 2004, 38, 6832–6838. [Google Scholar] [CrossRef]
- Zhang, Y.; Xie, J.; Liu, M.; Tian, Z.; He, Z.; Nostrand, J.D.; Ren, L.; Zhou, J.; Yang, M. Microbial community functional structure in response to antibiotics in pharmaceutical wastewater treatment systems. Water Res. 2013, 47, 6298–6308. [Google Scholar] [CrossRef] [PubMed]
- Bielen, A.; Šimatović, A.; Kosić-vukšić, J.; Senta, I.; Ahel, M.; Babić, S.; Jurina, T.; Plaza, J.J.G.; Milaković, M.; Udiković-Kolić, N. Negative environmental impacts of antibiotic-contaminated effluents from pharmaceutical industries. Water Res. 2017, 126, 79–87. [Google Scholar] [CrossRef] [PubMed]
- Liu, S.; Bekele, T.; Zhao, H.; Cai, X.; Chen, J. Bioaccumulation and tissue distribution of antibiotics in wild marine fish from Laizhou bay, north China. Sci. Total Environ. 2018, 631–632, 1398–1405. [Google Scholar] [CrossRef] [PubMed]
- Gao, H.; Zhao, F.; Li, R.; Jin, S.; Zhang, H.; Zhang, K.; Li, S.; Shu, Q.; Na, G. Occurrence and distribution of antibiotics and antibiotic resistance genes in water of Liaohe river basin, China. J. Environ. Chem. Eng. 2022, 10, 1136–1144. [Google Scholar] [CrossRef]
- Zhang, Y.; Niu, Z.; Zhang, Y.; Zhang, K. Occurrence of intracellular and extracellular antibiotic resistance genes in coastal areas of Bohai bay (China) and the factors affecting them. Environ. Pollut. 2018, 236, 126–136. [Google Scholar] [CrossRef]
- Tran, N.H.; Chen, H.; Reinhard, M.; Mao, F.; Gin, K.Y. Occurrence and removal of multiple classes of antibiotics and antimicrobial agents in biological wastewater treatment processes. Water Res. 2016, 104, 461–472. [Google Scholar] [CrossRef]
- Chen, C.; Li, J.; Chen, P.; Rui, D.; Zhang, P.; Li, X. Occurrence of antibiotics and antibiotic resistances in soils from wastewater irrigation areas in Beijing and Tianjin, China. Environ. Pollut. 2014, 193, 94–101. [Google Scholar] [CrossRef]
- Li, W.; Shi, Y.; Gao, L.; Liu, J.; Cai, Y. Occurrence of antibiotics in water, sediments, aquatic plants, and animals from Baiyangdian lake in North China. Chemosphere 2012, 89, 1307–1315. [Google Scholar] [CrossRef]
- Kim, S.; Carlson, K. Occurrence of ionophore antibiotics in water and sediments of a mixed-landscape watershed. Water Res. 2006, 40, 2549–2560. [Google Scholar] [CrossRef]
- Luo, Y.; Xu, L.; Rysz, M.; Wang, Y.; Zhang, H.; Alvarez, P.J.J. Occurrence and transport of tetracycline, sulfonamide, quinolone, and macrolide antibiotics in the Haihe river basin, China. Environ. Sci. Technol. 2011, 45, 1827–1833. [Google Scholar] [CrossRef]
- Yao, L.; Wang, Y.; Tong, L.; Li, Y.; Gan, Y.; Guo, W.; Dong, C.; Duan, Y.; Zhao, K. Occurrence and risk assessment of antibiotics in surface water and groundwater from different depths of aquifers: A case study at jianghan plain, central China. Ecotox. Environ. Safe 2017, 135, 236–242. [Google Scholar] [CrossRef] [PubMed]
- Lindsey, M.; Meyer, M.; Thurman, E.M. Analysis of trace levels of sulfonamide and tetracycline antimicrobials in groundwater and surface water using solid-phase extraction and liquid chromatography/mass spectrometry. Anal. Chem. 2001, 73, 4640–4646. [Google Scholar] [CrossRef] [PubMed]
- Lindberg, R.; Jarnheimer, P.; Olsen, B.; Johansson, M.; Tysklind, M. Determination of antibiotic substances in hospital sewage water using solid phase extraction and liquid chromatography/mass spectrometry and group analogue internal standards. Chemosphere 2004, 57, 1479–1488. [Google Scholar] [CrossRef]
- Cheng, S.F.; Lee, Y.C.; Kuo, C.Y.; Wu, T.N. A case study of antibiotic wastewater treatment by using a membrane biological reactor system. Int. Biodeter. Biodegr. 2015, 102, 398–401. [Google Scholar] [CrossRef]
- Shao, B.; Chen, D.; Zhang, J.; Wu, Y.; Sun, C. Determination of 76 pharmaceutical drugs by liquid chromatography–tandem mass spectrometry in slaughterhouse wastewater. J. Chromatogr. A 2009, 1216, 8312–8318. [Google Scholar] [CrossRef]
- Tang, J.; Shi, T.; Wu, X.; Cao, H.; Li, X.; Hua, R.; Tang, F.; Yue, Y. The occurrence and distribution of antibiotics in lake Chaohu, China: Seasonal variation, potential source and risk assessment. Chemosphere 2015, 122, 154–161. [Google Scholar] [CrossRef] [PubMed]
- Wang, W.; Wang, H.; Zhang, W.; Liang, H.; Gao, D. Occurrence, distribution, and risk assessment of antibiotics in the Songhua river in China. Environ. Sci. Pollut. R 2017, 24, 19282–19292. [Google Scholar] [CrossRef] [PubMed]
- Jia, J.; Guan, Y.; Cheng, M.; Chen, H.; He, J.; Wang, S.; Wang, Z. Occurrence and distribution of antibiotics and antibiotic resistance genes in Ba river, China. Sci. Total Environ. 2018, 642, 1136–1144. [Google Scholar] [CrossRef] [PubMed]
- Zou, S.; Xu, W.; Zhang, R.; Tang, J.; Chen, Y.; Zhang, G. Occurrence and distribution of antibiotics in coastal water of the Bohai bay, China: Impacts of river discharge and aquaculture activities. Environ. Pollut. 2011, 159, 2913–2920. [Google Scholar] [CrossRef]
- Zhang, R.; Zhang, G.; Zheng, Q.; Tang, J.; Chen, Y.; Xu, W.; Zou, Y.; Chen, X. Occurrence and risks of antibiotics in the Laizhou bay, China: Impacts of river discharge. Ecotox. Environ. Safe 2012, 80, 208–215. [Google Scholar] [CrossRef]
- Dinh, Q.T.; Moreau-guigon, E.; Labadie, P.; Labadie, P.; Alliot, F.; Teil, M.; Blanchard, M.; Chevreuil, M. Occurrence of antibiotics in rural catchments. Chemosphere 2017, 168, 483–490. [Google Scholar] [CrossRef] [PubMed]
- Gao, L.; Shi, Y.; Li, W.; Niu, H.; Liu, J.; Cai, Y. Occurrence of antibiotics in eight sewage treatment plants in Beijing, China. Chemosphere 2012, 86, 665–671. [Google Scholar] [CrossRef] [PubMed]
- Zhao, L.; Dong, Y.; Wang, H. Residues of veterinary antibiotics in manures from feedlot livestock in eight provinces of China. Sci. Total Environ. 2010, 408, 1069–1075. [Google Scholar] [CrossRef] [PubMed]
- Zuccato, E.; Castiglioni, S.; Bagnati, R.; Melis, M.; Fanelli, R. Source, occurrence and fate of antibiotics in the Italian aquatic environment. J. Hazard. Mater. 2010, 179, 1042–1048. [Google Scholar] [CrossRef]
- Managaki, S.; Murata, A.; Takada, H.; Tuyen, B.; Cheim, N. Distribution of macrolides, sulfonamides, and trimethoprim in tropical waters: Ubiquitous occurrence of veterinary antibiotics in the mekong delta. Environ. Sci. Technol. 2007, 41, 8004–8010. [Google Scholar] [CrossRef] [PubMed]
- Thiele-bruhn, S. Pharmaceutical antibiotic compounds in soils—A review. J. Plant Nutr. Soil Sc. 2003, 166, 145–167. [Google Scholar] [CrossRef]
- Boxall, A.B.A.; Fogg, L.A.; Blackwell, P.A.; Kay, P.; Pemberton, E.J.; Croxford, A. Veterinary medicines in the environment. In Reviews of Environmental Contamination and Toxicology, 1st ed.; Springer: New York, NY, USA, 2004. [Google Scholar]
- Brown, K.D.; Kulis, J.; Thomson, B.; Chapman, T.D.; Mawhinney, D.B. Occurrence of antibiotics in hospital, residential, and dairy effluent, municipal wastewater, and the Rio Grande in new Mexico. Sci. Total Environ. 2006, 366, 772–783. [Google Scholar] [CrossRef]
- Zhu, Y.; Johnson, T.A.; Su, J.; Qiao, M.; Guo, G.; Stedtfeld, R.D.; Hashsham, S.A.; Tiedje, J.M. Diverse and abundant antibiotic resistance genes in Chinese swine farms. Proc. Natl. Acad. Sci. USA 2013, 110, 3435–3440. [Google Scholar] [CrossRef]
- Li, N.; Zhang, X.; Wu, W.; Zhao, X. Occurrence, seasonal variation and risk assessment of antibiotics in the reservoirs in North China. Chemosphere 2014, 111, 327–335. [Google Scholar] [CrossRef]
- Yao, L.; Wang, Y.; Tong, L.; Li, Y.; Deng, Y.; Guo, W.; Gan, Y. Seasonal variation of antibiotics concentration in the aquatic environment: A case study at Jianghan plain, Central China. Sci. Total Environ. 2015, 527–528, 56–64. [Google Scholar] [CrossRef]
- Xu, J.; Xu, Y.; Wang, H.; Guo, C.; Qiu, H.; He, Y.; Zhang, Y.; Li, X.; Meng, W. Occurrence of antibiotics and antibiotic resistance genes in a sewage treatment plant and its effluent-receiving river. Chemosphere 2015, 119, 1379–1385. [Google Scholar] [CrossRef] [PubMed]
- Lei, X.; Lu, J.; Liu, Z.; Tong, Y.; Li, S. Concentration and distribution of antibiotics in water–sediment system of Bosten lake, Xinjiang. Environ. Sci. Pollut. R 2015, 22, 1670–1678. [Google Scholar] [CrossRef] [PubMed]
- Carvalho, I.T.; Santos, L. Antibiotics in the aquatic environments: A review of the European scenario. Environ. Int. 2016, 94, 736–757. [Google Scholar] [PubMed]
- Zhou, L.; Limbu, S.M.; Shen, M.; Zhai, W.; Qiao, F.; He, A.; Du, Z.; Zhang, M. Environmental concentrations of antibiotics impair zebrafish gut health. Environ. Pollut. 2018, 235, 245–254. [Google Scholar] [CrossRef]
- Danner, M.; Robertson, A.; Behrends, V.; Reiss, J. Antibiotic pollution in surface fresh waters: Occurrence and effects. Sci. Total Environ. 2019, 664, 793–804. [Google Scholar] [CrossRef]
- Liu, X.; Liu, Y.; Lu, S.; Guo, X.; Lu, H.; Qin, P.; Bi, B.; Wan, Z.; Xi, B.; Zhang, T.; et al. Occurrence of typical antibiotics and source analysis based on PCA-MLR model in the east Dongting lake, China. Ecotox. Environ. Safe 2018, 163, 145–152. [Google Scholar] [CrossRef]
- Li, Q.; Gao, J.; Zhang, Q.; Liang, L.; Tao, H. Distribution and risk assessment of antibiotics in a typical river in north China plain. B Environ. Contam. Tox. 2017, 98, 478–483. [Google Scholar] [CrossRef]
- Ebele, A.J.; Abou-Elwafa Abdallah, M.; Harrad, S. Pharmaceuticals and personal care products (PPCPs) in the freshwater aquatic environment. Emerg. Contam. 2017, 3, 1–16. [Google Scholar] [CrossRef]
- Shi, X.; Zhou, J.; Zhao, H.; Hou, L.; Yang, Y. Application of passive sampling in assessing the occurrence and risk of antibiotics and endocrine disrupting chemicals in the Yangtze estuary, China. Chemosphere 2014, 111, 344–351. [Google Scholar] [CrossRef]
- Tong, L.; Huang, S.; Wang, Y.; Liu, H.; Li, M. Occurrence of antibiotics in the aquatic environment of Jianghan plain, central China. Sci. Total Environ. 2014, 497–498, 180–187. [Google Scholar] [CrossRef]
- Liu, L.; Wu, W.; Zhang, J.; Lv, P.; Xu, L.; Yan, Y. Progress of research on the toxicology of antibiotic pollution in aquatic organisms. Acta Ecol. Sin. 2018, 38, 36–41. [Google Scholar] [CrossRef]
- Sun, J.; Zeng, Q.; Tsang, D.C.; Zhu, L.; Li, X. Antibiotics in the agricultural soils from the Yangtze river delta, China. Chemosphere 2017, 189, 301–308. [Google Scholar] [CrossRef] [PubMed]
- Alfredo, T.; Brian, A.C.T. Selective pressure of antibiotic pollution on bacteria of importance to public health. Environ. Health Persp. 2012, 120, 1100–1106. [Google Scholar]
- Kemper, N. Veterinary antibiotics in the aquatic and terrestrial environment. Ecol. Indic. 2008, 8, 1–13. [Google Scholar] [CrossRef]
- Sanderson, H.; Brain, R.A.; Johnson, D.J.; Wilson, C.J.; Solomon, K.R. Toxicity classification and evaluation of four pharmaceuticals classes: Antibiotics, antineoplastics, cardiovascular, and sex hormones. Toxicology 2004, 203, 27–40. [Google Scholar] [CrossRef]
- Erdem, I.; Ardic, E.; Turker, E.; Kardan, M.E.; Demirkapu, M.J. Comparison of antibiotic use in the covid-19 pandemic with the pre-pandemic period in a university hospital. Arch. Med. Sci. 2022, 18, 1392–1394. [Google Scholar] [CrossRef]
- Chen, N.; Zhou, M.; Dong, X.; Qu, J.; Gong, F.; Han, Y.; Qiu, Y.; Wang, J.; Liu, Y.; Wei, Y.; et al. Epidemiological and clinical characteristics of 99 cases of 2019 novel coronavirus pneumonia in Wuhan, China: A descriptive study. Lancet 2020, 395, 507–513. [Google Scholar] [CrossRef]
- Bu, Q.; Wang, B.; Huang, J.; Deng, S.; Yu, G. Pharmaceuticals and personal care products in the aquatic environment in China: A review. J. Hazard. Mater. 2013, 262, 189–211. [Google Scholar] [CrossRef]
- Zhang, R.; Tang, J.; Li, J.; Zheng, Q.; Liu, D.; Chen, Y.; Zou, Y.; Chen, X.; Luo, C.; Zhang, G. Antibiotics in the offshore waters of the bohai sea and the yellow sea in China: Occurrence, distribution and ecological risks. Environ. Pollut. 2013, 174, 71–77. [Google Scholar] [CrossRef]
- Du, J.; Zhao, H.; Liu, S.; Xie, H.; Wang, Y.; Chen, J. Antibiotics in the coastal water of the south yellow sea in China: Occurrence, distribution and ecological risks. Sci. Total Environ. 2017, 595, 521–527. [Google Scholar] [CrossRef]
- Meng, J.; Hong, S.; Wang, T.; Li, Q.; Yoon, S.J.; Lu, Y.; Giesy, J.P.; Khim, J.S. Traditional and new pops in environments along the Bohai and yellow seas: An overview of China and south Korea. Chemosphere 2017, 169, 503–515. [Google Scholar] [CrossRef] [PubMed]
- Ma, M.; Feng, Z.; Guan, C.; Ma, Y.; Xu, H.; Li, H. DDT, PAH and PCB in sediments from the intertidal zone of the Bohai sea and the yellow sea. Mar. Pollut. Bull. 2001, 42, 132–136. [Google Scholar] [CrossRef] [PubMed]
- Dudgeon, D. River regulation in southern China: Ecological implications, conservation and environmental management. Regul. Rivers Res. Manag. 1995, 11, 35–54. [Google Scholar] [CrossRef]
- Sarmah, A.K.; Meyer, M.T.; Boxall, A.B. A global perspective on the use, sales, exposure pathways, occurrence, fate and effects of veterinary antibiotics (vas) in the environment. Chemosphere 2006, 65, 725–759. [Google Scholar] [CrossRef] [PubMed]
- Straub, J.O. Aquatic environmental risk assessment for human use of the old antibiotic sulfamethoxazole in Europe. Environ. Toxicol. Chem. 2016, 35, 767–779. [Google Scholar] [CrossRef]
- Chen, H.; Liu, S.; Xu, X.; Liu, S.; Zhou, G.; Sun, K.; Zhao, J.; Ying, J. Antibiotics in typical marine aquaculture farms surrounding hailing island, south China: Occurrence, bioaccumulation and human dietary exposure. Mar. Pollut. Bull. 2015, 90, 181–187. [Google Scholar] [CrossRef]
- Yan, C.; Yang, Y.; Zhou, J.; Liu, M.; Nie, M.; Shi, H.; Gu, L. Antibiotics in the surface water of the yangtze estuary: Occurrence, distribution and risk assessment. Environ. Pollut. 2013, 175, 22–29. [Google Scholar] [CrossRef]
- Chen, J.; Liu, Y.; Su, H.; Ying, G.; Liu, F.; Liu, S.; He, L.; Chen, Z.; Yang, Y.; Chen, F. Removal of antibiotics and antibiotic resistance genes in rural wastewater by an integrated constructed wetland. Environ. Sci. Pollut. R 2015, 22, 1794–1803. [Google Scholar] [CrossRef]
- Gantverg, A.; Shishani, I.; Hoffman, M. Determination of chloramphenicol in animal tissues and urine: Liquid chromatography–tandem mass spectrometry versus gas chromatography–mass spectrometry. Anal. Chim. Acta 2003, 483, 125–135. [Google Scholar] [CrossRef]
- Chen, H.; Chen, H.; Ying, J.; Huang, J.; Liao, L. Dispersive liquid–liquid microextraction followed by high-performance liquid chromatography as an efficient and sensitive technique for simultaneous determination of chloramphenicol and thiamphenicol in honey. Anal. Chim. Acta 2009, 632, 80–85. [Google Scholar] [CrossRef]
- Gáspár, A.; Andrási, M.; Kardos, S. Application of capillary zone electrophoresis to the analysis and to a stability study of cephalosporins. J. Chromatogr. B 2002, 775, 239–246. [Google Scholar] [CrossRef] [PubMed]
- Zhong, Y.; Chen, Z.; Dai, X.; Liu, S.; Zheng, G.; Zhu, X.; Liu, S.; Yin, Y.; Liu, G.; Cai, Z. Investigation of the interaction between the fate of antibiotics in aquafarms and their level in the environment. J. Environ. Manag. 2018, 207, 219–229. [Google Scholar] [CrossRef]
- Yin, J.; Meng, Z.; Du, M.; Liu, C.; Song, M.; Wang, H. Pseudo-template molecularly imprinted polymer for selective screening of trace β-lactam antibiotics in river and tap water. J. Chromatogr. A 2010, 1217, 5420–5426. [Google Scholar] [CrossRef] [PubMed]
- Jiang, H.; Zhang, D.; Xiao, S.; Geng, C.; Zhang, X. Occurrence and sources of antibiotics and their metabolites in river water, WWTPs, and swine wastewater in Jiulongjiang river basin, south China. Environ. Sci. Pollut. R 2013, 20, 9075–9083. [Google Scholar] [CrossRef]
- Qin, Y.; Wen, Q.; Ma, Y.; Yang, C.; Liu, Z. Antibiotics pollution in Gonghu bay in the period of water diversion from Yangtze river to Taihu lake. Environ. Earth Sci. 2018, 77, 419. [Google Scholar] [CrossRef]
- Liu, H.; Zhang, G.; Liu, C.; Li, L.; Xiang, M. The occurrence of chloramphenicol and tetracyclines in municipal sewage and the Nanming river, Guiyang city, China. J. Environ. Monit. 2009, 11, 1199–1205. [Google Scholar] [CrossRef] [PubMed]
- Wang, Z.; Du, Y.; Yang, C.; Liu, X.; Zhang, J.; Li, E. Occurrence and ecological hazard assessment of selected antibiotics in the surface waters in and around lake Honghu, China. Sci. Total Environ. 2017, 609, 1423–1432. [Google Scholar] [CrossRef] [PubMed]
- Wu, M.; Que, C.; Tang, L.; Xu, X.; Xiang, J.; Wang, J.; Shi, W.; Xu, G. Distribution, fate, and risk assessment of antibiotics in five wastewater treatment plants in shanghai, China. Environ. Sci. Pollut. R 2016, 23, 18055–18063. [Google Scholar] [CrossRef]
- Hu, Y.; Jiang, L.; Zhang, T.; Jin, L.; Han, Q.; Zhang, D.; Lin, K.; Cui, C. Occurrence and removal of sulfonamide antibiotics and antibiotic resistance genes in conventional and advanced drinking water treatment processes. J. Hazard. Mater. 2018, 360, 364–372. [Google Scholar] [CrossRef]
- Watkinson, A.J.; Murby, E.J.; Kolpin, D.W.; Costanzo, S.D. The occurrence of antibiotics in an urban watershed: From wastewater to drinking water. Sci. Total Environ. 2009, 407, 2711–2723. [Google Scholar] [CrossRef]
- Wu, M.; Que, C.; Xu, G.; Sun, Y.; Ma, J.; Xu, H.; Sun, R.; Tang, L. Occurrence, fate and interrelation of selected antibiotics in sewage treatment plants and their receiving surface water. Ecotox. Environ. Safe 2016, 132, 132–139. [Google Scholar] [CrossRef] [PubMed]
- Zhang, Q.; Yang, W.; Ngo, H.; Guo, W.; Jin, P.; Dzakpasu, M.; Yang, S.; Wang, Q.; Wang, X.; Ao, D. Current status of urban wastewater treatment plants in China. Environ. Int. 2016, 92–93, 11–22. [Google Scholar] [CrossRef]
- Zhou, L.; Ying, G.; Liu, S.; Zhao, J.; Yang, B.; Chen, Z.; Lai, H. Occurrence and fate of eleven classes of antibiotics in two typical wastewater treatment plants in south China. Sci. Total Environ. 2013, 452–453, 365–376. [Google Scholar] [CrossRef] [PubMed]
- García-galán, M.J.; Silvia Díaz-Cruz, M.; Barceló, D. Identification and determination of metabolites and degradation products of sulfonamide antibiotics. Trac-Trend Anal. Chem. 2008, 27, 1008–1022. [Google Scholar] [CrossRef]
- Sui, Q.; Huang, J.; Deng, S.; Yu, G.; Fan, Q. Occurrence and removal of pharmaceuticals, caffeine and DEET in wastewater treatment plants of Beijing, China. Water Res. 2010, 44, 417–426. [Google Scholar] [CrossRef]
- Li, H.; Lu, X.; Li, C.; Chen, J. Molecular characterization of the liver-expressed antimicrobial peptide 2 (leap-2) in a teleost fish, Plecoglossus altivelis: Antimicrobial activity and molecular mechanism. Mol. Immunol. 2015, 65, 406–415. [Google Scholar] [CrossRef]
- Iatrou, E.I.; Stasinakis, A.S.; Thomaidis, N.S. Consumption-based approach for predicting environmental risk in Greece due to the presence of antimicrobials in domestic wastewater. Environ. Sci. Pollut. R 2014, 21, 12941–12950. [Google Scholar] [CrossRef]
- European Commission. Technical guidance document on risk assessment in support of commission directive 93/67/EEC on risk assessment for New Notified Substances Commission Regulation (EC) No. 1488/94 on Risk Assessment for Existing Substances Directive 98/8/EC of the European Parliament and of the Council Concerning the Placing of Biocidal Products on the Market. European Commission Joint Research Centre. EUR, 2011, 20418. Available online: https://echa.europa.eu/documents/10162/16960216/tgdpart2_2ed_en.pdf (accessed on 16 September 2021).
- Zhang, X.; Zhao, H.; Du, J.; Qu, Y.; Shen, C.; Tan, F.; Chen, J.; Quan, X. Occurrence, removal, and risk assessment of antibiotics in 12 wastewater treatment plants from Dalian, China. Environ. Sci. Pollut. R 2017, 24, 16478–16487. [Google Scholar] [CrossRef]
- Hernando, M.; Mezcua, M.; Fernández-alba, A.; Barceló, D. Environmental risk assessment of pharmaceutical residues in wastewater effluents, surface waters and sediments. Talanta 2006, 69, 334–342. [Google Scholar] [CrossRef]
- Yang, L.; Ying, G.; Su, H.; Stauber, J.; Adams, M.; Binet, M. Growth-inhibiting effects of 12 antibacterial agents and their mixtures on the freshwater microalga pseudokirchneriella subcapitata. Environ. Toxicol. Chem. 2008, 27, 1201–1208. [Google Scholar] [CrossRef]
- Białk-bielińska, A.; Stolte, S.; Arning, J.; Uebers, U.; Böschen, A.; Stepnowski, P.; Matzke, M. Ecotoxicity evaluation of selected sulfonamides. Chemosphere 2011, 85, 928–933. [Google Scholar] [CrossRef] [PubMed]
- Lützhøft, H.H.; Halling-sørensen, B.; Jørgensen, S.E. Algal toxicity of antibacterial agents applied in Danish fish farming. Arch. Environ. Con. Tox. 1999, 36, 1–6. [Google Scholar] [CrossRef] [PubMed]
- Backhaus, T.; Scholze, M.; Grimme, L. The single substance and mixture toxicity of quinolones to the bioluminescent bacterium vibrio fischeri. Aquat. Toxicol. 2000, 49, 49–61. [Google Scholar] [CrossRef] [PubMed]
- Liu, X.; Lu, S.; Guo, W.; Xi, B.; Wang, W. Antibiotics in the aquatic environments: A review of lakes, China. Sci. Total Environ. 2018, 627, 1195–1208. [Google Scholar] [CrossRef] [PubMed]
- Robinson, A.A.; Belden, J.B.; Lydy, M.J. Toxicity of fluoroquinolone antibiotics to aquatic organisms. Environ. Toxicol. Chem. 2005, 24, 423–430. [Google Scholar] [CrossRef]
- Deng, W.; Li, N.; Zheng, H.; Lin, H. Occurrence and risk assessment of antibiotics in river water in Hong Kong. Ecotox. Environ. Safe 2016, 125, 121–127. [Google Scholar] [CrossRef] [PubMed]
- González-pleiter, M.; Gonzalo, S.; Rodea-palomares, I.; Leganés, F.; Rosal, R.; Boltes, K.; Marco, E.; Fernández-Piñas, F. Toxicity of five antibiotics and their mixtures towards photosynthetic aquatic organisms: Implications for environmental risk assessment. Water Res. 2013, 47, 2050–2064. [Google Scholar] [CrossRef] [PubMed]
- Kolar, B.; Arnuš, L.; Jeretin, B.; Gutmaher, A.; Drobne, D.; Durjava, M.K. The toxic effect of oxytetracycline and trimethoprim in the aquatic environment. Chemosphere 2014, 115, 75–80. [Google Scholar] [CrossRef]






| Antibiotics | Abbreviation | Sensitive Aquatic Species | Toxicity Types | AF | Toxicity Data (mg L−1) | PNEC (ng L−1) | References | |
|---|---|---|---|---|---|---|---|---|
| EC50 | NOEC a | |||||||
| Roxithromycin | ROX | P. subcapitata | Chronic | 1000 | 0.047 | 47 | [102] | |
| Sulfamethazine | SMZ | Lemna minor | Acute | 1000 | 1.74 | 1740 | [103] | |
| Sulfamethoxazole | SMX | S. vacuolatus | Acute | 1000 | 1.54 | 1540 | [103] | |
| Sulfadiazine | SD | S. vacuolatus | Acute | 1000 | 2.22 | 2220 | [103] | |
| Trimethoprim | TMP | R. salina | Acute | 1000 | 16.40 | 16,400 | [104] | |
| Norfloxacin | NOR | V. fischeri | Chronic | 100 | 0.01038 | 103.8 | [105] | |
| Ofloxacin | OFL | P. subcapitata | Chronic | 100 | 0.00113 | 11.3 | [106] | |
| Enrofloxacin | ENR | M. aeruginosa | Acute | 1000 | 0.05 | 49 | [107] | |
| Chlortetracycline | CTC | C. pyrenoidosa | Acute | 1000 | 9.31 | 9310 | [87] | |
| Doxycycline | DOX | S. leopolensis | Acute | 1000 | 0.32 | 316 | [108] | |
| Tetracycline | TET | P. subcapitata | Acute | 1000 | 3.31 | 3310 | [109] | |
| Oxytetracycline | OTC | P. subcapitata | Acute | 1000 | 1.04 | 1040 | [110] | |
Disclaimer/Publisher’s Note: The statements, opinions and data contained in all publications are solely those of the individual author(s) and contributor(s) and not of MDPI and/or the editor(s). MDPI and/or the editor(s) disclaim responsibility for any injury to people or property resulting from any ideas, methods, instructions or products referred to in the content. |
© 2022 by the authors. Licensee MDPI, Basel, Switzerland. This article is an open access article distributed under the terms and conditions of the Creative Commons Attribution (CC BY) license (https://creativecommons.org/licenses/by/4.0/).
Share and Cite
Li, N.; Cai, Y.; Chen, H.; Huang, J.; Hou, Z.; Li, Q. Spatio-Temporal Distribution and Risk Assessment of Antibiotic in the Aquatic Environment in China Nationwide, A Review. Sustainability 2023, 15, 386. https://doi.org/10.3390/su15010386
Li N, Cai Y, Chen H, Huang J, Hou Z, Li Q. Spatio-Temporal Distribution and Risk Assessment of Antibiotic in the Aquatic Environment in China Nationwide, A Review. Sustainability. 2023; 15(1):386. https://doi.org/10.3390/su15010386
Chicago/Turabian StyleLi, Nan, Yongxin Cai, Hanling Chen, Junjie Huang, Zhihao Hou, and Qi Li. 2023. "Spatio-Temporal Distribution and Risk Assessment of Antibiotic in the Aquatic Environment in China Nationwide, A Review" Sustainability 15, no. 1: 386. https://doi.org/10.3390/su15010386
APA StyleLi, N., Cai, Y., Chen, H., Huang, J., Hou, Z., & Li, Q. (2023). Spatio-Temporal Distribution and Risk Assessment of Antibiotic in the Aquatic Environment in China Nationwide, A Review. Sustainability, 15(1), 386. https://doi.org/10.3390/su15010386
