From Seed to Seedling: Influence of Seed Geographic Provenance and Germination Treatments on Reproductive Material Represented by Seedlings of Robinia pseudoacacia
Abstract
:1. Introduction
2. Materials and Methods
2.1. Biological Material
2.2. Germination Stimulation
2.3. The Studied Germination Parameters
- -
- Germination percentage, GP (%),
- -
- Germination index, GI,Determinations were made for 15 days in total
- -
- Speed of emergence, SE (using germination speed/germinative energy),SE = [27].
- -
- Coefficient of germination speed, CRG,
- -
- n1 = number of seeds germinated on day 1 (T1); n2 = number of seeds germinated on day 2 (T2); nn = number of seeds germinated on day n (Tn)
- -
- Seedling vigor index, SVI,
2.4. Statistical Design and Data Analysis
3. Results
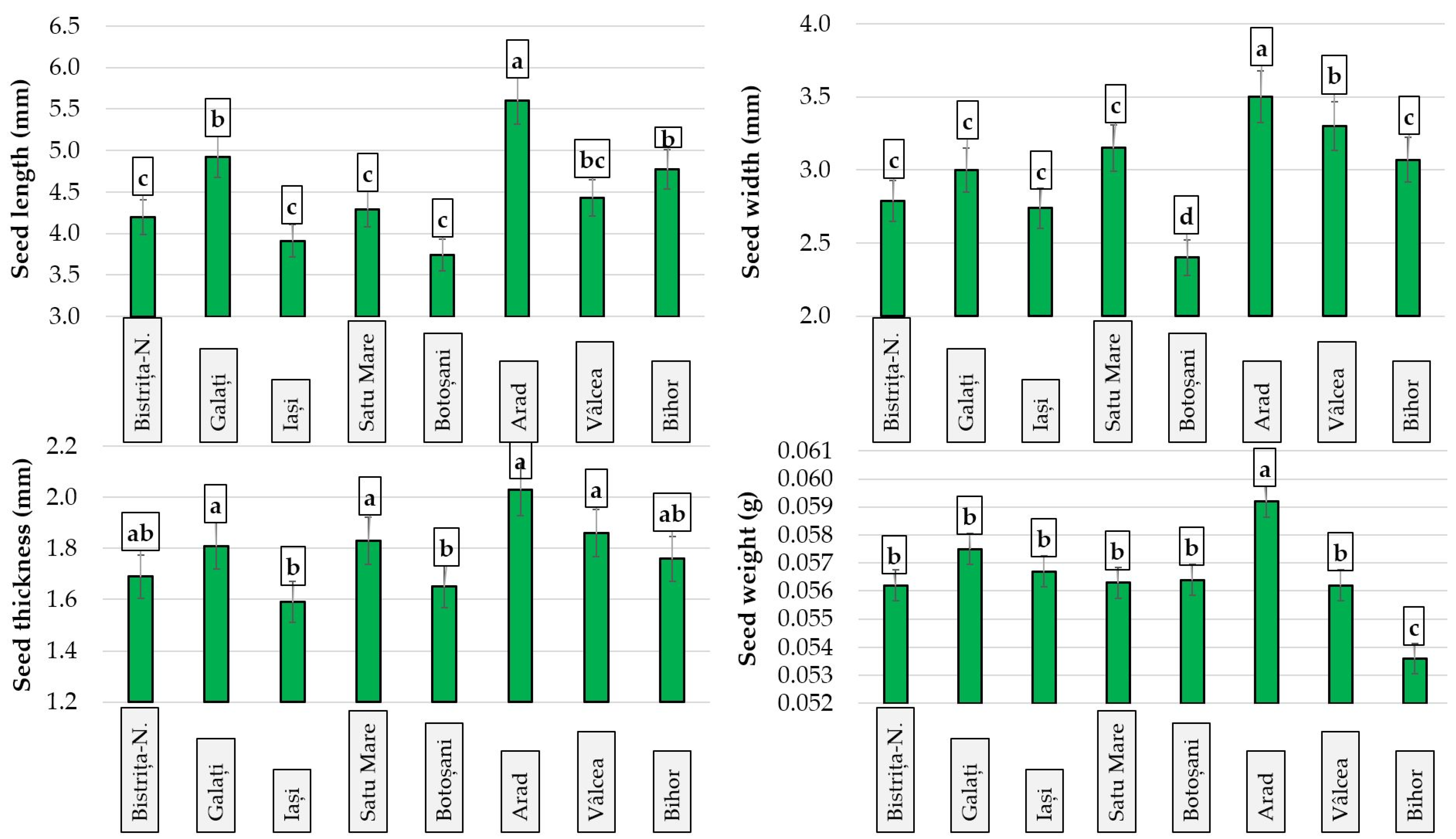
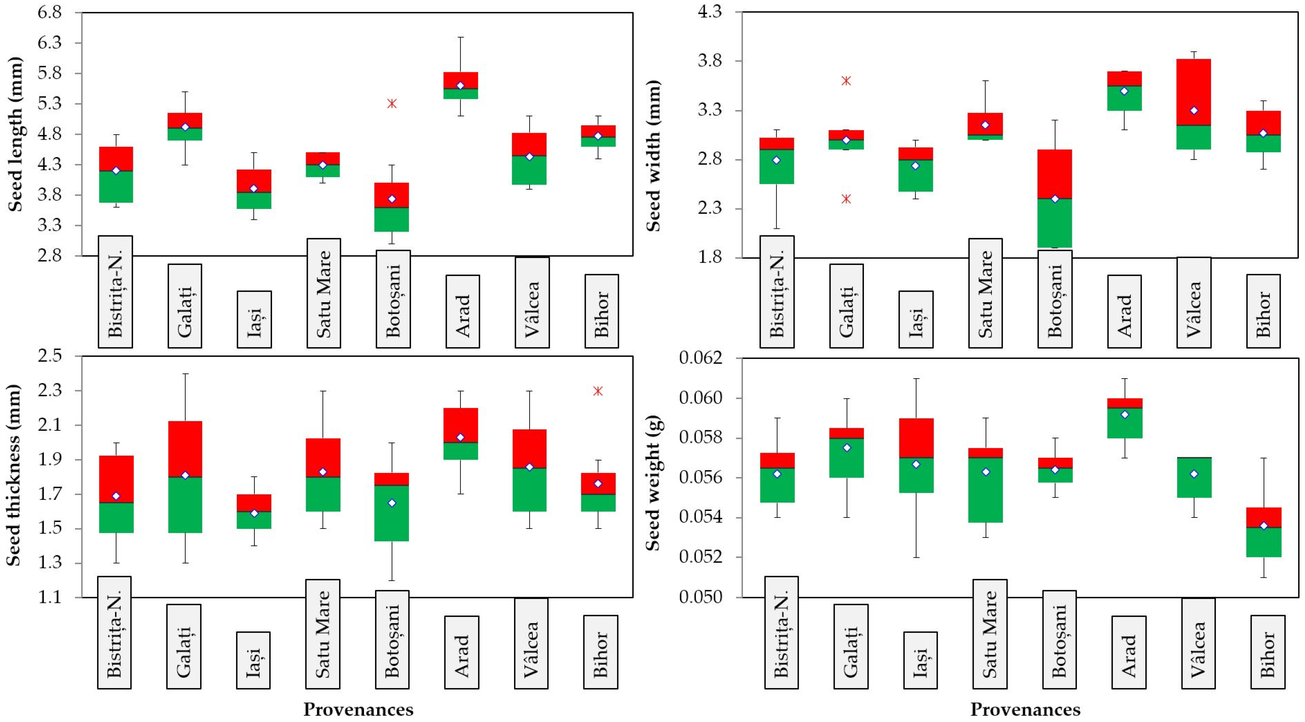
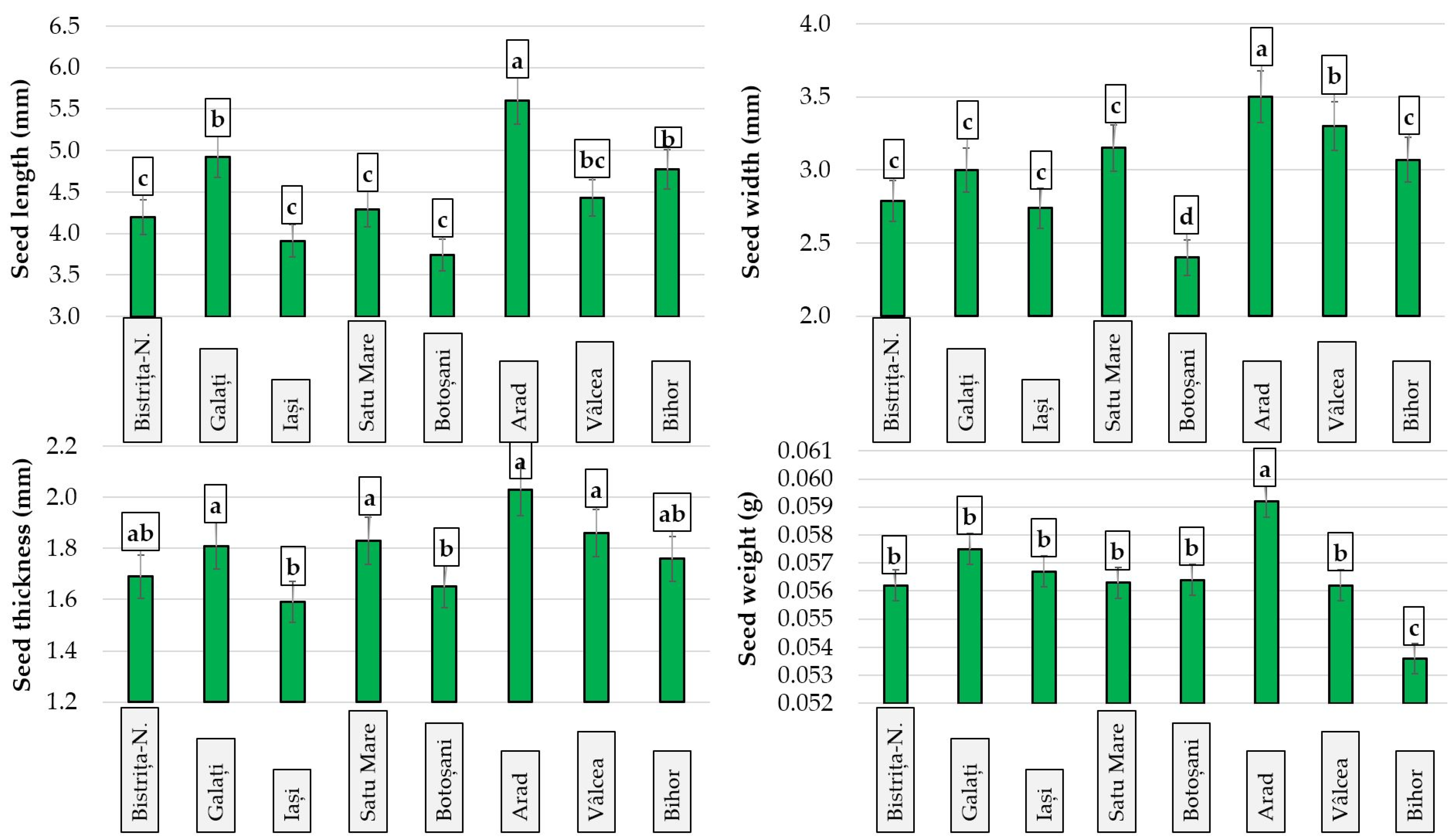
3.1. Seed Characteristics
3.2. R. pseudoacacia Seed Germination
3.3. Seedling Survey and Growth Rate Depending on Provenances
3.4. The Overall Influence of the Provenances
4. Discussion
5. Conclusions
Author Contributions
Funding
Institutional Review Board Statement
Informed Consent Statement
Conflicts of Interest
References
- Vítková, M.; Müllerová, J.; Sádlo, J.; Pergl, J.; Pyšek, P. Black locust (Robinia pseudoacacia) beloved and despised: A story of an invasive tree in Central Europe. For. Ecol. Manag. 2017, 384, 287–302. [Google Scholar] [CrossRef] [PubMed]
- Cierjacks, A.; Kowarik, I.; Joshi, J.; Hempel, S.; Ristow, M.; von der Lippe, M.; Weber, E. Biological Flora of the British Isles: Robinia pseudoacacia. J. Ecol. 2013, 101, 1623–1640. [Google Scholar] [CrossRef]
- Giuliani, C.; Lazzaro, L.; Calamassi, R.; Fico, G.; Foggi, B.; Mariotti Lippi, M. Induced water stress affects seed germination response and root anatomy in Robinia pseudoacacia (Fabaceae). Trees 2019, 33, 1627–1638. [Google Scholar] [CrossRef]
- DeGomez, T.; Wagner, M.R. Culture and use of black locust. Hort. Technol. 2001, 11, 279–288. [Google Scholar] [CrossRef] [Green Version]
- Zhang, H.; Liu, Z.; Chen, H.; Tang, M. Symbiosis of Arbuscular Mycorrhizal Fungi and Robinia pseudoacacia L. Improves Root Tensile Strength and Soil Aggregate Stability. PLoS ONE 2016, 11, e0153378. [Google Scholar] [CrossRef] [PubMed] [Green Version]
- Roman, A.M.; Truta, A.M.; Viman, O.; Morar, I.M.; Spalevic, V.; Dan, C.; Sestras, A.F. Seed Germination and Seedling Growth of Robinia pseudoacacia Depending on the Origin of Different Geographic Provenances. Diversity 2022, 14, 34. [Google Scholar] [CrossRef]
- Surles, S.E.; Hamrick, J.L.; Bongarten, B.C. Allozyme variation in black locust (Robinia pseudoacacia). Can. J. For. Res. 1989, 19, 471–479. [Google Scholar] [CrossRef]
- Giovanetti, M.; Aronne, G. Honey bee handling behaviour on the papilionate flower of Robinia pseudoacacia L. Arthropod Plant Interact. 2013, 7, 119–124. [Google Scholar] [CrossRef]
- Masaka, K.; Yamada, K. Variation in germination character of Robinia pseudoacacia L. (Leguminosae) seeds at individual tree level. J. For. Res. 2009, 14, 167–177. [Google Scholar] [CrossRef]
- Hille Ris Lambers, J.; Clark, J.S.; Lavine, M. Implications of seed banking for recruitment of southern Appalachian woody species. Ecology 2005, 86, 85–95. [Google Scholar] [CrossRef] [Green Version]
- Giuliani, C.; Lazzaro, L.; Mariotti Lippi, M.; Calamassi, R.; Foggi, B. Temperature-related effects on the germination capacity of black locust (Robinia pseudoacacia L., Fabaceae) seeds. Folia Geobot. 2015, 50, 275–282. [Google Scholar] [CrossRef]
- Pinna, M.S.; Mattana, E.; Cañadas, E.M.; Bacchetta, G. Effects of pre-treatments and temperature on seed viability and germination of Juniperus macrocarpa Sm. Comp. Rend. Biol. 2014, 337, 338–344. [Google Scholar] [CrossRef] [PubMed]
- Ferreras, A.E.; Galetto, L. From seed production to seedling establishment: Important steps in an invasive process. Acta Oecol. 2010, 36, 211–218. [Google Scholar] [CrossRef]
- Ganatsas, P.; Tsakaldimi, M. A comparative study of desiccation responses of seeds of three drought-resistant Mediterranean oaks. For. Ecol. Manag. 2013, 305, 189–194. [Google Scholar] [CrossRef]
- Roman, A.M.; Morar, I.M.; Truta, A.M.; Dan, C.; Sestras, A.F.; Holonec, L.; Ioras, F.; Sestras, R.E. Trees, seeds and seedlings analyses in the process of obtaining a quality planting material for black locust (Robinia pseudoacacia L.). Not. Sci. Biol. 2020, 12, 940–958. [Google Scholar] [CrossRef]
- Kader, M.A. A comparison of seed germination calculation formulae and the associated interpretation of resulting data. J. Proc. R. Soc. New South Wales 2005, 138, 65–75. [Google Scholar]
- Bouteiller, X.P.; Moret, F.; Ségura, R.; Klisz, M.; Martinik, A.; Monty, A.; Pino, J.; van Loo, M.; Wojda, T.; Porté, A.J.; et al. The seeds of invasion: Enhanced germination in invasive European populations of black locust (Robinia pseudoacacia L.) compared to native American populations. Plant Biol. 2021, 23, 1006–1017. [Google Scholar] [CrossRef]
- Hidayati, S.N.; Baskin, J.M.; Baskin, C.C. Dormancy-breaking and germination requirements for seeds of Symphoricarpos orbiculatus (Caprifoliaceae). Am. J. Bot. 2001, 88, 1444–1451. [Google Scholar] [CrossRef]
- ISTA. International Rules for Seed Testing, 2013rd ed.; International Seed Testing Association: Bassersdorf, Switzerland, 2013. [Google Scholar]
- Pârnuta, G.S.E.; Budeanu, M.; Scarlatescu, V.; Marica, F.M.; Lalu, I.; Curtu, A.L. National Catalog of Forest Genetic Resources and Forest Reproductive Materials; Editura Silvica: Bucharest, Romania, 2011. (In Romanian) [Google Scholar]
- Campobenedetto, C.; Grange, E.; Mannino, G.; Van Arkel, J.; Beekwilder, J.; Karlova, R.; Bertea, C.M. A biostimulant seed treatment improved heat stress tolerance during cucumber seed germination by acting on the antioxidant system and glyoxylate cycle. Front. Plant Sci. 2020, 11, 836. [Google Scholar] [CrossRef]
- Paulsen, T.R.; Colville, L.; Kranner, I.; Daws, M.I.; Högstedt, G.; Vandvik, V.; Thompson, K. Physical dormancy in seeds: A game of hide and seek? New Phytol. 2013, 198, 496–503. [Google Scholar] [CrossRef]
- Fetouh, M.I.; Hassan, F.A. Seed germination criteria and seedling characteristics of Magnolia grandiflora L. trees after cold stratification treatments. Int. J. Curr. Microbiol. Appl. Sci. 2014, 3, 235–241. [Google Scholar]
- Możdżeń, K.; Barabasz-Krasny, B.; Stachurska-Swakoń, A.; Zandi, P.; Puła, J.; Wang, Y.; Turisova, I. Allelopathic interaction between two common meadow plants: Dactylis glomerata L. and Trifolium pratense L. Biologia 2020, 75, 653–663. [Google Scholar] [CrossRef] [Green Version]
- Holonec, R.; Viman, O.; Morar, I.M.; Sîngeorzan, S.; Scheau, C.; Vlasin, H.D.; Holonec, L.; Truta, A.M. Non-chemical treatments to improve the seeds germination and plantlets growth of sessile oak. Not. Bot. Horti Agrobot. Cluj-Napoca 2021, 49, 12401. [Google Scholar] [CrossRef]
- Association of Official Seed Analysis (AOSA). Seed Vigor Testing Handbook; Contribution No. 32 to the Handbook on Seed Testing; AOSA: Ithaca, NY, USA, 1983. [Google Scholar]
- Islam, A.K.; Anuar, N.; Yaakob, Z. Effect of genotypes and pre-sowing treatments on seed germination behavior of Jatropha. Asian J. Plant Sci. 2003, 8, 433–439. [Google Scholar] [CrossRef]
- Bewley, J.D.; Black, M. Dormancy and the control of germination. In Seeds; Springer: Boston, MA, USA, 1994; pp. 199–271. [Google Scholar]
- Chiapusio, G.; Sanchez, A.M.; Reigosa, M.J.; Gonzalez, L.; Pellissier, F. Do germination indices adequately reflect allelochemical effects on the germination process? J. Chem. Ecol. 1997, 23, 2445–2453. [Google Scholar] [CrossRef]
- Hossain, M.A.; Arefin, M.K.; Khan, B.M.; Rahman, M.A. Effects of seed treatments on germination and seedling growth attributes of Horitaki (Terminalia chebula Retz.) in the nursery. Res. J. Agric. Biol. Sci. 2005, 1, 135–141. [Google Scholar]
- Wessa, P. Free Statistics Software, Office for Research Development and Education, Version 1.2.1. 2022. Available online: https://www.wessa.net/ (accessed on 9 March 2022).
- Sestras, A.F. Biostatistica si Tehnica Experimentala Forestiera: Manual Didactic; Editura Academic Press: Cluj-Napoca, Romania, 2018. [Google Scholar]
- Taylor, R. Interpretation of the correlation coefficient: A basic review. J. Diagn. Med. Sonogr. 1990, 6, 35–39. [Google Scholar] [CrossRef]
- Ter Braak, C.J.; Verdonschot, P.F. Canonical correspondence analysis and related multivariate methods in aquatic ecology. Aquat. Sci. 1995, 57, 255–289. [Google Scholar] [CrossRef]
- Kheloufi, A.; Mansouri, L.; Aziz, N.; Sahnoune, M.; Boukemiche, S.; Ababsa, B. Breaking seed coat dormancy of six tree species. Reforesta 2018, 5, 4–14. [Google Scholar] [CrossRef]
- Pedrol, N.; Puig, C.G.; López-Nogueira, A.; Pardo-Muras, M.; González, L.; Alonso, P.S. Optimal and synchronized germination of Robinia pseudoacacia, Acacia dealbata and other woody Fabaceae using a handheld rotary tool: Concomitant reduction of physical and physiological seed dormancy. J. For. Res. 2017, 29, 283–290. [Google Scholar] [CrossRef]
- Yuan, H.; Hu, B.; Liu, Z.; Sun, H.; Zhou, M.; Rennenberg, H. Physiological responses of black locust-rhizobia symbiosis to water stress. Physiol. Plant 2022, 174, e13641. [Google Scholar] [CrossRef] [PubMed]
- Chika, P.J.; Sakpere, A.M.; Akinropo, M.S. Effect of pretreatments on germination of seeds of the timber plant, Terminalia ivorensis and Mansonnia altissima (a. Chev.). Not. Sci. Biol. 2020, 12, 334–340. [Google Scholar] [CrossRef]
- Jastrzebowski, S.; Ukalska, J.; Kantorowicz, W.; Klisz, M.; Wojda, T.; Sułkowska, M. Effects of thermal-time artificial scarification on the germination dynamics of black locust (Robinia pseudoacacia L.) seeds. Eur. J. For. Res. 2017, 136, 471–479. [Google Scholar] [CrossRef] [Green Version]
- Tylkowski, T.; Grupa, R. Skutecznosść przedsiewnych metod skaryfikacji nasion robinii akacjowej. Sylwan 2010, 154, 33–40. [Google Scholar]
- Mondoni, A.; Tazzari, E.R.; Zubani, L.; Orsenigo, S.; Rossi, G. Percussion as an effective seed treatment for herbaceous legumes (Fabaceae): Implications for habitat restoration and agriculture. Seed Sci. Technol. 2013, 41, 175–187. [Google Scholar] [CrossRef]
- Olson, D.F., Jr.; Barnes, R.L.; Karrfalt, R.P. Sabal palmetto. In The Woody Plant Seed Manual; USDA: Washington, DC, USA, 2008; pp. 997–999. [Google Scholar]
- Zajaczkowski, K. Robinia akacjowa jako roślina energetyczna. Wokół Energetyki 2007, 10, 30–33. [Google Scholar]
- Nicolescu, V.N.; Hernea, C.; Bakti, B.; Keserű, Z.; Antal, B.; Rédei, K. Black locust (Robinia pseudoacacia L.) as a multipurpose tree species in Hungary and Romania: A review. J. For. Res. 2018, 29, 1449–1463. [Google Scholar] [CrossRef]
- Cruz, O.; Riveiro, S.F.; Arán, D.; Bernal, J.; Casal, M.; Reyes, O. Germinative behaviour of Acacia dealbata Link, Ailanthus altissima (Mill.) Swingle and Robinia pseudoacacia L. in relation to fire and exploration of the regenerative niche of native species for the control of invaders. Glob. Ecol. Conserv. 2021, 31, e01811. [Google Scholar] [CrossRef]
- Bonner, F.T.; Karrfalt, R.P. Robinia. The woody plant seed manual. In USDA Forest Service Agriculture Handbook; USDA: Washington, DC, USA, 2008; Volume 727, pp. 928–938. [Google Scholar]
- Usberti, R.; Martins, L. Sulphuric acid scarification effects on Brachiaria brizantha, B. humidicola and Panicum maximum seed dormancy release. Rev. Bras Sementes 2007, 29, 143–147. [Google Scholar] [CrossRef]
- Bennis, M.; Perez-Tapia, V.; Alami, S.; Bouhnik, O.; Lamin, H.; Abdelmoumen, H.; El Idrissi, M.M. Characterization of plant growth-promoting bacteria isolated from the rhizosphere of Robinia pseudoacacia growing in metal-contaminated mine tailings in eastern Morocco. J. Environ. Manag. 2022, 304, 114321. [Google Scholar] [CrossRef]
- Lucas-Borja, M.E.; Candel-Pérez, D.; Onkelinx, T.; Fule, P.Z.; Moya, D.; De las Heras, J.; Tíscar, P.A. Seed origin and protection are important factors affecting post-fire initial recruitment in pine forest areas. Forests 2017, 8, 185. [Google Scholar] [CrossRef] [Green Version]
- Gál, J. Influence of regeneration method on the yield and stem quality of Black locust (Robinia pseudoacacia L.) stands: A case study. Acta Silv. Lignaria Hung. 2012, 8, 103–112. [Google Scholar]
- Dini-Papanastasi, O.; Kostopoulou, P.; Radoglou, K. Effects of seed origin, growing medium and mini-plug density on early growth and quality of black locust (Robinia pseudoacacia [L.]) seedlings. J. For. Sci. 2012, 58, 8–20. [Google Scholar] [CrossRef] [Green Version]
- Wagner, H.H. Direct multi–scale ordination with canonical correspondence analysis. Ecology 2004, 85, 342–351. [Google Scholar] [CrossRef]









| No. | Treatment/Provenance | Germination Indices | ||||
|---|---|---|---|---|---|---|
| GP | GI | SE | CRG | SVI | ||
| Control (no treatment) | ||||||
| 1 | Bistrița-N. | 1.5 | 0.3 | 33.3 | 10.3 | 0.05 |
| 2 | Galați | 1.0 | 0.2 | 50.0 | 11.8 | 0.03 |
| 3 | Iași | 2.0 | 0.5 | 75.0 | 10.8 | 0.08 |
| 4 | Satu-Mare | 2.5 | 0.4 | 20.0 | 8.2 | 0.08 |
| 5 | Botoșani | 3.0 | 0.7 | 66.7 | 10.5 | 0.11 |
| 6 | Arad | 2.5 | 0.5 | 60.0 | 10.8 | 0.08 |
| 7 | Vâlcea | 3.5 | 0.7 | 28.6 | 10.1 | 0.10 |
| 8 | Bihor | 1.5 | 0.2 | 33.3 | 8.1 | 0.06 |
| Scarification | ||||||
| 1 | Bistrița-N. | 55.0 | 14.5 | 32.7 | 11.2 | 3.03 |
| 2 | Galați | 68.5 | 12.6 | 4.4 | 8.6 | 1.40 |
| 3 | Iași | 78.5 | 22.1 | 25.5 | 12.6 | 4.71 |
| 4 | Satu-Mare | 51.0 | 8.9 | 2.9 | 8.3 | 2.55 |
| 5 | Botoșani | 10.5 | 2.5 | 14.3 | 10.7 | 0.74 |
| 6 | Arad | 11.0 | 2.2 | 9.1 | 9.0 | 0.61 |
| 7 | Vâlcea | 50.0 | 8.7 | 4.0 | 8.2 | 1.50 |
| 8 | Bihor | 9.0 | 2.1 | 16.7 | 10.1 | 0.30 |
| Thermal treatment (100 °C) | ||||||
| 1 | Bistrița-N. | 60.0 | 14.6 | 23.3 | 10.3 | 3.0 |
| 2 | Galați | 13.0 | 2.8 | 15.4 | 9.5 | 0.52 |
| 3 | Iași | 56.0 | 12.6 | 10.7 | 10.2 | 3.1 |
| 4 | Satu-Mare | 63.5 | 15.1 | 26.0 | 9.9 | 3.2 |
| 5 | Botoșani | 10.2 | 2.9 | 45.3 | 12.8 | 0.55 |
| 6 | Arad | 10.0 | 3.0 | 45.0 | 13.0 | 0.52 |
| 7 | Vâlcea | 41.5 | 9.2 | 18.1 | 9.6 | 1.33 |
| 8 | Bihor | 17.0 | 3.4 | 8.8 | 9.1 | 0.51 |
| Thermal treatment (70 °C) | ||||||
| 1 | Bistrița-N. | 5.0 | 1.3 | 20.0 | 11.9 | 0.23 |
| 2 | Galați | 6.0 | 1.5 | 8.3 | 11.2 | 0.18 |
| 3 | Iași | 6.0 | 1.6 | 33.3 | 11.8 | 0.33 |
| 4 | Satu-Mare | 6.3 | 1.5 | 33.5 | 11.9 | 0.25 |
| 5 | Botoșani | 6.1 | 1.6 | 8.4 | 11.5 | 0.19 |
| 6 | Arad | 6.2 | 1.7 | 7.9 | 11.4 | 0.30 |
| 7 | Vâlcea | 4.5 | 1.5 | 66.7 | 14.1 | 0.14 |
| 8 | 8 | 2.0 | 0.4 | 75.0 | 9.5 | 0.06 |
| Thermal treatment (40 °C) | ||||||
| 1 | Bistrița-N. | 2.5 | 0.6 | 40.0 | 11.1 | 0.11 |
| 2 | Galați | 33.5 | 6.2 | 6.0 | 8.6 | 1.07 |
| 3 | Iași | 7.5 | 1.7 | 13.3 | 9.7 | 0.34 |
| 4 | Satu-Mare | 5.0 | 1.3 | 20.0 | 11.6 | 0.25 |
| 5 | Botoșani | 8.1 | 2.8 | 25.2 | 15.4 | 0.32 |
| 6 | Arad | 8.0 | 2.6 | 25.0 | 15.2 | 0.40 |
| 7 | Vâlcea | 8.5 | 1.8 | 11.8 | 9.8 | 0.26 |
| 8 | Bihor | 18.0 | 4.1 | 8.3 | 10.3 | 0.72 |
| Biostimulation | ||||||
| 1 | Bistrița-N. | 4.5 | 1.1 | 33.3 | 10.7 | 0.14 |
| 2 | Galați | 5.1 | 1.4 | 10.1 | 12.5 | 0.15 |
| 3 | Iași | 5.0 | 1.1 | 10.0 | 10.1 | 0.20 |
| 4 | Satu-Mare | 4.5 | 1.0 | 11.1 | 10.1 | 0.14 |
| 5 | Botoșani | 11.7 | 2.1 | 8.4 | 9.2 | 0.31 |
| 6 | Arad | 11.5 | 2.3 | 8.7 | 9.5 | 0.35 |
| 7 | Vâlcea | 7.5 | 2.1 | 40.0 | 11.9 | 0.23 |
| 8 | Bihor | 3.0 | 0.5 | 16.7 | 8.0 | 0.12 |
| Acetone (90%) | ||||||
| 1 | Bistrița-N. | 3.5 | 0.7 | 14.3 | 9.3 | 0.11 |
| 2 | Galați | 2.5 | 0.8 | 40.0 | 14.3 | 0.10 |
| 3 | Iași | 5.0 | 1.1 | 10.0 | 10.1 | 0.15 |
| 4 | Satu-Mare | 5.5 | 1.5 | 36.4 | 11.1 | 0.22 |
| 5 | Botoșani | 10.2 | 2.5 | 9.8 | 10.2 | 0.35 |
| 6 | Arad | 10.0 | 2.3 | 10.0 | 10.6 | 0.32 |
| 7 | Vâlcea | 7.5 | 1.7 | 6.7 | 10.6 | 0.23 |
| 8 | Bihor | 3.0 | 0.6 | 16.7 | 8.8 | 0.16 |
| Treatment | Germination Indices | ||||
|---|---|---|---|---|---|
| GP | GI | SE | CRG | SVI | |
| Control (no treatment) | 2.2 e | 0.4 e | 45.9 a | 10.1 a | 0.1 e |
| Scarification | 41.7 a | 9.2 a | 13.7 e | 9.8 a | 1.9 a |
| Thermal treatment (100 °C) | 33.9 b | 8.0 b | 24.1 c | 10.6 a | 1.6 b |
| Thermal treatment (70 °C) | 5.3 d | 1.4 d | 31.6 b | 11.7 b | 0.2 d |
| Thermal treatment (40 °C) | 11.4 c | 2.6 c | 18.7 d | 11.5 b | 0.4 c |
| Biostimulation | 6.6 d | 1.5 d | 17.3 d | 10.3 a | 0.2 d |
| Acetone (90%) | 5.9 d | 1.4 d | 18.0 d | 10.6 a | 0.2 d |
| No. | Provenance | Seedling Height (cm) | Seedling Diameter (mm) | Seedling Height (cm) | Seedling Diameter (mm) | ||||
|---|---|---|---|---|---|---|---|---|---|
| First Year | First Year | Second Year | Second Year | ||||||
| Mean * ± SEM | CV% | Mean ± SEM | CV% | Mean ± SEM | CV% | Mean ± SEM | CV% | ||
| 1 | Bistrița-N. | 24.6 c ± 0.9 | 39.4 | 1.4 c ± 0.1 | 42.0 | 46.2 c ± 1.0 | 21.2 | 5.7 c ± 0.1 | 20.7 |
| 2 | Galați | 70.4 a ± 1.4 | 20.2 | 5.0 a ± 0.2 | 44.5 | 87.6 a ± 1.8 | 20.1 | 10.8 a ± 0.4 | 34.0 |
| 3 | Iași | 53.7 b ± 2.1 | 39.7 | 3.6 ab ± 0.2 | 52.2 | 82.3 a ± 1.4 | 17.2 | 7.8 b ± 0.2 | 23.1 |
| 4 | Satu Mare | 29.6 c ± 1.5 | 51.3 | 2.3 bc ± 0.1 | 43.2 | 57.4 b ± 1.3 | 22.7 | 7.4 b ± 0.2 | 28.2 |
| 5 | Botoșani | 46.0 b ± 1.8 | 39.6 | 3.2 b ± 0.1 | 42.9 | 77.4 a ± 1.3 | 17.2 | 8.2 b ± 0.2 | 20.8 |
| 6 | Arad | 45.2 b ± 1.6 | 34.9 | 2.8 b ± 0.1 | 47.1 | 76.9 a ± 1.3 | 16.8 | 7.5 b ± 0.2 | 23.3 |
| 7 | Vâlcea | 50.7 b ± 1.7 | 34.2 | 4.4 a ± 0.2 | 45.8 | 77.4 a ± 1.4 | 18.4 | 10.9 a ± 0.3 | 26.2 |
| 8 | Bihor | 41.8 b ± 1.9 | 45.2 | 1.8 c ± 0.1 | 59.7 | 62.2 b ± 1.3 | 21.7 | 6.7 bc ± 0.2 | 25.8 |
| No. | Provenance | Seedling Height (cm) | Seedling Diameter (mm) | Number of Ramifications per Plant | |||
|---|---|---|---|---|---|---|---|
| Mean * ± SEM | CV% | Mean ± SEM | CV% | Mean ± SEM | CV% | ||
| 1 | Bistrița-N. | 65.0 d ± 1.7 | 26.2 | 6.8 d ± 0.2 | 24.8 | 6.1 b ± 0.1 | 19.8 |
| 2 | Galați | 274.0 a ± 4.8 | 17.5 | 31.6 a ± 0.5 | 16.3 | 10.1 a ± 0.2 | 19.0 |
| 3 | Iași | 203.5 b ± 6.6 | 32.6 | 15.7 c ± 0.6 | 41.0 | 7.4 b ± 0.2 | 21.7 |
| 4 | Satu Mare | 213.5 b ± 3.7 | 17.5 | 14.8 c ± 0.6 | 38.8 | 6.8 b ± 0.1 | 18.8 |
| 5 | Botoșani | 258.0 a ± 5.4 | 20.9 | 29.9 a ± 0.9 | 29.6 | 9.7 a ± 0.2 | 20.5 |
| 6 | Arad | 116.5 c ± 3.4 | 29.3 | 13.0 c ± 0.4 | 30.3 | 7.2 b ± 0.1 | 19.9 |
| 7 | Vâlcea | 267.0 a ± 5.1 | 18.9 | 23.3 b ± 0.5 | 23.2 | 9.4 a ± 0.2 | 18.4 |
| 8 | Bihor | 278.0 a ± 6.6 | 23.7 | 25.3 b ± 0.6 | 25.1 | 6.3 b ± 0.1 | 13.7 |
Publisher’s Note: MDPI stays neutral with regard to jurisdictional claims in published maps and institutional affiliations. |
© 2022 by the authors. Licensee MDPI, Basel, Switzerland. This article is an open access article distributed under the terms and conditions of the Creative Commons Attribution (CC BY) license (https://creativecommons.org/licenses/by/4.0/).
Share and Cite
Roman, A.M.; Truta, A.M.; Morar, I.M.; Viman, O.; Dan, C.; Sestras, A.F.; Holonec, L.; Boscaiu, M.; Sestras, R.E. From Seed to Seedling: Influence of Seed Geographic Provenance and Germination Treatments on Reproductive Material Represented by Seedlings of Robinia pseudoacacia. Sustainability 2022, 14, 5654. https://doi.org/10.3390/su14095654
Roman AM, Truta AM, Morar IM, Viman O, Dan C, Sestras AF, Holonec L, Boscaiu M, Sestras RE. From Seed to Seedling: Influence of Seed Geographic Provenance and Germination Treatments on Reproductive Material Represented by Seedlings of Robinia pseudoacacia. Sustainability. 2022; 14(9):5654. https://doi.org/10.3390/su14095654
Chicago/Turabian StyleRoman, Andreea M., Alina M. Truta, Irina M. Morar, Oana Viman, Catalina Dan, Adriana F. Sestras, Liviu Holonec, Monica Boscaiu, and Radu E. Sestras. 2022. "From Seed to Seedling: Influence of Seed Geographic Provenance and Germination Treatments on Reproductive Material Represented by Seedlings of Robinia pseudoacacia" Sustainability 14, no. 9: 5654. https://doi.org/10.3390/su14095654
APA StyleRoman, A. M., Truta, A. M., Morar, I. M., Viman, O., Dan, C., Sestras, A. F., Holonec, L., Boscaiu, M., & Sestras, R. E. (2022). From Seed to Seedling: Influence of Seed Geographic Provenance and Germination Treatments on Reproductive Material Represented by Seedlings of Robinia pseudoacacia. Sustainability, 14(9), 5654. https://doi.org/10.3390/su14095654

