Deep Learning-Based Projection of Occurrence Frequency of Forest Fires under SSP Scenario: Exploring the Link between Drought Characteristics and Forest Fires
Abstract
:1. Introduction
2. Materials and Methods
2.1. Procedure
2.2. Data
2.2.1. Application Sites and Observation Data
2.2.2. Climate Change Scenario Data
2.2.3. Standardized Precipitation Index
3. DBN-Based of Prediction Modeling
4. Results
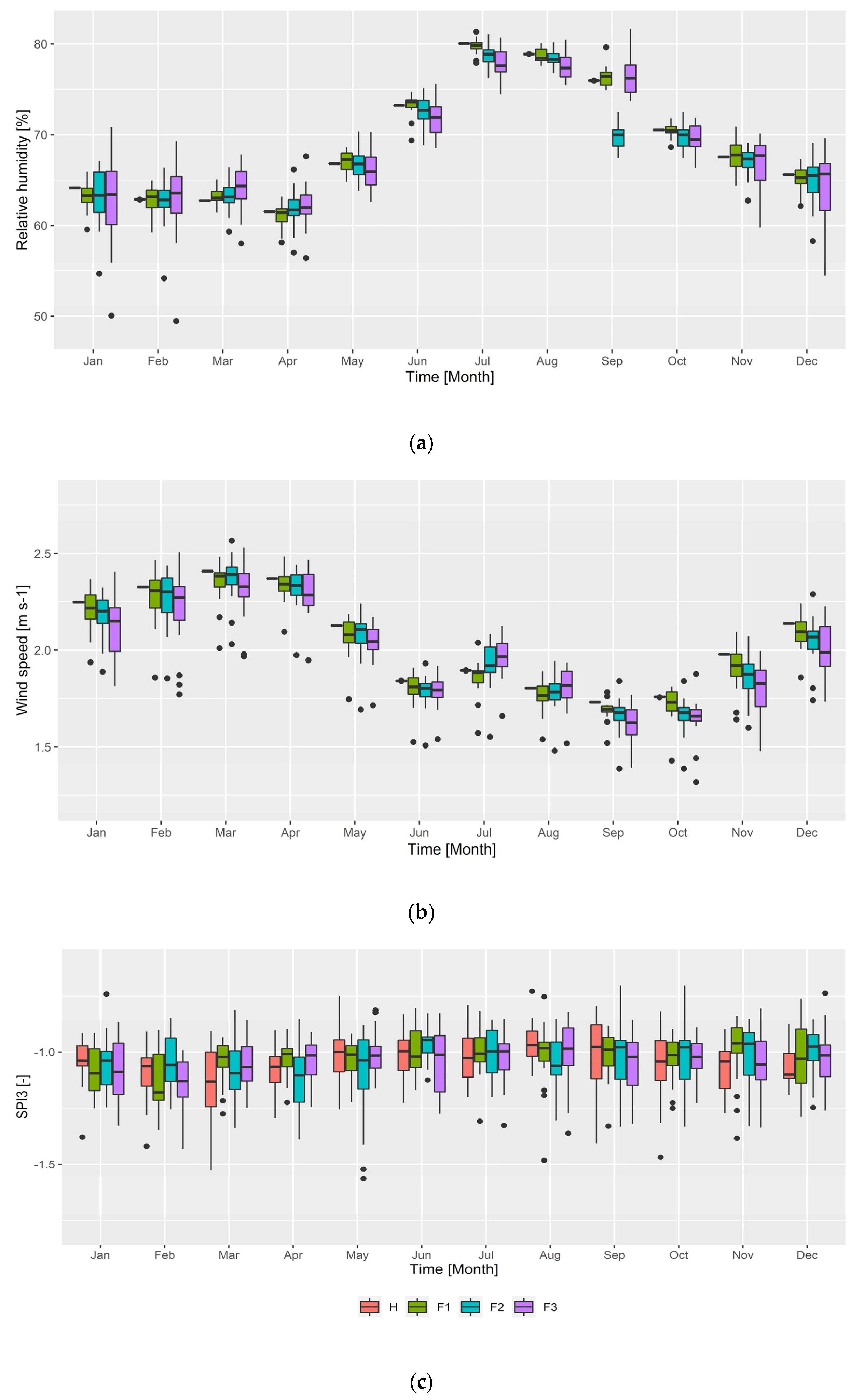
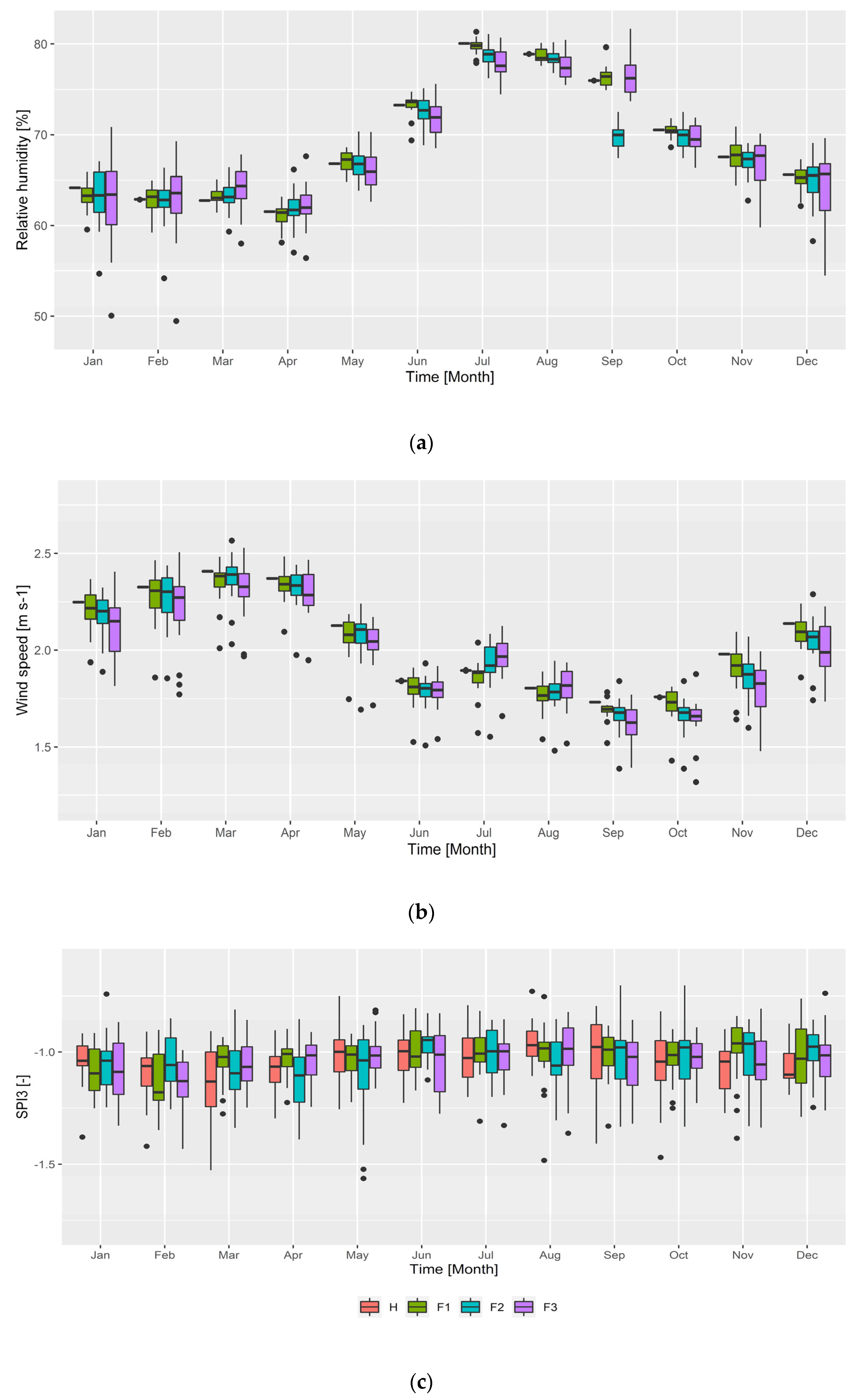
4.1. Projection of Hydro-Meteorological Variables
4.2. OF Projection
5. Discussion
6. Conclusions
Author Contributions
Funding
Institutional Review Board Statement
Informed Consent Statement
Data Availability Statement
Acknowledgments
Conflicts of Interest
References
- Lan, Z.; Su, Z.; Guo, M.; Alvarado, E.C.; Guo, F.; Hu, H.; Wang, G. Are Climate Factors Driving the Contemporary Wildfire Occurrence in China? Forests 2021, 12, 392. [Google Scholar] [CrossRef]
- Clark, J.S. Fire and Climate Change during the Last 750 Yr in Northwestern Minnesota. Ecol. Monogr. 1990, 60, 135–159. [Google Scholar] [CrossRef]
- Pausas, J.G. Changes in Fire and Climate in the Eastern Iberian Peninsula (Mediterranean Basin). Clim. Change 2004, 63, 337–350. [Google Scholar] [CrossRef]
- Wang, X.; Parisien, M.-A.; Taylor, S.W.; Candau, J.-N.; Stralberg, D.; Marshall, G.A.; Little, J.M.; Flannigan, M.D. Projected Changes in Daily Fire Spread across Canada over the next Century. Environ. Res. Lett. 2017, 12, 025005. [Google Scholar] [CrossRef]
- Sung, J.H.; Seo, S.B. Estimation of River Management Flow Considering Stream Water Deficit Characteristics. Water 2018, 10, 1521. [Google Scholar] [CrossRef] [Green Version]
- Sung, J.H.; Kim, J.; Chung, E.-S.; Ryu, Y. Deep-Learning Based Projection of Change in Irrigation Water-Use under RCP 8.5. Hydrol. Processes 2021, 35, e14315. [Google Scholar] [CrossRef]
- Sung, J.H.; Ryu, Y.; Seong, K.-W. Deep Learning-Based Prediction of Fire Occurrence with Hydroclimatic Condition and Drought Phase over South Korea. KSCE J. Civ. Eng. 2022, 26, 2002–2012. [Google Scholar] [CrossRef]
- McKee, T.B.; Doesken, N.J.; Kleist, J. The Relationship of Drought Frequency and Duration to Time Scales. In Proceedings of the Eighth Conference on Applied Climatology, Anaheim, CA, USA, 17–22 January 1993; pp. 179–184. [Google Scholar]
- Vicente-Serrano, S.M.; Beguería, S.; López-Moreno, J.I. A Multiscalar Drought Index Sensitive to Global Warming: The Standardized Precipitation Evapotranspiration Index. J. Clim. 2010, 23, 1696–1718. [Google Scholar] [CrossRef] [Green Version]
- Yoon, S.-H.; Won, M.-S. Correlation Analysis of Forest Fire Occurrences by Change of Standardized Precipitation Index. J. Korean Assoc. Geogr. Inf. Stud. 2016, 19, 14–26. [Google Scholar] [CrossRef]
- Turco, M.; von Hardenberg, J.; AghaKouchak, A.; Llasat, M.C.; Provenzale, A.; Trigo, R.M. On the Key Role of Droughts in the Dynamics of Summer Fires in Mediterranean Europe. Sci. Rep. 2017, 7, 81. [Google Scholar] [CrossRef] [Green Version]
- Westerling, A.L.; Hidalgo, H.G.; Cayan, D.R.; Swetnam, T.W. Warming and Earlier Spring Increase Western U.S. Forest Wildfire Activity. Science 2006, 313, 940–943. [Google Scholar] [CrossRef] [PubMed] [Green Version]
- Westerling, A.L.; Turner, M.G.; Smithwick, E.A.H.; Romme, W.H.; Ryan, M.G. Continued Warming Could Transform Greater Yellowstone Fire Regimes by Mid-21st Century. Proc. Natl. Acad. Sci. USA 2011, 108, 13165–13170. [Google Scholar] [CrossRef] [PubMed] [Green Version]
- Morgan, P.; Heyerdahl, E.K.; Gibson, C.E. Multi-Season Climate Synchronized Forest Fires throughout the 20th Century, Northern Rockies, USA. Ecology 2008, 89, 717–728. [Google Scholar] [CrossRef] [PubMed] [Green Version]
- Chen, F.; Niu, S.; Tong, X.; Zhao, J.; Sun, Y.; He, T. The Impact of Precipitation Regimes on Forest Fires in Yunnan Province, Southwest China. Sci. World J. 2014, 2014, e326782. [Google Scholar] [CrossRef] [Green Version]
- Williams, A.P.; Abatzoglou, J.T. Recent Advances and Remaining Uncertainties in Resolving Past and Future Climate Effects on Global Fire Activity. Curr. Clim. Change Rep. 2016, 2, 1–14. [Google Scholar] [CrossRef] [Green Version]
- Piñol, J.; Terradas, J.; Lloret, F. Climate Warming, Wildfire Hazard, and Wildfire Occurrence in Coastal Eastern Spain. Clim. Change 1998, 38, 345–357. [Google Scholar] [CrossRef]
- Flannigan, M.D.; Stocks, B.J.; Wotton, B.M. Climate Change and Forest Fires. Sci. Total Environ. 2000, 262, 221–229. [Google Scholar] [CrossRef]
- McCoy, V.M.; Burn, C.R. Potential Alteration by Climate Change of the Forest-Fire Regime in the Boreal Forest of Central Yukon Territory. Arctic 2005, 58, 276–285. [Google Scholar] [CrossRef] [Green Version]
- Ma, S.; Liu, Q.; Zhang, Y. A Prediction Method of Fire Frequency: Based on the Optimization of SARIMA Model. PLoS ONE 2021, 16, e0255857. [Google Scholar] [CrossRef]
- Meinshausen, M.; Nicholls, Z.R.J.; Lewis, J.; Gidden, M.J.; Vogel, E.; Freund, M.; Beyerle, U.; Gessner, C.; Nauels, A.; Bauer, N.; et al. The Shared Socio-Economic Pathway (SSP) Greenhouse Gas Concentrations and Their Extensions to 2500. Geosci. Model. Dev. 2020, 13, 3571–3605. [Google Scholar] [CrossRef]
- Song, Y.H.; Chung, E.-S.; Shahid, S. Spatiotemporal Differences and Uncertainties in Projections of Precipitation and Temperature in South Korea from CMIP6 and CMIP5 GCMs. Int. J. Climatol. 2021, 41, 5899–5919. [Google Scholar] [CrossRef]
- Song, Y.H.; Nashwan, M.S.; Chung, E.-S.; Shahid, S. Advances in CMIP6 INM-CM5 over CMIP5 INM-CM4 for Precipitation Simulation in South Korea. Atmos. Res. 2021, 247, 105261. [Google Scholar] [CrossRef]
- Kim, J.H.; Sung, J.H.; Chung, E.-S.; Kim, S.U.; Son, M.; Shiru, M.S. Comparison of Projection in Meteorological and Hydrological Droughts in the Cheongmicheon Watershed for RCP4.5 and SSP2-4.5. Sustainability 2021, 13, 2066. [Google Scholar] [CrossRef]
- Sung, J.H.; Chung, E.-S.; Shahid, S. Reliability–Resiliency–Vulnerability Approach for Drought Analysis in South Korea Using 28 GCMs. Sustainability 2018, 10, 3043. [Google Scholar] [CrossRef] [Green Version]
- Kwon, M.; Sung, J.H. Changes in Future Drought with HadGEM2-AO Projections. Water 2019, 11, 312. [Google Scholar] [CrossRef] [Green Version]
- Ryu, Y.; Chung, E.-S.; Seo, S.B.; Sung, J.H. Projection of Potential Evapotranspiration for North Korea Based on Selected GCMs by TOPSIS. KSCE J. Civ Eng. 2020, 24, 2849–2859. [Google Scholar] [CrossRef]
- Chen, T.-C.; Wang, S.-Y.; Huang, W.-R.; Yen, M.-C. Variation of the East Asian Summer Monsoon Rainfall. J. Clim. 2004, 17, 744–762. [Google Scholar] [CrossRef]
- John, J.G.; Blanton, C.; McHugh, C.; Radhakrishnan, A.; Rand, K.; Vahlenkamp, H.; Wilson, C.; Zadeh, N.T.; Dunne, J.P.; Dussin, R.; et al. NOAA-GFDL GFDL-ESM4 Model Output Prepared for CMIP6 ScenarioMIP; Version 20180701; Earth System Grid Federation: Greenbelt, MD, USA, 2018. [Google Scholar] [CrossRef]
- Yukimoto, S.; Kawai, H.; Koshiro, T.; Oshima, N.; Yoshida, K.; Urakawa, S.; Tsujino, H.; Deushi, M.; Tanaka, T.; Hosaka, M.; et al. The Meteorological Research Institute Earth System Model Version 2.0, MRI-ESM2.0: Description and Basic Evaluation of the Physical Component. J. Meteorol. Soc. Japan. Ser. II 2019, 97, 931–965. [Google Scholar] [CrossRef] [Green Version]
- Voldoire, A.; Saint-Martin, D.; Sénési, S.; Decharme, B.; Alias, A.; Chevallier, M.; Colin, J.; Guérémy, J.-F.; Michou, M.; Moine, M.-P.; et al. Evaluation of CMIP6 DECK Experiments With CNRM-CM6-1. J. Adv. Modeling Earth Syst. 2019, 11, 2177–2213. [Google Scholar] [CrossRef] [Green Version]
- Séférian, R.; Nabat, P.; Michou, M.; Saint-Martin, D.; Voldoire, A.; Colin, J.; Decharme, B.; Delire, C.; Berthet, S.; Chevallier, M.; et al. Evaluation of CNRM Earth System Model, CNRM-ESM2-1: Role of Earth System Processes in Present-Day and Future Climate. J. Adv. Modeling Earth Syst. 2019, 11, 4182–4227. [Google Scholar] [CrossRef] [Green Version]
- Boucher, O.; Servonnat, J.; Albright, A.L.; Aumont, O.; Balkanski, Y.; Bastrikov, V.; Bekki, S.; Bonnet, R.; Bony, S.; Bopp, L.; et al. Presentation and Evaluation of the IPSL-CM6A-LR Climate Model. J. Adv. Modeling Earth Syst. 2020, 12, e2019MS002010. [Google Scholar] [CrossRef]
- Schupfner, M.; Wieners, K.-H.; Wachsmann, F.; Steger, C.; Bittner, M.; Jungclaus, J.; Früh, B.; Pankatz, K.; Giorgetta, M.; Reick, C.; et al. DKRZ MPI-ESM1. 2-HR Model Output Prepared for CMIP6 ScenarioMIP; Version 20190710; Earth System Grid Federation: Greenbelt, MD, USA, 2019. [Google Scholar] [CrossRef]
- Wieners, K.-H.; Giorgetta, M.; Jungclaus, J.; Reick, C.; Esch, M.; Bittner, M.; Gayler, V.; Haak, H.; de Vrese, P.; Raddatz, T.; et al. MPI-M MPI-ESM1. 2-LR Model Output Prepared for CMIP6 ScenarioMIP ssp585. Version 20190710; Earth System Grid Federation: Greenbelt, MD, USA, 2019. [Google Scholar] [CrossRef]
- Good, P. MOHC HadGEM3-GC31-LL Model Output Prepared for CMIP6 ScenarioMIP ssp585; Version 20200121; Earth System Grid Federation: Greenbelt, MD, USA, 2020. [Google Scholar] [CrossRef]
- Dix, M.; Bi, D.; Dobrohotoff, P.; Fiedler, R.; Harman, I.; Law, R.; Mackallah, C.; Marsland, S.; O’Farrell, S.; Rashid, H.; et al. CSIRO-ARCCSS ACCESS-CM2 Model Output Prepared for CMIP6 ScenarioMIP ssp585; Version 20200303; Earth System Grid Federation: Greenbelt, MD, USA, 2019. [Google Scholar] [CrossRef]
- Ziehn, T.; Chamberlain, M.; Lenton, A.; Law, R.; Bodman, R.; Dix, M.; Wang, Y.; Dobrohotoff, P.; Srbinovsky, J.; Stevens, L.; et al. CSIRO ACCESS-ESM1. 5 Model Output Prepared for CMIP6 ScenarioMIP ssp585; Version 20191115; Earth System Grid Federation: Greenbelt, MD, USA, 2019. [Google Scholar] [CrossRef]
- Swart, N.C.; Cole, J.N.S.; Kharin, V.V.; Lazare, M.; Scinocca, J.F.; Gillett, N.P.; Anstey, J.; Arora, V.; Christian, J.R.; Jiao, Y.; et al. CCCma CanESM5 Model Output Prepared for CMIP6 ScenarioMIP ssp585; Version 20190429; Earth System Grid Federation: Greenbelt, MD, USA, 2019. [Google Scholar] [CrossRef]
- Volodin, E.; Mortikov, E.; Gritsun, A.; Lykossov, V.; Galin, V.; Diansky, N.; Gusev, A.; Kostrykin, S.; Iakovlev, N.; Shestakova, A.; et al. INM INM-CM4-8 Model Output Prepared for CMIP6 ScenarioMIP; Version 20190603; Earth System Grid Federation: Greenbelt, MD, USA, 2019. [Google Scholar] [CrossRef]
- Volodin, E.; Mortikov, E.; Gritsun, A.; Lykossov, V.; Galin, V.; Diansky, N.; Gusev, A.; Kostrykin, S.; Iakovlev, N.; Shestakova, A.; et al. INM INM-CM5-0 Model Output Prepared for CMIP6 ScenarioMIP ssp585; Version 20190724; Earth System Grid Federation: Greenbelt, MD, USA, 2019. [Google Scholar] [CrossRef]
- EC-Earth Consortium (EC-Earth) EC-Earth-Consortium EC-Earth3 Model Output Prepared for CMIP6 CMIP Abrupt-4xCO2; Version 20200501; Earth System Grid Federation: Greenbelt, MD, USA, 2019. [CrossRef]
- Shiogama, H.; Abe, M.; Tatebe, H. MIROC MIROC6 Model Output Prepared for CMIP6 ScenarioMIP ssp585; Version 20191114; Earth System Grid Federation: Greenbelt, MD, USA, 2019. [Google Scholar] [CrossRef]
- Tachiiri, K.; Abe, M.; Hajima, T.; Arakawa, O.; Suzuki, T.; Komuro, Y.; Ogochi, K.; Watanabe, M.; Yamamoto, A.; Tatebe, H.; et al. MIROC MIROC-ES2L Model Output Prepared for CMIP6 ScenarioMIP ssp585; Version 20190823; Earth System Grid Federation: Greenbelt, MD, USA, 2019. [Google Scholar] [CrossRef]
- Seland, Ø.; Bentsen, M.; Oliviè, D.J.L.; Toniazzo, T.; Gjermundsen, A.; Graff, L.S.; Debernard, J.B.; Gupta, A.K.; He, Y.; Kirkevåg, A.; et al. NCC NorESM2-LM Model Output Prepared for CMIP6 ScenarioMIP ssp585; Version 20200218; Earth System Grid Federation: Greenbelt, MD, USA, 2019. [Google Scholar] [CrossRef]
- Byun, Y.-H.; Lim, Y.-J.; Shim, S.; Sung, H.M.; Sun, M.; Kim, J.; Kim, B.-H.; Lee, J.-H.; Moon, H. NIMS-KMA KACE1. 0-G Model Output Prepared for CMIP6 ScenarioMIP ssp585; Version 20200130; Earth System Grid Federation: Greenbelt, MD, USA, 2019. [Google Scholar] [CrossRef]
- Keyantash, J.; National Center for Atmospheric Research Staff (Eds.) The Climate Data Guide: Standardized Precipitation Index (SPI) 2018. Available online: https://climatedataguide.ucar.edu/climate-data/standardized-precipitation-index-spi (accessed on 10 May 2021).
- Guttman, N.B. Accepting the Standardized Precipitation Index: A Calculation Algorithm1. J. Am. Water Resour. Assoc. 1999, 35, 311–322. [Google Scholar] [CrossRef]
- Yevjevich, V.M. Objective Approach to Definitions and Investigations of Continental Hydrologic Droughts; (Hydrology paper no. 23); Colorado State University: Fort Collins, CO, USA, 1967; p. 19. [Google Scholar]
- Hinton, G.E.; Osindero, S.; Teh, Y.-W. A Fast Learning Algorithm for Deep Belief Nets. Neural Comput. 2006, 18, 1527–1554. [Google Scholar] [CrossRef] [PubMed]
- Silva Junior, C.H.L.; Anderson, L.O.; Silva, A.L.; Almeida, C.T.; Dalagnol, R.; Pletsch, M.A.J.S.; Penha, T.V.; Paloschi, R.A.; Aragão, L.E.O.C. Fire Responses to the 2010 and 2015/2016 Amazonian Droughts. Front. Earth Sci. 2019, 7, 97. [Google Scholar] [CrossRef]
- Jiménez-Muñoz, J.C.; Mattar, C.; Barichivich, J.; Santamaría-Artigas, A.; Takahashi, K.; Malhi, Y.; Sobrino, J.A.; van der Schrier, G. Record-Breaking Warming and Extreme Drought in the Amazon Rainforest during the Course of El Niño 2015–2016. Sci. Rep. 2016, 6, 33130. [Google Scholar] [CrossRef] [PubMed] [Green Version]
- Sung, J.H.; Baek, D.; Ryu, Y.; Seo, S.B.; Seong, K.-W. Effects of Hydro-Meteorological Factors on Streamflow Withdrawal for Irrigation in Yeongsan River Basin. Sustainability 2021, 13, 4969. [Google Scholar] [CrossRef]












| Institute | GCMs | Resolution | References |
|---|---|---|---|
| Geophysical Fluid Dynamics Laboratory (USA) | GFDL-ESM4 | 360 × 180 | John et al. [29] |
| Meteorological Research Institute (Japan) | MRI-ESM2-0 | 320 × 160 | Yukimoto et al. [30] |
| Centre National de Recherches Meteorologiques (France) | CNRM-CM6-1 | 24572 grids distributed over 128 latitude circles | Voldoire [31] |
| CNRM-ESM2-1 | Séférian [32] | ||
| Institute Pierre-Simon Laplace (France) | IPSL-CM6A-LR | 144 × 143 | Boucher et al. [33] |
| Max Planck Institute for Meteorology (Germany) | MPI-ESM1-2-HR | 384 × 192 | Schupfner et al. [34] |
| MPI-ESM1-2-LR | 192 × 96 | Wieners et al. [35] | |
| Met Office Hadley Centre (UK) | UKESM1-0-LL | 192 × 144 | Good et al. [36] |
| Commonwealth Scientific and Industrial Research Organisation, Australian Research Council Centre of Excellence for Climate System Science (Australia) | ACCESS-CM2 | 192 × 144 | Dix et al. [37] |
| Commonwealth Scientific and Industrial Research Organisation (Australia) | ACCESS-ESM1-5 | 192 × 145 | Ziehn et al. [38] |
| Canadian Centre for Climate Modelling and Analysis (Canada) | CanESM5 | 128 × 64 | Swart et al. [39] |
| Institute for Numerical Mathematics (Russia) | INM-CM4-8 | 180 × 120 | Volodin et al. [40] |
| INM-CM5-0 | 180 × 120 | Volodin et al. [41] | |
| EC-Earth-Consortium | EC-Earth3 | 512 × 256 | EC-Earth Consortium EC-Earth [42] |
| Japan Agency for Marine-Earth Science and Technology/Atmosphere and Ocean Research Institute/National Institute for Environmental Studies/RIKEN Center for Computational Science (Japan) | MIROC6 | 256 × 128 | Shiogama et al. [43] |
| MIROC-ES2L | 128 × 64 | Tachiiri et al. [44] | |
| NorESM Climate Modeling Consortium consisting of CICERO (Norway) | NorESM2-LM | 144 × 96 | Seland et al. [45] |
| National Institute of Meteorological Sciences/Korea Meteorological Administration (Korea) | KACE-1-0-G | 192 × 144 | Byun et al. [46] |
| Model | Performance Indicators | ||
|---|---|---|---|
| NSE | RMSE | R2 | |
| RH-WS-SPI3-AOF | 0.837 | 0.065 | 0.855 |
| RH-WS-AOF | 0.828 | 0.067 | 0.838 |
| RH-AOF | 0.787 | 0.074 | 0.845 |
| WS-AOF | 0.537 | 0.110 | 0.573 |
Publisher’s Note: MDPI stays neutral with regard to jurisdictional claims in published maps and institutional affiliations. |
© 2022 by the authors. Licensee MDPI, Basel, Switzerland. This article is an open access article distributed under the terms and conditions of the Creative Commons Attribution (CC BY) license (https://creativecommons.org/licenses/by/4.0/).
Share and Cite
Sung, J.H.; Seo, S.B.; Ryu, Y. Deep Learning-Based Projection of Occurrence Frequency of Forest Fires under SSP Scenario: Exploring the Link between Drought Characteristics and Forest Fires. Sustainability 2022, 14, 5494. https://doi.org/10.3390/su14095494
Sung JH, Seo SB, Ryu Y. Deep Learning-Based Projection of Occurrence Frequency of Forest Fires under SSP Scenario: Exploring the Link between Drought Characteristics and Forest Fires. Sustainability. 2022; 14(9):5494. https://doi.org/10.3390/su14095494
Chicago/Turabian StyleSung, Jang Hyun, Seung Beom Seo, and Young Ryu. 2022. "Deep Learning-Based Projection of Occurrence Frequency of Forest Fires under SSP Scenario: Exploring the Link between Drought Characteristics and Forest Fires" Sustainability 14, no. 9: 5494. https://doi.org/10.3390/su14095494
APA StyleSung, J. H., Seo, S. B., & Ryu, Y. (2022). Deep Learning-Based Projection of Occurrence Frequency of Forest Fires under SSP Scenario: Exploring the Link between Drought Characteristics and Forest Fires. Sustainability, 14(9), 5494. https://doi.org/10.3390/su14095494

