Effects of Prescribed Burning on Soil CO2 Emissions from Pinus yunnanensis Forestland in Central Yunnan, China
Abstract
:1. Introduction
2. Materials and Methods
2.1. Overview of the Study Area
2.2. Determination of Forestland Soil CO2 Flux, Soil Temperature, and Soil Moisture
2.3. Calculation and Date Analysis
3. Results
3.1. Seasonal Dynamics of Soil CO2 Flux
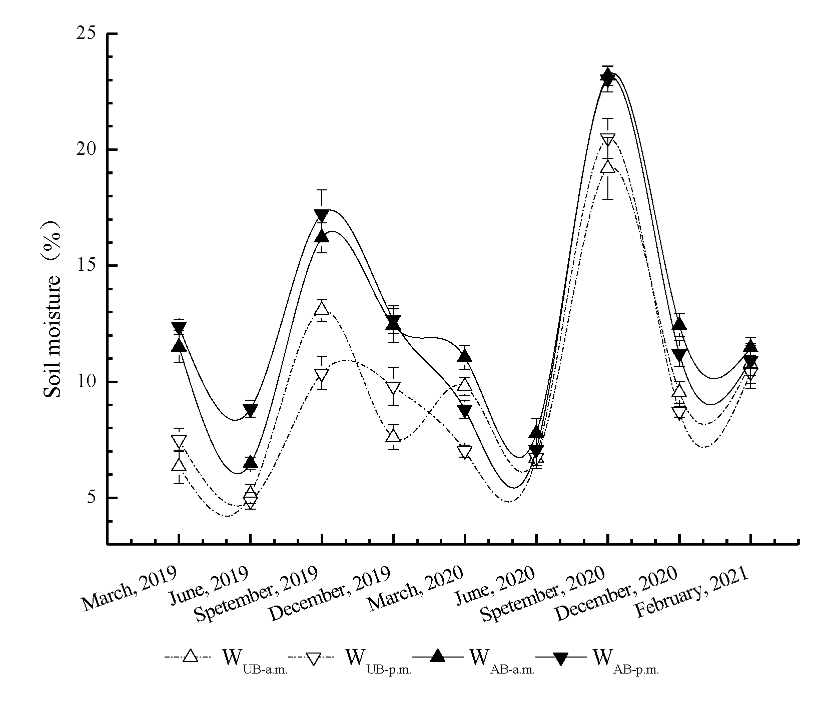
3.2. Seasonal Dynamics of Soil Temperature and Moisture
3.3. Linking the Soil CO2 Flux with Soil Hydrothermal Factors
3.3.1. Relationship between Soil CO2 Flux and Soil Temperature
3.3.2. Relationship between Soil CO2 Flux and Soil Moisture
3.3.3. Association of Soil CO2 Flux with Soil Temperature and Soil Moisture
4. Discussion
4.1. Responses of Soil CO2 Flux, Soil Temperature, and Soil Moisture to Prescribed Burning of Forest
4.2. Relationships between Soil CO2 Flux and Hydrothermal Factors under Prescribed Burning
5. Conclusions
Author Contributions
Funding
Institutional Review Board Statement
Informed Consent Statement
Data Availability Statement
Acknowledgments
Conflicts of Interest
References
- Schlesinger, W.H.; Andrews, J.A. Soil respiration and the global carbon cycle. Biogeochemistry 2000, 48, 7–20. [Google Scholar] [CrossRef]
- Bond-Lamberty, B.; Thomson, A. Temperature-associated increases in the global soil respiration record. Nature 2010, 464, 579–582. [Google Scholar] [CrossRef] [PubMed]
- Lei, J.S.; Guo, X.; Zeng, Y.F.; Zhou, J.Z.; Gao, Q.; Yang, Y.F. Temporal changes in global soil respiration since 1987. Nat. Commun. 2021, 12, 403. [Google Scholar] [CrossRef] [PubMed]
- Hu, T.X.; Sun, L.; Hu, H.Q.; Weise, D.R.; Guo, F.T. Soil respiration of the Dahurian Larch (Larix gmelinii) forest and the response to fire disturbance in Da Xing’an Mountains, China. Sci. Rep. 2017, 7, 2967. [Google Scholar] [CrossRef] [PubMed] [Green Version]
- Hashimoto, S. A new estimation of global soil greenhouse gas fluxes using a simple data-oriented model. PLoS ONE 2012, 7, 41962. [Google Scholar] [CrossRef]
- Burton, A.J.; Pregitzer, K.S. Field measurements of root respiration indicate little to no seasonal temperature acclimation for sugar maple and red pine. Tree Physiol. 2003, 23, 273–280. [Google Scholar] [CrossRef] [Green Version]
- Raich, J.W.; Schlesinger, W.H. The global carbon dioxide flux in soil respiration and its relationship to vegetation and climate. Tellus Ser. B Chem. Phys. Meteorol. 1992, 44, 81–99. [Google Scholar] [CrossRef] [Green Version]
- Haaf, D.; Six, J.; Doetterl, S. Global patterns of geo-ecological controls on the response of soil respiration to warming. Nature Climate Change 2021, 11, 623–627. [Google Scholar] [CrossRef]
- Lal, R. Soil carbon sequestration impacts on global climate change and food security. Science 2004, 304, 1623–1627. [Google Scholar] [CrossRef] [Green Version]
- Patrick, M.; Wood, T.E.; Galbraith, D.R.; Brando, P.M.; Da, C.A.C.L.; Rowland, L.; Ferreira, L.V. Threshold responses to soil moisture deficit by trees and soil in tropical rain forests: Insights from field experiments. BioScience 2015, 65, 882–892. [Google Scholar]
- Wang, Y.S.; Hu, Y.Q.; Ji, B.M.; Liu, G.; Xue, M. An investigation on the relationship between emission/uptake of greenhouse gases and environmental factors in semiarid grassland. Adv. Atmos. Sci. 2003, 20, 119–127. [Google Scholar] [CrossRef]
- Wang, L.; Mei, W.; Yin, Q.; Guan, Y.; Le, Y.; Fu, X. The variability in CO2 fluxes at different time scales in natural and reclaimed wetlands in the yangtze river estuary and their key influencing factors. Sci. Total Environ. 2021, 799, 149441. [Google Scholar] [CrossRef] [PubMed]
- Wang, W.F.; Chen, X.; Zheng, H.W.; Yu, R.D.; Qian, J.; Zhang, Y.F.; Yu, J.J. Soil CO2 uptake in deserts and its implications to the groundwater environment. Water 2016, 8, 793. [Google Scholar] [CrossRef] [Green Version]
- Uchida, M.; Muraoka, H.; Nakatsubo, T. Sensitivity analysis of ecosystem CO2 exchange to climate change in High Arctic tundra using an ecological process-based model. Polar Biol. 2016, 39, 251–265. [Google Scholar] [CrossRef]
- Santos, F.L.M.; Nogueira, J.; Souza, R.A.F.d.; Falleiro, R.M.; Schmidt, I.B.; Libonati, R. PrescribedBurning Reduces Large, HighIntensity Wildfires and Emissions in the Brazilian Savanna. Fire 2021, 4, 56. [Google Scholar] [CrossRef]
- Wang, J.; Zhang, A.; Zheng, Y.J.; Song, J.; Ru, J.Y.; Zheng, M.M.; Hui, D.F.; Wan, S.Q. Long-term litter removal rather than litter addition enhances ecosystem carbon sequestration in a temperate steppe. Funct. Ecol. 2021, 35, 2799–2807. [Google Scholar] [CrossRef]
- Wen, Y.; Schuler, J.L.; Liu, S.R.; Mou, P.; Wang, H.; Yu, H.L. Soil carbon dynamics in a Pinus massoniana plantation following clear-cutting and slash removal. J. Plant Ecol. 2016, 9, 20–29. [Google Scholar]
- Kang, H.Z.; Fahey, T.J.; Bae, K.; Fisk, M.; Sherman, R.E.; Yanai, R.D.; See, C.R. Response of forest soil respiration to nutrient addition depends on site fertility. Biogeochemistry 2016, 127, 113–124. [Google Scholar] [CrossRef]
- Jassal, R.S.; Black, T.A.; Novak, M.D.; Gaumont-Guay, D.; Nesic, Z. Effect of soil water stress on soil respiration and its temperature sensitivity in an 18-year-old temperate douglas-fir stand. Glob. Change Biol. 2010, 14, 1305–1318. [Google Scholar] [CrossRef]
- Tang, J.W.; Baldocchi, D.D.; Qi, Y.; Xu, L.K. Assessing soil CO2 efflux using continuous measurements of CO2 profiles in soils with small solid-state sensors. Agric. For. Meteorol. 2003, 118, 207–220. [Google Scholar] [CrossRef]
- Castelle, A.J.; Galloway, J.N. Carbon dioxide dynamics in acid forest soils in Shenandoah National Park, Virginia. Soil Sci. Soc. Am. J. 1990, 54, 252–257. [Google Scholar] [CrossRef]
- Davidson, E.A.; Belk, E.; Boone, R.D. Soil water content and temperature as independent or confounded factors controlling soil respiration in a temperate mixed hardwood forest. Glob. Change Biol. 1998, 4, 217–227. [Google Scholar] [CrossRef] [Green Version]
- Raich, J.W.; Tufekcioglu, A. Vegetation and soil respiration: Correlations and controls. Biogeochemistry 2000, 48, 71–90. [Google Scholar] [CrossRef]
- Kursar, T.A. Elevation of soil respiration and soil CO2 Concentration in a low land moist forest in Panama. Plant Soil 1989, 113, 21–29. [Google Scholar] [CrossRef]
- Medina, E.; Zelwer, M. Soil respiration in tropical plant communities. In Tropical Ecology with an Emphasis on Organic Production; University of Georgia: Athens, GA, USA, 1972; pp. 245–269. [Google Scholar]
- Sun, S.Q.; Lei, H.Q.; Chang, S.X. Drought differentially affects autotrophic and heterotrophic soil respiration rates and their temperature sensitivity. Biol. Fertil. Soils 2021, 55, 275–283. [Google Scholar] [CrossRef]
- Linn, D.M.; Doran, J.W. Effect of water-filled pore space on carbon dioxide and nitrous oxide production in tilled and nontilled soils. Soil Sci. Soc. Am. J. 1984, 48, 1267–1272. [Google Scholar] [CrossRef] [Green Version]
- Guo, J.; Yang, Y.; Chen, G.; Gao, R.; Qian, W.; Xie, J. Effects of clear-cutting and slash burning on soil respiration in Chinese fir and evergreen broadleaved forests in mid-subtropical China. Plant Soil 2010, 333, 249–261. [Google Scholar] [CrossRef]
- Holden, S.R.; Rogers, B.M.; Treseder, K.K.; Randerson, J.T. Fire severity influences the response of soil microbes to a boreal forest fire. Environ. Res. Lett. 2016, 11, 035004. [Google Scholar] [CrossRef]
- Eckmeier, E.; Gerlach, R.; Skjemstad, J.O.; Ehrmann, O.; Schmidt, M.W.I. Minor changes in soil organic carbon and charcoal concentrations detected in a temperate deciduous forest a year after an experimental slash-and-burn. Biogeosciences 2007, 4, 377–383. [Google Scholar] [CrossRef] [Green Version]
- Binkley, D.; Richter, D.; Davis, M.B.; Caldwell, B. Soil chemistry in a loblolly/longleaf pine forest with interval burning. Ecol. Appl. 1992, 2, 157–164. [Google Scholar] [CrossRef]
- Bélisle, C.A.; Leduc, A.; Gauthier, S.; Desrochers, M.; Mansuy, N.; Morin, H.; Bergeron, Y. Detecting local drivers of fire cycle heterogeneity in boreal forests: A scale issue. Forests 2016, 7, 139. [Google Scholar] [CrossRef] [Green Version]
- Kraemer, J.F.; Hermann, R.K. Broadcast burning: 25-year effects on forest soils in the western flanks of the Cascade Mountains. For. Sci. 1979, 25, 427–439. [Google Scholar]
- Macadam, A.M. Effects of broadcast slash burning on fuels and soil chemical properties in the Sub-boreal Spruce Zone of central British Columbia. Can. J. For. Res. 1987, 17, 1577–1584. [Google Scholar] [CrossRef]
- Dyrness, C.T.; Van, C.K.; Levison, J.D. The effect of wildfire on soil chemistry in four forest types in interior Alaska. Can. J. For. Res. 1989, 19, 1389–1396. [Google Scholar] [CrossRef]
- Kobziar, L.N. The role of environmental factors and tree injuries in soil carbon respiration response to fire and fuels treatments in pine plantations. Biogeochemistry 2007, 84, 191–206. [Google Scholar] [CrossRef]
- Guo, J.F.; Yang, Y.S.; Chen, G.S.; Xie, J.S.; Lin, P. Soil C and N pools in Chinese fir and evergreen broadleaf forests and their changes with slash burning in mid-subtropical China. Pedosphere 2006, 16, 56–63. [Google Scholar] [CrossRef]
- Fontúrbel, T.; Carrera, N.; Vega, J.A.; Fernández, C. The effect of repeated prescribed burning on soil properties: A review. Forests 2021, 12, 767. [Google Scholar] [CrossRef]
- Alcañiz, M.; Outeiro, L.; Francos, M.; Úbeda, X. Effects of prescribed fires on soil properties: A review. Sci. Total Environ. 2018, 613, 944–957. [Google Scholar] [CrossRef]
- Conard, S.G.; Sukhinin, A.I.; Stocks, B.J.; Cahoon, D.R.; Davidenko, E.P.; Ivanova, G.A. Determining effects of area burned and fire severity on carbon cycling and emissions in Siberia. Clim. Change 2002, 55, 197–211. [Google Scholar] [CrossRef]
- Galdos, M.V.; Cerri, C.C.; Cerri, C.E.P. Soil carbon stocks under burned and unburned sugarcane in Brazil. Geoderma 2009, 153, 347–352. [Google Scholar] [CrossRef]
- Sullivan, B.W.; Kolb, T.E.; Hart, S.C. Wildfire reduces carbon dioxide efflux and increases methane uptake in ponderosa pine forest soils of the southwestern USA. Biogeochemistry 2011, 104, 251–265. [Google Scholar] [CrossRef]
- Hu, H.Q.; Hu, T.X.; Sun, L. Spatial heterogeneity of soil respiration in a Larix gmelinii forest and the response to prescribed fire in the Greater Xing’an Mountains, China. J. For. Res. 2016, 27, 1153–1162. [Google Scholar] [CrossRef]
- Su, W.H.; Shi, Z.; Zhou, R.; Zhao, Y.J.; Zhang, G.F. The role of fire in the Central Yunnan Plateau ecosystem, southwestern China. For. Ecol. Manag. 2015, 356, 22–30. [Google Scholar] [CrossRef]
- Wang, S.J.; Zhao, J.X.; Chen, Q.B. Controlling factors of soil CO2 efflux in Pinus yunnanensis across different stand ages. PLoS ONE 2015, 10, 1–13. [Google Scholar] [CrossRef]
- Su, W.H.; Yu, J.E.; Zhang, G.F.; Shi, Z.; Wang, L.L.; Zhao, G.H.; Zhou, R. Comparison of the canopy and soil seed banks of Pinus yunnanensis in central Yunnan, China. For. Ecol. Manag. 2019, 437, 41–48. [Google Scholar] [CrossRef]
- Wenger, K.F.; Foresters, S.O.A. Forestry Handbook. Q. Rev. Biol. 1984, 60, 225–227. [Google Scholar]
- Tian, R.; Chen, Q.B.; Li, J.Q.; Zhao, Y.T.; Yang, G.L.; Zuo, M. Effects of prescribed burning on soil microbes and enzyme activities in Pinus yunnanensis forests. Ecol. Environ. Sci. 2020, 29, 695–701. [Google Scholar]
- Luo, Y.; Zhou, X. Soil Respiration and the Environment; Academic Press: Cambridge, MA, USA; Elsevier: Amsterdam, The Netherlands, 2006. [Google Scholar]
- Van’t Hoff, J.H. Etudes de Dynamique Chimique (Studies of Chemical Dynamics); Frederik Muller and Co.: Amsterdam, The Netherlands, 1844; Volume 3, pp. 333–336. [Google Scholar]
- Munoz-Rojas, M.; Lewandrowski, W.; Erickson, T.E.; Dixon, K.W.; Merritt, D.J. Soil respiration dynamics in fire affected semi-arid ecosystems: Effects of vegetation type and environmental factors. Sci. Total Environ. 2016, 572, 1385–1394. [Google Scholar] [CrossRef]
- Concilio, A.; Ma, S.Y.; Ryu, S.R.; North, M.; Chen, J. Soil respiration response to experimental disturbances over 3 years. For. Ecol. Manag. 2006, 228, 82–90. [Google Scholar] [CrossRef]
- Iverson, L.R.; Hutchinson, T.F. Soil temperature and moisture fluctuations during and after prescribed fire in mixed-oak forests, USA. Nat. Areas J. 2002, 22, 296–304. [Google Scholar]
- Raich, J.W.; Potter, C.S. Global patterns of carbon dioxide emissions from soils. Glob. Biogeochem. Cycles 1995, 9, 23–26. [Google Scholar] [CrossRef] [Green Version]
- Raich, J.W.; Potter, C.S.; Bhagawati, D. Interannual variability in global soil respiration, 1980–1994. Glob. Change Biol. 2002, 8, 800–812. [Google Scholar] [CrossRef]
- Davidson, E.A.; Verchot, L.V.; Cattanio, J.H.; Ackerman, I.L.; Carvalho, J.E.M. Effects of soil water content on soil respiration in forests and cattle pastures of eastern Amazonia. Biogeochemistry 2000, 48, 53–69. [Google Scholar] [CrossRef]
- Zhao, J.X.; Wang, S.J.; Chen, Q.B.; Chen, M.Q.; Shu, J.J.; Li, Y.J. Soil respiration and its affecting factors of Pinus yunnanensis in the middle regions of Yunnan. J. Northwest For. Univ. 2014, 57, 71–76. [Google Scholar]
- Zuo, M.; Chen, Q.B.; Li, J.Q.; Yang, G.L.; Hu, J.; Sun, K. Effects of alteration in forest litter input on CO2 release in Pinus yunnanensis forestland in central Yunnan Plateau. Acta Ecol. Sin. 2020, 41, 4552–4561. [Google Scholar]
- Rey, A.; Pegoraro, E.; Oyonarte, C.; Were, A.; Escribano, P.; Raimundo, J. Impact of land degradation on soil respiration in a steppe (Stipa tenacissima L.) semi-arid ecosystem in the SE of Spain. Soil Biol. Biochem. 2011, 43, 393–403. [Google Scholar] [CrossRef]
- Luo, Y.Q.; Wan, S.Q.; Hui, D.F.; Wallace, L.L. Acclimatization of soil respiration to warming in a tall grass prairie. Nature 2001, 413, 622–625. [Google Scholar] [CrossRef]
- Xie, Y.L.; Chen, Y.M.; Tang, Y.K.; Wu, X.; Wen, J. Soil respiration dynamics and its response to soil temperature and water content of Pinus tabulaeformis and Hippophae rhamnoides plantations in the Loess Hilly region. Sci. Soil Water Conserv. 2017, 15, 33–42. [Google Scholar]





| Treatment | Rs = aeβT | R2 | p | Q10 | |
|---|---|---|---|---|---|
| UB | a.m. | Rs = 5.340e−0.013T | 0.009 | 0.659 | 0.878 |
| p.m. | Rs = 2.129e0.023T | 0.029 | 0.425 | 1.259 | |
| AB | a.m. | Rs = 7.275e−0.030T | 0.055 | 0.140 | 0.741 |
| p.m. | Rs = 8.404e−0.030T | 0.064 | 0.123 | 0.741 | |
| Treatments | Rs = a + bW | Rs = a + bW + cW2 | Rs = aebW | |||||||||||
|---|---|---|---|---|---|---|---|---|---|---|---|---|---|---|
| a | b | R2 | p | a | b | c | R2 | p | a | b | R2 | p | ||
| UB | a.m. | 0.415 | 0.448 | 0.579 | 0.000 | −0.446 | 0.616 | −0.007 | 0.564 | 0.000 | 1.802 | 0.084 | 0.424 | 0.000 |
| p.m. | 0.402 | 0.436 | 0.583 | 0.000 | −1.420 | 0.785 | −0.013 | 0.580 | 0.000 | 1.667 | 0.088 | 0.495 | 0.000 | |
| AB | a.m. | 0.192 | 0.331 | 0.459 | 0.000 | 0.764 | 0.240 | 0.003 | 0.435 | 0.001 | 1.605 | 0.069 | 0.440 | 0.000 |
| p.m. | −0.109 | 0.336 | 0.727 | 0.000 | 2.508 | −0.070 | 0.013 | 0.753 | 0.000 | 1.452 | 0.074 | 0.567 | 0.000 | |
| Treatments | Rs = a + bTW | Rs = a + bT + cW | Rs = aebTWc | ||||||||||||
|---|---|---|---|---|---|---|---|---|---|---|---|---|---|---|---|
| a | b | R2 | p | a | b | c | R2 | p | a | b | c | R2 | p | ||
| UB | a.m. | 0.980 | 0.019 | 0.499 | 0.000 | 0.139 | 0.013 | 0.449 | 0.559 | 0.000 | 0.625 | −0.002 | 0.917 | 0.560 | 0.000 |
| p.m. | −0.032 | 0.019 | 0.682 | 0.000 | −4.853 | 0.190 | 0.480 | 0.659 | 0.000 | 0.128 | 0.054 | 0.987 | 0.673 | 0.000 | |
| AB | a.m. | 1.158 | 0.012 | 0.270 | 0.000 | 0.541 | −0.014 | 0.326 | 0.434 | 0.000 | 0.424 | −0.007 | 0.977 | 0.437 | 0.000 |
| p.m. | −0.411 | 0.014 | 0.615 | 0.000 | −1.172 | 0.032 | 0.351 | 0.721 | 0.000 | 0.203 | 0.007 | 1.113 | 0.721 | 0.000 | |
Publisher’s Note: MDPI stays neutral with regard to jurisdictional claims in published maps and institutional affiliations. |
© 2022 by the authors. Licensee MDPI, Basel, Switzerland. This article is an open access article distributed under the terms and conditions of the Creative Commons Attribution (CC BY) license (https://creativecommons.org/licenses/by/4.0/).
Share and Cite
Yang, B.; Chen, Q.; Gong, S.; Zhao, Y.; Song, D.; Li, J. Effects of Prescribed Burning on Soil CO2 Emissions from Pinus yunnanensis Forestland in Central Yunnan, China. Sustainability 2022, 14, 5375. https://doi.org/10.3390/su14095375
Yang B, Chen Q, Gong S, Zhao Y, Song D, Li J. Effects of Prescribed Burning on Soil CO2 Emissions from Pinus yunnanensis Forestland in Central Yunnan, China. Sustainability. 2022; 14(9):5375. https://doi.org/10.3390/su14095375
Chicago/Turabian StyleYang, Bo, Qibo Chen, Shunqing Gong, Yue Zhao, Denghui Song, and Jianqiang Li. 2022. "Effects of Prescribed Burning on Soil CO2 Emissions from Pinus yunnanensis Forestland in Central Yunnan, China" Sustainability 14, no. 9: 5375. https://doi.org/10.3390/su14095375
APA StyleYang, B., Chen, Q., Gong, S., Zhao, Y., Song, D., & Li, J. (2022). Effects of Prescribed Burning on Soil CO2 Emissions from Pinus yunnanensis Forestland in Central Yunnan, China. Sustainability, 14(9), 5375. https://doi.org/10.3390/su14095375
