Environmental Factors at Different Canopy Heights Had Significant Effects on Leaf Water-Use Efficiency in Cold-Temperate Larch Forest
Abstract
:1. Introduction
2. Materials and Methods
2.1. Study Area
2.2. Micro-Meteorological Conditions Measurement
2.3. Plot Selection and Sample Collection
2.4. Photosynthetic Gas Exchange Measurements
2.5. Processing of Leaf Samples
2.6. Determination of δ13C and WUEs
2.7. Leaf Anatomical Characterization
2.8. Statistical Analyses
3. Results
3.1. WUEs at Different Canopy Heights of Larch Forest
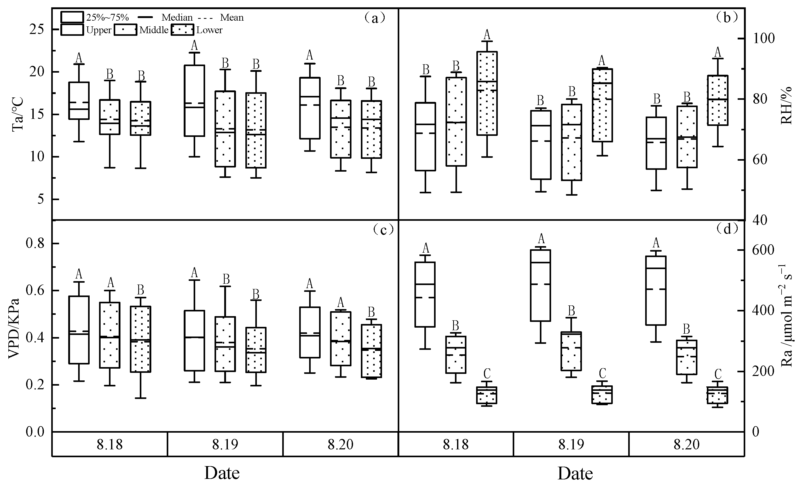
3.2. Effect of Meteorological Factors on WUEs at Different Canopy Heights of Larch Forest
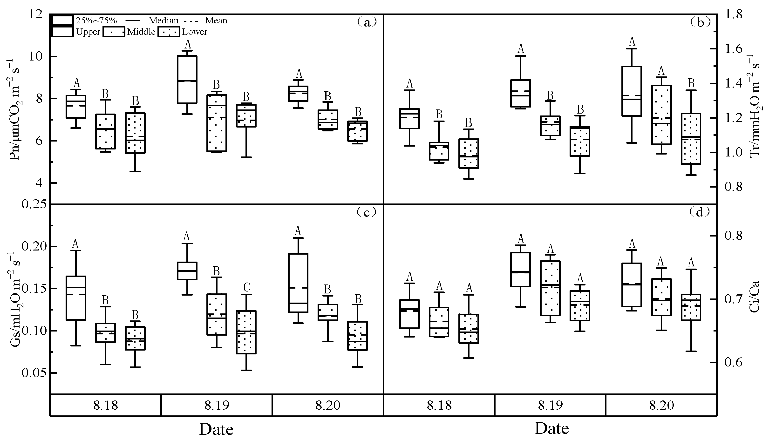
3.3. Effect of Photosynthetic Parameters on WUEs at Different Canopy Heights of Larch-Forest Canopy
3.4. Effect of Leaf Anatomical Characteristics on WUEs at Different Canopy Heights of Larch Forest
3.5. Random Forest Analysis of Leaf WUEs and Influencing Factors at Different Canopy Heights of Larch Forest
4. Discussion
4.1. WUEs of Larch Forest at Different Canopy Heights
4.2. Effect of Meteorological Factors on WUEs of Larch Forest at Different Canopy Heights
4.3. Effect of Photosynthetic Factors on WUEs of Larch Forest at Different Canopy Heights
4.4. Effect of Leaf Structure on WUEs of Larch Forest at Different Canopy Heights
5. Conclusions
Author Contributions
Funding
Institutional Review Board Statement
Informed Consent Statement
Data Availability Statement
Acknowledgments
Conflicts of Interest
References
- IPCC. Climate Change 2013: The Physical Science Basis. In Contribution of Working Group I to the Fifth 539 Assessment Report of the Intergovernmental Panel on Climate Change; Cambridge University Press: Cambridge, UK; New York, NY, USA, 2013; p. 1535. [Google Scholar]
- Nijat, M.; Dai, Y.; Shi, Q.D.; Li, T.; Bayi, X.; Abudureyimu, A. Response of foliar δ13C in Populus euphratica and Tamarix sp. to different groundwater depths in the oasis of desert hinterland. Chin. J. Appl. Ecol. 2020, 31, 1083–1087. [Google Scholar]
- Rahman, M.; Islam, M.; Gebrekirstos, A.; Bräuning, A. Trends in tree growth and intrinsic water-use efficiency in the tropics under elevated CO2 and climate change. Trees 2019, 33, 623–640. [Google Scholar] [CrossRef]
- Keenan, T.F.; Hollinger, D.Y.; Bohrer, G.; Dragoni, D.; Munger, J.W.; Schmid, H.P.; Richardson, A.D. Increase in forest water-use efficiency as atmospheric carbon dioxide concentrations rise. Nature 2013, 499, 324–327. [Google Scholar] [CrossRef]
- Flanagan, L.B.; Wever, L.A.; Carlson, P.J. Seasonal and interannual variation in carbon dioxide exchange and carbon balance in a northern temperate grassland. Glob. Chang. Biol. 2002, 8, 599–615. [Google Scholar] [CrossRef]
- Hu, Z.M.; Yu, G.R.; Wang, Q. Progress in ecosystem water utilization efficiency. Ecol. J. 2009, 3, 448–457. [Google Scholar]
- Medlyn, B.E.; Kauwe, M.D.; Lin, Y.S.; Knauer, J.; Duursma, R.A.; Williams, C.A.; Arneth, A.; Clement, R.; Isaac, P.; Limousin, J.M.; et al. How do leaf and ecosystem measures of water-use efficiency compare? New Phytol. 2017, 216, 758–770. [Google Scholar] [CrossRef] [Green Version]
- Song, L.; Zhu, J.; Li, M.; Zhang, J.; Zheng, X.; Wang, K. Canopy transpiration of pinus sylvestris var. mongolica in a sparse wood grassland in the semiarid sandy region of northeast China. Agric. For. Meteorol. 2018, 250, 192–201. [Google Scholar]
- Sensuła, B.M. δ13C and water use efficiency in the glucose of annual pine tree rings as ecological indicators of the forests in the most industrialized part of Poland. Water Air Soil Pollut. 2016, 227, 68. [Google Scholar] [CrossRef] [PubMed] [Green Version]
- Guang, H.L. Stable isotope ecology: A new branch of ecology resulted from technology advances. Chin. J. Plant Ecol. 2010, 34, 119. [Google Scholar]
- Farquhar, G.D.; O’Leary, M.H.; Berry, J.A. On the relationship between carbon isotope discrimination and the intercellular carbon dioxide concentration in leaves. Funct. Plant Biol. 1982, 9, 121–137. [Google Scholar] [CrossRef]
- Zhang, Y.E.; Yu, X.X. Leaf water use efficiency at different heights of cypress canopy in Beijing. J. Appl. Ecol. 2017, 28, 2143–2148. [Google Scholar]
- Bgelein, R.; Hassdenteufel, M.; Thomas, F.M.; Werner, W. Comparison of leaf gas exchange and stable isotope signature of water-soluble compounds along canopy gradients of co-occurring Douglas-fir and European beech. Plant Cell Environ. 2012, 35, 1245–1257. [Google Scholar] [CrossRef] [PubMed]
- Zheng, P.F.; Yu, X.M.; Jia, G.D. Water use efficiency and its influencing factors of lateral cypress artificial forest in Beijing mountains. J. Appl. Ecol. 2019, 30, 20–27. [Google Scholar]
- Franks, P.J.; Adams, M.A.; Amthor, J.S.; Barbour, M.M.; Berry, J.A.; Ellsworth, D.S.; Farquhar, G.D.; Ghannoum, O. Sensitivity of plants to changing atmospheric CO2 concentration: From the geological past to the next century. New Phytol. 2013, 197, 1077–1094. [Google Scholar] [CrossRef] [PubMed]
- Cao, X.; Jia, J.B.; Li, H.; Li, M.C.; Luo, J.; Liang, Z.S.; Luo, Z.B. Photosynthesis, water use efficiency and stable carbon isotope composition are associated with anatomical properties of leaf and xylem in six poplar species. Plant Biol. 2012, 14, 612–620. [Google Scholar] [CrossRef] [PubMed]
- Cernusak, L.A. Gas exchange and water-use efficiency in plant canopies. Plant Biol. 2020, 22, 52–67. [Google Scholar] [CrossRef]
- Mattii, G.; Orlandini, S.; Benites, J.; Pisante, M.; Stagnari, F. Whole plant gas-exchange measurements in grapevine to estimate water-use efficiency. FAO Land Water Bull. 2005, 10, 113–118. [Google Scholar]
- Faria, T.; Wilkins, D.; Besford, R.T.; Vaz, M.; Pereira, J.S.; Chaves, M.M. Growth at elevated CO2 leads to down-regulation of photosynthesis and altered response to high temperature in Quercus suber L. seedlings. J. Exp. Bot. 1996, 47, 1755–1761. [Google Scholar] [CrossRef] [Green Version]
- Thomas, R.B.; Spal, S.E.; Smith, K.R.; Nippert, J.B. Evidence of recovery of Juniperus virginiana trees from sulfur pollution after the Clean Air Act. Proc. Natl. Acad. Sci. USA 2013, 110, 15319–15324. [Google Scholar] [CrossRef] [Green Version]
- Afas, N.A.; Marron, N.; Ceulemans, R. Clonal variation in stomatal characteristics related to biomass production of 12 poplar (Populus) clones in a short rotation coppice culture. Environ. Exp. Bot. 2006, 58, 279–286. [Google Scholar] [CrossRef]
- Wu, Y.; Zhong, H.; Li, J.; Xing, J.; Xu, N.; Zou, H. Water use efficiency and photosynthesis of Calamagrostis angustifolia leaves under drought stress through CO2 concentration increase. J. Plant Interact. 2022, 17, 60–74. [Google Scholar] [CrossRef]
- Scoffoni, C.; Kunkle, J.; Pasquet-Kok, J.; Vuong, C.; Patel, A.J.; Montgomery, R.A.; Sack, L. Light-induced plasticity in leaf hydraulics, venation, anatomy, and gas exchange in ecologically diverse Hawaiian lobeliads. New Phytol. 2015, 207, 43–58. [Google Scholar] [CrossRef]
- England, J.R.; Attiwill, P.M. Changes in leaf morphology and anatomy with tree age and height in the broadleaved evergreen species, Eucalyptus regnans F. Muell. Trees 2006, 20, 79. [Google Scholar] [CrossRef]
- Babst, F.; Esper, J.; Parlow, E. Landsat TM/ETM+ and tree-ring based assessment of spatiotemporal patterns of the autumnal moth (Epirrita autumnata) in northernmost Fennoscandia. Remote Sens. Environ. 2010, 114, 637–646. [Google Scholar] [CrossRef]
- Xiao, Y.W.; Chun, Y.Z.; Qing, Y.J. Impacts of climate change on forest ecosystems in Northeast China. Adv. Clim. Chang. Res. 2013, 4, 230–241. [Google Scholar] [CrossRef]
- Rittenhouse, C.D.; Rissman, A.R. Changes in winter conditions impact forest management in north temperate forests. J. Environ. Manag. 2015, 149, 157–167. [Google Scholar] [CrossRef] [PubMed]
- Bonan, G.B. Forests and climate change: Forcings, feedbacks, and the climate benefits of forests. Science 2008, 320, 1444–1449. [Google Scholar] [CrossRef] [Green Version]
- Sun, F.H.; Yuan, J.; Lu, S. The change and test of climate in Northeast China over the last 100 years. Clim. Environ. Res. 2006, 11, 101–108. [Google Scholar]
- Jiang, Y.L.; Zhou, G.S. Study on carbon balance and global change in larch forests. J. Appl. Ecol. 2001, 12, 481–484. [Google Scholar]
- Gao, W.; Yao, Y.; Liang, H.; Song, L.; Sheng, H.; Cai, T.; Gao, D. Emissions of nitrous oxide from continuous permafrost region in the Daxing’an Mountains, Northeast China. Atmos. Environ. 2019, 198, 34–45. [Google Scholar] [CrossRef]
- Cluzeau, C.; Goff, N.L.; Ottorini, J.M. Development of primary branches and crown profile of Fraxinus excelsior. Can. J. For. Res. 1994, 24, 2315–2323. [Google Scholar] [CrossRef]
- Farquhar, G.D.; Ehleringer, J.R.; Hubick, K.T. Carbon isotope discrimination and photosynthesis. Annu. Rev. Plant Biol. 1989, 40, 503–537. [Google Scholar] [CrossRef]
- Flanagan, L.B.; Ehleringer, J.R. Stable isotope composition of stem and leaf water: Applications to the study of plant water use. Funct. Ecol. 1991, 5, 270–277. [Google Scholar] [CrossRef]
- Luo, Z.B.; Langenfeld-Heyser, R.; Calfapietra, C.; Polle, A. Influence of free air CO2 enrichment (EUROFACE) and nitrogen fertilisation on the anatomy of juvenile wood of three poplar species after coppicing. Trees 2005, 19, 109–118. [Google Scholar] [CrossRef]
- Shi, G.R.; Cai, Q.S. Photosynthetic and anatomic responses of peanut leaves to zinc tress. Biol. Plant. 2009, 53, 391–394. [Google Scholar] [CrossRef]
- Dillen, S.Y.; Marron, N.; Koch, B.; Ceulemans, R. Genetic variation of stomatal traits and carbon isotope discrimination in two hybrid poplar families (Populus deltoides ‘S9-2’× P. nigra ‘Ghoy’and P. deltoides ‘S9-2’× P. trichocarpa ‘V24’). Ann. Bot. 2008, 102, 399–407. [Google Scholar] [CrossRef] [PubMed] [Green Version]
- Breiman, L. Random forests. Mach. Learn. 2001, 45, 5–32. [Google Scholar] [CrossRef] [Green Version]
- Berry, S.C.; Varney, G.T.; Flanagan, L.B. Leaf δ13C in Pinus resinosa trees and understory plants: Variation associated with light and CO2 gradients. Oecologia 1997, 109, 499–506. [Google Scholar] [CrossRef]
- Niinemets, U.; Sonninen, E.; Tobias, M. Canopy gradients in leaf intercellular CO2 mole fractions revisited: Inter- actions between leaf irradiance and water stress need consideration. Plant Cell Environ. 2004, 27, 569–583. [Google Scholar] [CrossRef]
- Medrano, H.; Tomás, M.; Martorell, S.; Flexas, J.; Hernández, E.; Rosselló, J.; Bota, J. From leaf to whole-plant water use efficiency (WUE) in complex canopies: Limitations of leaf WUE as a selection target. Crop J. 2015, 3, 220–228. [Google Scholar] [CrossRef] [Green Version]
- Klein, T.; Shpringer, I.; Fikler, B.; Elbaz, G.; Cohen, S.; Yakir, D. Relationships between stomatal regulation, water-use, and water-use efficiency of two coexisting key Mediterranean tree species. For. Ecol. Manag. 2013, 302, 34–42. [Google Scholar] [CrossRef]
- Lawson, T.; Blatt, M.R. Stomatal size, speed, and responsiveness impact on photosynthesis and water use efficiency. Plant Physiol. 2014, 164, 1556–1570. [Google Scholar] [CrossRef] [Green Version]
- McDowell, N.G.; Bond, B.J.; Dickman, L.T.; Ryan, M.G.; Whitehead, D. Relationships between Tree Height and Carbon Isotope Discrimination Size and Age Related Changes in Tree Structure and Function; Springer: Dordrecht, The Netherlands, 2011; pp. 255–286. [Google Scholar]
- Woodruff, D.R.; McCulloh, K.A.; Warren, J.M.; Meinzer, F.C.; Lachenbruch, B. Impacts of tree height on leaf hydraulic architecture and stomatal control in Douglas-fir. Plant Cell Environ. 2007, 30, 559–569. [Google Scholar] [CrossRef] [PubMed]
- Hu, J.; Moore, D.J.; Riveros-Iregui, D.A.; Burns, S.P.; Monson, R.K. Modeling whole-tree carbon assimilation rate using observed transpiration rates and needle sugar carbon isotope ratios. New Phytol. 2010, 185, 1000–1015. [Google Scholar] [CrossRef] [Green Version]
- Konate, N.M.; Dreyer, E.; Epron, D. Differences in carbon isotope discrimination and whole-plant transpiration efficiency among nine Australian and Sahelian Acacia species. Ann. For. Sci. 2016, 73, 995–1003. [Google Scholar] [CrossRef] [Green Version]
- Warren, C.R.; Adams, M.A. Water availability and branch length determine δ13C in foliage of Pinus pinaster. Tree Physiol. 2000, 20, 637–643. [Google Scholar] [CrossRef]
- Samuelson, L.J.; Stokes, T.A. Leaf physiological and morphological responses to shade in grass-stage seedlings and young trees of long leaf pine. Forests 2012, 3, 684–699. [Google Scholar] [CrossRef] [Green Version]
- O’leary, M.H.; Madhavan, S.; Paneth, P. Physical and chemical basis of carbon isotope fractionation in plants. Plant Cell Environ. 1992, 15, 1099–1104. [Google Scholar] [CrossRef]
- Sensuła, B.; Wilczyński, S.; Opała, M. Tree growth and climate relationship: Dynamics of Scots pine (Pinus sylvestris L.) growing in the near-source region of the combined heat and power plant during the development of the pro-ecological strategy in Poland. Water Air Soil Pollut. 2015, 226, 220. [Google Scholar] [CrossRef] [Green Version]
- Cavaleri, M.A.; Oberbauer, S.F.; Clark, D.B.; Clark, D.A.; Ryan, M.G. Height is more important than light in determining leaf morphology in a tropical forest. Ecology 2010, 91, 1730–1739. [Google Scholar] [CrossRef] [PubMed]
- Li, J.; Li, X. Response of stomatal conductance of two tree species to vapor pressure deficit in three climate zones. J. Arid Land 2014, 6, 771–781. [Google Scholar] [CrossRef]
- Chang, X.; Wang, Z.; Wei, F.; Xiao, P.; Shen, Z.; Lv, X.; Shi, Y. Determining the Contributions of Vegetation and Climate Change to Ecosystem WUE Variation over the Last Two Decades on the Loess Plateau, China. Forests 2021, 12, 1442. [Google Scholar] [CrossRef]
- Warren, C.R.; McGrath, J.F.; Adams, M.A. Water availability and carbon isotope discrimination in conifers. Oecologia 2001, 127, 476–486. [Google Scholar] [CrossRef]
- Zhou, S.; Yu, B.; Huang, Y.; Wang, G. Daily underlying water use efficiency for AmeriFlux sites. Biogeo Sci. 2015, 120, 887–902. [Google Scholar] [CrossRef] [Green Version]
- Feng, C.Y.; Wang, H.S.; Sun, J.X. Temporal changes of vegetation water use efficiency and its influencing factors in Northern China. J. Plant Ecol. 2018, 42, 453. [Google Scholar]
- Hu, Y.; Zhao, P.; Zhu, L.; Zhao, X.; Ni, G.; Shen, W. Responses of sap flux and intrinsic water use efficiency to canopy and understory nitrogen addition in a temperate broadleaved deciduous forest. Sci. Total Environ. 2019, 648, 325–336. [Google Scholar] [CrossRef] [PubMed]
- Liu, E.K.; Mei, X.R.; Yan, C.R.; Gong, D.Z.; Zhang, Y.Q. Effects of water stress on photosynthetic characteristics, dry matter translocation and WUE in two winter wheat genotypes. Agric. Water Manag. 2016, 167, 75–85. [Google Scholar] [CrossRef]
- Han, L.; He, J.; Ye, T.Q. Responses and modeling of canopy stomatal conductance of Platycladus orientalis to environmental factors in Hedong sandy Ningxia land. J. Ecol. 2018, 37, 2862–2868. [Google Scholar]
- Kudoyarova, G.R.; Veselov, D.S.; Faizov, R.G.; Veselova, S.V.; Ivanov, E.A.; Farkhutdinov, R.G. Stomata response to changes in temperature and humidity in wheat cultivars grown under contrasting climatic conditions. J. Plant Physiol. 2007, 54, 46–49. [Google Scholar] [CrossRef]
- Damour, G.; Simonneau, T.; Cochard, H.; Urban, L. An overview of models of stomatal conductance at the leaf level. Plant Cell Environ. 2010, 33, 1419–1438. [Google Scholar] [CrossRef] [PubMed]
- Morecroft, M.D.; Woodward, F.I.; Marris, R.H. Altitudinal Trends in Leaf Nutrient Contents, Leaf Size and| delta 13C of Alchemilla alpina. Funct. Ecol. 1992, 6, 730–740. [Google Scholar] [CrossRef]
- Francey, R.J.; Gifford, R.M.; Sharkey, T.D.; Weir, B. Physiological influences on carbon isotope discrimination in huon pine (Lagarostrobos franklinii). Oecologia 1985, 66, 211–218. [Google Scholar] [CrossRef] [PubMed]
- Ziegler, H. Stable isotopes in plant physiology and ecology. In Progress in Botany; Behnke, H.D., Lüttge, U., Esser, K., Kadereit, J.W., Runge, M., Eds.; Springer: Berlin/Heidelberg, Germany, 1995; Volume 56, pp. 1–24. [Google Scholar]
- Kubien, D.S.; Sage, R.F. The temperature response of photosynthesis in tobacco with reduced amounts of Rubisco. Plant Cell Environ. 2008, 31, 407–418. [Google Scholar] [CrossRef]
- Seibt, U.; Rajabi, A.; Griffiths, H.; Berry, J.A. Carbon isotopes and water use efficiency: Sense and sensitivity. Oecologia 2008, 155, 441–454. [Google Scholar] [CrossRef]
- Quemada, M.; Gabriel, J.L. Approaches for increasing nitrogen and water use efficiency simultaneously. Glob. Food Secur. 2016, 9, 29–35. [Google Scholar] [CrossRef] [Green Version]
- Gago, J.; Douthe, C.; Florez-Sarasa, I.; Escalona, J.M.; Galmes, J.; Fernie, A.R.; Medrano, H. Opportunities for improving leaf water use efficiency under climate change conditions. Plant Sci. 2014, 226, 108–119. [Google Scholar] [CrossRef] [PubMed]
- Bögelein, R.; Lehmann, M.M.; Thomas, F.M. Differences in carbon isotope leaf-to-phloem fractionation and mixing patterns along a vertical gradient in mature European beech and Douglas fir. New Phytol. 2019, 222, 1803–1815. [Google Scholar] [CrossRef] [PubMed]
- Zhang, M.L.; Wang, J.X.; Li, J.W. Characteristics of photosynthesis and water use efficiency of Robinia pseudoacacia and Platycladus orientalis seedlings under sufficient soil moisture. J. Northwest For. Univ. 2009, 24, 27–32. [Google Scholar]
- Bachofen, C.; D’Odorico, P.; Buchmann, N. Light and VPD gradients drive foliar nitrogen partitioning and photosynthesis in the canopy of European beech and silver fir. Oecologia 2020, 192, 323–339. [Google Scholar] [CrossRef] [PubMed]
- Russo, G.; Beritognolo, I.; Sabatti, M.; Climent, J.M.; Lauteri, M.; De Angelis, P. Functional relationships between leaves and stem across canopy layers in two contrasting clones of Populus nigra L. Plant Physiol. Biochem. 2018, 133, 22–28. [Google Scholar] [CrossRef]
- Condon, A.G.; Richards, R.A.; Rebetzke, G.J.; Farquhar, G.D. Breeding for high water-use efficiency. J. Exp. Bot. 2004, 55, 2447–2460. [Google Scholar] [CrossRef] [PubMed] [Green Version]
- Cernusak, L.A.; Marshall, J.D. Responses of foliar δ13C, gas exchange and leaf morphology to reduced hydraulic conductivity in Pinus monticola branches. Tree Physiol. 2001, 21, 1215–1222. [Google Scholar] [CrossRef] [PubMed] [Green Version]
- He, C.X. Leaf traits and WUE of tall trees change with tree height. Ecol. J. 2013, 33, 5644. [Google Scholar]
- Tanaka-Oda, A.; Kenzo, T.; Koretsune, S.; Sasaki, H.; Fukuda, K. Ontogenetic changes in water-use efficiency (δ13C) and leaf traits differ among tree species growing in a semiarid region of the Loess Plateau, China. For. Ecol. Manag. 2010, 259, 953–957. [Google Scholar] [CrossRef]





| Forest Type | Larch Forest |
|---|---|
| Stand Age | 75–90 |
| Canopy Density | 0.70–0.75 |
| Stand Density (ha−1) | 1300 ± 135 |
| Mean Tree Height (m) | 18.64 ± 5.43 |
| Mean DBH (cm) | 13.78 ± 3.21 |
| Elevation (m) | 320 ± 6 |
| Slope (°) | 3 ± 1 |
| Species Composition | 8L 1B 1P |
| Understory Species | 1–9 |
| Date | Canopy | δ13C Values of Atmosphere | Leaf Soluble Sugar δ13C | WUEs |
|---|---|---|---|---|
| 8–18 | Upper canopy | −8.97 | −29.07 ± 0.17 A | 4.32 ± 0.06 A |
| Middle canopy | −9.07 | −29.51 ± 0.23 B | 4.05 ± 0.21 B | |
| Lower canopy | −9.14 | −29.95 ± 0.22 B | 3.89 ± 0.19 B | |
| 8–19 | Upper canopy | −9.11 | −29.05 ± 0.25 A | 4.36 ± 0.10 A |
| Middle canopy | −9.15 | −29.49 ± 0.28 B | 4.12 ± 0.24 B | |
| Lower canopy | −9.42 | −29.67 ± 0.19 B | 4.07 ± 0.17 B | |
| 8–20 | Upper canopy | −8.99 | −29.14 ± 0.09 A | 4.34 ± 0.07 A |
| Middle canopy | −9.22 | −29.83 ± 0.23 B | 3.96 ± 0.21 B | |
| Lower canopy | −9.26 | −29.91 ± 0.20 B | 3.92 ± 0.18 B |
| Factors | Ta | RH | VPD | PAR |
|---|---|---|---|---|
| Upper Canopy WUEs | 0.683 * | −0.832 ** | 0.831 ** | 0.963 ** |
| Middle Canopy WUEs | 0.827 * | −0.741 ** | 0.827 ** | 0.853 ** |
| Lower Canopy WUEs | 0.643 * | −0.740 ** | 0.750 ** | 0.753 * |
| Factors | Pn | Tr | Gs | Ci/Ca |
|---|---|---|---|---|
| Upper Canopy WUEs | 0.837 ** | 0.825 * | 0.819 ** | 0.465 |
| Middle Canopy WUEs | 0.933 ** | 0.731 * | 0.745 ** | 0.857 * |
| Lower Canopy WUEs | 0.926 ** | 0.467 | 0.751 ** | 0.544 * |
| Leaf Anatomical Properties | Canopy | ||
|---|---|---|---|
| Upper | Middle | Lower | |
| LMA (g/m−2) | 30.84 ± 2.05 A | 19.15 ± 1.22 B | 18.44 ± 1.01 B |
| LT (μm) | 364.00 ± 15.06 A | 352.98 ± 15.47 A | 345.79 ± 13.05 A |
| Upper ET (μm) | 8.76 ± 0.44 A | 10.24 ± 0.57 A | 12.93 ± 0.91 A |
| SD in upper epidermis (mm−2) | 68 ± 5 B | 78 ± 6 B | 94 ± 4 A |
| SL in upper epidermis (μm) | 26.89 ± 1.38 A | 24.93 ± 0.39 A | 21.69 ± 2.49 A |
| SW in Upper epidermis (μm) | 9.65 ± 0.81 A | 7.89 ± 1.39 A | 6.85 ± 2.26 A |
| GCA in upper epidermis (μm−2) | 538.2 ± 22.52 A | 419.25 ± 17.02 B | 363.28 ± 12.51 C |
| lower ET (μm) | 7.34 ± 1.48 A | 8.06 ± 1.44 A | 9.51 ± 0.17 A |
| SD in lower epidermis (mm−2) | 107 ± 3 B | 110 ± 4 B | 140 ± 4 A |
| SL in lower epidermis (μm) | 33.00 ± 3.14 A | 29.96 ± 1.14 A | 27.37 ± 2.68 A |
| SW in Lower epidermis (μm) | 12.57 ± 0.48 A | 10.94 ± 1.71 A | 8.32 ± 1.75 A |
| GCA in lower epidermis (μm−2) | 637.8 ± 21.07 A | 487.52 ± 19.2 B | 444.03 ± 21.46 C |
| Factors | SD | LMA | LT | ET | SL | SW | GCA |
|---|---|---|---|---|---|---|---|
| Upper Canopy WUEs | −0.736 * | 0.725 * | 0.404 | −0.705 * | 0.721 * | 0.391 | 0.547 |
| Middle Canopy WUEs | −0.669 * | 0.721 * | 0.462 | −0.614 | 0.618 | 0.494 | 0.507 |
| Lower Canopy WUEs | −0.741 * | 0.724 * | 0.319 | −0.606 | 0.525 | 0.399 | 0.501 |
Publisher’s Note: MDPI stays neutral with regard to jurisdictional claims in published maps and institutional affiliations. |
© 2022 by the authors. Licensee MDPI, Basel, Switzerland. This article is an open access article distributed under the terms and conditions of the Creative Commons Attribution (CC BY) license (https://creativecommons.org/licenses/by/4.0/).
Share and Cite
Ge, Z.; Man, X.; Cai, T.; Duan, B.; Xiao, R.; Xu, Z. Environmental Factors at Different Canopy Heights Had Significant Effects on Leaf Water-Use Efficiency in Cold-Temperate Larch Forest. Sustainability 2022, 14, 5126. https://doi.org/10.3390/su14095126
Ge Z, Man X, Cai T, Duan B, Xiao R, Xu Z. Environmental Factors at Different Canopy Heights Had Significant Effects on Leaf Water-Use Efficiency in Cold-Temperate Larch Forest. Sustainability. 2022; 14(9):5126. https://doi.org/10.3390/su14095126
Chicago/Turabian StyleGe, Zhaoxin, Xiuling Man, Tijiu Cai, Beixing Duan, Ruihan Xiao, and Zhipeng Xu. 2022. "Environmental Factors at Different Canopy Heights Had Significant Effects on Leaf Water-Use Efficiency in Cold-Temperate Larch Forest" Sustainability 14, no. 9: 5126. https://doi.org/10.3390/su14095126
APA StyleGe, Z., Man, X., Cai, T., Duan, B., Xiao, R., & Xu, Z. (2022). Environmental Factors at Different Canopy Heights Had Significant Effects on Leaf Water-Use Efficiency in Cold-Temperate Larch Forest. Sustainability, 14(9), 5126. https://doi.org/10.3390/su14095126
