A SUDS Planning Decision Support Tool to Maximize Ecosystem Services
Abstract
:1. Introduction
2. Materials and Methods
2.1. Preliminary Analysis
2.2. Phase 1—Priority Index
- : evaluation criterion per service.
- : maximum value for evaluation criterion
- : minimum value for evaluation criterion
- : normalized evaluated criterion
- : aggregated benefit value
- : number of criteria per ecosystem service category
- : normalized provisioning service
- : normalized regulating service
- : normalized socio-cultural service
- : priority index.
2.3. Phase 2—Opportunity Index
2.4. Phase 3—Feasibility Analysis
2.5. Phase 4—Optimization
- : cost per type of SUDS
3. Case Study
3.1. Ciudad Verde
3.2. Lagos de Torca
3.3. El Reencuentro
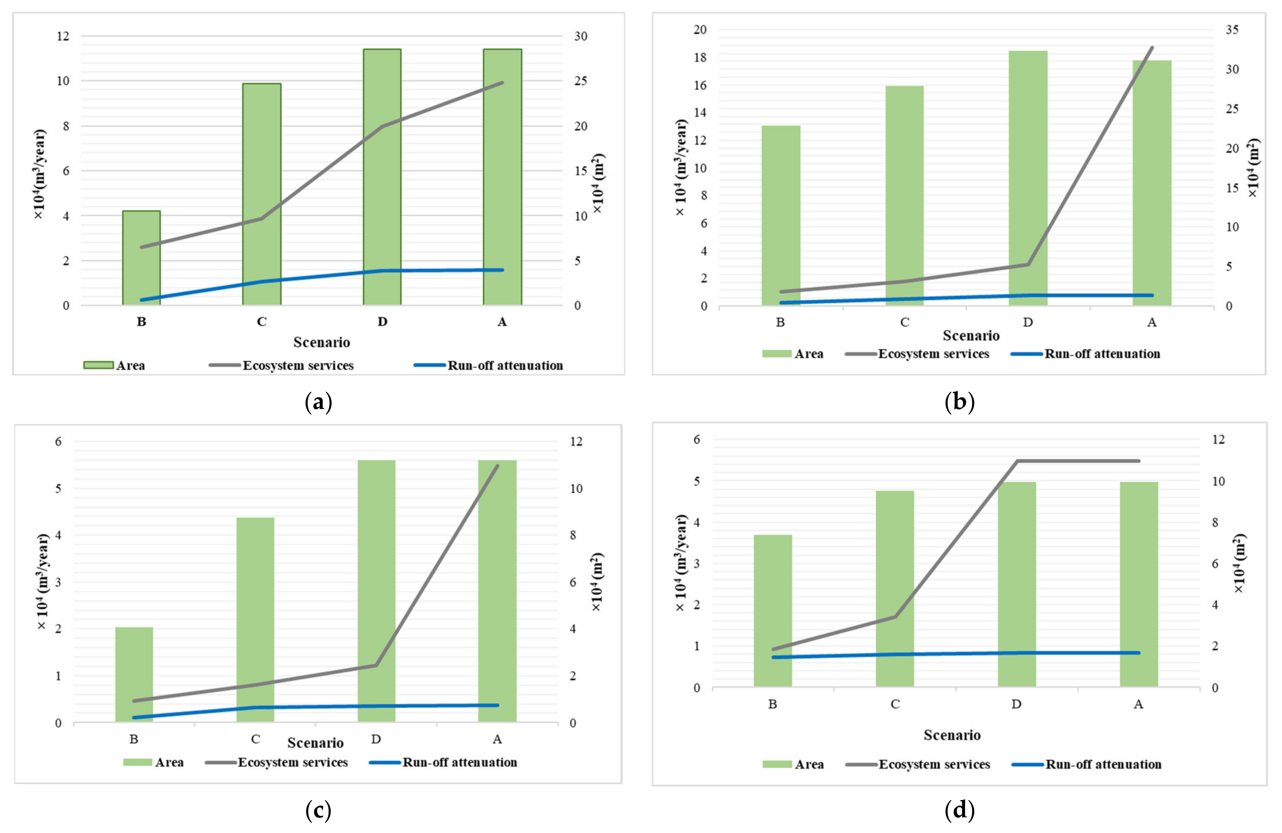
4. Results
4.1. Preliminary Analysis
4.2. Priority Index
4.3. Opportunity Index
4.4. Feasibility Analysis and Optimization
5. Discussion
6. Conclusions
Supplementary Materials
Author Contributions
Funding
Institutional Review Board Statement
Informed Consent Statement
Conflicts of Interest
References
- Mahmood, I.M.; Elagib, N.A.; Horn, F.; Saad, S.A.G. Lessons learned from Khartoum flash flood impacts: An integrated assessment. Sci. Total Environ. 2017, 601–602, 1031–1045. [Google Scholar] [CrossRef] [PubMed]
- Mawlong, B.L. Climate Change and Developing Countries, 8th ed.; Cambridge Scholars Publishing: Cambridge, UK, 2018. [Google Scholar]
- McClymont, K.; Cunha, D.G.F.; Maidment, C.; Ashagre, B.; Vasconcelos, A.F.; de Macedo, M.B.; dos Santos, M.F.N.; Júnior, M.N.G.; Mendiondo, E.M.; Barbassa, A.P.; et al. Towards urban resilience through Sustainable Drainage Systems: A multi-objective optimisation problem. J. Environ. Manag. 2020, 275, 111173. [Google Scholar] [CrossRef] [PubMed]
- Fletcher, T.D.; Shuster, W.; Hunt, W.F.; Ashley, R.; Butler, D.; Arthur, S.; Trowsdale, S.; Barraud, S.; Semadeni-Davies, A.; Bertrand-Krajewski, J.-L.; et al. SUDS, LID, BMPs, WSUD and more—The evolution and application of terminology surrounding urban drainage. Urban Water J. 2015, 12, 525–542. [Google Scholar] [CrossRef]
- Andrés-Doménech, I.; Anta, J.; Perales-Momparler, S.; Rodriguez-Hernandez, J. Sustainable Urban Drainage Systems in Spain: A Diagnosis. Sustainability 2021, 13, 2791. [Google Scholar] [CrossRef]
- Gimenez-Maranges, M.; Breuste, J.; Hof, A. Sustainable Drainage Systems for transitioning to sustainable urban flood management in the European Union: A review. J. Clean. Prod. 2020, 255, 120191. [Google Scholar] [CrossRef]
- Fisher, B.; Turner, R.K.; Morling, P. Defining and classifying ecosystem services for decision making. Ecol. Econ. 2009, 68, 643–653. [Google Scholar] [CrossRef] [Green Version]
- Mak, C.; Scholz, M.; James, P. Sustainable drainage system site assessment method using urban ecosystem services. Urban Ecosyst. 2016, 20, 293–307. [Google Scholar] [CrossRef] [Green Version]
- Charlesworth, S.M.; Fontaneda, L.A.S.; Mays, L.W. Back to the Future? History and Contemporary Application of Sustainable Drainage Techniques. In Sustainable Surface Water Management: A Handbook for SuDS; John Wiley & Sons: Hoboken, NJ, USA, 2016; pp. 11–30. [Google Scholar] [CrossRef]
- City of Edmonton. Low Impact Development—Best Management Practices Design Guide; City of Edmonton: Edmonton, AB, Canada, 2014. [Google Scholar]
- Department of Water; Goverment of Western Australia. Stormwater Management Manual for Western Australia; Department of Water: Perth, Australia, 2004.
- Dylewski, K.; Brown, J.; LeBleu, C.; Brantley, E.F. Low Impact Development Handbook for the State of Alabama; Alabama Department of Environmental Management: Montgomery, AL, USA, 2014.
- Phadke, U.; Vyakarnam, S. The Scale-Up Manual: Handbook for Innovators, Entrepreneurs, Teams and Firms; World Scientific: Singapore, 2018. [Google Scholar] [CrossRef]
- Philadelphia Water Department. The Philadelphia Stormwater Management Guidance Manual. Available online: https://www.pwdplanreview.org/manual/introduction (accessed on 15 December 2021).
- Melbourne Water. WSUD Engineering Procedures: Stormwater; CSIRO Publishing: Clayton, Australia, 2005. [Google Scholar]
- Urban Drainage and Flood Control District (Colorado). Urban Storm Drainage Criteria Manual; Urban Drainage and Flood Control District: Denver, CO, USA, 2010; Volume 3. [Google Scholar]
- Woods Ballard, B.; Willson, S.; Illman, S.; Scott, T.; Ashley, R.; Kellagher, R. The SuDS Manual; CIRIA: London, UK, 2015. [Google Scholar]
- Fluhrer, T.; Chapa, F.; Hack, J. A Methodology for Assessing the Implementation Potential for Retrofitted and Multifunctional Urban Green Infrastructure in Public Areas of the Global South. Sustainability 2021, 13, 384. [Google Scholar] [CrossRef]
- Roshni, J.; Wade, R.; Jefferies, C. Smart SUDS: Recognising the multiple-benefit potential of sustainable surface water management systems. Water Sci. Technol. 2015, 71, 245–251. [Google Scholar]
- Wang, J.; Pauleit, S.; Banzhaf, E. An Integrated Indicator Framework for the Assessment of Multifunctional Green Infrastructure—Exemplified in a European City. Remote Sens. 2019, 11, 1869. [Google Scholar] [CrossRef] [Green Version]
- Ruckelshaus, M.; McKenzie, E.; Tallis, H.; Guerry, A.; Daily, G.; Kareiva, P.; Polasky, S.; Ricketts, T.; Bhagabati, N.; Wood, S.A.; et al. Notes from the field: Lessons learned from using ecosystem service approaches to inform real-world decisions. Ecol. Econ. 2015, 115, 11–21. [Google Scholar] [CrossRef] [Green Version]
- Sutherland, I.J.; Villamagna, A.M.; Dallaire, C.O.; Bennett, E.M.; Chin, A.T.; Yeung, A.C.; Lamothe, K.A.; Tomscha, S.A.; Cormier, R. Undervalued and under pressure: A plea for greater attention toward regulating ecosystem services. Ecol. Indic. 2018, 94, 23–32. [Google Scholar] [CrossRef]
- Cortinovis, C.; Geneletti, D. A framework to explore the effects of urban planning decisions on regulating ecosystem services in cities. Ecosyst. Serv. 2019, 38, 100946. [Google Scholar] [CrossRef]
- Meerow, S.; Newell, J.P. Spatial planning for multifunctional green infrastructure: Growing resilience in Detroit. Landsc. Urban Plan. 2017, 159, 62–75. [Google Scholar] [CrossRef]
- Cortinovis, C.; Geneletti, D. Ecosystem services in urban plans: What is there, and what is still needed for better decisions. Land Use Policy 2018, 70, 298–312. [Google Scholar] [CrossRef]
- Langemeyer, J.; Gómez-Baggethun, E.; Haase, D.; Scheuer, S.; Elmqvist, T. Bridging the gap between ecosystem service assessments and land-use planning through Multi-Criteria Decision Analysis (MCDA). Environ. Sci. Policy 2016, 62, 45–56. [Google Scholar] [CrossRef]
- Arai, K.; Kapoor, S.; Bhatia, R. Intelligent Computing. In Proceedings of the 2020 Computing Conference, London, UK, 16–17 July 2020; Springer Nature: Berlin/Heidelberg, Germany, 2020; Volume 2. [Google Scholar]
- Zardari, N.H.; Ahmed, K.; Shirazi, S.M.; Bin Yusop, Z. Weighting Methods and Their Effects on Multi-Criteria Decision Making Model Outcomes in Water Resources Management; Springer: Berlin/Heidelberg, Germany, 2014. [Google Scholar]
- Odu, G. Weighting methods for multi-criteria decision making technique. J. Appl. Sci. Environ. Manag. 2019, 23, 1449–1457. [Google Scholar] [CrossRef] [Green Version]
- Grêt-Regamey, A.; Altwegg, J.; Sirén, E.A.; van Strien, M.J.; Weibel, B.; Grêt-Regamey, A.; Altwegg, J.; Sirén, E.A.; van Strien, M.J.; Weibel, B.; et al. Integrating ecosystem services into spatial planning—A spatial decision support tool. Landsc. Urban Plan. 2017, 165, 206–219. [Google Scholar] [CrossRef] [Green Version]
- Dell’Ovo, M.; Corsi, S. Urban Ecosystem Services to support the design process in urban environment. A case study of the Municipality of Milan. Aestimum 2021, 2021, 219–239. [Google Scholar] [CrossRef]
- García, A.M.; Santé, I.; Loureiro, X.; Miranda, D. Green infrastructure spatial planning considering ecosystem services assessment and trade-off analysis. Application at landscape scale in Galicia region (NW Spain). Ecosyst. Serv. 2020, 43, 101115. [Google Scholar] [CrossRef]
- Langemeyer, J.; Wedgwood, D.; McPhearson, T.; Baró, F.; Madsen, A.L.; Barton, D.N. Creating urban green infrastructure where it is needed—A spatial ecosystem service-based decision analysis of green roofs in Barcelona. Sci. Total Environ. 2019, 707, 135487. [Google Scholar] [CrossRef] [PubMed]
- Ronchi, S.; Arcidiacono, A.; Pogliani, L. Integrating green infrastructure into spatial planning regulations to improve the performance of urban ecosystems. Insights from an Italian case study. Sustain. Cities Soc. 2019, 53, 101907. [Google Scholar] [CrossRef]
- Torres, M.; Fontecha, J.; Walteros, J.; Zhu, Z.; Ahmed, Z.; Rodríguez, J.; Rabideau, A. City-scale optimal location planning of Green Infrastructure using piece-wise linear interpolation and exact optimization methods. J. Hydrol. 2021, 601, 126540. [Google Scholar] [CrossRef]
- Jayasooriya, V.M.; Muthukumaran, S.; Ng, A.W.M.; Perera, B.J.C. Multi Criteria Decision Making in Selecting Stormwater Management Green Infrastructure for Industrial areas Part 2: A Case Study with TOPSIS. Water Resour. Manag. 2018, 32, 4297–4312. [Google Scholar] [CrossRef]
- Jayasooriya, V.M.; Ng, A.W.M.; Muthukumaran, S.; Perera, B.J.C. Multi Criteria Decision Making in Selecting Stormwater Management Green Infrastructure for Industrial Areas Part 1: Stakeholder Preference Elicitation. Water Resour. Manag. 2018, 33, 627–639. [Google Scholar] [CrossRef]
- Bach, P.M.; McCarthy, D.; Urich, C.; Sitzenfrei, R.; Kleidorfer, M.; Rauch, W.; Deletic, A. A planning algorithm for quantifying decentralised water management opportunities in urban environments. Water Sci. Technol. 2013, 68, 1857–1865. [Google Scholar] [CrossRef]
- Bastien, N.; Arthur, S.; Wallis, S.; Scholz, M. The best management of SuDS treatment trains: A holistic approach. Water Sci. Technol. 2010, 61, 263–272. [Google Scholar] [CrossRef]
- Ariza, S.L.J.; Martínez, J.A.; Muñoz, A.F.; Quijano, J.P.; Rodríguez, J.P.; Camacho, L.A.; Díaz-Granados, M. A Multicriteria Planning Framework to Locate and Select Sustainable Urban Drainage Systems (SUDS) in Consolidated Urban Areas. Sustainability 2019, 11, 2312. [Google Scholar] [CrossRef] [Green Version]
- Kong, F.; Ban, Y.; Yin, H.; James, P.; Dronova, I. Modeling stormwater management at the city district level in response to changes in land use and low impact development. Environ. Model. Softw. 2017, 95, 132–142. [Google Scholar] [CrossRef]
- Ncube, S.; Arthur, S. Influence of Blue-Green and Grey Infrastructure Combinations on Natural and Human-Derived Capital in Urban Drainage Planning. Sustainability 2021, 13, 2571. [Google Scholar] [CrossRef]
- Scholz, M.; Uzomah, V. Rapid decision support tool based on novel ecosystem service variables for retrofitting of permeable pavement systems in the presence of trees. Sci. Total Environ. 2013, 458–460, 486–498. [Google Scholar] [CrossRef]
- Yang, W.; Zhang, J. Assessing the performance of gray and green strategies for sustainable urban drainage system development: A multi-criteria decision-making analysis. J. Clean. Prod. 2021, 293, 126191. [Google Scholar] [CrossRef]
- Menéndez Suárez-Inclán, A.; Allende-Prieto, C.; Roces-García, J.; Rodríguez-Sánchez, J.P.; Sañudo-Fontaneda, L.A.; Rey-Mahía, C.; Álvarez-Rabanal, F.P. Development of a Multicriteria Scheme for the Identification of Strategic Areas for SUDS Implementation: A Case Study from Gijón, Spain. Sustainability 2022, 14, 2877. [Google Scholar] [CrossRef]
- Joshi, P.; Leitão, J.P.; Maurer, M.; Bach, P.M. Not all SuDS are created equal: Impact of different approaches on combined sewer overflows. Water Res. 2021, 191, 116780. [Google Scholar] [CrossRef]
- Chang, N.-B.; Rivera, B.J.; Wanielista, M.P. Optimal design for water conservation and energy savings using green roofs in a green building under mixed uncertainties. J. Clean. Prod. 2011, 19, 1180–1188. [Google Scholar] [CrossRef]
- Jia, H.; Lu, Y.; Yu, S.L.; Chen, Y. Planning of LID–BMPs for urban runoff control: The case of Beijing Olympic Village. Sep. Purif. Technol. 2012, 84, 112–119. [Google Scholar] [CrossRef]
- Lee, J.G.; Selvakumar, A.; Alvi, K.; Riverson, J.; Zhen, J.X.; Shoemaker, L.; Lai, F.-H. A watershed-scale design optimization model for stormwater best management practices. Environ. Model. Softw. 2012, 37, 6–18. [Google Scholar] [CrossRef]
- Yang, G.; Best, E.P. Spatial optimization of watershed management practices for nitrogen load reduction using a modeling-optimization framework. J. Environ. Manag. 2015, 161, 252–260. [Google Scholar] [CrossRef]
- Sebti, A.; Fuamba, M.; Bennis, S. Optimization Model for BMP Selection and Placement in a Combined Sewer. J. Water Resour. Plan. Manag. 2016, 142, 04015068. [Google Scholar] [CrossRef]
- Chen, P.-Y.; Tung, C.-P.; Li, Y.-H. Low Impact Development Planning and Adaptation Decision-Making under Climate Change for a Community against Pluvial Flooding. Water 2017, 9, 756. [Google Scholar] [CrossRef] [Green Version]
- Raei, E.; Alizadeh, M.R.; Nikoo, M.R.; Adamowski, J. Multi-objective decision-making for green infrastructure planning (LID-BMPs) in urban storm water management under uncertainty. J. Hydrol. 2019, 579, 124091. [Google Scholar] [CrossRef]
- Ghodsi, S.H.; Zahmatkesh, Z.; Goharian, E.; Kerachian, R.; Zhu, Z. Optimal design of low impact development practices in response to climate change. J. Hydrol. 2019, 580, 124266. [Google Scholar] [CrossRef]
- Xu, H.; Ma, C.; Xu, K.; Lian, J.; Long, Y. Staged optimization of urban drainage systems considering climate change and hydrological model uncertainty. J. Hydrol. 2020, 587, 124959. [Google Scholar] [CrossRef]
- Zubelzu, S.; Rodríguez-Sinobas, L.; Sordo-Ward, A.; Pérez-Durán, A.; Cisneros-Almazán, R. Multi-Objective Approach for Determining Optimal Sustainable Urban Drainage Systems Combination at City Scale. The Case of San Luis Potosí (México). Water 2020, 12, 835. [Google Scholar] [CrossRef] [Green Version]
- Torres, M.N.; Fontecha, J.E.; Zhu, Z.; Walteros, J.L.; Rodríguez, J.P. A participatory approach based on stochastic optimization for the spatial allocation of Sustainable Urban Drainage Systems for rainwater harvesting. Environ. Model. Softw. 2019, 123, 104532. [Google Scholar] [CrossRef]
- Alves, A.; Vojinovic, Z.; Kapelan, Z.; Sanchez, A.; Gersonius, B. Exploring trade-offs among the multiple benefits of green-blue-grey infrastructure for urban flood mitigation. Sci. Total Environ. 2020, 703, 134980. [Google Scholar] [CrossRef] [PubMed]
- Vincent, S.U.; Radhakrishnan, M.; Hayde, L.; Pathirana, A. Enhancing the Economic Value of Large Investments in Sustainable Drainage Systems (SuDS) through Inclusion of Ecosystems Services Benefits. Water 2017, 9, 841. [Google Scholar] [CrossRef] [Green Version]
- Alcamo, J.; Bennett, E.M.; Millennium Ecosystem Assessment (Eds.) Ecosystems and Human Well-Being: A Framework for Assessment; Island Press: Washington, DC, USA, 2003. [Google Scholar]
- Kuller, M.; Bach, P.M.; Roberts, S.; Browne, D.; Deletic, A. A planning-support tool for spatial suitability assessment of green urban stormwater infrastructure. Sci. Total Environ. 2019, 686, 856–868. [Google Scholar] [CrossRef] [PubMed]
- Aceves, M.C.; Fuamba, M. Methodology for Selecting Best Management Practices Integrating Multiple Stakeholders and Criteria. Part 1: Methodology. Water 2016, 8, 55. [Google Scholar] [CrossRef] [Green Version]
- Ellis, J.B.; Lundy, L.; Revitt, D.M.; London, B. An Integrated Decision Support Approach to the Selection of Sustainable Urban Drainage Systems (SUDS); Urban Pollution Research Centre, Middlesex University: London, UK, 2011; 18p. [Google Scholar]
- Constructora Amarilo, S.A. Plano Usos del Suelo Cuidad Verde; Technical Report; Amarilo: Soacha, Columbia, 2019. [Google Scholar]
- IDECA. Ortoimagen. Bogotá D.C. 2017. Available online: https://www.ideca.gov.co/recursos/mapas/ortoimagen-bogota-dc-2017 (accessed on 7 February 2022).
- Secretaria Distrital de Planeación. Decreto 653 de 2019—Plan Parcial El Bosque No. 26—Lagos de Torca; Secretaria Distrital de Planeación: Bogotá, Colombia, 2019; 329p.
- Secretaría Distrital de Planeación. Plan Parcial Tibabita No. 12 Lagos de Torca 2021. Available online: http://www.sdp.gov.co/gestion-territorial/planes-parciales-de-desarrollo/planes/tibabita-no-12-lagos-de-torca (accessed on 7 February 2022).
- Empresa de Desarrollo y Renovación Urbana de Bogotá (ERU). Caracterización Socioeconómica- Pieza El Reencuentro Diagnóstico Socio Económico Basado en Fuentes Secundarias; ERU: Bogotá, Columbia, 2021.
- Instituto Distrital de Gestión de Riesgo y Cambio Climático I. Geoportal Capas Normativas 2019. Available online: https://www.arcgis.com/apps/webappviewer/index.html?id=fa4b277533584c3a95a9208b4d542e19 (accessed on 7 February 2022).
- Instituto Geografico Agustin Codazzi (Igac). 0001_IGAC/MAPA_IGAC_URBANO_2018 (MapServer). Available online: http://webcache.googleusercontent.com/search?q=cache:bYGsmfkLuxcJ:186.154.153.197:6080/arcgis/rest/services/0001_IGAC/MAPA_IGAC_URBANO_2018/MapServer%3Ff%3Dkmz+&cd=1&hl=es&ct=clnk&gl=co (accessed on 28 February 2022).
- Carey, I.M.; Atkinson, R.W.; Kent, A.J.; van Staa, T.; Cook, D.; Anderson, H.R. Mortality Associations with Long-Term Exposure to Outdoor Air Pollution in a National English Cohort. Am. J. Respir. Crit. Care Med. 2013, 187, 1226–1233. [Google Scholar] [CrossRef] [PubMed] [Green Version]
- Garcia-Cuerva, L.; Berglund, E.Z.; Rivers, L. An integrated approach to place Green Infrastructure strategies in marginalized communities and evaluate stormwater mitigation. J. Hydrol. 2018, 559, 648–660. [Google Scholar] [CrossRef]
- Concol Consultores S.A.S.; WSP Ingenieria Colombia S.A.S. Actualización De Los Estudios Conceptuales Del Contrato Eab-Esp 1-02-25500-0626-2009, Incluyendo La Topografía Detalle Necesaria Para El Ajuste Al Plan Vial Arterial Vigente, Que Sirvan De Base Para Definir Las Alternativas Técnicas Y Económicas Para El Desarrollo De La Ciudad Lagos De Torca; Producto 5 Estudio Ambiental Actualización Del Plan De Manejo Del Humedal Torca-Guaymaral; Fideicomiso Lagos de Torca: Bogotá, Colombia, 2020. [Google Scholar]
- Universidad de los Andes; Centro de Investigaciones en Ingeneria Ambiental (CIIA). Investigación de las Tipologías y/o Tecnologías de Sistemas Urbanos de Drenaje Sostenible (SUDS) que más se Adapten a las Condiciones de la Ciudad de Bogotá D.C.; Producto 3—Guía técnica de diseño y construcción de SUDS; Universidad de los Andes: Bogotá, Colombia, 2017. [Google Scholar]
- ArcGIS A. Superposición Ponderada—Ayuda/ArcGIS Desktop. ArcGIS Deskt. 2018. Available online: https://desktop.arcgis.com/es/arcmap/latest/tools/spatial-analyst-toolbox/weighted-overlay.htm (accessed on 13 January 2022).
- Mejia, L.E.; Mancipe, N.A.; Torres, M.N. Adaptación de Una Metodología para la Asignación de SUDS en Áreas Urbanas Privadas: Caso de Estudio Campus de la Universidad Nacional, Sede Bogota; Universidad Nacional: Bogotá, Colombia, 2022. [Google Scholar]
- Gurobi Optimization L. Gurobi—The Fastest Solver. 2017. Available online: https://www.gurobi.com/ (accessed on 13 January 2022).
- Marler, R.T.; Arora, J.S. Survey of multi-objective optimization methods for engineering. Struct. Multidiscip. Optim. 2004, 26, 369–395. [Google Scholar] [CrossRef]
- Sowell, D. Bogotá. Obo. 2021. Available online: https://www.oxfordbibliographies.com/view/document/obo-9780199766581/obo-9780199766581-0172.xml (accessed on 15 December 2021).
- Aponte, E.; Rubiera, F.; Blaszczyszyn, M. Looking at The Center of The Bogotá City. Rev. Econ. Adm. 2009, 6, 128–148. [Google Scholar]
- Departamento Adiministrativo de Planeación. DANE Revela Informe Completo del Censo de Población—Carta Administrativa—Función Pública. 2020. Available online: https://www.funcionpublica.gov.co/web/carta-administrativa/-/dane-revela-informe-completo-del-censo-de-poblacion (accessed on 15 December 2021).
- Universidad de los Andes (UK PACT). Ciudades con Bajas Emisiones de Carbono en Colombia. 2021. Available online: https://electricayelectronica.uniandes.edu.co/es/ciudades-con-bajas-emisiones-de-carbono-en-colombia (accessed on 15 December 2021).
- Amarilo. Lagos de Torca: Un Proyecto con Conciencia. Amarilo. 2021. Available online: https://amarilo.com.co/blog/verde/ciudad-lagos-de-torca-un-proyecto-con-conciencia/ (accessed on 28 February 2022).
- Empresa de Desarrollo y Renovación Urbana de Bogotá (ERU). Fotografía-El Reencuentro (Bogotá). 2020. Available online: https://eupolis-project.eu/city-of-bogota/ (accessed on 28 February 2022).
- Galeria de Ventas Ciudad Verde. Ciudad Verde Fotografía. 2019. Available online: https://ciudadverde.com.co/ (accessed on 28 February 2022).
- Secretaría Distrital de Planeación S. Generalidades. 2021. Available online: https://www.sdp.gov.co/gestion-territorial/planes-parciales-de-desarrollo/generalidades (accessed on 1 February 2022).
- Secretaria Distrital de Planeación. Plan Parcial de Renovación Urbana “Estación Metro Calle 26”. 2021. Available online: https://www.sdp.gov.co/gestion-territorial/planes-parciales-de-renovacion-urbana/planes/plan-parcial-de-renovacion-urbana-estacion-metro-calle-26 (accessed on 8 February 2022).
- Gomes, M.; Moura, O.; Aline, V. City Growth and Urban Drainage Alternatives: Sustainability Challenge. J. Urban Plan. Dev. 2014, 141, 04014026. [Google Scholar]
- Díaz, S.; Demissew, S.; Carabias, J.; Joly, C.; Lonsdale, M.; Ash, N.; Larigauderie, A.; Adhikari, J.R.; Arico, S.; Báldi, A.; et al. The IPBES Conceptual Framework—Connecting nature and people. Curr. Opin. Environ. Sustain. 2014, 14, 1–16. [Google Scholar] [CrossRef] [Green Version]
- Díaz, S.; Pascual, U.; Stenseke, M.; Martín-López, B.; Watson, R.T.; Molnár, Z.; Hill, R.; Chan, K.M.A.; Baste, I.A.; Brauman, K.A.; et al. Assessing nature’s contributions to people. Science 2018, 359, 270–272. [Google Scholar] [CrossRef] [Green Version]
- Juan, Y.; Roper, K.O.; Castro-Lacouture, D.; Kim, J.H. Optimal decision making on urban renewal projects. Manag. Decis. 2010, 48, 207–224. [Google Scholar] [CrossRef]
- Bastien, N.; Arthur, S.; Wallis, S.G.; Scholz, M. Towards the Best Management of SuDS Treatment Trains. In Proceedings of the 13th International Diffuse Pollution Conference (IWA DIPCON 2009), Seoul, Korea, 12–15 October 2009. [Google Scholar]
- Ferrans, P.; Torres, M.N.; Temprano, J.; Sánchez, J.P.R. Sustainable Urban Drainage System (SUDS) modeling supporting decision-making: A systematic quantitative review. Sci. Total Environ. 2021, 806, 150447. [Google Scholar] [CrossRef]
- European Commission. The EU and Nature-Based Solutions. 2017. Available online: https://ec.europa.eu/info/research-and-innovation/research-area/environment/nature-based-solutions_en (accessed on 2 February 2022).
- Martín, E.G.; Costa, M.M.; Máñez, K.S. An operationalized classification of Nature Based Solutions for water-related hazards: From theory to practice. Ecol. Econ. 2019, 167, 106460. [Google Scholar] [CrossRef]






| Ecosystem Services | Evaluation Criteria | ||
|---|---|---|---|
| Provision | Fresh water | Irrigation water | Green areas |
| Regulation | Water regulation | Run-off problems | Impervious areas Pipe overflow Flooding hazard |
| Water treatment | Run-off water quality | Population density Land uses | |
| Microclimate regulation | Surfaces | Impervious surface Commercial land use | |
| Global climate regulation | Carbon sequestration | Tree presence Green areas | |
| Air quality regulation | Air quality | High traffic road | |
| Population | Vulnerable population | ||
| Socio-Cultural | Aesthetic value | Public space | Green areas |
| Population | Socio- economic status | ||
| Educational value | Population | Population density | |
| Ecosystem Services | Evaluation Criteria | ||
|---|---|---|---|
| Provision | Fresh water | Available water | Run-off quality |
| Regulation | Water regulation | Peak discharge reduction | Infiltration rate Available area for intervention |
| Water treatment | Improvements on run-off water quality | Available green area | |
| Microclimate regulation | Microclimate creation | Available green area | |
| Global climate regulation | Carbon sequestration | Available green area | |
| Air quality regulation | Air contaminant capturing | Available green area | |
| Socio-Cultural | Aesthetic value | Enhancing amenity | Available green area |
| Public space type | |||
| Educational value | Public (users) | Key infrastructure | |
| Pedestrian traffic | |||
| SUDS Type | Physical Restrictions | Geometric Restrictions | |||||
|---|---|---|---|---|---|---|---|
| Slope (%) | Water Table Distance (m) | Infiltration Rate (mm/h) | Area (m2) | Wide (m) | Length (m) | ||
| Max | Min | Min | Min | Min | Min | Min | |
| Gassed swales | 10 | 1 | 1.5 | 13 | 15 | 0.5 | 30 |
| Infiltration trenches | 5 | 1 | 3 | 7 | 15 | 0.5 | 30 |
| Permeable pavement | 5 | 0.5 | 3 | 13 | 1 | 1 | 1 |
| Wet ponds | 15 | - | 1.3 | - | 150 | 8 | 20 |
| Bioretention zones | 10 | - | 1.8 | 7 | 1 | 0.6 | 1.2 |
| Tree boxes | 10 | - | 1 | 7 | 2.2 | 1.5 | 1.5 |
| Constructed wetlands | 15 | 1 | 1.3 | - | 1000 | 18 | 56 |
| Infiltration basins | 3 | 0 | 1.2 | 13 | 45 | 5 | 9 |
| Extended dry retention basin | 15 | 1 | 3 | 7 | 45 | 5 | 9 |
| Aspect | Sc. | Ciudad Verde | Lagos de Torca (El Bosque) | Lagos de Torca (Tibabita) | El Reencuentro (Calle 24) | El Reencuentro (Calle 26) |
|---|---|---|---|---|---|---|
| Budget by scenario (USD 1) | A | - | - | - | - | - |
| B | $393,405 | $209,185 | $239,597 | $205,628 | $ 10,346,264 | |
| C | $786,810 | $418,371 | $479,195 | $411,254 | $ 20,692,529 | |
| D | $1,573,620 | $836,742 | $958,390 | $822,509 | $ 41,385,059 | |
| Total budget (USD 1) | - | $ 7,868,100 2 | $ 4,183,711 3 | $ 4,791,953 3 | $ 4,112,547 4 | $189, 945,452 5 |
| Aspect | Sc. | Ciudad Verde | Lagos de Torca (El Bosque) | Lagos de Torca (Tibabita) | El Reencuentro (Calle 24) | El Reencuentro (Calle 26) |
|---|---|---|---|---|---|---|
| Budget optimized value by scenario (USD) | A | $6,600,313 | $7,183,294 | $3,710,985 | $1,645,068 | |
| B | $372,322 | $188,267 | $232,702 | $193,464 | ||
| C | $763,165 | $390,141 | $468,978 | $371,682 | ||
| D | $1,561,588 | $775,971 | $ 942,696 | $793,655 | ||
| Run-off attenuation (m3/year) | A | 15,797 | 13,589 | 7318 | 16,512 | |
| B | 2515 | 4576 | 2255 | 14,607 | ||
| C | 10,781 | 9134 | 6428 | 15,937 | ||
| D | 15,639 | 12,410 | 7109 | 16,508 | ||
| Total run-off potential (m3/year) | - | 15,813 | 15,220 | 7708 | 16,961 | |
| Area for SUDS (m2) | A | 285,379 | 177,594 | 55,936 | 49,727 | |
| B | 105,029 | 130,616 | 20,312 | 36,888 | ||
| C | 246,655 | 159,011 | 43,829 | 47,633 | ||
| D | 285,379 | 184,598 | 55,936 | 49,727 | ||
| Total area for SUDS implementation (m2) | - | 330,515 | 348,499 | 130,132 | 49,727 | |
| Benefits generation- ecosystem services (-) | A | 99,202 | 327,112 | 109,717 | 109,533 | |
| B | 26,132 | 18,110 | 9,336 | 18,523 | ||
| C | 38,612 | 30,895 | 16,031 | 34,071 | ||
| D | 79,684 | 52.611 | 24,442 | 109,533 | ||
Publisher’s Note: MDPI stays neutral with regard to jurisdictional claims in published maps and institutional affiliations. |
© 2022 by the authors. Licensee MDPI, Basel, Switzerland. This article is an open access article distributed under the terms and conditions of the Creative Commons Attribution (CC BY) license (https://creativecommons.org/licenses/by/4.0/).
Share and Cite
Uribe-Aguado, J.; Jiménez-Ariza, S.L.; Torres, M.N.; Bernal, N.A.; Giraldo-González, M.M.; Rodríguez, J.P. A SUDS Planning Decision Support Tool to Maximize Ecosystem Services. Sustainability 2022, 14, 4560. https://doi.org/10.3390/su14084560
Uribe-Aguado J, Jiménez-Ariza SL, Torres MN, Bernal NA, Giraldo-González MM, Rodríguez JP. A SUDS Planning Decision Support Tool to Maximize Ecosystem Services. Sustainability. 2022; 14(8):4560. https://doi.org/10.3390/su14084560
Chicago/Turabian StyleUribe-Aguado, Juliana, Sara L. Jiménez-Ariza, María N. Torres, Natalia A. Bernal, Mónica M. Giraldo-González, and Juan P. Rodríguez. 2022. "A SUDS Planning Decision Support Tool to Maximize Ecosystem Services" Sustainability 14, no. 8: 4560. https://doi.org/10.3390/su14084560
APA StyleUribe-Aguado, J., Jiménez-Ariza, S. L., Torres, M. N., Bernal, N. A., Giraldo-González, M. M., & Rodríguez, J. P. (2022). A SUDS Planning Decision Support Tool to Maximize Ecosystem Services. Sustainability, 14(8), 4560. https://doi.org/10.3390/su14084560

