Modeling of Land Use and Land Cover (LULC) Change Based on Artificial Neural Networks for the Chapecó River Ecological Corridor, Santa Catarina/Brazil
Abstract
1. Introduction
2. Materials and Methods
2.1. Study Area
2.2. Modeling LULC Change
2.3. Data Issues
LULC Class Nomenclature Definition
2.4. Parameterization of the LULC Simulation Model
2.5. Validation of the Model
2.6. Analysis of LULC Changes
2.7. Assessment of the Effectiveness of the Chapecó River EC as a Public Policy
3. Results and Discussions
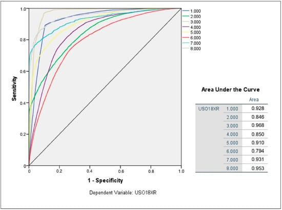
3.1. Model Validation and LULC Simulation for 2036
3.2. LULC Changes
3.2.1. Spatial and Temporal Evolution of Land Use and Land Cover
3.2.2. LULC Changes and the Main Systematic Transitions Observed between the Years 2000 and 2018
3.2.3. LULC Changes and the Main Simulated Systematic Transitions for the Year 2036
3.3. Effectiveness of the Chapecó River EC as an Environmental Management Tool
4. Conclusions
Supplementary Materials
Author Contributions
Funding
Acknowledgments
Conflicts of Interest
References
- Foley, J.A.; Ramankutty, N.; Brauman, K.A.; Cassidy, E.S.; Gerber, J.S.; Johnston, M.; Mueller, N.D.; O’Connell, C.; Ray, D.K.; West, P.C.; et al. Solutions for a cultivated planet. Nature 2011, 478, 337–342. [Google Scholar] [CrossRef]
- Lambin, E.F.; Turner, B.L.; Geist, H.J.; Agbola, S.B.; Angelsen, A.; Bruce, J.W.; Coomes, O.T.; Dirzo, R.; Fischer, G.; Folke, C.; et al. The causes of land-use and land-cover change: Moving beyond the myths. Glob. Environ. Chang. 2001, 11, 261–269. [Google Scholar] [CrossRef]
- Feranec, J.; Soukup, T.; Taff, G.N.; Stych, P.; Bicik, I. Overview of changes in land use and land cover in Eastern Europe. In Land-Cover and Land-Use Changes in Eastern Europe after the Collapse of the Soviet Union in 1991; Springer: Cham, Switzerland, 2016; pp. 13–33. ISBN 9783319426389. [Google Scholar]
- Fuchs, R.; Herold, M.; Verburg, P.H.; Clevers, J.G.P.W.; Eberle, J. Gross changes in reconstructions of historic land cover/use for Europe between 1900 and 2010. Glob. Chang. Biol. 2015, 21, 299–313. [Google Scholar] [CrossRef]
- Lambin, E.F.; Geist, H.; Rindfuss, R.R. Introduction: Local Processes with Global Impacts. In Land Use and Land Cover Change; Lambin, E.F., Geist, H., Eds.; Springer: Berlin/Heidelberg, Germany, 2006; pp. 1–8. ISBN 9783540322016. [Google Scholar]
- Geist, H.; McConnell, W.; Lambin, E.F.; Moran, E.; Alves, D.; Rudel, T. Causes and Trajectories of Land-Use/Cover Change. In Land-Use and Land-Cover Change; Lambin, E.F., Geist, H., Eds.; Springer: Berlin/Heidelberg, Germany, 2006; pp. 41–70. ISBN 978-3-540-32201-6. [Google Scholar]
- Martínez, S.; Mollicone, D. From Land Cover to Land Use: A Methodology to Assess Land Use from Remote Sensing Data. Remote Sens. 2012, 4, 1024–1045. [Google Scholar] [CrossRef]
- Briassoulis, H. Analysis of Land Use Change: Theoretical and Modeling Approaches; Regional Research Institute, WVU-West Virginia University: Morgantown, WV, USA, 2000. [Google Scholar]
- FAO. Planning for Sustainable Use of Land Resources: Towards a New Approach; Food and Agriculture Organisation: Rome, Italy, 1995; ISBN 9251037248. [Google Scholar]
- Turner, B., II; Skole, D.; Sanderson, S.; Fischer, G.; Fresco, L.; Leemans, R. Land-Use and Land-Cover Change Science/Research Plan; IGBP: Stockholm, Sweden; Geneva, Switzerland, 1995. [Google Scholar]
- Quan, B.; Chen, J.-F.; Qiu, H.-L.; Römkens, M.J.M.; Yang, X.-Q.; Jiang, S.-F.; Li, B.-C. Spatial-Temporal Pattern and Driving Forces of Land Use Changes in Xiamen. Pedosphere 2006, 16, 477–488. [Google Scholar] [CrossRef]
- Fisher, P.; Comber, A.; Wadsworth, R. Land use and land cover: Contradiction or complement. In Re-Presenting GIS; Fisher, P., Unwin, D.J., Eds.; John Wiley & Sons Ltd.: New York, NY, USA, 2005; ISBN 9780470848470. [Google Scholar]
- Verburg, P.H.; Schot, P.P.; Dijst, M.J.; Veldkamp, A. Land use change modelling: Current practice and research priorities. GeoJournal 2004, 61, 309–324. [Google Scholar] [CrossRef]
- Liu, J.; Tang, Z.H.; Zeng, F.; Li, Z.; Zhou, L. Artificial neural network models for prediction of cardiovascular autonomic dysfunction in general Chinese population. BMC Med. Inform. Decis. Mak. 2013, 13, 1–7. [Google Scholar] [CrossRef]
- Ahmed, F.E. Artificial neural networks for diagnosis and survival prediction in colon cancer. Mol. Cancer 2005, 4, 1–12. [Google Scholar] [CrossRef]
- Pianucci, M.N. Uma Proposta para a Obtenção da População Sintética Através de Dados Agregados para Modelagem de Geração de Viagens por Domicílio. Ph.D. Thesis, Universidade de São Paulo, scola de Engenharia de São Carlos, Butanta, Brazil, 2016. [Google Scholar]
- Le, L.T.; Nguyen, H.; Dou, J.; Zhou, J. A comparative study of PSO-ANN, GA-ANN, ICA-ANN, and ABC-ANN in estimating the heating load of buildings’ energy efficiency for smart city planning. Appl. Sci. 2019, 9, 2630. [Google Scholar] [CrossRef]
- Ghadami, N.; Gheibi, M.; Kian, Z.; Faramarz, M.G.; Naghedi, R.; Eftekhari, M.; Fathollahi-Fard, A.M.; Dulebenets, M.A.; Tian, G. Implementation of solar energy in smart cities using an integration of artificial neural network, photovoltaic system and classical Delphi methods. Sustain. Cities Soc. 2021, 74, 103149. [Google Scholar] [CrossRef]
- Padilha, D.G. Modelo de Apoio à Decisão Aplicado ao Planejamento Territorial de Silvicultura Baseado em Análise Multicritério de Redes Neurais Artificiais. Ph.D. Thesis, Universidade Federal de Santa Maria, Santa Maria, Brazil, 2014. [Google Scholar]
- Gomes, E.; Abrantes, P.; Banos, A.; Rocha, J.; Buxton, M. Farming under urban pressure: Farmers’ land use and land cover change intentions. Appl. Geogr. 2019, 102, 58–70. [Google Scholar] [CrossRef]
- Gomes, E.; Banos, A.; Abrantes, P.; Rocha, J.; Kristensen, S.B.P.; Busck, A. Agricultural land fragmentation analysis in a peri-urban context: From the past into the future. Ecol. Indic. 2019, 97, 380–388. [Google Scholar] [CrossRef]
- Faceli, K.; Lorena, A.C.; Gama, J.; Carvalho, A.C.P.L.F. Inteligência Artificial: Uma Abordagem de Aprendizado de Máquina; LTC: Rio de Janeiro, Brazil, 2011; ISBN 8521618808. [Google Scholar]
- Agarwal, C.; Green, G.M.; Grove, J.M.; Evans, T.P.; Schweik, C.M. A Review and Assessment of Land-Use Change Models: Dynamics of Space, Time, and Human Choice. Apollo Int. Mag. Art Antiq. 2002, 62. [Google Scholar] [CrossRef]
- Hathout, S. The use of GIS for monitoring and predicting urban growth in East and West St Paul, Winnipeg, Manitoba, Canada. J. Environ. Manag. 2002, 66, 229–238. [Google Scholar] [CrossRef]
- Weng, Q. Land use change analysis in the Zhujiang Delta of China using satellite remote sensing, GIS and stochastic modelling. J. Environ. Manag. 2002, 64, 273–284. [Google Scholar] [CrossRef]
- Viana, C.M.; Rocha, J. Evaluating dominant land use/land cover changes and predicting future scenario in a rural region using a memoryless stochastic method. Sustainability 2020, 12, 4332. [Google Scholar] [CrossRef]
- Anand, J.; Gosain, A.K.; Khosa, R. Prediction of land use changes based on Land Change Modeler and attribution of changes in the water balance of Ganga basin to land use change using the SWAT model. Sci. Total Environ. 2018, 644, 503–519. [Google Scholar] [CrossRef]
- Da Silva Pinto, F.J.P. Sistemas Complexos, Modelação e Geosimulação da Evolução de Padrões de Uso e Ocupação do Solo. Ph.D. Thesis, Universidade de Lisboa, Instituo de Geografia e Ordenamento do Território, Lisbon, Portugal, 2012. [Google Scholar]
- Yirsaw, E.; Wu, W.; Shi, X.; Temesgen, H.; Bekele, B. Land Use/Land Cover change modeling and the prediction of subsequent changes in ecosystem service values in a coastal area of China, the Su-Xi-Chang region. Sustainability 2017, 9, 1204. [Google Scholar] [CrossRef]
- Liu, Y.; Feng, Y. Simulating the impact of economic and environmental strategies on future urban growth scenarios in Ningbo, China. Sustainability 2016, 8, 1045. [Google Scholar] [CrossRef]
- Hamad, R.; Balzter, H.; Kolo, K. Predicting land use/land cover changes using a CA-Markov model under two different scenarios. Sustainability 2018, 10, 3421. [Google Scholar] [CrossRef]
- Sinha, S.; Sharma, L.K.; Nathawat, M.S. Improved Land-use/Land-cover classification of semi-arid deciduous forest landscape using thermal remote sensing. Egypt. J. Remote Sens. Space Sci. 2015, 18, 217–233. [Google Scholar] [CrossRef]
- Li, X.; Yeh, A.G.O. Neural-network-based cellular automata for simulating multiple land use changes using GIS. Int. J. Geogr. Inf. Sci. 2002, 16, 323–343. [Google Scholar] [CrossRef]
- Morgado, P.; Gomes, E.; Costa, N. Competing visions? Simulating alternative coastal futures using a GIS-ANN web application. Ocean Coast. Manag. 2014, 101, 79–88. [Google Scholar] [CrossRef]
- Silva, L.P.; Xavier, A.P.C.; da Silva, R.M.; Santos, C.A.G. Modeling land cover change based on an artificial neural network for a semiarid river basin in northeastern Brazil. Glob. Ecol. Conserv. 2020, 21, e00811. [Google Scholar] [CrossRef]
- Azari, M.; Tayyebi, A.; Helbich, M.; Reveshty, M.A. Integrating cellular automata, artificial neural network, and fuzzy set theory to simulate threatened orchards: Application to Maragheh, Iran. GIScience Remote Sens. 2016, 53, 183–205. [Google Scholar] [CrossRef]
- Naushad, R.; Kaur, T.; Ghaderpour, E. Deep Transfer Learning for Land Use and Land Cover Classification: A Comparative Study. Sensors 2021, 21, 8083. [Google Scholar] [CrossRef]
- Solórzano, J.V.; Mas, J.F.; Gao, Y.; Gallardo-Cruz, J.A. Land use land cover classification with U-net: Advantages of combining sentinel-1 and sentinel-2 imagery. Remote Sens. 2021, 13, 3600. [Google Scholar] [CrossRef]
- Megahed, Y.; Cabral, P.; Silva, J.; Caetano, M. Land cover mapping analysis and urban growth modelling using remote sensing techniques in greater Cairo region-Egypt. ISPRS Int. J. Geo-Inf. 2015, 4, 1750–1769. [Google Scholar] [CrossRef]
- Lira, P.K.; Tambosi, L.R.; Ewers, R.M.; Metzger, J.P. Land-use and land-cover change in Atlantic Forest landscapes. For. Ecol. Manag. 2012, 278, 80–89. [Google Scholar] [CrossRef]
- Martínez-Vega, J.; Díaz, A.; Nava, J.M.; Gallardo, M.; Echavarría, P. Assessing land use-cover changes and modelling change scenarios in two mountain Spanish national parks. Environments 2017, 4, 79. [Google Scholar] [CrossRef]
- Fischer, M. Computational neural networks-tools for spatial data analysis. In Spatial Analysis and GeoComputation: Selected Essays; Springer: Berlin/Heidelberg, Germany, 2006; pp. 79–102. ISBN 3540357297. [Google Scholar]
- Fischer, M. Expert systems. In Spatial Analysis and GeoComputation: Selected Essays; Springer: Berlin/Heidelberg, Germany, 2006; pp. 61–76. ISBN 3540357297. [Google Scholar]
- Mather, P.M.; Openshaw, S.; Openshaw, C. Artificial Intelligence in Geography. Geogr. J. 1998, 164, 353. [Google Scholar] [CrossRef]
- Defries, R.S.; Rudel, T.; Uriarte, M.; Hansen, M. Deforestation driven by urban population growth and agricultural trade in the twenty-first century. Nat. Geosci. 2010, 3, 178–181. [Google Scholar] [CrossRef]
- Yoshikawa, S.; Sanga-Ngoie, K. Deforestation dynamics in Mato Grosso in the southern Brazilian Amazon using GIS and NOAA/AVHRR data. Int. J. Remote Sens. 2011, 32, 523–544. [Google Scholar] [CrossRef]
- Silva, J.; Abdon, M.; Silva, S.; Moraes, J. Evolution of deforestation in the brazilian pantanal and surroundings in the timeframe 1976–2008. Geografia 2011, 36, 35–55. [Google Scholar]
- Asner, G.P. Automated mapping of tropical deforestation and forest degradation: CLASlite. J. Appl. Remote Sens. 2009, 3, 33543. [Google Scholar] [CrossRef]
- Lipp-Nissinen, K.H.; De Sá Piñeiro, B.; Miranda, L.S.; De Paula Alves, A. Temporal dynamics of land use and cover in Paurá Lagoon region, Middle Coast of Rio Grande do Sul (RS), Brazil. J. Integr. Coast. Zone Manag. 2018, 18, 25–35. [Google Scholar] [CrossRef]
- Silva, E.A.; Ferreira, R.L.C.; da Silva, J.A.A.; Sá, I.B.; Duarte, S.M.A. Dinâmica do uso e coberura da tarra do município de Floresta, PE. Embrapa Semiárido-Artig. Periódico Indexado 2013, 43, 611. [Google Scholar] [CrossRef][Green Version]
- Rodrigues, L.P.; Leite, E.F. Dinâmica do uso e cobertura da terra na bacia hidrográfica do rio Aquidauana, MS. Os Desafios da Geografia Física na Fronteira do Conhecimento 2017, 1, 6817–6825. [Google Scholar] [CrossRef][Green Version]
- Souza, J.M.; Costa, E.M. Methodological proposal to analyze land use and land cover changes: The case of Santa Catarina state in Brazil from 2000 to 2010. Sustentabilidade em Debate 2020, 11, 485–517. [Google Scholar] [CrossRef]
- Epagri/Cepa. Síntese Anual da Agricultura de Santa Catarina; Epagri: Florianópolis, Brazil, 2019; p. 197. [Google Scholar]
- Pontius, R.G.; Shusas, E.; McEachern, M. Detecting important categorical land changes while accounting for persistence. Agric. Ecosyst. Environ. 2004, 101, 251–268. [Google Scholar] [CrossRef]
- Peponi, A.; Morgado, P.; Trindade, J. Combining Artificial Neural Networks and GIS Fundamentals for Coastal Erosion Prediction Modeling. Sustainability 2019, 11, 975. [Google Scholar] [CrossRef]
- Santa Catarina. Decreto no 2.957, de 20 de janeiro de 2010; Gov. do Estado St. Catarina: Florianópolis, Brazil, 2010. [Google Scholar]
- Zuchiwschi, E. Fatores de Influência na Conservação e Manejo de Florestas Nativas em Unidades de Produção Agrícolas do Corredor Ecológico Chapecó; Universidade Federal de Santa Catarina: Santa Catarina, Brazil, 2013. [Google Scholar]
- Socioambiental. Plano de Gestão do Corredor Ecológico Chapecó, Santa Catarina. Relatório Técnico; Socioambiental Consult; Assoc. e Fundação do Meio Ambient: Florianópolis, Brazil, 2009; p. 130. [Google Scholar]
- Secretaria de Estado do Planejamento: Diretoria de Geografia e Cartografia. Mapa Político de Santa Catarina—1:500,000. 2013. Available online: http://arcgis.ciram.sc.gov.br:6080/arcgis/rest/services/ESTACOES_METEO/Estudo_OMM_Estacoes/MapServer/5 (accessed on 1 August 2020).
- ArcWorld Supplement. Esri Data & Maps Media Kit. World Continents—1:15,000,000. Available online: https://www.greeni.nl/iguana/CMS.MetaDataEditDownload.cls?file=2:123155:2 (accessed on 1 August 2020).
- IBGE-Instituto Brasileiro de Geografia e Estatísitca. SIDRA—Sistema IBGE de Recuperação Automática. Available online: https://sidra.ibge.gov.br/home/pms/brasil (accessed on 30 June 2020).
- IBGE-Instituto Brasileiro de Geografia e Estatísitca Estimativas da população. Available online: https://www.ibge.gov.br/estatisticas/sociais/populacao/9103-estimativas-de-populacao.html?=&t=o-que-e (accessed on 10 July 2020).
- Ministério da Economia do Brasil. RAIS—Relação Anual de Informações Sociais. Available online: https://bi.mte.gov.br/bgcaged (accessed on 5 June 2020).
- Klein, R. Mapa Fitogeográfico do Estado de Santa Catarina; Flora Ilustrada Catarinense; Herbário Barbosa Rodrigues: Itajaí, Brazil, 1978; p. 24. [Google Scholar]
- Scheibe, L.F.; Benedet, C.; Guilardi, L.; Nierdele, S.; Veiga, S.M. Cadernos Geográficos. Dinâmica Territorial na Região de Chapecó: Estratégias e Conflitos; Universidade Federal de Santa Catarina, Centro de Filosofia e Ciências Humanas, Departamento de Geociências, Imprensa Departamento de Geociências: Florianópolis, Brazil, 2014; p. 155. [Google Scholar]
- Embrapa. Solos do Estado de Santa Catarina: Boletim de Pesquisa e Desenvolvimento; Embrapa Solos: Rio de Janeiro, Brazil, 2004; p. 745. [Google Scholar]
- Santa Catarina. Manual de Uso e Conservacao do Solo e da Agua: Projeto de Recuperacao, Conservacao e Manejo dos Recursos Naturais em Microbacias Hidrograficas; Secretaria de Estado da Agricultura e Abastecimento, Epagri: Florianópolis, Brazil, 1994; p. 384. [Google Scholar]
- Pandolfo, C.; Braga, H.J.; Silva, V.P., Jr.; Massignam, A.M.; Pereira, E.S.; Thomé, V.M.R.; Valci, F.V. Atlas climatológico digital do Estado de Santa Catarina. Florianópolis Epagri 2002, 1, 13. [Google Scholar]
- Projeto MapBiomas Coleção 4.1 da Série Anual de Mapas de Cobertura e Uso de Solo do Brasil. Projeto MapBiomas. 2020. Available online: https://mapbiomas.org/ (accessed on 1 August 2020).
- Ramankutty, N.; Graumlich, L.; Achard, F.; Alves, D.; Chhabra, A.; DeFries, R.S.; Foley, J.A.; Geist, H.; Houghton, R.A.; Goldewijk, K.K.; et al. Global Land-Cover Change: Recent Progress, Remaining Challenges. In Land-Use and Land-Cover Change; Lambin, E.F., Geist, H., Eds.; Springer: Berlin/Heidelberg, Germany, 2006; pp. 9–38. ISBN 9783540322016. [Google Scholar]
- Geist, H.; McConnell, W.; Lambin, E.F.; Moran, E.; Alves, D.; Rudel, T. Local Process and Global Impacts. In Land-Use and Land-Cover Change; Lambin, E.F., Geist, H., Eds.; Springer: Berlin/Heidelberg, Germany, 2006; ISBN 9783540322016. [Google Scholar]
- Gomes, L.C.; Bianchi, F.J.J.A.; Cardoso, I.M.; Schulte, R.P.O.; Arts, B.J.M.; Fernandes Filho, E.I. Land use and land cover scenarios: An interdisciplinary approach integrating local conditions and the global shared socioeconomic pathways. Land Use Policy 2020, 97, 104723. [Google Scholar] [CrossRef]
- National Imagery and Mapping Agency—NIMA e a National Aeronautics and Space Administration-NASA. SRTM—Shuttle Radar Topography Mission. Available online: https://www2.jpl.nasa.gov/srtm/ (accessed on 25 June 2020).
- OSM-OpenStreetMap. OpenStreetMap Data Extracts. Available online: https://download.geofabrik.de/ (accessed on 1 July 2020).
- Epagri/IBGE Folhas Topográficas de Santa Catarina 1:50,000. Available online: https://ciram.epagri.sc.gov.br/mapoteca/ (accessed on 25 June 2020).
- Centro de Socioeconomia e Planejamento Agrícola—Epagri/Cepa. Preço das Terras Agrícolas. Available online: https://cepa.epagri.sc.gov.br/index.php/produtos/mercado-agricola/precos-de-terra-agricola/ (accessed on 10 September 2020).
- PNUD—Programa das Nações para o Desenvolvimento. Atlas do Desenvolvimento Hunano no Brasil. Available online: http://www.atlasbrasil.org.br/ (accessed on 21 July 2020).
- ESRI. ArcGIS 10.7; ESRI: Redlands, CA, USA, 2017. [Google Scholar]
- Clark Labs. IDRISI Selva; IDRISI Production, Clark Labs-Clark University: Worcester, MA, USA, 2012; p. 45. [Google Scholar]
- Da Costa Gomes, E.J. Modéliser L’occupation du sol au Prisme des Intentions des Agriculteurs: Une Approche à Base D’agents; ’Université Paris 1—Panthéon—Sorbonne et de l’Université de Lisbonne: Lisboa, Portugal, 2019. [Google Scholar]
- Condessa, B.; Ramos, I.L.; da Saraiva, G.M.; Santos, C.; Silva, R.; Ezequiel, S. Identificação das Principais Forças Motrizes em Termos de Políticas Públicas na Alteração da Ocupação do Solo em Portugal Continental. In Uso e Ocupação do Solo em Portugal Continental Avaliação e Cenário Futuros Projeto LANDYN; DGT, Ed.; DGT: Lisboa, Portugal, 2014; pp. 65–86. ISBN 978-989-98477-9-8. [Google Scholar]
- DGT. Uso e Ocupação do Solo em Portugal Continental:Avaliação e Cenários Futuros Projeto LANDYN; Direção-Geral do Território (DGT): Lisboa, Portugal, 2014; ISBN 9789899847798. [Google Scholar]
- Pijanowski, B.C.; Brown, D.G.; Shellito, B.A.; Manik, G.A. Using neural networks and GIS to forecast land use changes: A Land Transformation Model. Comput. Environ. Urban Syst. 2002, 26, 553–575. [Google Scholar] [CrossRef]
- Abbas, Z.; Yang, G.; Zhong, Y.; Zhao, Y. Spatiotemporal change analysis and future scenario of lulc using the CA-ANN approach: A case study of the greater bay area, China. Land 2021, 10, 584. [Google Scholar] [CrossRef]
- Rahman, M.T.U.; Esha, E.J. Prediction of land cover change based on CA-ANN model to assess its local impacts on Bagerhat, southwestern coastal Bangladesh. Geocarto Int. 2020, 1–23. [Google Scholar] [CrossRef]
- Dzieszko, P. Land-cover modelling using corine land cover data and multi-layer perceptron. Quaest. Geogr. 2014, 33, 5–22. [Google Scholar] [CrossRef]
- Bekesiene, S.; Smaliukiene, R.; Vaicaitiene, R. Using artificial neural networks in predicting the level of stress among military conscripts. Mathematics 2021, 9, 626. [Google Scholar] [CrossRef]
- IBM Corp. IBM SPSS Statistics for Windows; Version 24.0; IBM Corp.: Armonk, NY, USA, 2016. [Google Scholar]
- Majnik, M.; Bosnić, Z. ROC analysis of classifiers in machine learning: A survey. Intell. Data Anal. 2013, 17, 531–558. [Google Scholar] [CrossRef]
- Talukdar, S.; Singha, P.; Mahato, S.; Shahfahad; Pal, S.; Liou, Y.A.; Rahman, A. Land-use land-cover classification by machine learning classifiers for satellite observations-A review. Remote Sens. 2020, 12, 1135. [Google Scholar] [CrossRef]
- Pontius, R.G.; Schneider, L.C. Land-cover change model validation by an ROC method for the Ipswich watershed, Massachusetts, USA. Agric. Ecosyst. Environ. 2001, 85, 239–248. [Google Scholar] [CrossRef]
- Pontius, R.G.; Si, K. The total operating characteristic to measure diagnostic ability for multiple thresholds. Int. J. Geogr. Inf. Sci. 2014, 28, 570–583. [Google Scholar] [CrossRef]
- Mandrekar, J.N. Receiver operating characteristic curve in diagnostic test assessment. J. Thorac. Oncol. 2010, 5, 1315–1316. [Google Scholar] [CrossRef]
- Cristiano, M.V.M.B. Sensibilidade e Especificidade na Curva ROC Um Caso de Estudo. Master’s Thesis, Faculdade de Medicina, Universidade do Porto, Porto, Portugal, 2017. [Google Scholar]
- Souza, C.M.; Shimbo, J.Z.; Rosa, M.R.; Parente, L.L.; Alencar, A.A.; Rudorff, B.F.T.; Hasenack, H.; Matsumoto, M.; Ferreira, L.G.; Souza-Filho, P.W.M.; et al. Reconstructing three decades of land use and land cover changes in brazilian biomes with landsat archive and earth engine. Remote Sens. 2020, 12, 2735. [Google Scholar] [CrossRef]
- Pillar, V.D.; Tornquist, C.G.; Bayer, C. The southern Brazilian grassland biome: Soil carbon stocks, fluxes of greenhouse gases and some options for mitigation. Braz. J. Biol. 2012, 72, 673–681. [Google Scholar] [CrossRef]
- Krob, A.; Overbeck, G.; Mahler, J.K., Jr.; Urruth, L.; Malabarba, L.; Chomenko, L.; Szevedo, M. Contribution of southern Brazil to the climate and biodiversity conservation agenda. Rev. Bio Divers. 2021, 1, 132–144. [Google Scholar]
- Dias, B.F. Degradação da biodiversidade e as metas de aichi no mundo e no Brasil: Um balanço dos avanços e das perspectivas. Bio Diverso 2021, 1, 132–144. [Google Scholar]
- Meneses, B.M.; Vale, M.J.; Reis, R. O Uso e Ocupação do Solo. In Uso e Ocupação do Solo em Portugal Continental Avaliação e Cenário Futuros Projeto Landyn; DGT, Ed.; DGT: Lisboa, Portugal, 2014; pp. 27–64. ISBN 978-989-98477-9-8. [Google Scholar]
- Braimoh, A.K. Random and systematic land-cover transitions in northern Ghana. Agric. Ecosyst. Environ. 2006, 113, 254–263. [Google Scholar] [CrossRef]
- Centro de Socioeconomia e Planejamento Agrícola—Epagri/Cepa. Infoagro—Produção Florestal. Available online: https://www.infoagro.sc.gov.br/index.php/safra/producao-florestal (accessed on 12 January 2022).
- Pillar, V.D.P.; Müller, S.C.; de Castilhos, S.Z.M.; Jacques, A.V.A. Campos Sulinos—Conservação e Uso Sustentável da Biodiversidade; MMA: Brasília, Brazil, 2009; ISBN 978-85-7738-117-3. [Google Scholar]
- Brasil. Lei no 12.651, de 25 de Maio de 2012. Estabelece o Código Florest. Bras. 2012. Available online: http://www.planalto.gov.br/ccivil_03/_ato2011-2014/2012/lei/l12651.htm (accessed on 25 January 2022).
- Centro de Socioeconomia e Planejamento Agrícola—Epagri/Cepa. Comércio Exterior. Available online: https://cepa.epagri.sc.gov.br/index.php/produtos/comercio-exterior/ (accessed on 12 January 2022).






| Data Source | Variables (Quantity) | Format | Year |
|---|---|---|---|
| MapBiomas [69] | 1 | raster | 2000 and 2018 |
| Center for Environmental Resources Information and Hydrometeorology-Epagri/Ciram [68] | 2 | raster | 2002 |
| Embrapa [66] | 1 | raster | 2004 |
| NIMA/NASA [73] | 2 | raster | 2000 |
| OSM/IBGE [74,75] | 1 | vector | 2018 |
| Agricultural Census/IBGE [61] | 10 | tabular | 2006 and 2017 |
| Demographic Census/IBGE [61] | 2 | tabular | 2000 and 2010 |
| Municipal Livestock Survey-PPM/IBGE [61] | 4 | tabular | 2000 and 2018 |
| Municipal agricultural production-PAM/IBGE [61] | 4 | tabular | 2002 and 2017 |
| Production of Vegetable Extraction and Forestry-PEVS/IBGE [61] | 1 | tabular | 2000 and 2018 |
| Gross Domestic Product of the Municipality/IBGE [61] | 2 | tabular | 2000 and 2018 |
| Population estimate/IBGE [61] | 1 | tabular | 2000 and 2018 |
| Center of Socioeconomics and Agricultural Planning-Epagri/Cepa [76] | 1 | tabular | 2000 and 2018 |
| Atlas of Human Development of Brazil/UNDP [77] | 1 | tabular | 2000 and 2010 |
| Annual Social Information Report—RAIS/Ministry of Economy [63] | 4 | tabular | 2006 and 2018 |
| Dimension | Driving Forces |
|---|---|
| Physical/natural | Land use and land cover |
| Temperature | |
| Accumulated precipitation | |
| Type of soil | |
| Type of relief | |
| Altimetry | |
| Economic | Road network |
| Rural agribusiness | |
| Cattle herd | |
| Swine Herd | |
| Chicken Herd | |
| Formal employment—commerce | |
| Formal employment—industry | |
| Formal employment—agriculture | |
| Financing—Pronaf | |
| Processing industries | |
| Corn yield | |
| Soybean yield | |
| Bean yield | |
| Tobacco yield | |
| Gross Domestic Product—GDP | |
| Agricultural land price | |
| Per capita income | |
| Log Production | |
| Gross value added of agriculture and cattle raising | |
| Milk production value | |
| Social | Family agriculture |
| Land structure | |
| Schooling of the head farmer | |
| Age of the head farmer | |
| Human Development Index—HDI | |
| Rural workers | |
| Technology | Use of agrochemicals |
| Mechanization in the rural property | |
| Technical orientation | |
| Population | Population density |
| Rural population |
| LULC Class | Description |
|---|---|
| Forest (forest formation) | Dense, open, and mixed ombrophilous forest, semi-deciduous and deciduous seasonal forest, and pioneer formation. |
| Silviculture (forest plantation) | Planted tree species for commercial use (e.g., eucalyptus, pinus and araucaria). |
| Grassland | Savannahs, park and grassland steppe savannahs, steppe and shrub, and herbaceous pioneers (natural fields). |
| Pasture | Pasture areas, natural or planted, related to the farming activity. |
| Agriculture (annual and perennial crop) | Areas predominantly occupied with annual crops (short to medium-term crops, usually with a vegetative cycle of less than one year, that has to be re-planted after harvest) and in some regions with perennial crops (areas occupied with crops with a long cycle (more than one year), which allow successive harvests without the need for a new crop). |
| Mosaic (mosaic of agriculture and pasture) | Farming areas where it was not possible to distinguish between pasture and agriculture. |
| Artificial Area (urban infrastructure + other non-vegetated area) | Urban infrastructure: urban areas with a predominance of non-vegetated surfaces, including roads, highways and constructions, and other non-vegetated area non-permeable surface areas (infrastructure, urban expansion or mining) not mapped into their classes and regions of exposed soil in natural or crop areas. |
| Water bodies (river, lake and ocean) | rivers, lakes, dams, reservoirs and other water bodies. |
| Parameter | Parameterization Object | Parameterization Adopted | |||||||
|---|---|---|---|---|---|---|---|---|---|
| Constants parameters | Input layer | Independent variables | 67 | ||||||
| Rescaling method | Normalized | ||||||||
| Hidden layer | Activation function | Hyperbolic tangent | |||||||
| Output layer | Dependent variable | LULC 2018 | |||||||
| Activation function | Softmax | ||||||||
| Error function | Cross-entropy | ||||||||
| ANN Models | |||||||||
| ANN1 | ANN2 | ANN3 | ANN4 | ANN5 | ANN6 | ANN7 | ANN8 | ||
| Parameters | Partitions | 7-2-1 | 6-2-2 | 7-2-1 | 6-2-2 | 7-2-1 | 6-2-2 | 7-2-1 | 6-2-2 |
| Hidden layer | 1 | 1 | 1 | 1 | 2 | 2 | 2 | 2 | |
| Neurons | 56 | 56 | 56 | 56 | 49-49 | 49-49 | 49-49 | 49-49 | |
| Iterations | 500 | 500 | 1000 | 1000 | 500 | 500 | 1000 | 1000 | |
| Change Metrics | Description |
|---|---|
| Persistence (Pjj) | Percentage of LULC class area that did not change over the time interval considered (diagonal of the transition matrix). |
| Gain (Gj) | Difference of the total value of each LULC class from the final time (P+j) and the persistence value (Pjj). |
| Loss (Lj) | Difference of the total value of each LULC class from the initial time (Pj+) and the persistence value (Pjj). |
| Total change (Cj) | Sum of the gain (Gj) and loss (Lj) of each LULC class. |
| Swap (Sj) | Swap trend: twice whichever presents the smaller value (gain or loss), for each LULC. |
| Net change (Dj) | Absolute value of the area difference for each class at the final time and at the initial time. |
| Gain-to-loss (G/L) | Proportion of gain compared to loss. |
| Loss-to-persistence (Lp) | Proportion of loss compared to persistence. |
| Gain-to-persistence (Gp) | Proportion of gain compared to persistence. |
| ANN Models | |||||||||
|---|---|---|---|---|---|---|---|---|---|
| ANN1 | ANN2 | ANN3 | ANN4 | ANN5 | ANN6 | ANN7 | ANN8 | ||
| Results | Cross-entropy error | 133,961.6 | 134,384.8 | 135,483.9 | 134,766.5 | 134,606.6 | 134,151.7 | 134,429.9 | 134,039.8 |
| Percent Correct | 67.1 | 67.1 | 67.1 | 67.1 | 67.1 | 66.8 | 67.0 | 67.1 | |
| Training time | 0:15:14.9 | 0:16:12.2 | 0:14:51.0 | 0:17:13.1 | 0:28:17.8 | 0:21:27.4 | 0:27:29.9 | 0:22:06.2 | |
| LULC Class | 2000 | 2018 | 2036 |
|---|---|---|---|
| Forest | 2418.36 | 2097.62 | 2418.25 |
| Silviculture | 315.60 | 914.02 | 422.88 |
| Grassland | 350.55 | 148.99 | 34.22 |
| Pasture | 1699.32 | 886.34 | 1306.09 |
| Agriculture | 1787.50 | 2416.28 | 2637.90 |
| Mosaic | 614.54 | 677.71 | 363.66 |
| Artificial Area | 30.70 | 50.14 | 31.65 |
| Water bodies | 25.76 | 51.23 | 27.68 |
| Total | 7242.33 | 7242.33 | 7242.33 |
| 2018 | |||||||||
|---|---|---|---|---|---|---|---|---|---|
| LULC Class | Forest | Silviculture | Grassland | Pasture | Agriculture | Mosaic | Artificial Area | Water Bodies | |
| 2000 | Forest | 25.85 ** | 3.42 * | 0.00 | 0.77 | 1.74 | 1.42 | 0.02 | 0.17 |
| Silviculture | 0.07 | 4.25 ** | 0.00 | 0.01 | 0.01 | 0.01 | 0.00 | 0.01 | |
| Grassland | 0.05 | 0.60 | 1.51 ** | 0.52 | 1.96 | 0.18 | 0.00 | 0.01 | |
| Pasture | 1.71 | 2.93 | 0.41 | 8.59 ** | 5.46 * | 4.17 * | 0.09 | 0.10 | |
| Agriculture | 0.24 | 0.60 | 0.13 | 1.22 | 21.54 ** | 0.77 | 0.10 | 0.08 | |
| Mosaic | 1.03 | 0.82 | 0.00 | 1.10 | 2.65 | 2.78 ** | 0.09 | 0.03 | |
| Artificial Area | 0.00 | 0.00 | 0.00 | 0.01 | 0.00 | 0.01 | 0.40 ** | 0.00 | |
| Water bodies | 0.01 | 0.00 | 0.00 | 0.02 | 0.00 | 0.01 | 0.00 | 0.31 ** | |
| LULC Class | Pj | Gj | Lj | Cj | Sj | Dj | G/L | Lp | Gp |
|---|---|---|---|---|---|---|---|---|---|
| Forest | 25.85 | 3.11 | 7.54 | 10.66 | 6.23 | 4.43 | 0.41 | 0.29 | 0.12 |
| Silviculture | 4.25 | 8.37 | 0.11 | 8.48 | 0.22 | 8.26 | 76.18 | 0.03 | 1.97 |
| Grassland | 1.51 | 0.55 | 3.33 | 3.87 | 1.09 | 2.78 | 0.16 | 2.20 | 0.36 |
| Pasture | 8.59 | 3.65 | 14.87 | 18.52 | 7.29 | 11.23 | 0.25 | 1.73 | 0.42 |
| Agriculture | 21.54 | 11.82 | 3.14 | 14.96 | 6.28 | 8.68 | 3.77 | 0.15 | 0.55 |
| Mosaic | 2.78 | 6.58 | 5.71 | 12.29 | 11.42 | 0.87 | 1.15 | 2.05 | 2.37 |
| Artificial Area | 0.40 | 0.29 | 0.03 | 0.32 | 0.05 | 0.27 | 11.13 | 0.07 | 0.74 |
| Water bodies | 0.31 | 0.39 | 0.04 | 0.43 | 0.08 | 0.35 | 9.58 | 0.13 | 1.25 |
| Total | 65.23 | 34.77 | 34.77 | 34.77 | 16.33 | 18.44 |
| Inter-Class LULC Transitions in Terms of Gains (2000–2018) | |||
|---|---|---|---|
| Transition | Observed minus expected (%) | Difference divided by expected | Interpretation of systematic transition |
| Forest in 2000 and Silviculture in 2018 | 0.50 | 0.17 | When silviculture gains, it replaces forest |
| Forest in 2000 and Agriculture in 2018 | −3.50 | −0.67 | When agriculture gains, it does not replace forest |
| Grassland in 2000 and Agriculture in 2018 | 1.20 | 1.58 | When agriculture gains, it replace grassland |
| Pasture in 2000 and Mosaic in 2018 | 2.48 | 1.47 | When mosaic gains, it replacespasture |
| Inter-Class LULC Transitions in Terms of Losses (2000–2018) | |||
| Transition | Observed minus expected (%) | Difference divided by expected | Interpretation of systematic transition |
| Forest in 2000 and Silviculture in 2018 | 2.08 | 1.55 | When forest loses, silviculture replaces it |
| Forest in 2000 and Agriculture in 2018 | −1.80 | −0.51 | When forest loses, agriculture does not replace it |
| Altitude fields in 2000 and Agriculture in 2018 | 0.83 | 0.73 | When grassland loses, agriculture replaces it |
| Pasture in 2000 and Mosaic in 2018 | 2.58 | 1.63 | When pasture loses, mosaic replaces it |
| 2036 | |||||||||
|---|---|---|---|---|---|---|---|---|---|
| LULC Class | Forest | Silviculture | Grassland | Pasture | Agriculture | Mosaic | Artificial Area | Water Bodies | |
| 2018 | Forest | 25.85 ** | 0.27 | 0.01 | 1.30 | 0.87 | 0.64 | 0.00 | 0.02 |
| Silviculture | 3.42 * | 4.78 ** | 0.04 | 2.27 | 1.58 | 0.52 | 0.00 | 0.00 | |
| Grassland | 0.00 | 0.00 | 0.19 ** | 0.39 | 1.47 | 0.00 | 0.00 | 0.00 | |
| Pasture | 0.77 | 0.30 | 0.06 | 7.13 ** | 3.19 * | 0.75 | 0.01 | 0.02 | |
| Agriculture | 1.74 | 0.20 | 0.16 | 3.59 * | 26.50 ** | 1.16 | 0.00 | 0.00 | |
| Mosaic | 1.42 | 0.27 | 0.02 | 3.20 * | 2.55 | 1.87 ** | 0.02 | 0.01 | |
| Artificial Area | 0.02 | 0.00 | 0.00 | 0.06 | 0.15 | 0.06 | 0.40 ** | 0.00 | |
| Water bodies | 0.17 | 0.01 | 0.00 | 0.08 | 0.12 | 0.01 | 0.00 | 0.32 ** | |
| LULC Class | Pj | Gj | Lj | Cj | Sj | Dj | G/L | Lp | Gp |
|---|---|---|---|---|---|---|---|---|---|
| Forest | 25.85 | 7.54 | 3.12 | 10.66 | 6.23 | 4.43 | 2.42 | 0.12 | 0.29 |
| Silviculture | 4.78 | 1.06 | 7.84 | 8.89 | 2.11 | 6.78 | 0.13 | 1.64 | 0.22 |
| Grassland | 0.19 | 0.29 | 1.87 | 2.16 | 0.57 | 1.58 | 0.15 | 10.09 | 1.55 |
| Pasture | 7.13 | 10.90 | 5.11 | 16.01 | 10.21 | 5.80 | 2.14 | 0.72 | 1.53 |
| Agriculture | 26.50 | 9.92 | 6.86 | 16.78 | 13.72 | 3.06 | 1.45 | 0.26 | 0.37 |
| Mosaic | 1.87 | 3.15 | 7.49 | 10.64 | 6.31 | 4.34 | 0.42 | 4.01 | 1.69 |
| Artificial Area | 0.40 | 0.04 | 0.29 | 0.33 | 0.07 | 0.26 | 0.12 | 0.72 | 0.09 |
| Water bodies | 0.32 | 0.07 | 0.39 | 0.46 | 0.13 | 0.33 | 0.17 | 1.23 | 0.21 |
| Total | 67.04 | 32.96 | 32.96 | 32.96 | 19.68 | 13.28 |
| Inter-Class LULC Transitions in Terms of Gains (2018–2036) | |||
|---|---|---|---|
| Transition | Observed minus expected (%) | Difference divided by expected | Interpretation of systematic transition |
| Silviculture in 2018 and Forest in 2036 | 2.08 | 1.55 | When forest gains, it replaces silviculture |
| Forest in 2018 and Agriculture in 2036 | −3.44 | −0.80 | When agriculture gains, it does not replace forest |
| Grassland in 2018 and Agriculture in 2036 | 1.17 | 3.81 | When agriculture gains, it replaces grassland weak |
| Mosaic in 2018 and Pasture in 2036 | 2.04 | 1.75 | When pasture gains, it replaces mosaic |
| Inter-Class LULC Transitions in Terms of Losses (2018–2036) | |||
| Transition | Observed minus expected (%) | Difference divided by expected | Interpretation of systematic transition |
| Silviculture in 2018 and Forest in 2036 | 0.64 | 0.23 | When silviculture loses, forest replaces it. This signal is weak |
| Forest in 2018 and Agriculture in 2036 | −0.83 | −0.49 | When forest loses, agriculture does not replace it |
| Grassland in 2018 and Agriculture in 2036 | 0.79 | 1.15 | When grassland loses, agriculture replaces it |
| Mosaic in 2018 and Pasture in 2036 | 1.78 | 1.25 | When mosaic loses, pasture replaces it |
Publisher’s Note: MDPI stays neutral with regard to jurisdictional claims in published maps and institutional affiliations. |
© 2022 by the authors. Licensee MDPI, Basel, Switzerland. This article is an open access article distributed under the terms and conditions of the Creative Commons Attribution (CC BY) license (https://creativecommons.org/licenses/by/4.0/).
Share and Cite
Souza, J.M.d.; Morgado, P.; Costa, E.M.d.; Vianna, L.F.d.N. Modeling of Land Use and Land Cover (LULC) Change Based on Artificial Neural Networks for the Chapecó River Ecological Corridor, Santa Catarina/Brazil. Sustainability 2022, 14, 4038. https://doi.org/10.3390/su14074038
Souza JMd, Morgado P, Costa EMd, Vianna LFdN. Modeling of Land Use and Land Cover (LULC) Change Based on Artificial Neural Networks for the Chapecó River Ecological Corridor, Santa Catarina/Brazil. Sustainability. 2022; 14(7):4038. https://doi.org/10.3390/su14074038
Chicago/Turabian StyleSouza, Juliana Mio de, Paulo Morgado, Eduarda Marques da Costa, and Luiz Fernando de Novaes Vianna. 2022. "Modeling of Land Use and Land Cover (LULC) Change Based on Artificial Neural Networks for the Chapecó River Ecological Corridor, Santa Catarina/Brazil" Sustainability 14, no. 7: 4038. https://doi.org/10.3390/su14074038
APA StyleSouza, J. M. d., Morgado, P., Costa, E. M. d., & Vianna, L. F. d. N. (2022). Modeling of Land Use and Land Cover (LULC) Change Based on Artificial Neural Networks for the Chapecó River Ecological Corridor, Santa Catarina/Brazil. Sustainability, 14(7), 4038. https://doi.org/10.3390/su14074038

