Climate Change Affects Crop Production Potential in Semi-Arid Regions: A Case Study in Dingxi, Northwest China, in Recent 30 Years
Abstract
:1. Introduction
2. Materials and Methods
2.1. Research Sites
2.2. Data Resources of Climatic Factors and Crops Yield
2.3. Research Methods
2.3.1. Estimation of Crop Production Potential (CPP)
2.3.2. Correlation Analysis of Standard CPP with Climate Factors and Actual Crop Yield
2.3.3. Establishment of Index System of Agricultural Ecosystem Adaptability
3. Results
3.1. Change in Climate Factors in Dingxi City
3.2. Change in Crop Production Potential (CPP) Affected by Climate Factors
3.3. Correlation of Standard CPP with Climate Factors
3.4. Correlation between Standard CPP and Actual Crop Yield
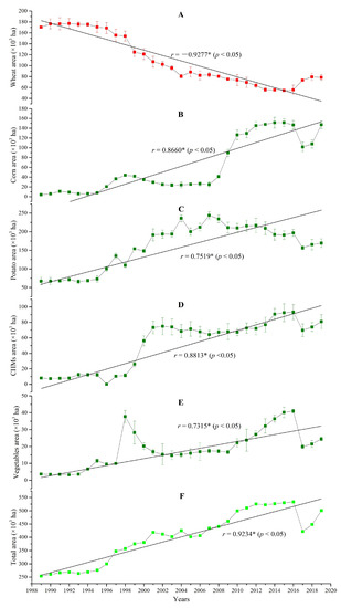
3.5. Change in Cultivation Area of the Five Crops
3.6. Change in Agricultural Ecosystem Adaptability
4. Discussion
5. Conclusions
Author Contributions
Funding
Data Availability Statement
Conflicts of Interest
References
- Li, F.; Li, Y.; Ma, S. Grain production potential change in different geographical units: A case-study of Shaanxi Province, China. J. Agric. Sci. 2019, 157, 1–11. [Google Scholar]
- Houghton, J.T. Climate change 2001: The scientific basis. Neth. J. Geosci. 2001, 87, 197–199. [Google Scholar]
- IPCC (Intergovernmental Panel on Climate Change). Climate Change 2014; Cambridge University Press: Cambridge, UK, 2014. [Google Scholar]
- Howden, S.M.; Soussana, O.; Tubiello, F.N.; Chhetri, N.; Dunlop, M.; Meinke, H. Climate change and food security special feature: Adapting agriculture to climate change. Proc. Natl. Acad. Sci. USA 2007, 104, 19691–19696. [Google Scholar] [CrossRef] [PubMed] [Green Version]
- Sade, N.; Peleg, Z. Future challenges for global food security under climate change. Plant Sci. Int. J. Exp. Plant Biol. 2020, 295, 110467. [Google Scholar] [CrossRef] [PubMed]
- Piao, S.; Ciais, P.; Huang, Y.; Shen, Z.; Peng, S.; Li, J.; Zhou, L.; Liu, H.; Ma, Y.; Ding, Y.; et al. The impacts of climate change on water resources and agriculture in China. Nature 2010, 467, 43–51. [Google Scholar] [CrossRef] [PubMed]
- Møller, H.B.; Sørensen, P.; Olesen, J.E.; Petersen, S.O.; Nyord, T.; Sommer, S.G. Agricultural biogas production—climate and environmental impacts. Sustainability 2022, 14, 1849. [Google Scholar] [CrossRef]
- Lobell, D.B.; Schlenker, W.; Costa-Roberts, J. Climate trends and global crop production since 1980. Science 2011, 333, 616–620. [Google Scholar] [CrossRef] [PubMed] [Green Version]
- Lobell, D.B.; Gourdji, S.M. The influence of climate change on global crop productivity. Plant Physiol. 2012, 160, 1686–1697. [Google Scholar] [CrossRef] [Green Version]
- Supit, I.; van Diepen, C.A.; de Wit, A.J.W.; Kabat, P.; Baruth, B.; Ludwig, F. Recent changes in the climatic yield potential of various crops in Europe. Agric. Syst. 2010, 103, 683–694. [Google Scholar] [CrossRef]
- Li, F.; Zhou, M.J.; Shao, J.Q.; Chen, Z.H.; Wei, X.L.; Yang, J.C. Maize, wheat and rice production potential changes in China under the background of climate change. Agric. Syst. 2020, 182, 102853. [Google Scholar]
- Wang, J.X.; Huang, J.K.; Yang, J. Overview of impacts of climate change and adaptation in China’s agriculture. J. Integr. Agric. 2014, 13, 1–17. [Google Scholar] [CrossRef]
- Chen, Z.; Huffman, W.E.; Rozelle, S. Farm technology and technical efficiency: Evidence from four regions in China. China Econ. Rev. 2009, 20, 153–161. [Google Scholar] [CrossRef] [Green Version]
- Feng, J.; Zhao, L.D.; Zhang, Y.B.; Sun, L.X.; Yu, X.; Yu, Y. Can climate change influence agricultural GTFP in arid and semi-arid regions of Northwest China? J. Arid Land 2020, 12, 837–853. [Google Scholar] [CrossRef]
- Liu, D.X.; Dong, A.X.; Zhang, P.L.; Fei, X.L. Impact of climate warming on agriculture in Gansu province. Prog. Geog. 2005, 24, 49–58. [Google Scholar]
- Yao, Y.B.; Yang, J.H.; Xiao, G.J.; Lei, J.; Niu, H.Y.; Zhang, X.Y. Research advances in the impacts of climate warming on rainfed agriculture and agro-ecology in Northwest China. Chin. J. Ecol. 2018, 37, 2170–2179. [Google Scholar]
- Turner, N.C. Sustainable production of crops and pastures under drought in a Mediterranean environment. Ann. Appl. Biol. 2004, 144, 139–174. [Google Scholar] [CrossRef]
- Saleska, S.R.; Didan, K.; Huete, A.R.; Rocha, H. Amazon forests green-up during 2005 drought. Science 2007, 318, 612. [Google Scholar] [CrossRef] [PubMed] [Green Version]
- Qader, S.H.; Dash, J.; Atkinson, P.M. Forecasting wheat and barley crop production in arid and semi-arid regions using remotely sensed primary productivity and crop phenology: A case study in Iraq. Sci. Total Environ. 2018, 613, 250–262. [Google Scholar] [CrossRef] [PubMed] [Green Version]
- Jing, Y.Y.; Shao, T.J.; Zhao, J.B. Study on variations of extreme temperature in Dingxi area of Gansu province during 1955–2016. Meteorol. Disaster Mitig. Res. 2017, 40, 265–275. [Google Scholar]
- Wu, P.H.; Lin, H.L. Ecological benefit evaluation of grassland agriculture in ecological fragile areas—A case study in Dingxi, Gansu province. In Proceedings of the IOP Conference Series: Earth and Environmental Science, Atlanta, GA, USA, 9–13 October 2022; Volume 792, p. 012034. [Google Scholar]
- Jia, W.X. Analysis of the comparative advantage of agriculture and the developmental strategies of characteristic agriculture in Dingxi, Gansu. Agric. Res. Arid Area 2008, 26, 206–211. [Google Scholar]
- Lieth, H. Modeling the primary productivity of the world. Nat. Res. 1972, 8, 5–10. [Google Scholar]
- Lieth, H.; Box, E.O. Evapotranspiration and primary productivity. Publ. Climatol. 1972, 25, 37–46. [Google Scholar]
- Chen, Z.T.; Liu, H.Y.; Xu, C.Y.; Wu, X.C.; Liang, B.Y.; Cao, J.; Chen, D.L. Modeling vegetation greenness and its climate sensitivity with deep-learning technology. Ecol. Evol. 2021, 11, 7335–7345. [Google Scholar] [CrossRef] [PubMed]
- Zhang, Z.G.; Geng, Y.X.; Cai, M.T.; Zhang, X.L.; Sun, Z.X.; Yin, J.Y. Spatial-temporal evolution and trend analysis of climatic potential productivity in Henan province during 1978–2017. Res. Soil Water Conserv. 2020, 27, 247–253. [Google Scholar]
- Dong, Y.; Jin, Y.; Guo, Y.S. A statistical analysis method based on simulation results of ecological models. J. Dalian Minzu Univ. 2021, 23, 60–63. [Google Scholar]
- Cui, S.H.; Li, K.Q.; Li, Y.; Li, F.Y.; Huang, J. Review on adaptation in the perspective of global change. Prog. Geog. 2011, 30, 1088–1098. [Google Scholar]
- IPCC (Intergovernmental Panel on Climate Change). Climate Change 2007: Impacts, Adaptations and Vulnerability. Fourth Assessment Report of Working Group II; University Press: Cambridge, UK, 2007. [Google Scholar]
- Schmidhuber, J.N.; Tubiello, F. Global food security under climate change. Proc. Natl. Acad. Sci. USA 2007, 104, 19703–19708. [Google Scholar] [CrossRef] [PubMed] [Green Version]
- Chen, Y.; Han, X.; Si, W.; Wu, Z.; Chien, H.; Okamoto, K. An assessment of climate change impacts on maize yields in Hebei Province of China. Sci. Total Environ. 2017, 581, 507–517. [Google Scholar] [CrossRef] [PubMed]
- Zhao, H.Y.; Guo, J.Q.; Zhang, C.J.; Sun, L.D.; Zhang, X.D.; Lin, J.J.; Wang, Y.H.; Fang, F.; Ma, P.L.; Liu, C.H.; et al. Climate change impacts and adaptation strategies in Northwest China. Adv. Clim. Chang. Res. 2014, 5, 7–16. [Google Scholar] [CrossRef]
- Xiao, G.J.; Zhang, Q.B.; Zhang, F.J.; Ma, F.; Wang, J.; Huang, J.Y.; Luo, C.K.; He, X.P.; Qiu, Z.J. Warming influences the yield and water use efficiency of winter wheat in the semiarid regions of Northwest China. Field Crop. Res. 2016, 199, 29–135. [Google Scholar]
- Lei, Y.D.; Zhang, H.L.; Chen, F.; Zhang, L.B. How rural land use management facilitates drought risk adaptation in a changing climate—a case study in arid Northern China. Sci. Total Environ. 2016, 550, 192–199. [Google Scholar] [CrossRef] [PubMed]
- Wang, Y.J.; Xie, Z.K.; Malhi, S.S.; Vera, C.L.; Zhang, Y.B.; Guo, Z.H. Effects of gravel-sand mulch, plastic mulch and ridge and furrow rainfall harvesting system combinations on water use efficiency, soil temperature and watermelon yield in a semi-arid Loess Plateau of northwestern China. Agric. Water Manag. 2011, 10, 88–92. [Google Scholar] [CrossRef]
- Campos, G.E.P.; Moran, M.S.; Huete, A.; Zhang, Y.G.; Bresloff, C.; Huxman, T.E.; Eamus, D.; Bosch, D.D.; Buda, A.R.; Gunter, S.A.; et al. Ecosystem resilience despite large-scale altered hydroclimatic conditions. Nature 2013, 494, 349–352. [Google Scholar] [CrossRef] [PubMed]
- Abraha, M.G.; Savage, M.J. Potential impacts of climate change on the grain yield of maize for the midlands of KwaZulu-Natal, South Africa. Agric. Ecosyst. Environ. 2006, 115, 150–160. [Google Scholar] [CrossRef]
- Lin, T.; Xie, Y.; Liu, G.; Duan, X. Impact of climate change on crop yields in Heilongjiang Province. J. Nat. Res. 2008, 23, 307–318. [Google Scholar]
- Xu, X.L.; Liu, J.Y.; Cao, M.K.; Zhang, S.W. Impact of recent climate fluctuation and LUCC process on potential productivity for crops in Northeast China. Sci. Geogr. Sin. 2007, 27, 318–324. [Google Scholar]
- Wang, T.; Lu, C.; Yu, B. Assessing the potential productivity of winter wheat using WOFOST in the Beijing-Tianjin-Hebei region. J. Nat. Res. 2010, 25, 475–487. [Google Scholar]
- Wang, J.; Wang, E.; Yang, X.; Zhang, F.; Yin, H. Increased yield potential of wheat-maize cropping system in the North China plain by climate change adaptation. Clim. Chang. 2012, 113, 825–840. [Google Scholar] [CrossRef]
- Tao, F.L.; Yokozawa, M.; Xu, Y.; Hayashi, Y.; Zhang, Z. Climate changes and trends in phenology and yields of field crops in China, 1981–2000. Agric. For. Meteorol. 2006, 138, 82–92. [Google Scholar] [CrossRef]
- Tao, F.L.; Yokozawa, M.; Liu, J.; Zhang, Z. Climate-crop yield relationships at provincial scales in China and the impacts of recent climate trends. Clim. Res. 2008, 38, 83–94. [Google Scholar] [CrossRef]
- Pu, J.Y.; Yao, Y.B.; Ma, P.L.; Deng, Z.Y.; Wang, W.T.; Zhang, M.C. Responses of winter wheat growth to winter warming in Gansu province. Chin. J. Appl. Ecol. 2007, 18, 1237–1241. [Google Scholar]
- Deng, Z.Y.; Zhang, Q.; Pu, J.Y.; Liu, D.X.; Guo, H.; Wang, Q.F.; Zhao, H.; Wang, H.L. The impact of climate warming on crop planting and production in northwestern China. Acta Ecol. Sin. 2008, 28, 3760–3768. [Google Scholar]
- Deng, Z.Y.; Zhang, Q. Impact of climate warming and drying on food crops in northern China and the countermeasures. Acta Ecol. Sin. 2010, 30, 6278–6288. [Google Scholar]
- Pu, J.Y.; Yao, X.Y.; Yao, X.H.; Xu, Y.P.; Wang, W.T. Impacts of climate warming on phonological period and growth of apple tree in Loess Plateau of Gansu province. Chin. J. Agrometeorol. 2009, 29, 181–183. [Google Scholar]
- Yin, X.G.; Olesen, J.E.; Wang, M.; Chen, F. Climate effects on crop yields in the northeast farming region of China during 1961–2010. J. Agric. Sci. 2016, 154, 1190–1208. [Google Scholar] [CrossRef]
- Yang, C.G.; Yang, W.X.; Wang, S.H.; Liu, N.; Zhang, X.T. Development countermeasures of wheat in Gansu province. China Seed Ind. 2017, 11, 1–6. [Google Scholar]
- Qi, Y.; Wang, H.L.; Wang, R.Y.; Ren, S.X.; Zhao, H.R. Risk assessment and region division of wheat drought disaster in Gansu province. Meteorol. Environ. Sci. 2019, 29, 33–38. [Google Scholar]
- Zhou, S.X.; Tian, Y.P.; Liu, L.F. Adaptability of agricultural ecosystems in the hilly areas in southern China: A case study in Hengyang basin. Acta Ecol. Sin. 2015, 35, 1991–2002. [Google Scholar]
- Smit, B.; Wandel, J. Adaptation, adaptive capacity and vulnerability. Glob. Environ. Chang. 2006, 16, 282–292. [Google Scholar] [CrossRef]
- Xie, J.H.; Zhang, R.Z.; Li, L.L.; Chai, Q.; Luo, Z.Z.; Cai, L.Q.; Qi, P. Effects of plastic film mulching patterns on maize grain yield, water use efficiency, and soil water balance in the farming system with one film used two years. J. Appl. Ecol. 2018, 29, 1935–1942. [Google Scholar]
- Zhao, G.B.; Liu, G.C.; Li, B.W. High-quality and high-yield cultivation technology regulation for silage corn in rryland of Gansu province. Gansu Agric. Sci. Technol. 2020, 5, 61–65. [Google Scholar]
- Wang, X.L.; Liu, R.Y.; Ma, Y.Q.; Sun, J.M. Research on Potato Production Cost Structure and Its Variation Tendency from 2001 to 2016. Chin. Agric. Sci. Bull. 2019, 35, 20–28. [Google Scholar]
- Liu, J.H.; Chen, W.J.; Wang, J.L.; Liu, H.B. Present situation and development countermeasure of Chinese herbal medicine industry in Gansu province. Gansu Agric. Sci. Technol. 2021, 52, 81–85. [Google Scholar]
- Wang, H.; Zhang, X.B.; Wang, J.; Shi, T.T.; Li, M.; Wan, X.F.; Huang, L.Q. Statistical analysis of planting area of Chinese medicinal materials in China in 2020. China Food Drug Admin. Mag. 2022, 1, 4–9. [Google Scholar]






Publisher’s Note: MDPI stays neutral with regard to jurisdictional claims in published maps and institutional affiliations. |
© 2022 by the authors. Licensee MDPI, Basel, Switzerland. This article is an open access article distributed under the terms and conditions of the Creative Commons Attribution (CC BY) license (https://creativecommons.org/licenses/by/4.0/).
Share and Cite
Jia, Q.; Li, M.; Dou, X. Climate Change Affects Crop Production Potential in Semi-Arid Regions: A Case Study in Dingxi, Northwest China, in Recent 30 Years. Sustainability 2022, 14, 3578. https://doi.org/10.3390/su14063578
Jia Q, Li M, Dou X. Climate Change Affects Crop Production Potential in Semi-Arid Regions: A Case Study in Dingxi, Northwest China, in Recent 30 Years. Sustainability. 2022; 14(6):3578. https://doi.org/10.3390/su14063578
Chicago/Turabian StyleJia, Qiong, Mengfei Li, and Xuecheng Dou. 2022. "Climate Change Affects Crop Production Potential in Semi-Arid Regions: A Case Study in Dingxi, Northwest China, in Recent 30 Years" Sustainability 14, no. 6: 3578. https://doi.org/10.3390/su14063578
APA StyleJia, Q., Li, M., & Dou, X. (2022). Climate Change Affects Crop Production Potential in Semi-Arid Regions: A Case Study in Dingxi, Northwest China, in Recent 30 Years. Sustainability, 14(6), 3578. https://doi.org/10.3390/su14063578

