Random Forests Assessment of the Role of Atmospheric Circulation in PM10 in an Urban Area with Complex Topography
Abstract
:1. Introduction
2. Material and Methods
2.1. Study Area
2.2. Instrumental Meteorological Data
2.3. Atmospheric Reanalysis
2.4. Air Quality Measurements
2.5. Atmospheric Circulation Classification
2.6. Atmospheric Stratification Determination
- -
- daytime period: from 6 to 17 UTC;
- -
- nighttime period: from 18 to 5 UTC the next day.
2.7. Data Analysis
- -
- Meteorological observations from Balice synoptic station with 6-h resolution: air temperature, relative air humidity, wind speed and direction, cloudiness, the 6-h sum of atmospheric precipitation;
- -
- air temperature, relative air humidity and wind speed and direction at three pressure levels obtained from ERA5 reanalysis (975, 925 and 850 hPa); differences between neighboring pressure levels of air temperature, relative air humidity, wind speed and wind direction (layers 975–925 hPa and 925–850 hPa) with 6-h resolution;
- -
- mean daily PM10 concentration from previous day;
- -
- difference of mean daily PM10 concentration between current day and previous day (used for determining PM10 decrease);
- -
- day of week;
- -
- atmospheric circulation types on a certain day according to Niedźwiedź and Lityński classification.
- -
- Group 1: days with high PM10 concentration against the background of a particular half-year, which meet two conditions: daily PM10 concentration is greater than the upper quartile in the selected half-year (see Table A3) and greater than 50 or 40 μg⋅m−3 during cold or warm half-year, respectively.The number of days meeting the above conditions is 842 and 837 for cold and warm half-years, respectively.
- -
- Group 2: days characterized by significant PM10 concentration decrease in relation to the previous day, which meet three conditions: the decrease is greater than 25% of the concentration on the previous day, the decrease of PM10 daily concentration is equal at least to 20 or 10 μg⋅m−3, in cold or warm half-years, respectively, and days assigned to Group 1 are omitted.The number of days meeting the above conditions is 634 and 461 for cold and warm half-years, respectively.
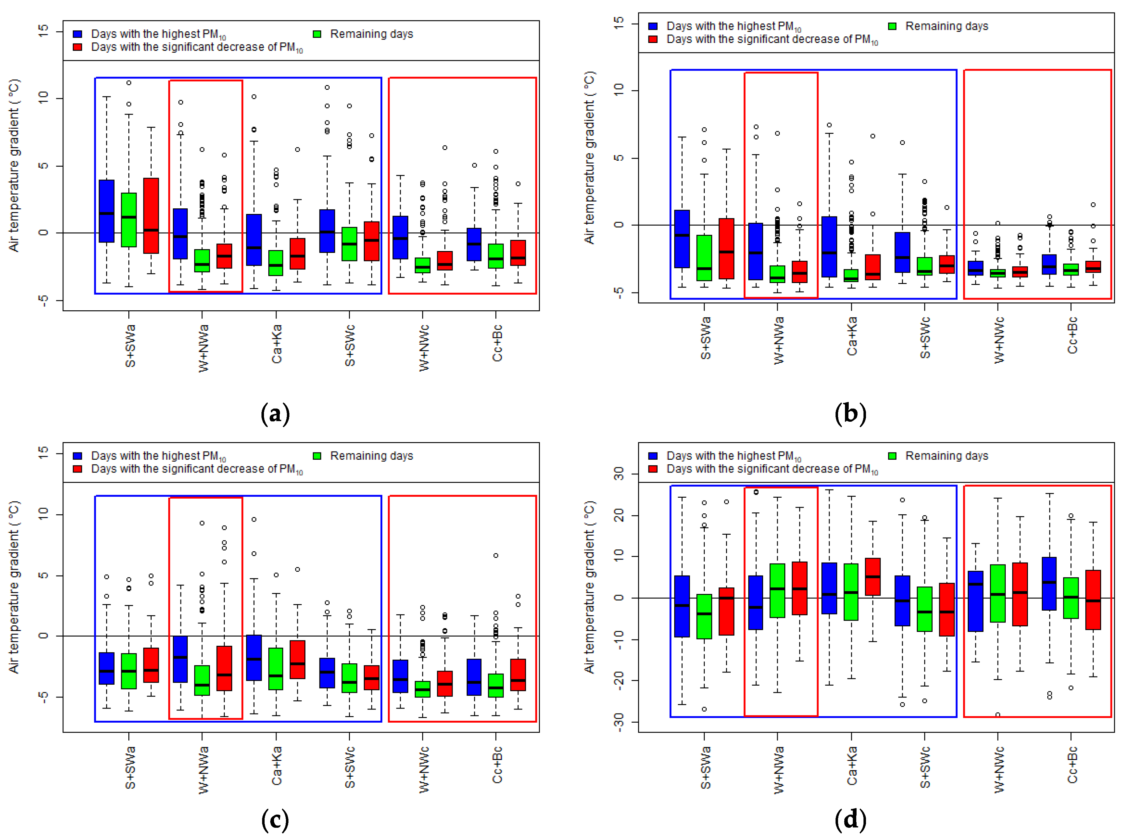
3. Results
- -
- Group 1—days with the highest daily concentration; of PM10;
- -
- Group 2—days with the greatest decrease day by day in the concentration of PM10.
Random Forests Analyses
4. Discussion
5. Conclusions
Author Contributions
Funding
Institutional Review Board Statement
Informed Consent Statement
Data Availability Statement
Conflicts of Interest
Appendix A



Appendix B
Appendix B.1. Niedźwiedź Circulation Classification
| Circulation Type | Cold Half-Year | Warm Half-Year | ||
|---|---|---|---|---|
| Trend (Day/Half-Year) | R-Squared | Trend (Day/Half-Year) | R-Squared | |
| N + NEa | −0.09 | 0.01 | 0.19 | 0.06 |
| E + SEa | 0.10 | 0.01 | 0.13 | 0.02 |
| S + SWa | 0.27 | 0.07 | 0.13 | 0.04 |
| W + NWa | 0.00 | 0.00 | 0.17 | 0.02 |
| Ca + Ka | −0.60 | 0.23 | −0.73 | 0.35 |
| N + NEc | 0.21 | 0.02 | 0.44 | 0.12 |
| E + SEc | 0.15 | 0.02 | 0.00 | 0.00 |
| S + SWc | −0.20 | 0.02 | 0.26 | 0.12 |
| W + NWc | 0.00 | 0.00 | −0.50 | 0.16 |
| Cc + Bc | 0.16 | 0.04 | −0.33 | 0.17 |
| x | 0.12 | 0.06 | 0.00 | 0.00 |

Appendix B.2. Lityński Circulation Classification

| Circulation Type | Cold Half-Year | Warm Half-Year | ||
|---|---|---|---|---|
| Trend (Day/Half-Year) | R-Squared | Trend (Day/Half-Year) | R-Squared | |
| Nc | −0.13 | 0.15 | 0.00 | 0.00 |
| No | −0.07 | 0.03 | 0.20 | 0.27 |
| Na | −0.04 | 0.00 | −0.09 | 0.00 |
| NEc | −0.03 | 0.00 | 0.00 | 0.00 |
| NEo | −0.11 | 0.07 | 0.08 | 0.04 |
| NEa | −0.22 | 0.12 | 0.00 | 0.00 |
| Ec | 0.00 | 0.00 | −0.25 | 0.18 |
| Eo | 0.00 | 0.00 | 0.13 | 0.03 |
| Ea | 0.00 | 0.00 | −0.13 | 0.07 |
| SEc | 0.11 | 0.04 | 0.00 | 0.00 |
| SEo | 0.25 | 0.13 | 0.00 | 0.00 |
| SEa | 0.00 | 0.00 | 0.00 | 0.00 |
| Sc | −0.25 | 0.06 | −0.11 | 0.02 |
| So | 0.00 | 0.00 | −0.08 | 0.04 |
| Sa | 0.00 | 0.00 | 0.00 | 0.00 |
| SWc | 0.26 | 0.08 | −0.18 | 0.10 |
| SWo | 0.00 | 0.00 | −0.11 | 0.13 |
| SWa | 0.00 | 0.00 | 0.08 | 0.00 |
| Wc | 0.00 | 0.00 | 0.13 | 0.07 |
| Wo | 0.00 | 0.00 | −0.10 | 0.05 |
| Wa | 0.27 | 0.13 | −0.21 | 0.14 |
| NWc | 0.00 | 0.00 | −0.13 | 0.03 |
| NWo | 0.14 | 0.08 | 0.00 | 0.02 |
| NWa | 0.37 | 0.17 | 0.18 | 0.13 |
| Oc | −0.12 | 0.04 | −0.08 | 0.00 |
| Oo | 0.00 | 0.00 | 0.11 | 0.03 |
| Oa | −0.19 | 0.11 | 0.25 | 0.13 |
Appendix C
| Year | Cold Half-Year (μg⋅m−3) | Warm Half-Year (μg⋅m−3) |
|---|---|---|
| 2001 | 47 | 41 |
| 2002 | 106 | 94 |
| 2003 | 137 | 60 |
| 2004 | 116 | 60 |
| 2005 | 162 | 73 |
| 2006 | 145 | 71 |
| 2007 | 134 | 77 |
| 2008 | 155 | 69 |
| 2009 | 123 | 67 |
| 2010 | 135 | 57 |
| 2011 | 137 | 53 |
| 2012 | 131 | 49 |
| 2013 | 130 | 47 |
| 2014 | 103 | 43 |
| 2015 | 115 | 54 |
| 2016 | 99 | 50 |
| 2017 | 99 | 38 |
| 2018 | 87 | 50 |
| 2019 | 82 | 42 |
| 2020 | 71 | 32 |






Appendix D
Weather Conditions in Relation to the Circulation Types
| Circulation Type | Conditional Probability | Number of Days with High PM10 Concentration | Total Number of Days in Cold Half-Year |
|---|---|---|---|
| N + NEa | 0.06 | 12 | 196 |
| E + SEa | 0.14 | 50 | 354 |
| S + SWa | 0.52 | 202 | 386 |
| W + NWa | 0.20 | 114 | 562 |
| Ca + Ka | 0.39 | 171 | 441 |
| N + NEc | 0.14 | 26 | 190 |
| E + SEc | 0.12 | 21 | 170 |
| S + SWc | 0.37 | 149 | 403 |
| W + NWc | 0.04 | 22 | 521 |
| Cc + Bc | 0.14 | 49 | 348 |
| x | 0.35 | 26 | 74 |
| Total number of days | 842 | 3645 | |


| Circulation Type | Wind Speed | Air Temp. | Precipitation |
|---|---|---|---|
| S + SWa | 0.000 | 0.000 | 0.736 |
| W + NWa | 0.000 | 0.000 | 0.813 |
| Ca + Ka | 0.002 | 0.000 | 0.486 |
| S + SWc | 0.000 | 0.000 | 0.748 |




| Circulation Type | Days with the Highest PM10 Concentration (%) | Remaining Days (%) | ||
|---|---|---|---|---|
| 00:00 UTC | 12:00 UTC | 00:00 UTC | 12:00 UTC | |
| S + SWa | 5 | 44 | 8 | 19 |
| W + NWa | 4 | 25 | 2 | 4 |
| Ca + Ka | 4 | 33 | 4 | 5 |
| S + SWc | 15 | 18 | 16 | 10 |

| Circulation Type | Conditional Probability | Number of Days with High PM10 Concentration | Total Number of Days in Cold Half-Year |
|---|---|---|---|
| N + NEa | 0.18 | 35 | 196 |
| E + SEa | 0.15 | 53 | 354 |
| S + SWa | 0.06 | 25 | 386 |
| W + NWa | 0.17 | 96 | 562 |
| Ca + Ka | 0.06 | 28 | 441 |
| N + NEc | 0.31 | 58 | 190 |
| E + SEc | 0.25 | 43 | 170 |
| S + SWc | 0.13 | 54 | 403 |
| W + NWc | 0.29 | 150 | 521 |
| Cc + Bc | 0.25 | 86 | 348 |
| x | 0.08 | 6 | 74 |
| Total number of days | 634 | 3645 | |
| Circulation Type | Wind Speed | Air Temp. | Precipitation |
|---|---|---|---|
| W + NWa | 0.000 | 0.750 | 0.013 |
| W + NWc | 0.005 | 0.918 | 0.000 |
| Cc + Bc | 0.000 | 0.871 | 0.008 |
References
- Toro, R.; Kvakic, M.; Klaic, Z.B.; Koracin, D.; Morales, R.G.E.; Leiva, M.A. Exploring atmospheric stagnation during a severe particulate matter air pollution episode over complex terrain in Santiago, Chile. Environ. Pollut. 2019, 244, 705–714. [Google Scholar] [CrossRef] [PubMed]
- Xu, Y.W.; Zhu, B.; Shi, S.S.; Huang, Y. Two Inversion Layers and Their Impacts on PM2.5 Concentration over the Yangtze River Delta, China. J. Appl. Meteorol. Climatol. 2019, 58, 2349–2362. [Google Scholar] [CrossRef]
- Ormanova, G.; Karaca, F.; Kononova, N. Analysis of the impacts of atmospheric circulation patterns on the regional air quality over the geographical center of the Eurasian continent. Atmos. Res. 2020, 237, 104858. [Google Scholar] [CrossRef]
- Hadi-Vencheh, A.; Tan, Y.; Wanke, P.; Loghmanian, S.M. Air pollution assessment in China: A novel group multiple criteria decision making model under uncertain information. Sustainability 2021, 13, 1686. [Google Scholar] [CrossRef]
- Zhou, G.; Wu, J.; Yang, M.; Sun, P.; Gong, Y.; Chai, J.; Zhang, J.; Afrim, F.-K.; Dong, W.; Sun, R.; et al. Prenatal exposure to air pollution and the risk of preterm birth in rural population of Henan Province. Chemosphere 2022, 286, 131833. [Google Scholar] [CrossRef] [PubMed]
- Li, G.A.; Wu, H.B.; Zhong, Q.; He, J.L.; Yang, W.J.; Zhu, J.L.; Zhao, H.H.; Zhang, H.S.; Zhu, Z.Y.; Huang, F. Six air pollutants and cause-specific mortality: A multi-area study in nine counties or districts of Anhui Province, China. Environ. Sci. Pollut. Res. 2021, 29, 468–482. [Google Scholar] [CrossRef]
- Jeong, S.J. The Impact of Air Pollution on Human Health in Suwon City. Asian J. Atmos. Environ. 2013, 7, 227–233. [Google Scholar] [CrossRef] [Green Version]
- Vicente, A.B.; Juan, P.; Meseguer, S.; Diaz-Avalos, C.; Serra, L. Variability of PM10 in industrialized-urban areas. New coefficients to establish significant differences between sampling points. Environ. Pollut. 2018, 234, 969–978. [Google Scholar] [CrossRef] [PubMed]
- Penenko, A.; Penenko, V.; Tsvetova, E.; Gochakov, A.; Pyanova, E.; Konopleva, V. Sensitivity Operator Framework for Analyzing Heterogeneous Air Quality Monitoring Systems. Atmosphere 2021, 12, 1697. [Google Scholar] [CrossRef]
- Wang, Y.S.; Yao, L.; Wang, L.L.; Liu, Z.R.; Ji, D.S.; Tang, G.Q.; Zhang, J.K.; Sun, Y.; Hu, B.; Xin, J.Y. Mechanism for the formation of the January 2013 heavy haze pollution episode over central and eastern China. Sci. China-Earth Sci. 2014, 57, 14–25. [Google Scholar] [CrossRef]
- Masiol, M.; Agostinelli, C.; Formenton, G.; Tarabotti, E.; Pavoni, B. Thirteen years of air pollution hourly monitoring in a large city: Potential sources, trends, cycles and effects of car-free days. Sci. Total Environ. 2014, 494, 84–96. [Google Scholar] [CrossRef] [PubMed]
- Tveito, O.E.; Huth, R.; Philipp, A.; Post, P.; Pasqui, M.; Esteban, P.; Beck, C.; Demuzere, M.; Prudhomme, C. COST Action 733 Harmonization and Application of Weather Type Classifications for European Regions; Climate & Environment Consulting Potsdam GmbH: Potsdam, Germany, 2016; pp. 243–249. [Google Scholar]
- Li, X.; Xia, X.; Wang, L.; Cai, R.; Zhao, L.; Feng, Z.; Ren, Q.; Zhao, K. The role of foehn in the formation of heavy air pollution events in Urumqi, China. J. Geophys. Res. Atmos. 2015, 120, 5371–5384. [Google Scholar] [CrossRef]
- Lesniok, M.; Malarzewski, L.; Niedzwiedz, T. Classification of circulation types for Southern Poland with an application to air pollution concentration in Upper Silesia. Phys. Chem. Earth 2010, 35, 516–522. [Google Scholar] [CrossRef]
- Vautard, R.; Colette, A.; van Meijgaard, E.; Meleux, F.; van Oldenborgh, G.J.; Otto, F.; Tobin, I.; Yiou, P. Attribution of wintertime anticyclonic stagnation contributing to air pollution in western europe. Bull. Am. Meteorol. Soc. 2018, 99, S70–S75. [Google Scholar] [CrossRef] [Green Version]
- Garrido-Perez, J.M.; Ordonez, C.; Garcia-Herrera, R.; Barriopedro, D. Air stagnation in Europe: Spatiotemporal variability and impact on air quality. Sci. Total Environ. 2018, 645, 1238–1252. [Google Scholar] [CrossRef] [PubMed]
- Horton, D.E.; Skinner, C.B.; Singh, D.; Diffenbaugh, N.S. Occurrence and persistence of future atmospheric stagnation events. Nat. Clim. Chang. 2014, 4, 698–703. [Google Scholar] [CrossRef] [PubMed]
- Lee, D.; Wang, S.Y.; Zhao, L.; Kim, H.C.; Kim, K.; Yoon, J.H. Long-term increase in atmospheric stagnant conditions over northeast Asia and the role of greenhouse gases-driven warming. Atmos. Environ. 2020, 241, 117772. [Google Scholar] [CrossRef]
- Flocas, H.; Kelessis, A.; Helmis, C.; Petrakakis, M.; Zoumakis, M.; Pappas, K. Synoptic and local scale atmospheric circulation associated with air pollution episodes in an urban Mediterranean area. Theor. Appl. Climatol. 2009, 95, 265–277. [Google Scholar] [CrossRef]
- Vergeiner, J. South Foehn Studies and a New Foehn Classification Scheme in the Wipp and Inn Valley; University of Innsbruck: Innsbruck, Austria, 2004. [Google Scholar]
- Sekula, P.; Bokwa, A.; Ustrnul, Z.; Zimnoch, M.; Bochenek, B. The impact of a foehn wind on PM10 concentrations and the urban boundary layer in complex terrain: A case study from Krakow, Poland. Tellus Ser. B Chem. Phys. Meteorol. 2021, 73, 1–26. [Google Scholar] [CrossRef]
- Air Quality in Europe—2020 Report; EEA Report No 09/2020; European Environmental Agency: Luxembourg, 2020.
- Chief Inspectorate for Environmental Protection. Stan Środowiska w Województwie Małopolskim. Raport 2020 (The State of The Environment in the Lesser Poland Voivodeship. Report 2020); National Inspectorate for Environmental Protection: Kraków, Poland, 2020; p. 199.
- Bokwa, A. Environmental impacts of long-term air pollution changes in Krakow, Poland. Pol. J. Environ. Stud. 2008, 17, 673–686. [Google Scholar]
- Pietras, B. Meteorologiczne Uwarunkowania Koncentracji Pyłu Zawieszonego w Powietrzu w Krakowie Oraz Próba Określenia Jego Pochodzenia; Uniwersytet Pedagogiczny: Kraków, Poland, 2018. [Google Scholar]
- Wielgosinski, G.; Czerwinska, J. Smog episodes in Poland. Atmosphere 2020, 11, 277. [Google Scholar] [CrossRef] [Green Version]
- Lupikasza, E.; Niedzwiedz, T. Synoptic climatology of fog in selected locations of southern Poland (1966–2015). Bull. Geogr. Phys. Geogr. Ser. 2016, 11, 5–15. [Google Scholar] [CrossRef] [Green Version]
- Matuszko, D.; Weglarczyk, S. Long-term variability of the cloud amount and cloud genera and their relationship with circulation (Krakow, Poland). Int. J. Climatol. 2018, 38, E1205–E1220. [Google Scholar] [CrossRef]
- Niedźwiedź, T.; Ustrnul, Z. Change of Atmospheric Circulation. In Climate Change in Poland; Falarz, M., Ed.; Springer: Cham, Switerland, 2021. [Google Scholar]
- Ustrnul, Z. Atmospheric circulation conditions. InClimate of Kraków in the 20th Century; Matuszko, D., Ed.; Instytut Geografii i Gospodarki Przestrzennej Uniwersytet Jagielloński: Kraków, Poland, 2007; pp. 21–40. [Google Scholar]
- Grange, S.K.; Carslaw, D.C.; Lewis, A.C.; Boleti, E.; Hueglin, C. Random forestmeteorological normalisation models for Swiss PM10 trend analysis. Atmos. Chem. Phys. 2018, 18, 6223–6239. [Google Scholar] [CrossRef] [Green Version]
- Vu, T.V.; Shi, Z.B.; Cheng, J.; Zhang, Q.; He, K.B.; Wang, S.X.; Harrison, R.M. Assessing the impact of clean air action on air quality trends in Beijing using a machine learning technique. Atmos. Chem. Phys. 2019, 19, 11303–11314. [Google Scholar] [CrossRef] [Green Version]
- Gariazzo, C.; Carlino, G.; Silibello, C.; Renzi, M.; Finardi, S.; Pepe, N.; Radice, P.; Forastiere, F.; Michelozzi, P.; Viegi, G.; et al. A multi -city air pollution population exposure study: Combined use of chemical-transport and random -Forest models with dynamic population data. Sci. Total Environ. 2020, 724, 138102. [Google Scholar] [CrossRef] [PubMed]
- Hu, X.F.; Belle, J.H.; Meng, X.; Wildani, A.; Waller, L.A.; Strickland, M.J.; Liu, Y. Estimating PM2.5 Concentrations in the conterminous United States using the random forest approach. Environ. Sci. Technol. 2017, 51, 6936–6944. [Google Scholar] [CrossRef] [PubMed]
- Joharestani, M.Z.; Cao, C.X.; Ni, X.L.; Bashir, B.; Talebiesfandarani, S. PM2.5 Prediction based on random forest, XGBoost, and deep learning using multisource remote sensing data. Atmosphere 2019, 10, 373. [Google Scholar] [CrossRef] [Green Version]
- AlThuwaynee, O.F.; Kim, S.W.; Najemaden, M.A.; Aydda, A.; Balogun, A.L.; Fayyadh, M.M.; Park, H.J. Demystifying uncertainty in PM10 susceptibility mapping using variable drop-off in extreme-gradient boosting (XGB) and random forest (RF) algorithms. Environ. Sci. Pollut. Res. 2021, 28, 43544–43566. [Google Scholar] [CrossRef]
- Stafoggia, M.; Johansson, C.; Glantz, P.; Renzi, M.; Shtein, A.; de Hoogh, K.; Kloog, I.; Davoli, M.; Michelozzi, P.; Bellander, T. A random forest approach to estimate daily particulate matter, nitrogen dioxide, and ozone at fine spatial resolution in Sweden. Atmosphere 2020, 11, 239. [Google Scholar] [CrossRef] [Green Version]
- Lityński, J. Numerical Classification of Circulation Types and Weather Types for Poland; Pr. PIHM: Kraków, Poland, 1969; Volume 97, pp. 3–14. [Google Scholar]
- Ustrnul, Z.; Wypych, A.; Czekierda, D. Composite circulation index of weather extremes (the example for Poland). Meteorol. Z. 2013, 22, 551–559. [Google Scholar] [CrossRef]
- Beck, C.; Philipp, A. Evaluation and comparison of circulation type classifications for the European domain. Phys. Chem. Earth 2010, 35, 374–387. [Google Scholar] [CrossRef]
- Nowosad, M. Variability of the zonal circulation index over Central Europe according to the Lityński method. Geogr. Pol. 2017, 90, 417–430. [Google Scholar] [CrossRef] [Green Version]
- Godłowska, J. Influence of Meteorological Conditions on Air Quality in Krakow. Comparative Research and an Attempt at a Model Approach; IMGW-PIB: Warsaw, Poland, 2019; p. 102. [Google Scholar]
- Jaagus, J. Climatic changes in Estonia during the second half of the 20th century in relationship with changes in large-scale atmospheric circulation. Theor. Appl. Climatol. 2006, 83, 77–88. [Google Scholar] [CrossRef]
- Hyncica, M.; Huth, R. Long-term changes in precipitation phase in Europe in cold half year. Atmos. Res. 2019, 227, 79–88. [Google Scholar] [CrossRef]
- Statistics Poland. Area and Population in the Territorial Profile in 2021; Statistics Poland: Warsaw, Poland, 2021; p. 25.
- Hess, M. Climate of Kraków. Folia Geogr. Ser. Geogr.-Phys. Kraków Pol. 1974, 8, 45–102. [Google Scholar]
- Oke, T.R. Initial Guidance to Obtain Representative Meteorological Observations at Urban Sites. Instrument and Observing Methods (IOM); Report No. 81, WMO/TD. No. 1250; World Meteorological Organization: Geneva, Switzerland, 2006. [Google Scholar]
- Hersbach, H.; Bell, B.; Berrisford, P.; Hirahara, S.; Horanyi, A.; Munoz-Sabater, J.; Nicolas, J.; Peubey, C.; Radu, R.; Schepers, D.; et al. The ERA5 global reanalysis. Q. J. R. Meteorol. Soc. 2020, 146, 1999–2049. [Google Scholar] [CrossRef]
- Chief Inspectorate of Environmental Protection. Available online: https://powietrze.gios.gov.pl/pjp/archives (accessed on 12 March 2022).
- European Parliament and the Council of the European Union. Directive 2008/50/EC of the European Parliament and of the Council. J. Eur. Union 2008. [Google Scholar]
- Huth, R.; Beck, C.; Philipp, A.; Demuzere, M.; Ustrnul, Z.; Cahynova, M.; Kysely, J.; Tveito, O.E. Classifications of atmospheric circulation patterns recent advances and applications. Trends Dir. Clim. Res. 2008, 1146, 105–152. [Google Scholar] [CrossRef]
- Philipp, A.; Bartholy, J.; Beck, C.; Erpicum, M.; Esteban, P.; Fettweis, X.; Huth, R.; James, P.; Jourdain, S.; Kreienkamp, F.; et al. Cost733cat-A database of weather and circulation type classifications. Phys. Chem. Earth 2010, 35, 360–373. [Google Scholar] [CrossRef]
- Ustrnul, Z.; Czekierda, D.; Wypych, A. Extreme values of air temperature in Poland according to different atmospheric circulation classifications. Phys. Chem. Earth 2010, 35, 429–436. [Google Scholar] [CrossRef]
- Pomona. Available online: https://github.com/silkeszy/Pomona (accessed on 12 March 2022).
- Degenhardt, F.; Seifert, S.; Szymczak, S. Evaluation of variable selection methods for random forests and omics data sets. Brief. Bioinform. 2019, 20, 492–503. [Google Scholar] [CrossRef] [PubMed] [Green Version]
- Akaike, H. Information theory and an extension of the maximum likelihood principle. In Selected Papers of Hirotugu Akaike; Parzen, E., Tanabe, K., Kitagawa, G., Eds.; Springer Series in Statistics; Springer: New York, NY, USA, 1998. [Google Scholar]
- Cowell, F. Measurement of Inequality, 1th ed.; Atkinson, A.B., Bourguignon, F., Eds.; Elsevier: Amsterdam, The Netherland, 2000; p. 938. [Google Scholar]
- Tangirala, S. Evaluating the impact of GINI index and information gain on classification using decision tree classifier algorithm. Int. J. Adv. Comput. Sci. Appl. 2020, 11, 612–619. [Google Scholar] [CrossRef]
- Zhang, D.D.; Shen, J.Q.; Liu, P.F.; Zhang, Q.; Sun, F.H. Use of fuzzy analytic hierarchy process and environmental gini coefficient for allocation of regional flood drainage rights. Int. J. Environ. Res. Public Health 2020, 17, 63. [Google Scholar] [CrossRef] [Green Version]
- Wu, C.B.; Li, K.; Bai, K.X. Validation and calibration of CAMS PM2.5 forecasts using in situ PM2.5 measurements in China and United States. Remote Sens. 2020, 12, 3813. [Google Scholar] [CrossRef]
- Pappa, A.; Kioutsioukis, I. Forecasting particulate pollution in an urban area: From copernicus to sub-km scale. Atmosphere 2021, 12, 881. [Google Scholar] [CrossRef]
- Czernecki, B.; Marosz, M.; Jedruszkiewicz, J. Assessment of machine learning algorithms in short-term forecasting of PM10 and PM2.5 concentrations in selected polish agglomerations. Aerosol Air Qual. Res. 2021, 21, 200586. [Google Scholar] [CrossRef]
- Ustrnul, Z. Infulence of foehn winds on air-temperature and humidity in the Polish Carpathians. Theor. Appl. Climatol. 1992, 45, 43–47. [Google Scholar] [CrossRef]
- Bokwa, A.; Wypych, A.; Hajto, M.J. Impact of natural and anthropogenic factors on fog frequency and variability in krakow, Poland in the years 1966–2015. Aerosol Air Qual. Res. 2018, 18, 165–177. [Google Scholar] [CrossRef] [Green Version]
- Han, S.Q.; Hao, T.Y.; Zhang, Y.F.; Liu, J.L.; Li, P.Y.; Cai, Z.Y.; Zhang, M.; Wang, Q.L.; Zhang, H. Vertical observation and analysis on rapid formation and evolutionary mechanisms of a prolonged haze episode over central-eastern China. Sci. Total Environ. 2018, 616, 135–146. [Google Scholar] [CrossRef] [PubMed]
- Kunin, P.; Alpert, P.; Rostkier-Edelstein, D. Investigation of sea-breeze/foehn in the Dead Sea valley employing high resolution WRF and observations. Atmos. Res. 2019, 229, 240–254. [Google Scholar] [CrossRef]
- Stull, R.B. An Introduction to Boundary Layer Meteorology; Springer: Dordrecht, The Netherland, 1988. [Google Scholar]
- Wang, P.; Cao, J.J.; Tie, X.X.; Wang, G.H.; Li, G.H.; Hu, T.F.; Wu, Y.T.; Xu, Y.S.; Xu, G.D.; Zhao, Y.Z.; et al. Impact of meteorological parameters and gaseous pollutants on PM2.5 and PM10 mass concentrations during 2010 in Xi’an, China. Aerosol Air Qual. Res. 2015, 15, 1844–1854. [Google Scholar] [CrossRef] [Green Version]
- Sekula, P.; Bokwa, A.; Bartyzel, J.; Bochenek, B.; Chmura, L.; Galkowski, M.; Zimnoch, M. Measurement report: Effect of wind shear on PM10 concentration vertical structure in the urban boundary layer in a complex terrain. Atmos. Chem. Phys. 2021, 21, 12113–12139. [Google Scholar] [CrossRef]
- Huang, K.Y.; Xiao, Q.Y.; Meng, X.; Geng, G.N.; Wang, Y.J.; Lyapustin, A.; Gu, D.F.; Liu, Y. Predicting monthly high-resolution PM2.5 concentrations with random forest model in the North China Plain. Environ. Pollut. 2018, 242, 675–683. [Google Scholar] [CrossRef] [PubMed]
- Li, Y.; Chen, Q.L.; Zhao, H.J.; Wang, L.; Tao, R. Variations in PM10, PM2.5 and PM1.0 in an urban area of the sichuan basin and their relation to meteorological factors. Atmosphere 2015, 6, 150–163. [Google Scholar] [CrossRef] [Green Version]
- Stafoggia, M.; Bellander, T.; Bucci, S.; Davoli, M.; de Hoogh, K.; de’Donato, F.; Gariazzo, C.; Lyapustin, A.; Michelozzi, P.; Renzi, M.; et al. Estimation of daily PM10 and PM2.5 concentrations in Italy, 2013–2015, using a spatiotemporal land-use random-forest model. Environ. Int. 2019, 124, 170–179. [Google Scholar] [CrossRef] [PubMed]
- Banks, R.F.; Tiana-Alsina, J.; Rocadenbosch, F.; Baldasano, J.M. Performance evaluation of the boundary-layer height from lidar and the weather research and forecasting model at an urban coastal site in the north-east iberian peninsula. Bound. Layer Meteorol. 2015, 157, 265–292. [Google Scholar] [CrossRef] [Green Version]
- Uzan, L.; Egert, S.; Khain, P.; Levi, Y.; Vadislavsky, E.; Alpert, P. Ceilometers as planetary boundary layer height detectors and a corrective tool for COSMO and IFS models. Atmos. Chem. Phys. 2020, 20, 12177–12192. [Google Scholar] [CrossRef]
- Zhang, K.F.; The, J.; Xie, G.Y.; Yu, H.S. Multi-step ahead forecasting of regional air quality using spatial-temporal deep neural networks: A case study of Huaihai Economic Zone. J. Clean. Prod. 2020, 277, 123231. [Google Scholar] [CrossRef]
- Zhou, Y.L.; Chang, F.J.; Chang, L.C.; Kao, I.F.; Wang, Y.S. Explore a deep learning multi-output neural network for regional multi-step-ahead air quality forecasts. J. Clean. Prod. 2019, 209, 134–145. [Google Scholar] [CrossRef]
- Theil, H. A Rank-invariant method of linear and polynomial regression analysis. In Henri Theil’s Contributions to Economics and Econometrics. Advanced Studies in Theoretical and Applied Econometrics; Raj, B., Koerts, J., Eds.; Springer: Dordrecht, The Netherland, 1992; Volume 23, pp. 345–381. [Google Scholar]
- Hurtado, S. Package ‘RobustLinearReg’. Available online: https://cran.r-project.org/web/packages/RobustLinearReg/RobustLinearReg.pdf (accessed on 15 November 2021).
- Carslaw, D.C.; Ropkins, K. Openair—An R package for air quality data analysis. Environ. Model. Softw. 2012, 27–28, 52–61. [Google Scholar] [CrossRef]
- Sulikowska, A.; Wypych, A. Seasonal variability of trends in regional hot and warm temperature extremes in europe. Atmosphere 2021, 12, 612. [Google Scholar] [CrossRef]
- Niedźwiedź, T. Synoptic Situations and their Impact on Spatial Differentiation of Selected Climate Elements in the Upper Vistula Basin; Jagiellonian University: Kraków, Poland, 1981. [Google Scholar]
- Lamb, H.H. British Isles Weather Types and a Register of the Daily Sequence of Circulation Patterns 1861–1971; Geophysical Memoirs: London, UK, 1972. [Google Scholar]
- Pianko-Kluczynska, K. A new calendar of types of atmosphere circulation according to J. Lityński. Wiadomości Meteorol. Hydrol. Gospod. Wodnej 2007, 1, 65–85. [Google Scholar]







| No. | Station | Lat N | Lon E | Altitude (m a.s.l.) | Manager of the Station | Landform | Parameters | Data Availability Period | Data Resolution |
|---|---|---|---|---|---|---|---|---|---|
| 1 | Balice | 50.08 | 19.80 | 237 | IMWM-NRI | Valley bottom | V, D, T, RH, C, PP | 1960-currently | 1 h, 3 h and 1 day |
| 2 | TV mast: 2 m a.g.l. 100 m a.g.l. | 50.05 | 19.90 | 222 272 322 | JU | Valley bottom | T | 1.01.2010-currently | 3 h |
| 3 | Krasińskiego St | 50.06 | 19.93 | 207 | NIEP | Valley bottom | PM10 | 1.01.2000-currently | 1 day |
Publisher’s Note: MDPI stays neutral with regard to jurisdictional claims in published maps and institutional affiliations. |
© 2022 by the authors. Licensee MDPI, Basel, Switzerland. This article is an open access article distributed under the terms and conditions of the Creative Commons Attribution (CC BY) license (https://creativecommons.org/licenses/by/4.0/).
Share and Cite
Sekula, P.; Ustrnul, Z.; Bokwa, A.; Bochenek, B.; Zimnoch, M. Random Forests Assessment of the Role of Atmospheric Circulation in PM10 in an Urban Area with Complex Topography. Sustainability 2022, 14, 3388. https://doi.org/10.3390/su14063388
Sekula P, Ustrnul Z, Bokwa A, Bochenek B, Zimnoch M. Random Forests Assessment of the Role of Atmospheric Circulation in PM10 in an Urban Area with Complex Topography. Sustainability. 2022; 14(6):3388. https://doi.org/10.3390/su14063388
Chicago/Turabian StyleSekula, Piotr, Zbigniew Ustrnul, Anita Bokwa, Bogdan Bochenek, and Miroslaw Zimnoch. 2022. "Random Forests Assessment of the Role of Atmospheric Circulation in PM10 in an Urban Area with Complex Topography" Sustainability 14, no. 6: 3388. https://doi.org/10.3390/su14063388
APA StyleSekula, P., Ustrnul, Z., Bokwa, A., Bochenek, B., & Zimnoch, M. (2022). Random Forests Assessment of the Role of Atmospheric Circulation in PM10 in an Urban Area with Complex Topography. Sustainability, 14(6), 3388. https://doi.org/10.3390/su14063388

