Soil Amendment with Arbuscular Mycorrhizal Fungi and Biochar Improves Salinity Tolerance, Growth, and Lipid Metabolism of Common Wheat (Triticum aestivum L.)
Abstract
:1. Introduction
2. Materials and Methods
2.1. Experimental Site
2.2. Soil Analysis
2.3. Plant Nutrient Uptake Analysis
2.4. Experimental Plant Materials
2.5. Biochar’s Production, Chemical Properties, and Soil Amendment
2.6. Arbuscular Mycorrhizal Fungi Source and Inoculum
2.7. Experimental Design and Treatments
2.8. Measurement of Plant Growth Parameters
2.9. Determination of Free Fatty Acid Lipid Extraction and Analysis
2.10. Antioxidant Enzyme Activities
2.11. Photosynthetic Pigments
2.12. AMF Colonization
- n5 = number of fragments noted 5
- n4 = number of fragments noted 4
- n3 = number of fragments noted 3
- n2 = number of fragments noted 2
- n1 = number of fragments noted 1
2.13. Statistical Analysis
3. Results
3.1. Treatment Impact on Some Growth Parameters
3.2. Effect of AMF and Biochar on Fatty Acid Composition
3.3. Impact of AMF and Biochar on Antioxidant Enzyme Activities
3.4. Influence of AMF and Biochar on Photosynthetic Pigments
3.5. Nutrient Uptake of Wheat Plant
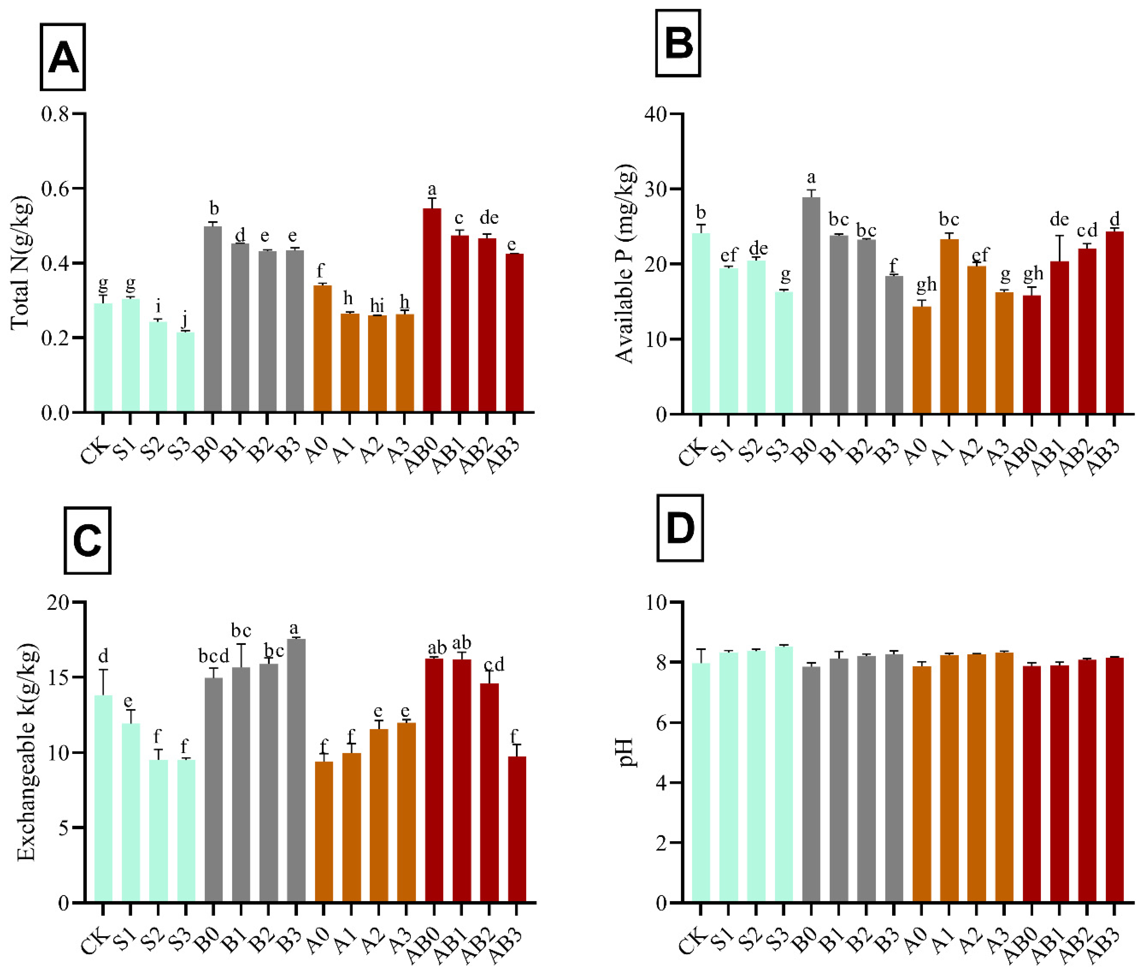
3.6. Influence of AMF and Biochar on Soil Chemical Properties
3.7. AMF Colonization
4. Discussion
5. Conclusions
Author Contributions
Funding
Institutional Review Board Statement
Informed Consent Statement
Data Availability Statement
Acknowledgments
Conflicts of Interest
References
- Umar, K.B. Wheat: Post-Harvest Operations; Agricultural Research Council (PARC): Islamabad, Pakistan; Food and Agriculture Organization of the United Nations (FAO): Rome, Italy, 1999.
- Scott, R.; Jikun, H. China and World Wheat Markets: Assessing Supply, Demand, and Trade in China; Center for Chinese Agricultural Policy: Beijing, China, 1998; Volume 2. [Google Scholar]
- McCance, R.A.; Widdowson, E.M.; Moran, T.; Pringle, W.J.S.; Macrae, T.F. The chemical composition of wheat and rye and flours derived therefrom. Biochem. J. 1945, 39, 213–222. [Google Scholar] [CrossRef] [PubMed] [Green Version]
- Spragg, J. Benefit to Australian grain growers in the feed grain market. In A Report for the Grains Research and Development Corporation; JCS Solutions Pvt Ltd. GRDC: Canberra, Australia, 2008; pp. 26–31. [Google Scholar]
- Gao, L.; Wang, S.D.; Oomah, B.D.; Mazza, G. Wheat quality: Antioxidant activity of wheat millstreams. In Wheat Quality Elucidation; AACC International: St. Paul, MN, USA, 2002; pp. 219–233. [Google Scholar]
- Hazzledine, M.; Pine, A.; Mackinson, I.; Ratcliffe, J.; Salmon, L.; Levels, R.; Staffs, W. Estimating Displacement Ratios of Wheat DDGS in Animal Feed Rations in Great Britain; A working paper (2011–2018) commissioned by the International Council on Clean Transportation; ICCT: Washington, DC, USA, 2011. [Google Scholar]
- Asgari, H.R.; Cornelis, W.; Damme, P.V. Salt stress effect on wheat (Triticum aestivum L.) growth and leaf ion concentrations. Int. J. Plant Prod. 2012, 6, 195–208. [Google Scholar] [CrossRef]
- Bacu, A.; Comashi, K.; Hoxhaj, M.; Ibro, V. GSTF1 gene expression at local Albanian wheat cultivar Dajti under salinity and heat conditions. EuroBiotech J. 2017, 1, 253–257. [Google Scholar] [CrossRef] [Green Version]
- Haq, T.U.; Gorham, J.; Akhtar, J.; Akhtar, N.; Steele, K.A. Dynamic quantitative trait loci for salt stress components on chromosome 1 of rice. Funct. Plant Biol. 2010, 37, 634–645. [Google Scholar] [CrossRef]
- Niamat, B.; Naveed, M.; Ahmad, Z.; Yaseen, M.; Ditta, A.; Mustafa, A.; Rafique, M.; Bibi, R.; Sun, N.; Xu, M. Calcium-Enriched Animal Manure Alleviates the Adverse Effects of Salt Stress on Growth, Physiology and Nutrients Homeostasis of Zea mays L. Plants 2019, 8, 480. [Google Scholar] [CrossRef] [Green Version]
- Guo, Q.; Liu, L.; Barkla, B.J. Membrane Lipid Remodeling in Response to Salinity. Int. J. Mol. Sci. 2019, 20, 4264. [Google Scholar] [CrossRef] [Green Version]
- Mata-Pérez, C.; Sánchez-Calvo, B.; Padilla, M.N.; Begara-Morales, J.C.; Luque, F.; Melguizo, M.; Jiménez-Ruiz, J.; Fierro-Risco, J.; Peñas-Sanjuán, A.; Valderrama, R.; et al. Nitro-Fatty Acids in Plant Signaling: Nitro-Linolenic Acid Induces the Molecular Chaperone Network in Arabidopsis. Plant Physiol. 2015, 170, 686–701. [Google Scholar] [CrossRef]
- Mikami, K.; Murata, N. Membrane fluidity and the perception of environmental signals in cyanobacteria and plants. Prog. Lipid Res. 2003, 42, 527–543. [Google Scholar] [CrossRef]
- Shafi, M.; Bakht, J.; Hassan, M.J.; Raziuddin, M.; Zhang, G. Effect of Cadmium and Salinity Stresses on Growth and Antioxidant Enzyme Activities of Wheat (Triticum aestivum L.). Bull. Environ. Contam. Toxicol. 2009, 82, 772–776. [Google Scholar] [CrossRef]
- Mohammad, Z.A.; Lynne, C.B.; Md-Anamul, H.; Golam, J.A. Effect of soil amendments on antioxidant activity and photosynthetic pigments in pea crops grown in arsenic-contaminated soil. Heliyon 2020, 6, e05475. [Google Scholar]
- Gara, L.D.; Pinto, M.C.; Tommasi, F. The antioxidant systems vis-à-vis reactive species during plant-pathogen interaction. Plant Physiol. Biochem. 2003, 41, 863–870. [Google Scholar] [CrossRef]
- Oyiga, B.C.; Sharma, R.C.; Shen, J.; Baum, M.; Ogbonnaya, F.C.; Léon, J.; Ballvora, A. Identification and Characterization of Salt Tolerance of Wheat Germplasm Using a Multivariable Screening Approach. J. Agron. Crop Sci. 2016, 202, 472–485. [Google Scholar] [CrossRef]
- Evelin, H.; Kapoor, R. Arbuscular mycorrhizal symbiosis modulates antioxidant response in salt-stressed Trigonella foenum-graecum plants. Mycorrhiza 2013, 24, 197–208. [Google Scholar] [CrossRef]
- Cui, Q.; Xia, J.; Yang, H.; Liu, J.; Shao, P. Biochar and effective microorganisms promote Sesbania cannabina growth and soil quality in the coastal saline-alkali soil of the Yellow River Delta, China. Sci. Total Environ. 2021, 756, 143801. [Google Scholar] [CrossRef]
- Tahir, A.; Muhammad, R.; Shafaqat, A.; Muhammad, Z. Effect of biochar on cadmium bioavailability and uptake in wheat (Triticum aestivum L.) growth in a soil with aged contamination. Ecotoxicol. Environ. Saf. 2017, 140, 37–47. [Google Scholar]
- Annunziata, M.G.; Ciarmiello, L.F.; Woodrow, P.; Maximova, E.; Fuggi, A.; Carillo, P. Durum wheat roots adapt to salinity remodelling the cellular content of nitrogen metabolites and sucrose. Front. Plant Sci. 2017, 7, 2035. [Google Scholar] [CrossRef] [Green Version]
- Ndiate, N.I.; Saeed, Q.; Haider, F.U.; Liqun, C.; Nkoh, J.N.; Mustafa, A. Co-Application of Biochar and Arbuscular mycorrhizal Fungi Improves Salinity Tolerance, Growth and Lipid Metabolism of Maize (Zea mays L.) in an Alkaline Soil. Plants 2021, 10, 2490. [Google Scholar] [CrossRef] [PubMed]
- Walkley, A.; Black, D.R. An examination of the digestion method for determination soil organic matter and proposed modification of the chronic acid titration method. Soil Sci. 1935, 37, 29–38. [Google Scholar] [CrossRef]
- Jackson, M.L. Soil Chemical Analysis; Prentice Hall: New Delhi, India, 1973. [Google Scholar]
- Olsen, S.R.; Sommers, L.E. Phosphorus; American Society of Agronomy: Madison, WI, USA, 1982; pp. 403–430. [Google Scholar]
- Mia, S.; Uddin, N.; Hossain, S.A.A.M.; Amin, R.; Mete, F.Z.; Hiemstra, T. Production of biochar for soil application: A comparative study of three kiln models. Pedosphere 2015, 25, 696–702. [Google Scholar] [CrossRef]
- Nelson, D.W.; Sommers, L.E. Total Carbon, Organic Carbon, and Organic Matter. In Methods of Soil Analysis Part 3—Chemical Methods; SSSA Book Series; Soil Science Society of America, Inc.: Madison, WI, USA, 1996; pp. 961–1010. [Google Scholar]
- Sparks, D.L.; Page, A.L.; Helmke, P.A.; Loeppert, R.H.; Soltanpour, P.N.; Tabatabai, M.A.; Johnston, C.T.; Summer, M.E. Methods of Soil Analysis, Parts 2 and 3 Chemical Analysis; Soil Science Society of America Inc.: Madison, WI, USA, 1996. [Google Scholar]
- Association of Official Agricultural Chemists. Official Methods of Analysis, 10th ed.; AOAC: Washington, WA, USA, 1965; pp. 308, 764, 757. [Google Scholar]
- Gerdemann, J.W.A.; Nicolson, T.H. Species of mycorrhizal endogone species extracted from soil by wet sieving and decanting method. Trans. Br. Mycol. Soc. 1963, 46, 235–246. [Google Scholar] [CrossRef]
- Giovanetti, M.; Mosse, B. An evaluation of techniques for measuring vesicular mycorrhizal infection in roots. New Phytol. 1980, 97, 447–453. [Google Scholar] [CrossRef]
- Hariadi, Y.; Marandon, K.; Tian, Y.; Jacobsen, S.-E.; Shabala, S. Ionic and osmotic relations in quinoa (Chenopodium quinoa Willd.) plants grown at various salinity levels. J. Exp. Bot. 2010, 62, 185–193. [Google Scholar] [CrossRef] [PubMed] [Green Version]
- Xu, Y.; Siegenthaler, P.A. Low Temperature Treatments Induce an Increase in the Relative Content of Both Linolenic and Δ3-trans-Hexadecenoic Acids in Thylakoid Membrane Phosphatidylglycerol of Squash Cotyledons. Plant Cell Physiol. 1997, 38, 611–618. [Google Scholar] [CrossRef] [Green Version]
- Beauchamp, C.O.; Fridovich, I. Isozymes of superoxide dismutase from wheat germ. BBA Protein Struct. 1973, 317, 50–64. [Google Scholar] [CrossRef]
- Maehly, A.C.; Chance, B. The assay of catalases and peroxidases. Methods Biochem. Anal. 1954, 1, 357–424. [Google Scholar] [CrossRef]
- Arnon, D.I. Copper Enzymes in Isolated Chloroplasts. Polyphenoloxidase in Beta vulgaris. Plant Physiol. 1949, 24, 1–15. [Google Scholar] [CrossRef] [PubMed] [Green Version]
- Khan, M.Y.; Haque, M.M.; Molla, A.H.; Rahman, M.M.; Alam, M.Z. Antioxidant compounds and minerals in tomatoes by Trichoderma-enriched biofertilizer and their relationship with the soil environments. J. Integr. Agric. 2017, 16, 691–703. [Google Scholar] [CrossRef]
- Philips, J.M.; Hayman, D.A. Improved Procedures for Clearing Roots and Staining Parasitic and Vesicu-lar-Arbuscular Mycorrhizal Fungi for Rapid Assessment of Infection. Trans. Br. Mycol. Soc. 1970, 55, 158–161. [Google Scholar] [CrossRef]
- Trouvelot, A.; Kough, J.L.; Gianinazzi-Pearson, V. Mesure du taux de mycorhization VA d’un systeme radi- culaire. Recherche de methods d’estimation ayant une signification fonctionnelle. In Physiological and Genetical Aspects of Mycorrhizae; Gianinazzi-Pearson, V., Gianinazzi, S., Eds.; INRA: Paris, France, 1986; pp. 217–221. [Google Scholar]
- Mehari, Y.; Elad, D.; Rav-David, E.R.; Graber, Y.M.H. Induced systemic resistance in tomato (Solanum Lycopersicum) against Botrytis cinerea by biochar amendment involves jasmonic acid signaling. Plant Soil. 2015, 395, 31–44. [Google Scholar] [CrossRef]
- Abeer, H.; Abd_Allah, E.F.; Alqarawi, A.A.; Al-Huqail, A.A.; Shah, M.A. Induction of Osmoregulation and Modulation of Salt Stress in Acacia gerrardii Benth. by Arbuscular Mycorrhizal Fungi and Bacillus subtilis (BERA 71). BioMed Res. Int. 2016, 2016, 6294098. [Google Scholar]
- Bohnert, H.J.; Nelson, D.E.; Jensen, D.G. Adaptations to environmental stresses. Plant Cell 1995, 7, 1099–1111. [Google Scholar] [CrossRef] [PubMed]
- Ben Ammar, W.; Nouairi, I.; Zarrouk, M.; Jemal, F. Cadmium stress induces changes in the lipid composition and biosynthesis in tomato (Lycopersicon esculentum Mill.) leaves. Plant Growth Regul. 2007, 53, 75–85. [Google Scholar] [CrossRef]
- Rao, D.; Chaitanya, K.V. Photosynthesis and antioxidative defense mechanisms in deciphering drought stress tolerance of crop plants. Biol. Plant. 2016, 60, 201–218. [Google Scholar] [CrossRef]
- Ved, P.; Sukhbir, S. Potential of Biochar Application to mitigate Salinity stress in Eggplant. HortScience 2020, 55, 1946–1955. [Google Scholar]
- Sui, N.; Wang, Y.; Liu, S.; Yang, Z.; Wang, F.; Wan, S. Transcriptomic and Physiological Evidence for the Relationship between Unsaturated Fatty Acid and Salt Stress in Peanut. Front. Plant Sci. 2018, 9, 7. [Google Scholar] [CrossRef] [Green Version]
- Kim, H.-S.; Kim, K.-R.; Yang, J.E.; Ok, Y.S.; Owens, G.; Nehls, T.; Wessolek, G.; Kim, K.-H. Effect of biochar on reclaimed tidal land soil properties and maize (Zea mays L.) response. Chemosphere 2016, 142, 153–159. [Google Scholar] [CrossRef]
- Haider, F.U.; Coulter, J.A.; Cai, L.; Hussain, S.; Alam Cheema, S.; Wu, J.; Zhang, R. An overview on biochar production, its implications, and mechanisms of biochar-induced amelioration of soil and plant characteristics. Pedosphere 2021, 32, 107–130. [Google Scholar] [CrossRef]
- Saifullah; Dahlawi, S.; Naeem, A.; Rengel, Z.; Naidu, R. Biochar application for the remediation of salt-affected soils: Challenges and opportunities. Sci. Total Environ. 2018, 625, 320–335. [Google Scholar] [CrossRef]
- Chakraborty, K.; Bhaduri, D.; Meena, H.N.; Kalariya, K. External potassium (K+) application improves salinity tolerance by promoting Na+-exclusion, K+-accumulation and osmotic adjustment in contrasting peanut cultivars. Plant Physiol. Biochem. 2016, 103, 143–153. [Google Scholar] [CrossRef]
- Abbas, T.; Rizwan, M.; Ali, S.; Adrees, M.; Zia-Ur-Rehman, M.; Qayyum, M.F.; Ok, Y.S.; Murtaza, G. Effect of biochar on alleviation of cadmium toxicity in wheat (Triticum aestivum L.) grown on Cd-contaminated saline soil. Environ. Sci. Pollut. Res. 2017, 25, 25668–25680. [Google Scholar] [CrossRef]
- Agbna, G.; Ali, A.; Bashir, A.; Eltoum, F.; Hassan, M. Influence of biochar amendment on soil water characteristics and crop growth enhancement under salinity stress; Works Kambohwell Publishers Enterprise. Int. J. Eng. 2017, 4, 49–54. [Google Scholar]
- Farhangi-Abriz, S.; Torabian, S. Biochar Increased Plant Growth-Promoting Hormones and Helped to Alleviates Salt Stress in Common Bean Seedlings. J. Plant Growth Regul. 2017, 37, 591–601. [Google Scholar] [CrossRef]
- Ali, S.; Rizwan, M.; Qayyum, M.F.; Ok, Y.S.; Ibrahim, M.; Riaz, M.; Arif, M.S.; Hafeez, F.; Al-Wabel, M.I.; Shahzad, A.N. Biochar soil amendment on alleviation of drought and salt stress in plants: A critical review. Environ. Sci. Pollut. Res. Int. 2017, 24, 12700–12712. [Google Scholar] [CrossRef] [PubMed]
- Lashari, M.S.; Ye, Y.; Ji, H.; Li, L.; Kibue, G.W.; Lu, H.; Zheng, J.; Pan, G. Biochar-manure compost in conjunction with pyroligneous solution alleviated salt stress and improved leaf bioactivity of maize in a saline soil from central China: A 2-year field experiment. J. Sci. Food Agric. 2014, 95, 1321–1327. [Google Scholar] [CrossRef]
- Thomas, S.C.; Frye, S.; Gale, N.; Garmon, M.; Launchbury, R.; Machado, N.; Melamed, S.; Murray, J.; Petroff, A.; Winsborough, C. Biochar mitigates negative effects of salt additions on two herbaceous plant species. J. Environ. Manag. 2013, 129, 62–68. [Google Scholar] [CrossRef] [PubMed]
- Zheng, H.; Wang, X.; Chen, L.; Wang, Z.; Xia, Y.; Zhang, Y.; Wang, H.; Luo, X.; Xing, B. Enhanced growth of halophyte plants in biochar-amended coastal soil: Roles of nutrient availability and rhizosphere microbial modulation. Plant Cell Environ. 2017, 41, 517–532. [Google Scholar] [CrossRef]
- Milla, E.B.; Rivera, W.J.; Huang, C.C.; Chien, Y.M. Wang Agronomic properties and characterization of rice husk and wood biochars and their effect on the growth of water spinach in a field test. J. Soil Sci. Plant Nutr. 2013, 13, 251–266. [Google Scholar]
- Cheng, S.; Yang, Z.; Wang, M.; Song, J.; Sui, N.; Fan, H. Salinity improves chilling resistance in Suaeda salsa. Acta Physiol. Plant. 2014, 36, 1823–1830. [Google Scholar] [CrossRef]
- Allakhverdiev, S.; Nishiyama, Y.; Suzuki, I.; Tasaka, Y.; Murata, N. Genetic engineering of the unsaturation of fatty acids in membrane lipids alters the tolerance of Synechocystis to salt stress. Proc. Natl. Acad. Sci. USA 1999, 96, 5862–5867. [Google Scholar] [CrossRef] [Green Version]
- Thakur, S.; Singh, L.; Zularisam, A.W.; Sakinah, M.; Din, M.F.M. Lead-induced oxidative stress and alteration in the activities of antioxidative enzymes in rice shoots. Biol. Plant. 2017, 61, 595–598. [Google Scholar] [CrossRef]
- Hashem, A.; Kumar, A.; Al-Dbass, A.M.; Alqarawi, A.A.; Al-Arjani, A.B.F.; Singh, G.; Abd_Allah, E.F. Arbuscular mycorrhizal fungi and biochar improve drought tolerance in chickpea. Saudi J. Biol. Sci. 2019, 26, 614–624. [Google Scholar] [CrossRef] [PubMed]
- Akhtar, S.S.; Andersen, M.N.; Liu, F. Biochar mitigates salinity stress in potato. J. Agron. Crop Sci. 2015, 201, 368–378. [Google Scholar] [CrossRef]
- Li, Z.; Wu, N.; Meng, S.; Wu, F.; Liu, T. Arbuscular mycorrhizal fungi (AMF) enhance the tolerance of Euonymus maackii Rupr. at a moderate level of salinity. PLoS ONE 2020, 15, e0231497. [Google Scholar] [CrossRef] [PubMed]
- Juniper, S.; Abbott, L.K. Soil salinity delays germination and limits the growth of hyphae from propagules of arbuscular mycorrhizal fungi. Mycorrhiza 2006, 16, 371–379. [Google Scholar] [CrossRef] [PubMed]
- Allakhverdiev, S.I.; Kinoshita, M.; Inaba, M.; Suzuki, I.; Murata, N. Unsaturated fatty acids in membrane lipids protect the photosynthetic machinery against salt-induced damage in Synechoccus. Plant Physiol. 2001, 125, 1842–1853. [Google Scholar] [CrossRef] [PubMed] [Green Version]
- Alqarawi, A.A.; Abd Allah, E.F.; Hashem, A. Alleviation of salt-induced adverse impact via mycorrhizal fungi in Ephedra aphylla Forssk. J. Plant Inter. 2014, 9, 802–810. [Google Scholar] [CrossRef] [Green Version]
- Ndiaye, I.N.; Cai, L.Q.; Jackson, N.N. Importance of soil amendments with biochar and/or Arbuscular Mycorrhizal fungi to mitigate aluminum toxicity in tamarind (Tamarindus indica L.) on an acidic soil: A greenhouse study. Heliyon 2022, 8, e09009. [Google Scholar] [CrossRef]
- Pooja, S.; Rajesh, K. Soil salinity: A serious environmental issue and plant growth-promoting bacteria as one of the tools for its alleviation. Saudi J. Biol. Sci. 2015, 22, 123–131. [Google Scholar]
- Major, J.; Rondon, M.; Molina, D.; Riha, S.J.; Lehmann, J. Maize yield and nutrition during 4 years after biochar application to a Colombian savanna oxisol. Plant Soil 2010, 333, 117–128. [Google Scholar] [CrossRef]
- Mau, A.E.; Utami, S.R. Effects of biochar amendment and arbuscular mycorrhizal fungi inoculation on availability of soil phosphorus and growth of maize. J. Degrad. Min. Lands Manag. 2014, 1, 69–74. [Google Scholar]
- Haider, F.U.; Farooq, M.; Hussain, S.; Cheema, S.A.; Ain, N.U.; Virk, A.L.; Ejaz, M.; Janyshova, U.; Liqun, C. Biochar application for the remediation of trace metals in contaminated soils: Implications for stress tolerance and crop production; update. Ecotoxicol. Environ. Saf. 2022, 230, 113165. [Google Scholar] [CrossRef] [PubMed]
- Haider, F.U.; Coulter, J.A.; Cheema, S.A.; Farooq, M.; Wu, J.; Zhang, R.; Shuaijie, G.; Liqun, C. Co-application of biochar and microorganisms improves soybean performance and remediate cadmium-contaminated soil. Ecotoxicol. Environ. Saf. 2021, 214, 112112. [Google Scholar] [CrossRef] [PubMed]






| Acronyms | Significance |
|---|---|
| CK | 0 mM NaCl without soil amendment |
| S1 | 50 mM NaCl alone |
| S2 | 100 mM NaCl alone |
| S3 | 150 mM NaCl alone |
| B0 | biochar treatment alone |
| B1 | 50 mM NaCl + biochar |
| B2 | 100 mM NaCl + biochar |
| B3 | 150 mM NaCl + biochar |
| A0 | AMF inoculation alone |
| A1 | 50 mM NaCl + AMF |
| A2 | 100 mM NaCl + AMF |
| A3 | 150 mM NaCl + AMF |
| AB0 | AMF + biochar |
| AB1 | 50 mM NaCl + AMF + biochar |
| AB2 | 100 mM NaCl + AMF + biochar |
| AB3 | 150 mM NaCl + AMF + biochar |
| Treatment | Fatty Acids (mol %) | ||||||||
|---|---|---|---|---|---|---|---|---|---|
| C14:0 | C16:0 | C16:1 | C18:0 | C18:1 | C18:2 | C18:3 | C20:0 | C22:0 | |
| CK | 1.51 ± 0.11 fg | 11.32 ± 0.99 e | 0.76 ± 0.09 a | 11.01 ± 0.01 c | 11.01 ± 0.004 abc | 28.09 ± 1.02 ab | 30.14 ± 0.26 cde | 2.27 ± 0.07 e | 2.17 ± 0.09 f |
| S1 | 2.21 ± 0.27 bc | 14.36 ± 0.22 bc | 0.67 ± 0.17 b | 13.12 ± 1.10 b | 10.76 ± 0.09 abcd | 25.13 ± 1 d | 23.86 ± 1.10 ghi | 3.77 ± 0.1 d | 3.68 ± 0.06 abcd |
| S2 | 2.30 ± 0.38 b | 15.30 ± 0.05 ab | 0.49 ± 0.05 bcd | 12.67 ± 0.09 b | 10.02 ± 0.01 d | 24.34 ± 1 d | 24.98 ± 4.26 fghi | 3.44 ± 0.11 d | 4.56 ± 1.19 a |
| S3 | 3.36 ± 0.22 a | 16.29 ± 1.05 a | 0.39 ± 0.04 cd | 15.33 ± 0.98 a | 9.13 ± 0.99 e | 22.17 ± 1 e | 22.59 ± 1.90 hi | 5.22 ± 0.11 a | 4.61 ± 0.78 a |
| B0 | 1.77 ± 0.05 def | 12.26 ± 0.78 de | 0.64 ± 0.05 ab | 10.93 ± 0.95 c | 10.77 ± 0.1 abcd | 27.78 ± 0.67 ab | 34.91 ± 4.10 bc | 2.28 ± 0.05 e | 2.26 ± 0.16 ef |
| B1 | 1.77 ± 0.2 defg | 13.21 ± 0.19 cd | 0.51 ± 0.09 bcd | 11.24 ± 0.99 c | 11.34 ± 1.01 a | 26.36 ± 0.03 abcd | 28.19 ± 1.06 defg | 3.63 ± 0.90 d | 2.23 ± 0.94 f |
| B2 | 1.86 ± 0.17 cdef | 14.42 ± 0.88 bc | 0.34 ± 0.02 d | 11.34 ± 0.09 c | 10.44 ± 0.11 bcd | 26.33 ± 0.9 abcd | 25.27 ± 0.94 efghi | 2.66 ± 0.12 e | 2.66 ± 1.09 def |
| B3 | 1.81 ± 0.29 cdef | 15.17 ± 0.05 ab | 0.49 ± 0.09 bcd | 11.58 ± 0.07 c | 10.40 ± 0.16 bcd | 27.98 ± 1.99 ab | 28.50 ± 0.15 defg | 2.72 ± 0.24 e | 3.51 ± 0.22 abcd |
| A0 | 1.56 ± 0.39 efg | 12.17 ± 0.05 de | 0.68 ± 0.09 ab | 11.16 ± 1.01 c | 11.20 ± 0.05 ab | 28.40 ± 0.97 a | 29.13 ± 0.17 def | 2.40 ± 0.12 e | 2.30 ± 0.08 ef |
| A1 | 1.20 ± 0.15 g | 13.60 ± 0.05 c | 0.51 ± 0.17 bcd | 10.50 ± 1.11 c | 11.19 ± 0.06 ab | 27.37 ± 1.05 abc | 27.25 ± 3.97 efgh | 3.43 ± 0.14 d | 3.44 ± 0.04 abcde |
| A2 | 1.47 ± 0.31 fg | 13.74 ± 0.01 c | 0.33 ± 0.02 d | 10.35 ± 0.01 c | 10.21 ± 0.05 cd | 25.42 ± 0.99 cd | 21.65 ± 0.99 i | 4.11± 0.40 bcd | 3.87 ± 0.96 abc |
| A3 | 2.08 ± 0.18 bcd | 13.87 ± 0.11 c | 0.51 ± 0.22 bcd | 10.81 ± 0.05 c | 10.32 ± 0.1 cd | 24.42 ± 0.82 d | 21.19 ± 0.39 i | 4.52± 0.41 abc | 4.29 ± 0.06 ab |
| AB0 | 1.97 ± 0.08 bcde | 13.30 ± 1.39 cde | 0.67 ± 0.001 ab | 10.36 ± 0.14 c | 10.66 ± 0.1 abcd | 26.35 ± 0.61 abcd | 29.72 ± 0.15 def | 2.32 ± 0.11 e | 2.29 ± 0.16 ef |
| AB1 | 1.97 ± 0.15 bcde | 11.59 ± 0.56 e | 0.51 ± 0.10 bcd | 10.33 ± 0.11 c | 10.37 ± 0.1 bcd | 27.65 ± 1.52 ab | 32.63 ± 2.93 bcd | 3.84 ± 1.01 cd | 2.28 ± 0.05 ef |
| AB2 | 1.86 ± 0.10 cdef | 13.56 ± 0.008 c | 0.48 ± 0.16 bcd | 10.60 ± 0.24 c | 10.38 ± 0.33 bcd | 26.13 ± 1.52 bcd | 34.45 ± 5.29 bc | 3.69 ± 0.16 d | 2.90 ± 0.08 cdef |
| AB3 | 1.56 ± 0.01 efg | 14.32 ± 1.003 bc | 0.57 ± 0.05 abc | 10.36 ± 0.09 c | 10.18 ± 0.94 cd | 27.50 ± 1.16 abc | 39.56 ± 3.27 a | 4.65 ± 0.48 ab | 3.33 ± 1 bcdef |
Publisher’s Note: MDPI stays neutral with regard to jurisdictional claims in published maps and institutional affiliations. |
© 2022 by the authors. Licensee MDPI, Basel, Switzerland. This article is an open access article distributed under the terms and conditions of the Creative Commons Attribution (CC BY) license (https://creativecommons.org/licenses/by/4.0/).
Share and Cite
Ndiate, N.I.; Zaman, Q.u.; Francis, I.N.; Dada, O.A.; Rehman, A.; Asif, M.; Goffner, D.; Kane, A.; Liqun, C.; Haider, F.U. Soil Amendment with Arbuscular Mycorrhizal Fungi and Biochar Improves Salinity Tolerance, Growth, and Lipid Metabolism of Common Wheat (Triticum aestivum L.). Sustainability 2022, 14, 3210. https://doi.org/10.3390/su14063210
Ndiate NI, Zaman Qu, Francis IN, Dada OA, Rehman A, Asif M, Goffner D, Kane A, Liqun C, Haider FU. Soil Amendment with Arbuscular Mycorrhizal Fungi and Biochar Improves Salinity Tolerance, Growth, and Lipid Metabolism of Common Wheat (Triticum aestivum L.). Sustainability. 2022; 14(6):3210. https://doi.org/10.3390/su14063210
Chicago/Turabian StyleNdiate, Ndiaye Ibra, Qamar uz Zaman, Imade Nosakahre Francis, Oyeyemi Adigun Dada, Abdul Rehman, Muhammad Asif, Deborah Goffner, Aboubacry Kane, Cai Liqun, and Fasih Ullah Haider. 2022. "Soil Amendment with Arbuscular Mycorrhizal Fungi and Biochar Improves Salinity Tolerance, Growth, and Lipid Metabolism of Common Wheat (Triticum aestivum L.)" Sustainability 14, no. 6: 3210. https://doi.org/10.3390/su14063210
APA StyleNdiate, N. I., Zaman, Q. u., Francis, I. N., Dada, O. A., Rehman, A., Asif, M., Goffner, D., Kane, A., Liqun, C., & Haider, F. U. (2022). Soil Amendment with Arbuscular Mycorrhizal Fungi and Biochar Improves Salinity Tolerance, Growth, and Lipid Metabolism of Common Wheat (Triticum aestivum L.). Sustainability, 14(6), 3210. https://doi.org/10.3390/su14063210

