Effect of Consecutive Application of Phosphorus-Enriched Biochar with Different Levels of P on Growth Performance of Maize for Two Successive Growing Seasons
Abstract
:1. Introduction
2. Materials and Methods
2.1. Analysis of Experimental Soil
2.2. Feedstock Collection, Preparation of Biochar, and Its Analysis
2.3. Enrichment of Biochar
2.4. Spring Maize
2.5. Determination of Crop Parameters and Analysis of Post-Harvest Soil
2.6. Second Pot Trial
2.7. Statistical Analysis
3. Results
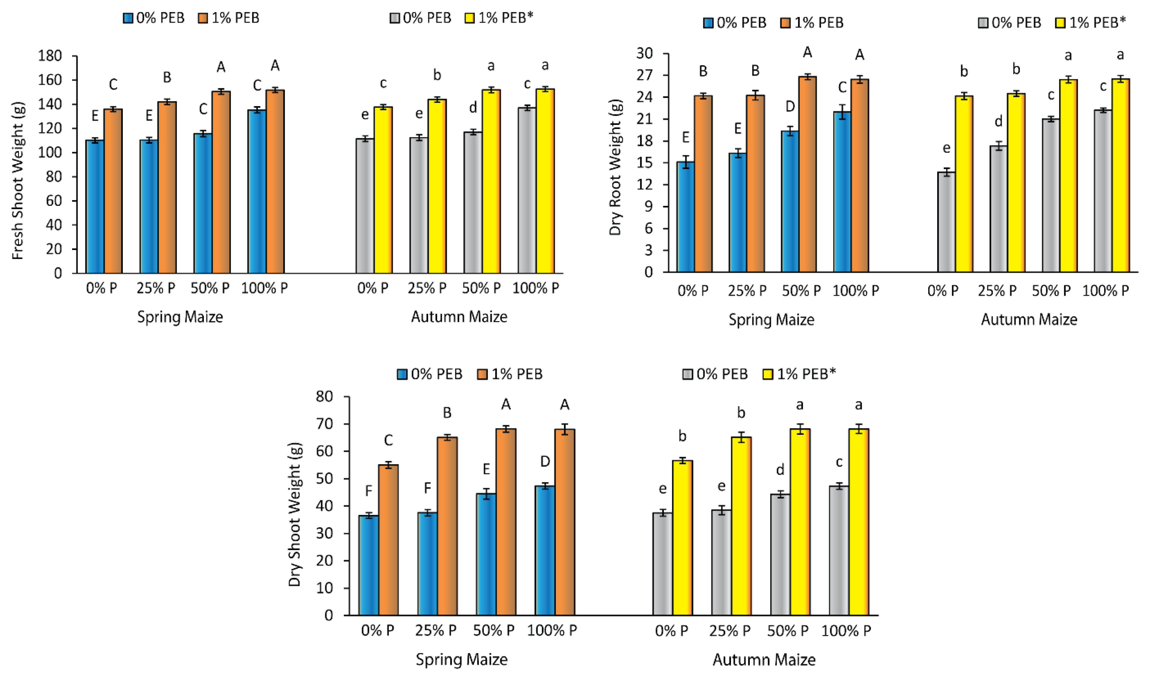
3.1. Effects of Application of PEB and Different Levels of P on Growth
3.2. Effects of Application of PEB and the Split Dose of P on Yield
3.3. Effect of Application of PEB and the Split Dose of P on Physiological and Chemical Parameters
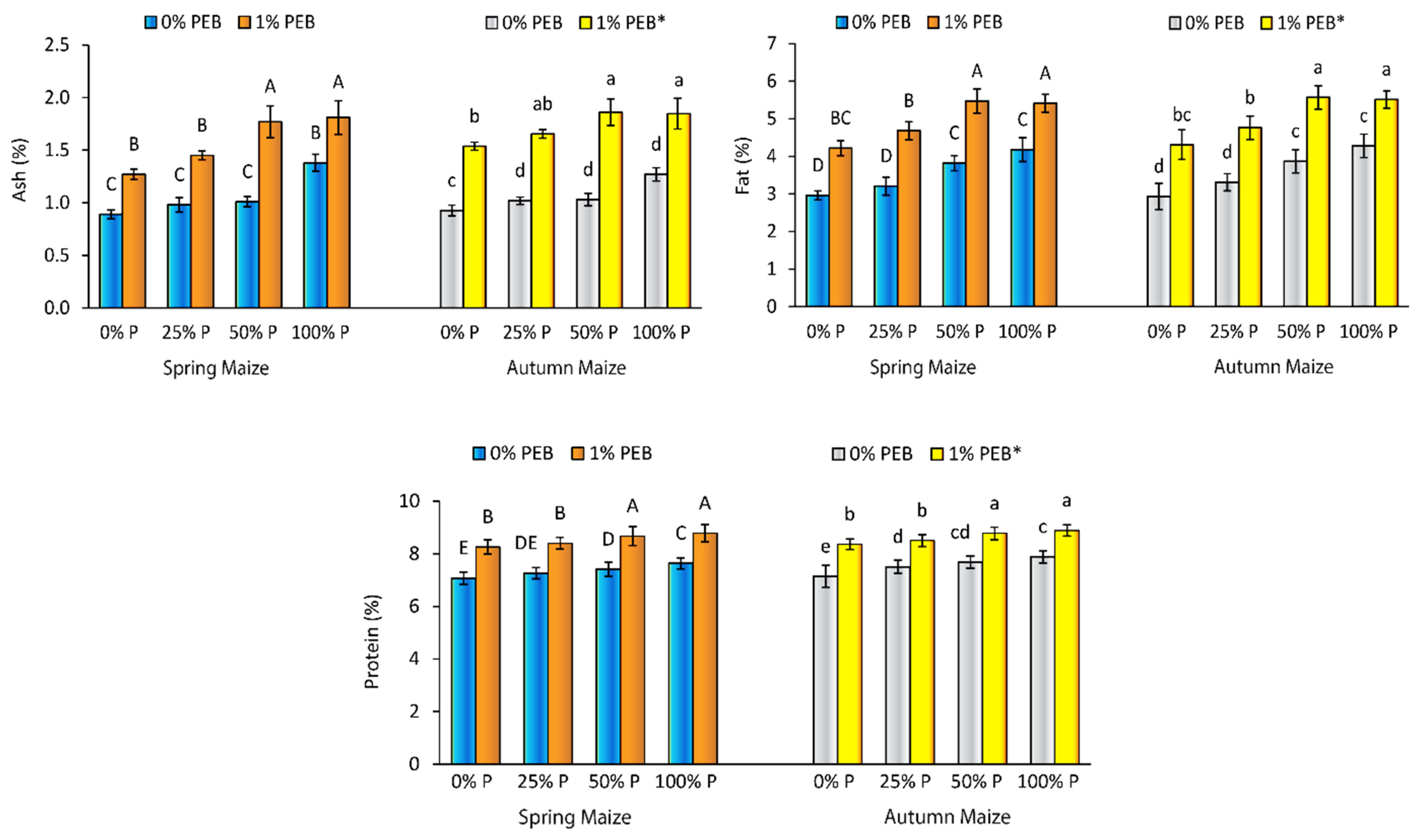
3.4. Effect of Application of PEB and Split Dose of P on Grain Quality
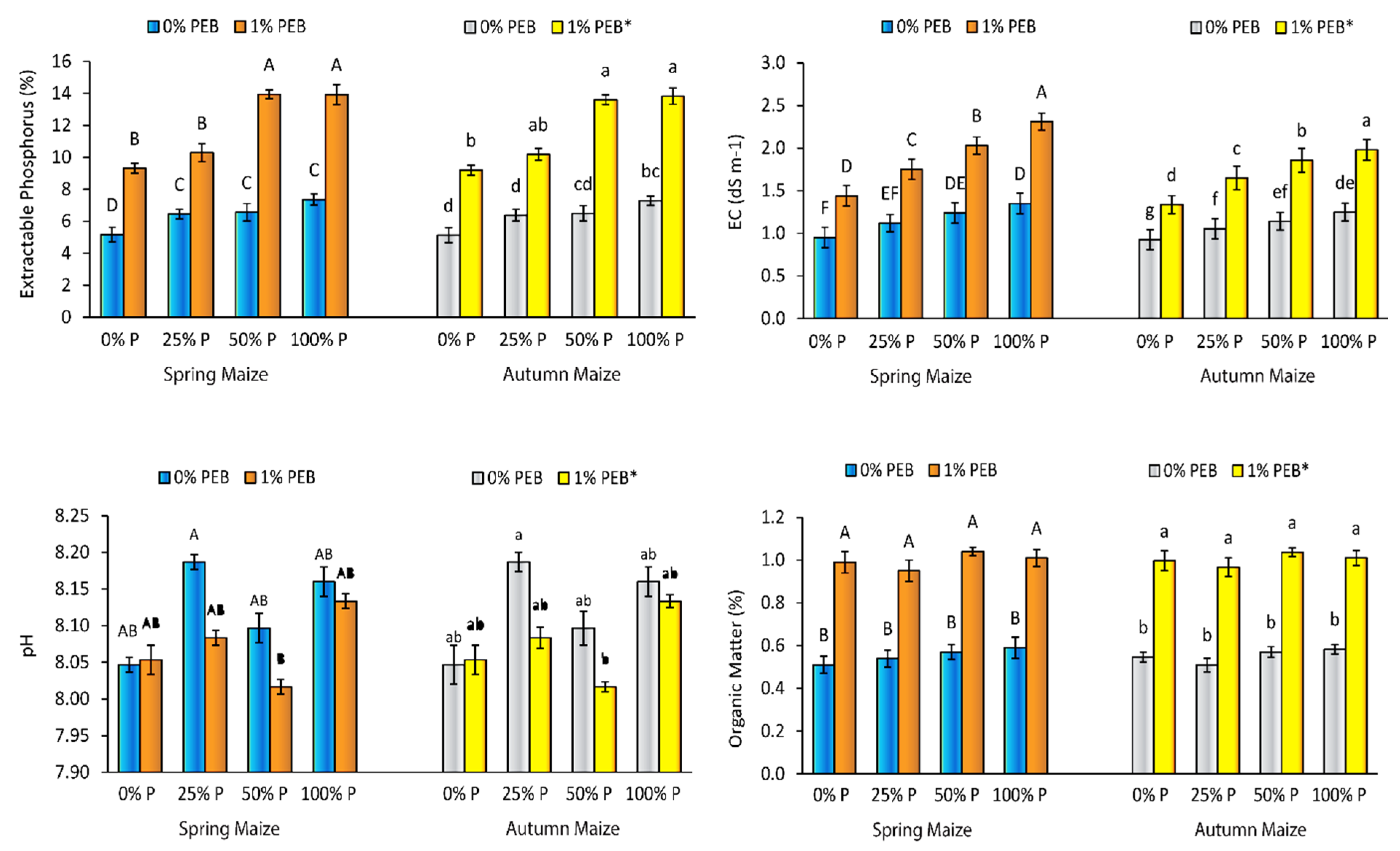
3.5. Post-Harvest Soil Analysis
4. Discussion
4.1. Impact of Application of PEB and Split Dose of P on Growth of Maize
4.2. Impact of Application of PEB and Split Dose of P on Yield of Maize
4.3. Impact of Application of PEB and Split Dose of P on Chlorophyll Contents and Shoot N and P Contents
4.4. Impact of Application of PEB and Split Dose of P on the Grain Quality
4.5. Impact of Application of PEB and Split Dose of P on Some Selected Properties of Post-Harvest Soil
5. Conclusions
Author Contributions
Funding
Acknowledgments
Conflicts of Interest
References
- Pei, G.; Wang, Q.; Liu, G. The role of periphyton in phosphorus retention in shallow lakes with different trophic status, China. Aquatic Bot. 2015, 125, 17–22. [Google Scholar] [CrossRef] [Green Version]
- Li, R.; Wang, J.J.; Zhou, B.; Awasthi, M.K.; Ali, A.; Zhang, Z.; Lahori, A.H.; Mahar, A. Recovery of phosphate from aqueous solution by magnesium oxide decorated magnetic biochar and its potential as a phosphate-based fertilizer substitute. Bioresour. Technol. 2016, 215, 209–214. [Google Scholar] [CrossRef] [PubMed] [Green Version]
- Chung, C.E.; Ramanathan, V.; Decremer, D. Observationally constrained estimates of carbonaceous aerosol radiative forcing. Proc. Natl. Acad. Sci. USA 2012, 109, 11624–11629. [Google Scholar] [CrossRef] [PubMed] [Green Version]
- Jacobson, M.Z. Effects of biomass burning on climate, accounting for heat and moisture fluxes, black and brown carbon, and cloud absorption effect. J. Geophys. Res. Atmos. 2014, 119, 8980–9002. [Google Scholar] [CrossRef]
- Steffen, W.; Richardson, K.; Rockström, J.; Cornell, S.E.; Fetzer, I.; Bennett, E.M.; Biggs, R.; Carpenter, S.R.; De Vries, W.; De Wit, C.A.; et al. Planetary boundaries: Guiding human development on a changing planet. Science 2015, 347, 1259855. [Google Scholar] [CrossRef] [Green Version]
- Li, H.; Li, Y.; Xu, Y.; Lu, X. Biochar phosphorus fertilizer effects on soil phosphorus availability. Chemosphere 2020, 244, 125471. [Google Scholar] [CrossRef]
- Cordell, D.; Turner, A.; Chong, J. The hidden cost of phosphate fertilizers: Mapping multi-stakeholder supply chain risks and impacts from mine to fork. Glob. Chang. Peace Secur. 2015, 27, 323–343. [Google Scholar] [CrossRef]
- Reitzel, K.; Bennett, W.W.; Berger, N.; Brownlie, W.J.; Bruun, S.; Christensen, M.L.; Cordell, D.; Van Dijk, K.; Egemose, S.; Eigner, H.; et al. New training to meet the global phosphorus challenge. Environ. Sci. Technol. 2019, 53, 8479–8481. [Google Scholar] [CrossRef]
- Withers, P.J.A.; Forber, K.G.; Lyon, C.; Rothwell, S.; Doody, D.G.; Jarvie, H.P.; Martin-Ortega, J.; Jacobs, B.; Cordell, D.; Patton, M.; et al. Towards resolving the phosphorus chaos created by food systems. Ambio 2020, 49, 1076–1089. [Google Scholar] [CrossRef] [Green Version]
- Johnston, A.E.; Poulton, P.R. Phosphorus in Agriculture: A Review of Results from 175 Years of Research at Rothamsted, UK. J. Environ. Qual. 2019, 48, 1133–1144. [Google Scholar] [CrossRef] [Green Version]
- Zanao, L.A.; Arf, O.; Reis, R.A., Jr.; Pereira, N. Phosphorus fertilization with enhanced efficiency in soybean and corn crops. Aus. J. Crop Sci. 2020, 14, 78–84. [Google Scholar] [CrossRef]
- Hinsinger, P.; Brauman, A.; Devau, N.; Gérard, F.; Jourdan, C.; Laclau, J.P.; Le Cadre, E.; Jaillard, B.; Plassard, C. Acquisition of phosphorus and other poorly mobile nutrients by roots. Where do plant nutrition models fail? Plant Soil 2011, 348, 29–61. [Google Scholar] [CrossRef]
- DeLonge, M.; Vandecar, K.L.; D’Odorico, P.; Lawrence, D. The impact of changing moisture conditions on short-term P availability in weathered soils. Plant Soil 2013, 365, 201–209. [Google Scholar] [CrossRef]
- Fink, J.R.; Inda, A.V.; Bavaresco, J.; Sánchez-Rodríguez, A.R.; Barrón, V.; Torrent, J.; Bayer, C. Diffusion and uptake of phosphorus, and root development of corn seedlings, in three contrasting subtropical soils under conventional tillage or no-tillage. Biol. Fertil. Soils 2015, 52, 203–210. [Google Scholar] [CrossRef]
- Sharma, R.; Bella, R.W.; Wong, M.T.F. Dissolved reactive phosphorus played a limited role in phosphorus transport via runoff, throughflow and leaching on contrasting cropping soils from southwest Australia. Sci. Total Environ. 2017, 577, 33–44. [Google Scholar] [CrossRef]
- Simmonds, B.; McDowell, R.W.; Condron, L.M. The effect of soil moisture extremes on the pathways and forms of phosphorus lost in runoff from two contrasting soil types. Soil Res. 2017, 55, 19–27. [Google Scholar] [CrossRef]
- Weeks, J.J.; Hettiarachchi, G.M. A review of the latest in phosphorus fertilizer technology: Possibilities and pragmatism. J. Environ. Qual. 2019, 48, 1300–1313. [Google Scholar] [CrossRef] [Green Version]
- Pela, A.; Bento, R.U.; Crispim, L.B.R.; Reis, R.A., Jr. Enhanced efficiency of phosphorus fertilizer in soybean and maize. Aust. J. Crop Sci. 2019, 13, 1638–1642. [Google Scholar] [CrossRef]
- Chagas, W.F.T.; Guelfi, D.R.; Emrich, E.B.; Silveira, M.T.P.; Caputo, A.L.C.C.; Andrade, A.B.; Soares, L.S. Agronomic characteristics of lettuce grown with monoammonium phosphate in sandy soil. Commun. Soil Sci. Plant Anal. 2017, 48, 1–8. [Google Scholar] [CrossRef]
- Guelfi, D.R.; Chagas, W.F.T.; Lacerda, J.R.; Chagas, R.M.R.; Souza, T.L.; Andrade, A.B. Monoammonium phosphate coated with polymers and magnesium for coffee plants. Ciência E Agrotecnologia 2018, 42, 261–270. [Google Scholar] [CrossRef] [Green Version]
- Ndirangu, S.M.; Liu, Y.; Xu, K.; Song, S. Risk Evaluation of pyrolyzed biochar from multiple wastes. J. Chem. 2019, 2019, 4506314. [Google Scholar] [CrossRef] [Green Version]
- Schimmelpfennig, S.; Glaser, B. One step forward toward characterization: Some important material properties to distinguish biochars. J. Environ. Qual. 2012, 41, 1001–1013. [Google Scholar] [CrossRef] [PubMed] [Green Version]
- Verheijen, F.G.; Jones, R.J.; Rickson, R.J.; Smith, C.J. Tolerable versus actual soil erosion rates in Europe. Earth-Sci. Rev. 2009, 94, 23–38. [Google Scholar] [CrossRef] [Green Version]
- Wang, J.; Wang, S. Preparation, modification and environmental application of biochar: A review. J. Clean. Prod. 2019, 227, 1002–1022. [Google Scholar] [CrossRef]
- Wang, S.; Dai, G.; Yang, H.; Luo, Z. Lignocellulosic biomass pyrolysis mechanism: A state-of-the-art review. Prog. Energy Combust. Sci. 2017, 62, 33–86. [Google Scholar] [CrossRef]
- Kavitha, B.; Reddy, P.V.L.; Kim, B.; Lee, S.S.; Pandey, S.K.; Kim, K.H. Benefits and limitations of biochar amendment in agricultural soils: A review. J. Environ. Manag. 2018, 227, 146–154. [Google Scholar] [CrossRef]
- El-Naggar, A.; Lee, S.S.; Rinklebe, J.; Farooq, M.; Song, H.; Sarmah, A.K.; Zimmerman, A.R.; Ahmad, M.; Shaheen, S.M.; Ok, Y.S. Biochar application to low fertility soils: A review of current status, and future prospects. Geoderma 2019, 337, 536–554. [Google Scholar] [CrossRef]
- Malyan, S.K.; Kumar, S.S.; Fagodiya, R.K.; Ghosh, P.; Kumar, A.; Singh, R.; Singh, L. Biochar for environmental sustainability in the energy-water-agroecosystem nexus. Renew. Sustain. Energy Rev. 2021, 149, 111379. [Google Scholar] [CrossRef]
- Mona, S.; Malyan, S.K.; Saini, N.; Deepak, B.; Pugazhendhi, A.; Kumar, S.S. Towards sustainable agriculture with carbon sequestration, and greenhouse gas mitigation using algal biochar. Chemosphere 2021, 275, 129856. [Google Scholar] [CrossRef]
- Shen, Y.; Song, S.; Thian, B.W.Y.; Fong, S.L.; Ee, A.W.L.; Arora, S.; Ghosh, S.; Li, S.F.Y.; Tan, H.T.W.; Dai, Y.; et al. Impacts of biochar concentration on the growth performance of a leafy vegetable in a tropical city and its global warming potential. J. Clean. Prod. 2020, 264, 121678. [Google Scholar] [CrossRef]
- Song, S.; Arora, S.; Laserna, A.K.C.; Shen, Y.; Thian, B.W.Y.; Cheong, J.C.; Tan, J.K.N.; Chiam, Z.; Fong, S.L.; Ghosh, S.; et al. Biochar for urban agriculture: Impacts on soil chemical characteristics and on Brassica rapa growth, nutrient content and metabolism over multiple growth cycles. Sci. Total Environ. 2020, 727, 138742. [Google Scholar] [CrossRef] [PubMed]
- Kizito, S.; Luo, H.; Lu, J.; Bah, H.; Dong, R.; Wu, S. Role of nutrient-enriched biochar as a soil amendment during maize growth: Exploring practical alternatives to recycle agricultural residuals and to reduce chemical fertilizer demand. Sustainability 2019, 11, 3211. [Google Scholar] [CrossRef] [Green Version]
- Weichen, L.; Ling, Q.; Weiwei, L.; Xin, Z.; Qi, W.; Haiyang, J.; Beijiu, C.; Huan, M.; Zhengyan, W. A potential Mg-enriched biochar fertilizer: Excellent slow-release performance and release mechanism of nutrients. Sci. Total Environ. 2021, 768, 144454. [Google Scholar] [CrossRef]
- González, M.E.; Cea, M.; Medina, J.; González, A.; Diez, M.C.; Cartes, P.; Monreal, C.; Navia, R. Evaluation of biodegradable polymers as encapsulating agents for the development of a urea controlled-release fertilizer using biochar as support material. Sci. Total Environ. 2015, 505, 446–453. [Google Scholar] [CrossRef] [PubMed]
- Gwenzi, W.; Nyambishi, T.J.; Chaukura, N.; Mapope, N. Synthesis and nutrient release patterns of a biochar-based N–P–K slow-release fertilizer. Int. J. Environ. Sci. Technol. 2015, 15, 405–414. [Google Scholar] [CrossRef]
- Wali, F.; Naveed, M.; Bashir, M.A.; Asif, M.; Ahmad, Z.; Alkahtani, J.; Alwahibi, M.S.; Elshikh, M.S. Formulation of biochar-based phosphorus fertilizer and its impact on both soil properties and chickpea growth performance. Sustainability 2020, 12, 9528. [Google Scholar] [CrossRef]
- Walkley, A. A critical examination of a rapid method for determining organic carbon in soils: Effect of variations in digestion conditions and of organic soil constituents. Soil Sci. 1947, 63, 251–263. [Google Scholar] [CrossRef]
- Keeney, D.R.; Nelson, D.N. Nitrogen-Inorganic Forms. In Methods of Soil Analysis; Page, A.L., Miller, R.H., Keeney, D.R., Eds.; SSSA/ASA: Madison, WI, USA, 1982; pp. 643–698. [Google Scholar]
- Olsen, S.R.; Cole, C.V.; Watanabe, F.S.; Dean, L.A. Estimation of Available Phosphorus in Soils by Extraction with Sodium Bicarbonate; US Department of Agriculture: Washington, DC, USA, 1954. [Google Scholar]
- Leoppert, R.H.; Hallmark, C.T.; Koshy, M.M. Routine procedure for rapid determination of soil carbonates. Soil Sci. Soc. Am. J. 1984, 48, 1030–1033. [Google Scholar] [CrossRef]
- da Silva Veiga, P.A.; Schultz, J.; da Silva Matos, T.T.; Fornari, M.R.; Costa, T.G.; Meurer, L.; Mangrich, A.S. Production of high-performance biochar using a simple and low-cost method: Optimization of pyrolysis parameters and evaluation for water treatment. J. Anal. Appl. Pyrolysis 2020, 148, 2370. [Google Scholar] [CrossRef]
- Rajkovich, S.; Enders, A.; Hanley, K.; Hyland, C.; Zimmerman, A.R.; Lehmann, J. Corn growth and nitrogen nutrition after additions of biochars with varying properties to a temperate soil. Biol. Fertil. Soils 2012, 48, 271–284. [Google Scholar] [CrossRef]
- Wolf, B. The comprehensive system of leaf analysis and its use for diagnosing crop nutrient status. Commun. Soil Sci. Plant Anal. 1982, 13, 1035–1059. [Google Scholar] [CrossRef]
- Bradford, M.M. A rapid and sensitive method for quantification of microgram quantities of protein utilizing the principle of dye binding. Anal. Chem. 1995, 72, 248–254. [Google Scholar]
- AOAC. Official Methods of Analysis of the Association of Official’s Analytical Chemists, 17th ed.; Association of Official Analytical Chemists: Arlington, VA, USA, 2003. [Google Scholar]
- James, G.S. Analytical Chemistry of Foods; Blackie Academic and Professional: London, UK, 1995; pp. 117–120. [Google Scholar]
- Jackson, M.L. Soil Chemical Analysis; Prentice-Hall Inc.: Englewood Clips, NJ, USA, 1958; Volume 85, pp. 251–252. [Google Scholar]
- Rashid, A. Mapping Zinc Fertility of Soils Using Indicator Plants and Soils-Analyses. Ph.D. Thesis, University of Hawaii, Honolulu, HI, USA, 1986. [Google Scholar]
- Little, T.M.; Hills, F.J. Agricultural Experimentation: Design and Analysis (No. 630.72 L5); Wiley & Sons: New York, NY, USA, 1978. [Google Scholar]
- Bell, L.C.; Black, C.A. Transformation of dibasic calcium phosphate di-hydrate and octa-calcium phosphate in slightly acid and alkaline soils. Soil Sci. Soc. Am. J. 2013, 34, 583–587. [Google Scholar] [CrossRef]
- Jiang, J.; Yuan, M.; Xu, R.; Bish, D.L. Mobilization of phosphate in variable-charge soils amended with biochars derived from crop straws. Soil Tillage Res. 2015, 146, 139–147. [Google Scholar] [CrossRef]
- Qayyum, M.F.; Ashraf, I.; Abid, M.; Steffens, D. Effect of biochar, lime, and compost application on phosphorus adsorption in a ferralsol. J. Plant Nutr. Soil Sci. 2015, 178, 576–581. [Google Scholar] [CrossRef]
- Hiemstra, T.; Mia, S.; Duhaut, P.B.; Molleman, B. Natural and pyrogenic humic acids at goethite and natural oxide surfaces interacting with phosphate. Environ. Sci. Technol. 2013, 47, 9182–9189. [Google Scholar] [CrossRef]
- Schneider, F.; Haderlein, S.B. Potential effects of biochar on the availability of phosphorus –mechanistic insights. Geoderma 2016, 277, 83–90. [Google Scholar] [CrossRef]
- Zhang, H.; Chen, C.; Gray, E.M.; Boyd, S.E.; Yang, H.; Zhang, D. Roles of biochar in improving phosphorus availability in soils: A phosphate adsorbent and a source of available phosphorus. Geoderma 2016, 276, 1–6. [Google Scholar] [CrossRef]
- Fox, A.; Kwapinski, W.; Griffiths, B.S.; Schmalenberger, A. Biochar-induced growth promotion of Lolium perenne. F.E.M.S. Microbiol. Ecol. 2014, 90, 78–91. [Google Scholar] [CrossRef] [Green Version]
- Deb, D.; Kloft, M.; Lässig, J.; Walsh, S. Variable effects of biochar and P solubilizing microbes on crop productivity in different soil conditions. Agroecol. Sustain. Food Syst. 2016, 40, 145–168. [Google Scholar] [CrossRef]
- Liu, X.; Zhang, A.; Ji, C.; Joseph, S.; Bian, R.; Li, L.; Pan, G.; Paz-Ferreiro, J. Biochar’s effect on crop productivity and the dependence on experimental conditions-A meta-analysis of literature data. Plant Soil 2013, 377, 583–594. [Google Scholar] [CrossRef]
- Omondi, M.O.; Xia, X.; Nahayo, A.; Liu, X.; Korai, P.K.; Pan, G. Quantification of biochar effects on soil hydrological properties using meta-analysis of literature data. Geoderma 2016, 274, 28–34. [Google Scholar] [CrossRef]
- Graber, E.; Harel, Y.M.; Kolton, M.; Cytryn, E.; Silber, A.; David, D.R.; Tsechansky, L.; Borenshtein, M.; Elad, Y. Biochar impact on development and productivity of pepper and tomato grown in fertigated soilless media. Plant Soil 2010, 337, 481–496. [Google Scholar] [CrossRef]
- Viger, M.; Hancock, R.D.; Miglietta, F.; Taylor, G. More plant growth but less plant defense? First global gene expression data for plants grown in soil amended with biochar. Gcb Bioenergy 2015, 7, 658–672. [Google Scholar] [CrossRef]
- Lou, Y.; Joseph, S.; Li, L.; Graber, E.R.; Liu, X.; Pan, G. Water extract from straw biochar used for plant growth promotion: An initial test. Bio. Res. 2016, 11, 249–266. [Google Scholar] [CrossRef] [Green Version]
- Niu, Y.; Luo, J.; Liu, D.; Müller, C.; Zaman, M.; Lindsey, S.; Ding, W. Effect of biochar and nitrapyrin on nitrous oxide and nitric oxide emissions from a sandy loam soil cropped to maize. Biol. Fertil. Soils 2018, 54, 645–658. [Google Scholar] [CrossRef]
- Rizwan, M.; Ali, S.; Qayyum, M.F.; Ibrahim, M.; Zia-Ur-Rehman, M.; Abbas, T.; Ok, Y.S. Mechanisms of biochar-mediated alleviation of toxicity of trace elements in plants: A critical review. Environ. Sci. Pollut. Res. 2016, 23, 2230–2248. [Google Scholar] [CrossRef]
- Lyu, P.; Wang, J.; Geng, S.; Sun, H.; Wang, X. Effects of nitrogen application on photosynthetic characteristics and nitrogen use efficiency in wheat after rice. Agric. Sci. Technol. 2017, 18, 771–776. [Google Scholar]
- Cui, Z.L.; Zhang, F.S.; Chen, X.P.; Miao, Y.X.; Li, J.L.; Shi, L.W.; Xu, J.F.; Ye, Y.L.; Liu, C.S.; Yang, Z.P. On-farm estimation of indigenous nitrogen supply for site-specific nitrogen management in the North China plain. Nutr. Cycl. Agroecosyst. 2008, 81, 37–47. [Google Scholar] [CrossRef]
- Lehmann, J.; Joseph, S. Biochar for environmental management: An introduction. In Biochar for Environmental Management: Science and Technology; Lehmann, J., Joseph, S., Eds.; Earthscan: London, UK, 2009; pp. 1–12. [Google Scholar]
- Riaz, M.; Roohi, M.; Arif, M.S.; Hussain, Q.; Yasmeen, T.; Shahzad, T.; Shahzad, S.M.; Muhammad, H.F.; Arif, M.; Khalid, M. Corncob-derived biochar decelerates mineralization of native and added organic matter (AOM) in organic matter depleted alkaline soil. Geoderma 2017, 294, 19–28. [Google Scholar] [CrossRef]
- Arif., M.; Ilyas, M.; Riaz, M.; Ali, K.; Shahd, K.; Haq, I.; Fahad., S. Biochar improves phosphorus use efficiency of organic-inorganic fertilizers, maize-wheat productivity and soil quality in a low fertility alkaline soil. Field Crops Res. 2017, 214, 25–37. [Google Scholar] [CrossRef]
- Glaser, B.; Lehmann, J.; Zech, W. Ameliorating physical and chemical properties of highly weathered soils in the tropics with charcoal: A review. Biol. Fertil. Soils 2002, 35, 219–230. [Google Scholar] [CrossRef]
- Lehmann, J.; Pereira da Silva, J.; Steiner, C.; Nehls, T.; Zech, W.; Glaser, B. Nutrient availability and leaching in an archaeological anthrosol and a ferralsol of the central Amazon Basin: Fertilizer, manure and charcoal amendments. Plant Soil 2003, 249, 343–357. [Google Scholar] [CrossRef]
- Xu, G.; Wei, L.L.; Sun, J.N.; Shao, H.B.; Chang, S.X. What is more important for enhancing nutrient bioavailability with biochar application into a sandy soil: Direct or indirect mechanism? Ecol. Eng. 2013, 52, 119–124. [Google Scholar] [CrossRef]
- Castro, G.S.A.; Crusciol, C.A.C. Effects of surface application of dolomitic limestone and calcium-magnesium silicate on soybean and maize in rotation with green manure in a tropical region. Bragantia 2015, 74, 311–321. [Google Scholar] [CrossRef] [Green Version]
- Fadlalla, H.A.; Abukhlaif, H.A.A.; Mohamed, S.S. Effects of chemical and bio-fertilizers on yield, yield components and grain quality of maize (Zea mays L.). Afr. J. Agric. Res. 2016, 11, 4654–4660. [Google Scholar]
- Chauhan, N.; Sankhyan, N.K.; Sharma, R.P.; Singh, J.; Gourav. Effect of long-term application of inorganic fertilizers, farmyard manure and lime on wheat (Triticum aestivum L.) productivity, quality and nutrient content in an acid alfisol. J. Plant Nutr. 2020, 43, 2569–2578. [Google Scholar] [CrossRef]
- Zafar, M.; Rahim, N.; Shaheen, A.; Khaliq, A.; Arjamand, T.; Jamil, M. Effect of combining poultry manure, inorganic phosphorus fertilizers and phosphate solubilizing bacteria on growth, yield, protein content and P uptake in maize. Adv. Agric. Bot. 2011, 3, 46–58. [Google Scholar]
- Liu, J.; Liang, B.; Liu, S.; Zhang, G.; Yuan, M. Effects of long-term fertilization on grain quality of summer maize. Adv. J. Food Sci. Technol. 2016, 11, 33–39. [Google Scholar] [CrossRef]
- Thakur, A.; Sharma, R.P.; Sankhyan, N.K.; Sepehya, S.; Kumar, R. Long-term effect of fertilizers and amendments on maize productivity and relationship of soil health parameters with quality traits of maize grains under mid hills sub humid conditions of Himachal Pradesh. Him. J. Agric. Res. 2019, 45, 25–30. [Google Scholar]
- Karforma, J.; Ghosh, M.; Ghosh, D.C.; Mandal, S. Effect of integrated nutrient management on growth, yield, quality and economics of fodder maize in rainfed upland of Terai region of West Bengal. Int. J. Agric. Environ. Biotechnol. 2012, 5, 419–427. [Google Scholar]
- Nwite, J.C.; Nwafor, S.O.; Nwangwu, A.O.; Olejeme, O.C. Enhancing soil fertility, maize grain yield and nutrients composition through different planting time and manure sources in farmers’ fields of Southeastern Nigeria. Asian Res. J. Agric. 2018, 10, 1–12. [Google Scholar] [CrossRef]
- Aldalin, H.K.H. Effect of poultry litter on protein, oil and mineral contents of maize (Zea mays L). Adv. Environ. Biol. 2017, 11, 90–94. [Google Scholar]
- Chen, J.; Liu, S.; Jiang, W. Effects of long-term positioning of straw returning on the quality and yield of summer maize. Afr. J. Agric. Res. 2017, 12, 3569–3576. [Google Scholar]
- Mendes, D.O.; Zafra, D.L.; Vassilev, N.B.; Silva, I.R.; Ribeiro, J.I.; Costaa, M.D. Biochar enhances Aspergillus niger rock phosphate solubilization by increasing organic acid production and alleviating fluoride toxicity. Appl. Environ. Microbiol. 2014, 80, 3081–3085. [Google Scholar] [CrossRef] [Green Version]
- Soinne, H.; Hovi, J.; Tammeorg, P.; Turtola, E. Effect of biochar on phosphorus sorption and clay soil aggregate stability. Geoderma 2014, 219, 162–167. [Google Scholar] [CrossRef]
- Gao, S.; Hoffman-Krull, K.; Bidwell, A.L.; DeLuca, T.H. Locally produced wood biochar increases nutrient retention and availability in agricultural soils of the San Juan Islands, USA. Agric. Ecosyst. Environ. 2016, 233, 43–54. [Google Scholar] [CrossRef]
- Naderi, M.; Danesh, S. Nano-fertilizers and their roles in sustainable agriculture. Int. J. Agric. Crop Sci. 2013, 5, 2229–2232. [Google Scholar]
- Atkinson, C.J.; Fitzgerald, J.D.; Hipps, N.A. Potential mechanisms for achieving agricultural benefits from biochar application to temperate soils: A review. Plant Soil 2010, 337, 1–18. [Google Scholar] [CrossRef]
- Abel, S.; Peters, A.; Trinks, S.; Schonsky, H.; Facklam, M. Impact of biochar and hydrochar addition on water retention and water repellency of sandy soil. Geoderma 2013, 202, 183–191. [Google Scholar] [CrossRef]
- Biederman, L.A.; Harpole, W.S. Biochar and its effects on plant productivity and nutrient cycling: A meta-analysis. Glob. Chang. Biol. Bioener. 2013, 5, 202–214. [Google Scholar] [CrossRef]
- Warnock, D.D.; Lehmann, J.; Kuyper, T.W.; Rillig, M.C. Mycorrhizal responses to biochar in soil concepts and mechanisms. Plant Soil 2007, 300, 9–20. [Google Scholar]
- Chan, K.; Zwieten, L.V.; Meszaros, I.; Downie, A.; Joseph, S. Agronomic values of green-waste biochar as a soil amendment. Soil Res. 2008, 45, 629–634. [Google Scholar] [CrossRef]
- Steven, F.V.; Kenar, J.A.; Thompson, A.R.; Peterson, S.C. Comparison of biochars derived from wood pellets and pelletized wheat straw as replacements for peat in potting substrate. Ind. Crops Prod. 2013, 51, 437–443. [Google Scholar]
- Jose., A.A.; Calero, J.M.; Barrón, V.; Torrent, J.; Carmen del Campillo, M.; Gallardo, A.; Villar, R. Effects of biochars produced from different feedstocks on soil properties and sunflower growth. J. Plant Nutr. Soil Sci. 2014, 177, 16–25. [Google Scholar]
- Ahmad, M.; Lee, S.S.; Dou, X.; Mohan, D.; Sung, J.; Yang, J.E. Effects of pyrolysis temperature on soybean stover- and peanut shell-derived biochar properties and TCE adsorption in water. Bioresour. Technol. 2012, 118, 536–544. [Google Scholar] [CrossRef]
- Cantrell, K.B.; Hunt, P.G.; Uchimiya, M.; Novak, J.M.; Ro, K.S. Impact of pyrolysis temperature and manure source on physicochemical characteristics of biochar. Bioresour. Technol. 2012, 107, 419–428. [Google Scholar] [CrossRef]
- Brodowski, S.; John, B.; Flessa, H.; Amelung, W. Aggregate-occulated black carbon in soil. Eur. J. Soil Sci. 2006, 57, 539–546. [Google Scholar] [CrossRef]
- Chang, C.H.; Lehmann, J.; Thies, J.E.; Burton, S.D.; Engelhard, M.H. Oxidation of black carbon by biotic and antibiotic processes. Org. Geochem. 2006, 37, 1477–1488. [Google Scholar] [CrossRef]







| Properties | Unit | Value/Description | |
|---|---|---|---|
| Experimental soil used in pot trials | Sand | % | 35.6 |
| Silt | % | 38.3 | |
| Clay | % | 25.3 | |
| Textural class | - | Sandy clay loam | |
| pH | - | 8.10 | |
| EC | dS m−1 | 0.61 | |
| CaCO3 | % | 3.34 | |
| Total N | % | 0.08 | |
| Organic Matter | % | 0.56 | |
| Extractable P | mg kg−1 | 4.01 | |
| Biochar used for the enrichment | EC | dS m−1 | 1.98 |
| pH | - | 7.97 | |
| Ca | g kg−1 | 7.20 | |
| Mg | g kg−1 | 5.08 | |
| N | g kg−1 | 11.4 | |
| P | g kg−1 | 3.04 | |
| K | g kg−1 | 30.03 |
Publisher’s Note: MDPI stays neutral with regard to jurisdictional claims in published maps and institutional affiliations. |
© 2022 by the authors. Licensee MDPI, Basel, Switzerland. This article is an open access article distributed under the terms and conditions of the Creative Commons Attribution (CC BY) license (https://creativecommons.org/licenses/by/4.0/).
Share and Cite
Wali, F.; Sardar, S.; Naveed, M.; Asif, M.; Nezhad, M.T.K.; Baig, K.S.; Bashir, M.; Mustafa, A. Effect of Consecutive Application of Phosphorus-Enriched Biochar with Different Levels of P on Growth Performance of Maize for Two Successive Growing Seasons. Sustainability 2022, 14, 1987. https://doi.org/10.3390/su14041987
Wali F, Sardar S, Naveed M, Asif M, Nezhad MTK, Baig KS, Bashir M, Mustafa A. Effect of Consecutive Application of Phosphorus-Enriched Biochar with Different Levels of P on Growth Performance of Maize for Two Successive Growing Seasons. Sustainability. 2022; 14(4):1987. https://doi.org/10.3390/su14041987
Chicago/Turabian StyleWali, Farman, Shahid Sardar, Muhammad Naveed, Muhammad Asif, Mohammad Tahsin Karimi Nezhad, Khurram Shehzad Baig, Mohsin Bashir, and Adnan Mustafa. 2022. "Effect of Consecutive Application of Phosphorus-Enriched Biochar with Different Levels of P on Growth Performance of Maize for Two Successive Growing Seasons" Sustainability 14, no. 4: 1987. https://doi.org/10.3390/su14041987
APA StyleWali, F., Sardar, S., Naveed, M., Asif, M., Nezhad, M. T. K., Baig, K. S., Bashir, M., & Mustafa, A. (2022). Effect of Consecutive Application of Phosphorus-Enriched Biochar with Different Levels of P on Growth Performance of Maize for Two Successive Growing Seasons. Sustainability, 14(4), 1987. https://doi.org/10.3390/su14041987

