Decoupling Regional Economic Growth from Industrial CO2 Emissions: Empirical Evidence from the 13 Prefecture-Level Cities in Jiangsu Province
Abstract
:1. Introduction
2. Literature Review
3. Methodology and Data Sources
3.1. Estimation of ICEs
3.2. Tapio Decoupling Model
3.3. LMDI Model
3.4. Data Sources
4. Results and Discussions
4.1. Situation Analysis of ICEs in Jiangsu
4.1.1. Situation Analysis of ICEs in Southern Jiangsu, Middle Jiangsu and Northern Jiangsu
4.1.2. Situation Analysis of ICEs in 13 Prefecture-Level Cities in Jiangsu
4.2. Decoupling Analysis of EG and ICEs
4.2.1. Decoupling Analysis of EG and ICEs in Jiangsu at the Region Level
4.2.2. Decoupling Analysis of EG and ICEs at the Prefecture City Level
4.3. Decomposition Analysis of the Driving Forces of EG and ICEs
4.3.1. Analysis of the Main Driving Forces in Jiangsu
4.3.2. Analysis of the Main Driving Factors in Southern Jiangsu, Middle Jiangsu and Northern Jiangsu
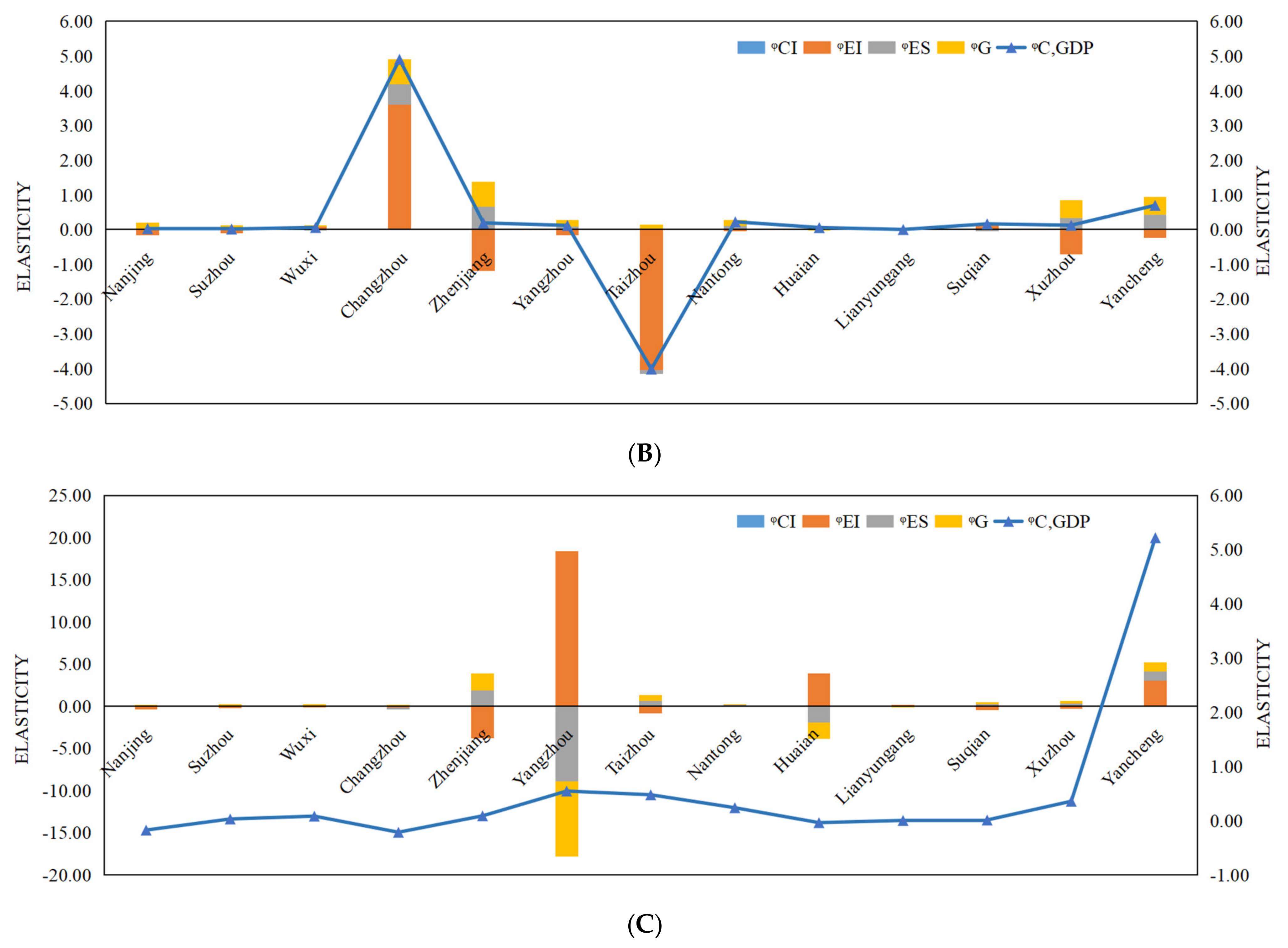
4.3.3. Analysis of the Main Driving Factors in 13 Prefecture-Level Cities in Jiangsu
- (1)
- Energy intensity effect
- (2)
- Energy structure effect
- (3)
- Economic development effect
5. Conclusions
5.1. Research Conclusions
5.2. Policy Recommendations
- (1)
- Transforming the economic development model of the regional and prefecture levels in Jiangsu and optimizing the industrial structure. Jiangsu Province as one of the biggest industrial provinces in China plays an essential role in promoting economic development, while Jiangsu Province is also the one of the most carbon-emitting provinces. According to the research results, economic structure was a very important factor leading to an increase in ICEs during the 12th Five-Year Plan period. Thus, the government should accelerate changes to the EG strategy and advance new industrialization methods.
- (2)
- Improving the energy efficiency and advancing clean production technology. Technological innovation and technological introduction are the core aspects of improving energy utilization efficiency. Government departments should actively promote research and development associated with innovative technologies for energy exploitation, transformation and utilization and invest more in these fields to build a technological innovation system that is “market oriented, enterprise oriented and industry-university research based”.
- (3)
- Strengthening government functions and creating a macro energy-saving environment. The government should fully consider the functions of guidance, encouragement and supervision; adhere to strict low-carbon standards; actively perform exchanges and promote cooperation involving advanced ideas and technologies; and encourage enterprises and the masses to participate in low-carbon development. Additionally, the government should promote energy consumption reduction through subsidies, incentives, penalties and tax cuts. Only by building sound policy support and market systems can energy conservation strategies be smoothly and effectively implemented.
5.3. Limitations and Future Research
Author Contributions
Funding
Informed Consent Statement
Data Availability Statement
Acknowledgments
Conflicts of Interest
References
- IEA (International Energy Agency). World Energy Balances and Statistics. 2016. Available online: https://www.iea.org/data-and-statistics?country=CHINAREG&fuel=CO2%20emissions&indicator=CO2%20emissions%20by%20energy%20source (accessed on 9 January 2020).
- JSY (Jiangsu Statistical Yearbook). 2011–2016. The Statistical Yearbook of Jiangsu Province. Available online: http://navi.cnki.net/knavi/YearbookDetail?pcode=CYFD&pykm=YJSTJ (accessed on 9 January 2020).
- OECD (Organization for Economic Co-Operation and Development). Indicators to Measure Decoupling of Environmental Pressure from Economic Growth. Sustainable Development. 2002. Available online: http://www.oecd.org/env/indicators-modelling-outlooks/1933638.pdf (accessed on 9 January 2020).
- Andreoni, V.; Galmarini, S. Decoupling economic growth from carbon dioxide emissions: A decomposition analysis of Italian energy consumption. Energy 2021, 44, 682–691. [Google Scholar] [CrossRef]
- Liaskas, K.; Mavrotas, G.; Mandaraka, M.; Diakoulaki, D. Decomposition of ICEs: The case of European Union. Energy Econ. 2000, 22, 383–394. [Google Scholar] [CrossRef]
- Roinioti, A.; Koroneos, C. The decomposition of CO2 emissions from energy use in Greece before and during the economic crisis and their decoupling from economic growth. Renew. Sustain. Energy Rev. 2017, 76, 448–459. [Google Scholar] [CrossRef]
- Wang, W.; Li, M.; Zhang, M. Study on the changes of the decoupling indicator between energy-related CO2 emission and GDP in China. Energy 2017, 128, 11–18. [Google Scholar] [CrossRef]
- Wu, Y.; Zhu, Q.; Zhu, B. Decoupling analysis of world economic growth and CO2 emissions: A study comparing developed and developing countries. J. Clean. Prod. 2018, 190, 94–103. [Google Scholar] [CrossRef]
- Zhang, M.; Song, Y.; Su, B.; Sun, X. Decomposing the decoupling indicator between the economic growth and energy consumption in China. Energy Effic. 2015, 8, 1231–1239. [Google Scholar] [CrossRef]
- Dong, B.; Zhang, M.; Mu, H.; Su, X. Study on decoupling analysis between energy consumption and economic growth in Liaoning Province. Energy Policy 2016, 97, 414–420. [Google Scholar] [CrossRef]
- Wang, Q.; Wang, S. A comparison of decomposition the decoupling carbon emissions from economic growth in transport sector of selected provinces in eastern, central and western China. J. Clean. Prod. 2019, 229, 570–581. [Google Scholar] [CrossRef]
- Wang, Q.; Jiang, X.T.; Li, R. Comparative decoupling analysis of energy-related carbon emission from electric output of electricity sector in Shandong Province, China. Energy 2017, 127, 78–88. [Google Scholar] [CrossRef]
- Zhou, X.; Zhang, M.; Zhou, M.; Zhou, M. A comparative study on decoupling relationship and influence factors between China’s regional economic development and industrial energy–related carbon emissions. J. Clean. Prod. 2017, 142, 783–800. [Google Scholar] [CrossRef]
- Wang, Q.; Zhao, M.; Li, R. Decoupling sectoral economic output from carbon emissions on city level: A comparative study of Beijing and Shanghai, China. J. Clean. Prod. 2019, 209, 126–133. [Google Scholar] [CrossRef]
- Wang, Z.; Yang, L. Delinking indicators on regional industry development and carbon emissions: Beijing–Tianjin–Hebei economic band case. Ecol. Indic. 2015, 48, 41–48. [Google Scholar] [CrossRef]
- Wang, M.; Feng, C. Decomposition of energy-related CO2 emissions in China: An empirical analysis based on provincial panel data of three sectors. Appl. Energy 2017, 190, 772–787. [Google Scholar] [CrossRef]
- Wang, M.; Feng, C. Decoupling economic growth from carbon dioxide emissions in China’s metal industrial sectors: A technological and efficiency perspective. Sci. Total Environ. 2019, 691, 1173–1181. [Google Scholar] [CrossRef]
- Cao, Z.; Shen, L.; Zhao, J.; Liu, L.; Zhong, S.; Sun, Y.; Yang, Y. Toward a better practice for estimating the CO2 emission factors of cement production: An experience from China. J. Clean. Prod. 2016, 139, 527–539. [Google Scholar] [CrossRef]
- Xie, P.; Gao, S.; Sun, F. An analysis of the decoupling relationship between CO2 emission in power industry and GDP in China based on LMDI method. J. Clean. Prod. 2019, 211, 598–606. [Google Scholar] [CrossRef]
- Tapio, P. Towards a theory of decoupling: Degrees of decoupling in the EU and the case of road traffic in Finland between 1970 and 2001. Transp. Policy 2005, 12, 137–151. [Google Scholar] [CrossRef] [Green Version]
- Diakoulaki, D.; Mandaraka, M. Decomposition analysis for assessing the progress in decoupling industrial growth from CO2 emissions in the EU manufacturing sector. Energy Econ. 2007, 29, 636–664. [Google Scholar] [CrossRef]
- De Freitas, L.C.; Kaneko, S. Decomposing the decoupling of CO2 emissions and economic growth in Brazil. Ecol. Econ. 2011, 70, 1459–1469. [Google Scholar] [CrossRef]
- Zhang, M.; Wang, W. Decouple indicators on the CO2 emission-economic growth linkage: The Jiangsu Province case. Ecol. Indic. 2013, 32, 239–244. [Google Scholar] [CrossRef]
- Zhang, Y.J.; Da, Y.B. The decomposition of energy-related carbon emission and its decoupling with economic growth in China. Renew. Sustain. Energy Rev. 2015, 41, 1255–1266. [Google Scholar] [CrossRef]
- Lu, Q.; Yang, H.; Huang, X.; Chuai, X.; Wu, C. Multi-sectoral decomposition in decoupling industrial growth from carbon emissions in the developed Jiangsu Province, China. Energy 2015, 82, 414–425. [Google Scholar] [CrossRef]
- Chen, J.; Wang, P.; Cui, L.; Huang, S.; Song, M. Decomposition and decoupling analysis of CO2 emissions in OECD. Appl. Energy 2018, 231, 937–950. [Google Scholar] [CrossRef]
- Wang, Q.; Zhao, M.; Li, R.; Su, M. Decomposition and decoupling analysis of carbon emissions from economic growth: A comparative study of China and the United States. J. Clean. Prod. 2018, 197, 178–184. [Google Scholar] [CrossRef]
- Wang, M.; Feng, C. Decomposing the change in energy consumption in China’s nonferrous metal industry: An empirical analysis based on the LMDI method. Renew. Sustain. Energy Rev. 2018, 82, 2652–2663. [Google Scholar] [CrossRef]
- Shuai, C.; Chen, X.; Wu, Y.; Zhang, Y.; Tan, Y. A three-step strategy for decoupling economic growth from carbon emission: Empirical evidences from 133 countries. Sci. Total Environ. 2019, 646, 524–543. [Google Scholar] [CrossRef]
- Wu, Y.; Tam, V.W.; Shuai, C.; Shen, L.; Zhang, Y.; Liao, S. Decoupling China’s economic growth from carbon emissions: Empirical studies from 30 Chinese provinces (2001–2015). Sci. Total Environ. 2019, 656, 576–588. [Google Scholar] [CrossRef]
- Yu, Y.; Zhou, L.; Zhou, W.; Ren, H.; Kharrazi, A.; Ma, T.; Zhu, B. Decoupling environmental pressure from economic growth on city level: The Case Study of Chongqing in China. Ecol. Indic. 2017, 75, 27–35. [Google Scholar] [CrossRef]
- Zhang, M.; Liu, X.; Wang, W.; Zhou, M. Decomposition analysis of CO2 emissions from electricity generation in China. Energy Policy 2013, 52, 159–165. [Google Scholar] [CrossRef]
- Zheng, X.; Wang, R.; He, Q. A city-scale decomposition and decoupling analysis of carbon dioxide emissions: A case study of China. J. Clean. Prod. 2019, 238, 117824. [Google Scholar] [CrossRef]
- Hang, Y.; Wang, Q.; Zhou, D.; Zhang, L. Factors influencing the progress in decoupling economic growth from carbon dioxide emissions in China’s manufacturing industry. Resour. Conserv. Recycl. 2019, 146, 77–88. [Google Scholar] [CrossRef]
- Lin, B.; Ouyang, X. Analysis of energy-related CO2 (carbon dioxide) emissions and reduction potential in the Chinese non-metallic mineral products industry. Energy 2014, 68, 688–697. [Google Scholar] [CrossRef]
- Ma, X.; Wang, C.; Dong, B.; Gu, G.; Chen, R.; Li, Y.; Zou, H.; Zhang, W.; Li, Q. Carbon emissions from energy consumption in China: Its measurement and driving factors. Sci. Total Environ. 2019, 648, 1411–1420. [Google Scholar] [CrossRef]
- Cao, Z.; Shen, L.; Liu, L.; Zhong, S. Analysis on major drivers of cement consumption during the urbanization process in China. J. Clean. Prod. 2016, 133, 304–313. [Google Scholar] [CrossRef]
- Spreafico, C. Quantifying the advantages of TRIZ in sustainability through life cycle assessment. J. Clean. Prod. 2021, 303, 126955. [Google Scholar] [CrossRef]
- Zhang, Y.; Zhang, J.; Yang, Z.; Li, S. Regional differences in the factors that influence China’s energy-related carbon emissions, and potential mitigation strategies. Energy Policy 2011, 39, 7712–7718. [Google Scholar] [CrossRef]
- Lu, I.J.; Lin, S.J.; Lewis, C. Decomposition and decoupling effects of carbon dioxide emission from highway transportation in Taiwan, Germany, Japan and South Korea. Energy Policy 2007, 35, 3226–3235. [Google Scholar] [CrossRef]
- Tan, Z.; Li, L.; Wang, J.; Wang, J. Examining the driving forces for improving China’s CO2 emission intensity using the decomposing method. Appl. Energy 2011, 88, 4496–4504. [Google Scholar] [CrossRef]
- Moutinho, V.; Moreira, A.C.; Silva, P.M. The driving forces of change in energy-related CO2 emissions in Eastern, Western, Northern and Southern Europe: The LMDI approach to decomposition analysis. Renew. Sustain. Energy Rev. 2015, 50, 1485–1499. [Google Scholar] [CrossRef]
- Cansino, J.M.; Sánchez-Braza, A.; Rodríguez-Arévalo, M.L. Driving forces of Spain’s CO2 emissions: A LMDI decomposition approach. Renew. Sustain. Energy Rev. 2015, 48, 749–759. [Google Scholar] [CrossRef]
- Mousavi, B.; Lopez, N.S.A.; Biona, J.B.M.; Chiu, A.S.; Blesl, M. Driving forces of Iran’s CO2 emissions from energy consumption: An LMDI decomposition approach. Appl. Energy 2017, 206, 804–814. [Google Scholar] [CrossRef]
- IPCC. Greenhouse Gas Inventory: IPCC Guidelines for National Greenhouse Gas Inventories; United Kingdom Meteorological Office: Bracknell, UK, 2006.
- CESY (China Energy Statistical Yearbook). 2011–2015. National Bureau of Statistics of China, National Development and Reform Commission. Available online: http://navi.cnki.net/knavi/YearbookDetail?pcode=CYFD&pykm=YCXME (accessed on 9 January 2020).
- CISY (China Industrial Statistical Yearbook). 2010–2015. National Bureau of Statistics of China, National Development and Reform Commission. Available online: http://navi.cnki.net/knavi/YearbookDetail?pcode=CYFD&pykm=YZGJN (accessed on 9 January 2020).
- Wang, Y.; Xie, T.; Yang, S. Carbon emission and its decoupling research of transportation in Jiangsu Province. J. Clean. Prod. 2017, 142, 907–914. [Google Scholar] [CrossRef]
- Wang, M.; Feng, C. Investigating the drivers of energy-related CO2, emissions in china’s industrial sector: From regional and provincial perspectives. Struct. Chang. Econ. Dyn. 2018, 46, 136–147. [Google Scholar] [CrossRef]
- Wang, M.; Feng, C. Exploring the driving forces of energy-related CO2 emissions in China’s construction industry by utilizing production-theoretical decomposition analysis. J. Clean. Prod. 2018, 202, 710–719. [Google Scholar] [CrossRef]














| ΔCE | ΔGDP | ε | Decoupling Type |
|---|---|---|---|
| <0 | >0 | ε < 0 | Strong Decoupling (SD) |
| >0 | >0 | 0.8 ≥ ε > 0 | Weak Decoupling (WD) |
| >0 | >0 | 1.2 ≥ ε > 0.8 | Expansive Connection (EC) |
| >0 | >0 | ε > 1.2 | Expansive Negative Decoupling (END) |
| >0 | <0 | ε < 0 | Strong Negative Decoupling (SND) |
| <0 | <0 | 0.8 ≥ ε > 0 | Weak Negative Decoupling (WND) |
| <0 | <0 | 1.2 ≥ ε > 0.8 | Recessionary Connection (RC) |
| <0 | <0 | ε > 1.2 | Recessionary Decoupling (RD) |
| Region | Year | ∆C/CO2 | ∆GDP/GDP | φC, GDP | State |
|---|---|---|---|---|---|
| Southern Jiangsu | 2011–2013 | 0.273% | −0.62% | −0.4422 | SND |
| 2013–2015 | −0.159% | 1.75% | −0.0912 | SD | |
| 2011–2015 | 0.092% | 1.12% | 0.0819 | WD | |
| Middle Jiangsu | 2011–2013 | −0.878% | 5.36% | −0.1639 | SD |
| 2013–2015 | −0.368% | −7.61% | 0.0483 | WND | |
| 2011–2015 | −1.169% | −2.67% | 0.4384 | WND | |
| Northern Jiangsu | 2011–2013 | 3.680% | 64.91% | 0.0567 | WD |
| 2013–2015 | −2.122% | −29.00% | 0.0891 | WND | |
| 2011–2015 | 0.457% | 17.08% | 0.0268 | WD | |
| Jiangsu | 2011–2013 | 0.001% | 11.41% | 0.5506 | WD |
| 2013–2015 | −0.005% | −7.33% | −0.6144 | SND | |
| 2011–2015 | −0.005% | 3.24% | 1.5171 | END |
Publisher’s Note: MDPI stays neutral with regard to jurisdictional claims in published maps and institutional affiliations. |
© 2022 by the authors. Licensee MDPI, Basel, Switzerland. This article is an open access article distributed under the terms and conditions of the Creative Commons Attribution (CC BY) license (https://creativecommons.org/licenses/by/4.0/).
Share and Cite
Liu, J.; Li, H.; Liu, T. Decoupling Regional Economic Growth from Industrial CO2 Emissions: Empirical Evidence from the 13 Prefecture-Level Cities in Jiangsu Province. Sustainability 2022, 14, 2733. https://doi.org/10.3390/su14052733
Liu J, Li H, Liu T. Decoupling Regional Economic Growth from Industrial CO2 Emissions: Empirical Evidence from the 13 Prefecture-Level Cities in Jiangsu Province. Sustainability. 2022; 14(5):2733. https://doi.org/10.3390/su14052733
Chicago/Turabian StyleLiu, Jingxing, Hailing Li, and Tianqi Liu. 2022. "Decoupling Regional Economic Growth from Industrial CO2 Emissions: Empirical Evidence from the 13 Prefecture-Level Cities in Jiangsu Province" Sustainability 14, no. 5: 2733. https://doi.org/10.3390/su14052733
APA StyleLiu, J., Li, H., & Liu, T. (2022). Decoupling Regional Economic Growth from Industrial CO2 Emissions: Empirical Evidence from the 13 Prefecture-Level Cities in Jiangsu Province. Sustainability, 14(5), 2733. https://doi.org/10.3390/su14052733
