Next Article in Journal
Assessing the Effects of Urban Morphology Parameters on PM2.5 Distribution in Northeast China Based on Gradient Boosted Regression Trees Method
Previous Article in Journal
The Utilization of Modified Zeolite for the Removal of Cs Ions in an Aqueous Solution: Adsorption Capacity, Isotherms, Kinetics and Microscopic Studies
error_outline You can access the new MDPI.com website here. Explore and share your feedback with us.
 
 
Font Type:
Arial Georgia Verdana
Font Size:
Aa Aa Aa
Line Spacing:
Column Width:
Background:
Review

Sustainable Transportation in Practice: A Systematic Quantitative Review of Case Studies

1
Erivan K. Haub School of Business, Saint Joseph’s University, Philadelphia, PA 19131, USA
2
Kogod School of Business, American University, Washington, DC 20016, USA
3
College of Business, Penn State Mont Alto, Mont Alto, PA 17237, USA
4
Frank G. Zarb School of Business, Hofstra University, Hempstead, NY 11549, USA
*
Author to whom correspondence should be addressed.
Sustainability 2022, 14(5), 2617; https://doi.org/10.3390/su14052617
Submission received: 22 December 2021 / Revised: 14 February 2022 / Accepted: 17 February 2022 / Published: 24 February 2022

Abstract

:
After the COVID-19 pandemic and the spectrum of new climate change disruptions in the supply chain, a holistic approach towards sustainable transportation is needed. Sustainable transportation could benefit sustainable development from different angles; reduced traffic deaths, increased share of renewable energy, higher quality of transport-related infrastructure, increased satisfaction with public transportation, increased responsible consumption and production, and reduced fossil fuel consumption. This study is an attempt to show whereon the scholars were focused previously and where the focus needs to be more on. This study has reviewed 358 case studies and categorized them into twenty groups based on the transportation mode and eleven groups based on the authors’ primary areas of concern. Keyword analysis followed by topics modeling showed three non-overlapping trends in the cohort. The results, with a corroboratory investigation on the benefits of the United States’ infrastructure bill, were discussed in four categories: in-vehicle improvements, built-environment elements, human factors, and planning and regulations.

1. Introduction

There is a 12 to 15 Gigaton (Gt) gap in 2030 emissions to limit the global warming to 2 °C and an almost 30 Gt gap to limit to 1.5 °C above pre-industrial levels [1]. The world, now more than ever, feels an urgent need to move towards the Paris Agreement commitments to avoid climate change impacts. We have seen globally introduced so-called green infrastructure programs, entailing transportation [2]. In the United States, the “H.R.3684—Infrastructure Investment and Jobs Act” also known as “the Infrastructure Deal” will invest $110 billion of new funds “with a focus on climate change mitigation, resilience, equity, and safety for all users [3].” As of writing this article, the Dow Jones Transportation index (average) has experienced a more than 80% increase from its low point in the middle of March 2020 at the beginning of the pandemic.
Transportation after the serious impacts of the COVID-19 pandemic, both on travel behavior and transportation infrastructure [4], by adopting a holistic approach [5] could play into reaching sustainable development goals and make up for the lost time [6]. Sustainable transportation in this regard could benefit sustainable development from different angles and various sustainable development goals (SDGs):
  • Reduced traffic deaths (of SDG 3)
  • Increased share of renewable energy (of SDG 7)
  • Decent work and economic growth (SDG8)
  • Higher quality of transport-related infrastructure (of SDG 9)
  • Increased satisfaction with public transportation (of SDG 11)
  • Increased responsible consumption and production (SDG 12)
  • Reduced fossil fuel consumption (of SDG 13)
This study is an attempt to facilitate what Jiron and Carrasco described as a “radical shift” to “adapting to interdisciplinary ways of understanding mobility and designing mobility alternatives that are based on experience-based knowledge, mediated with other forms of knowledge” [7]. This study, unlike other reviews, provides readers with a review of case studies, many of which happened to be neglected. A case study virtually shows authors’ penchant to argue the functionality of their findings in promoting sustainable transportation. In this work, all the reviewed authors either have indicated the direct benefits of their works to sustainable transportation or have imparted an incorporated perspective to the applicability of their findings in the realm of sustainable transportation.
The rest of the paper is dedicated to the methods and findings of a quantitative systematic review of more than 350 case studies, showing transport modes and primary areas of concern, geographical location, frequency of publications, keyword analysis, and a discussion over the findings at the end.

2. Literature Review

By the mid-1980s, the concept of sustainable development had gained traction, owing to the efforts of the United Nations Environment Program (UNEP) and, subsequently, the World Bank in later years Bank [8]. In recent years, the terms “sustainable mobility” and “accessible transportation” have been used interchangeably or as substitutes for “sustainable transportation [9].” Sustainable mobility addresses the mobility demands of the present generation without compromising future generations’ ability to fulfill their own needs [10]. However, the concept of sustainable transportation, such as that of sustainable development, is widely defined, allowing practices to be described as “sustainable” while continuing to pursue business-as-usual approaches [5]; therefore, the need for understanding current progress and fronts is prominent. While the abundance of articles concerning sustainability in transportation denotes the importance of this topic, the extensive literature on a topic might hinder further developments by making it more complicated, having more paradoxical arguments in the scholarly discourse [11]. A literature review provides an opportunity to present a comprehensive overview of the existing scholarly articles on a topic, contemplating various perspectives.
On the one hand, some scholars had a more focused look on transportation. Shared mobility was one of the few areas on which scholars have under their scope. A systematic review of the state of shared mobility in China, reviewing 687 papers, showed that “market standardization,” notably “harmonization of charging infrastructures for NEVs for vehicle sharing,” and “effective government guidance” will be critical determinants in the shared mobility industry’s future development [12]. Health benefits were, too, subjects of a review of 30 studies published between September 2001 and January 2015 confirming that “walking and cycling for transportation provide substantial health benefits from increased physical activity” [13]. However, a systematic literature review on collaborative, sustainable transportation that has studied a total of 89 articles published between 2010 and 2020 showed that most of the authors have focused their research on transport optimization at the operational level, whereas “the social considerations have been little studied“ [14].
On the other hand, “measuring and evaluating sustainability is a key part of operationalizing the concept and allowing for it to be appropriately considered in transportation decision-making” [15]. As of a societal factor, sustainable urban mobility behavior was reviewed from a total of 15 documents and after discussing 14 different applications introduced “the utilized technology, behavior change strategies, and citizen participation in the development process of the interventions” as areas of interest in the field [16]. Sustainable urban transportation assessment and criteria were recently reviewed in a work including a total of 21 papers from journals listed in the German rating system JOURQUAL3 (JQ3) and published between 2010 and 2020. It determined 13 social, 11 economic, and 9 main environmental criteria, of which “the three main criteria used most in the literature exclusively concern the environment” [17]. The results of another systematic review of urban sustainability assessment concluded that “a more integrative approach in which core sustainability principles guide a goal-based framework should be employed” [18].
While many studies were only focused on certain modes and/or aspects of sustainable transportation, this review, while considering the main pillars of sustainable transportation, entails studies on different transport modes. The quantitative systematic review in this study provided the opportunity of reviewing a large number of studies for the purpose of finding themes and research directions.

3. Methodology

The intention of the authors from the beginning of undertaking this study was not to overlook any of the invaluable works that have been reviewed. Therefore, a systematic quantitative review influenced by the work of [19] has been deployed. The systematic quantitative method by identifying the gaps in the literature, as of geographic, scalar, and methodological differences and deficiencies, this method leads us to the most substantial subjects and variables for future research [20]. Systematic reviews using mixed methods will present components that are narrative and are presented in tables [21]. The systematic quantitative review methodology works well in areas such as the subject of this study where methodological approaches are so diverse that the possibility of other types of quantitative reviews exists such as meta-analysis is limited [20]. This method consists of fifteen steps. The first step is defining the topic, followed by formulating research questions and identifying keywords and databases. Please note that the first step is presented in the introduction. Step 3 and step 4 come in the next section under the subsection of “selection process.” After searching the database and reading publications (step 5), researchers need to structure their own database (step 6) and start with only 10% of the publications (step 7). After making sure of the accuracy of their categorization (step 8), start working on the rest of the publications. Evaluating key results and conclusions (step 12) is another evaluation step in this method. For step 13, the authors have drafted the results and discussion in two separate sections. The rest of the methodology of this paper is explained under two subsections: selection process and keyword analysis.

3.1. Selection Process

The main objective of this review is to reveal the best practices of sustainable transportation in the literature, the areas of concern, and eventually, identify future research directions. Published research focused on case studies in sustainable transportation were extracted from the Scopus database. Figure 1 depicts the process of extraction. It is influenced by the flowchart of the PRISMA statement [22] (Moher et al., 2009). For answering the questions drafted in the introduction of this study, a combination of different words such as “sustainable transportation”, or “sustainable mobility”, or “sustainable transport” to find records of the general topic. A total of 6549 records were identified through searching on the general topic, of which 5799 were excluded, by using a combination of words such as “case study,” as irrelevant records in the next stage. Among 750 records, 52 records were excluded after removing duplicates and languages other than the English language and not published between 2015 and 2021. After excluding conference papers, chapters, editorial, etc., the records were 382, among which 17 were excluded after reading abstracts. Then, 7 articles were excluded after screening and assessing for eligibility. In the end, 358 papers were included in this review. In this step, for structuring our database, the following information was needed to be considered: the year of publication, journal of publication, publisher, author keywords, geographical location, transport mode, and the researcher’s primary area of concern.

3.2. Keyword Analysis

Regarding the large number of publications concerning sustainable transportation, a manual analysis will not lead to a comprehensive review. Therefore, an acute keyword analysis on the abstract of all articles in the dataset was also applied. For this analysis, the raw data set includes 8 features (Table 1) with 358 rows of data in total.

3.2.1. Content Cleaning

The main objectives of this cleaning process are first, to remove all information irrelevant with the topics modeling, and secondly, to convert all different formats of characters to a consistent and python readable format for the topics modeling. After cleaning, the remaining single nouns with the frequency of more than 10 times were extracted as of following: ‘sustain_mobil’, ‘rural_area’, ‘mobil’, ‘mobil’, ‘develop’, ‘transit’, ‘paper’, ‘region’, ‘object’, ‘question’, ‘mobil’, ‘govern’, ‘transit’, ‘sustain_mobil’, ‘rural_area’, ‘order’, ‘adopt’, ‘respons’, ‘organ’, ‘mobil’, ‘complex’, ‘mobil’, ‘govern’, ‘rural_area’, ‘analysi’, ‘field’, ‘sustain_mobil’, ‘case_studi’, ‘organ’, ‘public_transport’, ‘servic’, ‘area’.

3.2.2. Topics Modeling

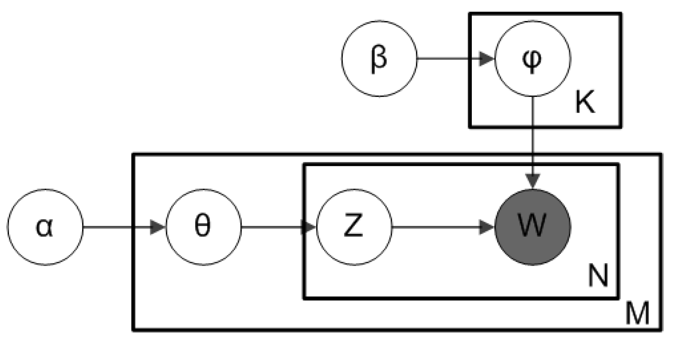
In the modeling stage, the Latent Dirichlet allocation (LDA) model was used to explore the topics behind the prepared text data. “LDA is a generative probabilistic model of a corpus, and its basic idea is that documents are represented as random mixtures over latent topics, where each topic is characterized by a distribution over words [23].” LDA could be used “as an intuitive approach for calculation of similarity between source files and obtain their respective distributions of each document over topics [24].” Figure 2 explains its generative process for a corpus D consisting of M documents each of length N.
(a)
For each topic k in {1,…,K}, choose a multinomial distribution φk from a Dirichlet distribution with parameter β
(b)
For each document d in {1,…,M}, choose a multinomial distribution θd from a Dirichlet distribution with parameter α
(c)
For each of the word position n in {1,…,N} in the document d,
  • Choose a hidden topic Zn from the multinomial distribution θd
  • Choose a random observed word Wn from the multinomial distribution φZn
Through the generative process, the algorithm generates a new document. The algorithm repeats this process M times as the number of the documents in the corpus D to create a new corpus Dnew and then compare Dnew with the original one until finding the best answers that can maximize the possibility. From the best answers, the topics in documents can be obtained and what words are close to the topics can also be identified.
For this step, first, the Python library Gensim was used to build the LDA model. Gensim is a free, open-source Python library designed to process raw, unstructured digital texts (“plain text”) using unsupervised machine learning algorithms [26]. Second, the library pyLDAvis [27] was used to interpret the outcome of the LDA model. The pyLDAvis helps users interpret the topics in a topic model fitted to a corpus of text data. Third, the optimal number of topics is settled by comparing the coherence scores (CV) from the Genism and the overlaps of different topics in the pyLDAvis. Forth, the top 10 keywords in each topic are explored to enable us to name each topic. Fifth, each paper in the data set was classified into one topic to further analyze the associated trends.
Figure 3 shows the coherence scores (CV) by different numbers of topics. Topic coherence measurement is set to evaluate the coherence between topics. Stevens et al. [28] mentioned that topic coherence measures score a single topic by measuring the degree of semantic similarity between high scoring words in the topic, and these measures help distinguish between topics that are semantically interpretable topics and topics that are artifacts of statistical inference. There are various coherence measurements such as Cumass, Cuci, Cnpmi, and Cv. Röder et al. [29] proved in their essay that Cv has overall best performance among them. So, Cv is used to evaluate the number of topics in the study.
The score has three steep increases on the number of 3, 9, and 13. Choosing 3 for the number of topics gives a score of 0.377, 9 gives a score of 0.406, and 13 gives a score of 0.429 (Figure 3). The highest scores will not always result in better findings as it makes it harder to distinguish them. Therefore, three topics were settled. Figure 4 also shows a global view of the topic distribution of 3, 9, and 13 topics. Each circle shows a topic, and the size of a circle is the prevalence of the topic in the corpus. The bigger size of a circle, the more words and phrases in the corpus are within the remit of that topic. The distance between circles means the differences of topics. The more distant the two topics are, the more difference they have. Furthermore, the overlap of circles means that some words and phrases are commonly used in topics; the bigger overlap they have, the more common words and phrases the two topics have. The three non-overlapping topics are relatively large enough to be able to distinguish them for further analyses (Figure 4).
Figure A1, Figure A2 and Figure A3 (Appendix A) show the top 30 most relevant terms of one topic. For example, when λ = 0.6, the term “energi” is the most relevant term for topic 1, followed by the terms “car_share” and “vehicle”. The blue bar is the overall frequency of a term in the corpus. The red bar is the estimated term frequency within the selected topic. For convenience to name the topics, Table 2 gives the top 10 most relevant terms in each topic. For topic 1, “energi” and “fuel” are semantic similar. “vehicl”, “batteri”, and “electr_vehicl” have the similar meaning of “electr_vehicl”. Given that “reduct” has a significant direction, topic 1 is named “energi reduct & electr_vehicl”. For topic 2, “health”, “bicycl”, “cycl”, and “walk” are semantic similar to “health,” therefore, topic 2 is named “health & mobil”. For topic 3, most terms are related to “sustain”, “transport,” therefore, topic 3 is named “sustain transport develop” (Table 2).

4. Findings and Results

Although the number of publications in the first years of this almost seven years period was obtrusively low compared to the average, we see a drastic change in the year 2020, pointing to an increase in 2021 (Figure 5). The pandemic has acted as an accelerator and prompted not only scholars but many people to think about sustainable transportation [4]. In the abstracts of the dataset, “COVID” was repeated 15 times, “pandemic” was repeated 13 times, and “health” was repeated over 70 times. However, the larger number of publications in road transportation-related categories, compared to other groups, is a denotation of a depreciatory perspective towards reaching sustainability in other areas, such as maritime and air transport.
Table 3 summarizes all 358 reviewed case studies based on their authors’ intended transport modes and their primary areas of concern. While “governance and management” (112) are being by far the most attractive ones for researchers, surprisingly, health impacts (7) and safety (5) are at the bottom of the list (Table 3).

4.1. Transport Mode

Figure 6 presents received citations per each transport mode category. For this study, the exclusive median was considered. We could see that “bike-sharing (17.15),” “electric vehicles (15.13),” “electric bikes (20),” and “autonomous vehicles (15)” have attained the most citations on average (Figure 6). Articles concerning “bike-sharing” published in 2020 and 2021 have an average citation of 7.125, articles with a focus on electric vehicles published in 2020 and 2021 have an average citation of 8, and the only two papers on autonomous vehicles in 2020 have an average citation of 7; This low number of citations could be due to fact that they were published in 2020, and 2021 and therefore may have not yet reached their full potential in terms of citations; They might become more popular in the future. Road transportation, as a general category, is also far left behind other categories regarding its top-of-the-list position in Table 3. Sustainable transportation in other transport modes such as “scooters,” “cable cars,” “air transport,” and “maritime transport” need to be studied more. For instance, not only are there ways to reduce the negative impacts of boats [30] but including water transport into inland transportation, a case study on the Danube region, facilitates the transition to sustainable transportation [31].

4.2. Primary Area of Concern

To enable sustainable transportation, throughout the years, different criteria have been identified or used by scholars, such as carbon dioxide (CO2) emissions, energy efficiency, safety, user satisfaction, etc. [32,33,34]. Considering these criteria, authors also categorized papers into different categories based on their primary areas of concern (Figure 7). For this study, the exclusive median was considered. The medians of certain categories show the potential of each category to attain more citations. Therefore, these figures will change in coming years in favor of categories such as “sustainability impacts” and “optimization” regarding the steady growth of the number of publications in these groups. The category of “health impacts” has received an average citation of 8.85 more than categories of “accessibility (7.71),” “travel behavior (8.18),” whereas it only contains seven studies, of which three have been performed in 2021 (Figure 7).

4.3. Global Distribution of Research

The distribution of research, based on the number of publications, weighs heavily on developed countries mostly in Europe such as Italy (42), Spain (21), Sweden (16), and of course, the United States (28), China (28), and India (12) (Figure 8).

4.4. Frequency of Publications and Journals

Among all publishers, Elsevier Ltd., with 32%, dominates the whole publication spectrum, followed by MDPI with 24% (Figure 9). The journal Sustainability, with 68 papers, has a significant proportion of publications in this cohort (Figure 10).

4.5. Topics’ Trend Analysis

The named topics are used to analyze the trend of the topics. Figure 11 shows the percentage of topics in the publications. Around 58% of publications are associated with topic 3: “sustain transport develop” whereas 22.91% are within topic 2: “health & mobil” and 18.72% are associated with topic 1: “energi reduct & electr_vehicl” (Figure 11).
Figure 12 shows the percentage of topics in the publications by year. Topic 3: “sustain transport develop” has a lower percentage in the publication after 2018 than before 2018, while topic 2 and topic 1 have a higher percentage after 2018 than before 2018 (Figure 12).
Figure 13 shows the average number of citations by topic and year. Topic 3: “sustain transport develop” has a consistent drop in the average number of citations. The average number of citations of topic 2: “health & mobil” and topic 1: “energi reduct & electr_vehicl” has a surpass over that of topic 3, “sustain transport develop” in 2017. Although topic 3 is the dominant topic, it seems to become less popular after 2018, whereas topic 2 and topic 1 have become more popular (Figure 13).

5. Discussion

As seen in the sub-section of keyword analysis, dominant topic 3: “sustain transport develop” accounted for 58.38% of the total publication (Figure 11). “Sustainability impacts” as a primary area of concern was also counted for over 16% of all papers (Table 3), with more than 14 citations on average (Figure 7). However, the transition to sustainable transportation requires collaboration between transportation and other sectors [35]. This collaboration demands a holistic and integrative approach [5], whereas “there is relatively little action to date to systematically address the complex multisectoral agenda of sustainable development” [36]. Organizations also need “a systems lens that grapples with the complex and multifaceted net-zero economy” to thrive [35].
In this work, authors categorized papers based on transport modes and primary areas of concern. The number of publications and received citations for each category was presented. In the next step, keyword analysis revealed three separate topics. However, the need for a systematic approach guided authors to categorize findings into four groups and discuss the importance of each on sustainable development goals. Yet all groups interact and impact each other, the change in one group causes others to change. Throughout the discussion, some of the articles from the cohort are cited as some others were cited in the previous section.

5.1. In-Vehicle Improvements

“Increasing energy efficiency”, and “smartification” categories constitute more than seven percent of all papers (Table 3), and categories of “electric vehicle”, “alternative fuel vehicle”, and “electric bike” accounted for 40 papers of which 11 fall within the above-mentioned areas of concern. The Infrastructure Deal in the United States “will replace thousands of transit vehicles, including buses, with clean, zero-emission vehicles; investing $2.5 billion in zero-emission buses, $2.5 billion in low emission buses, $2.5 billion for ferries, and $66 billion in rail fleets [3].” “Charging stations optimization” was another primary area of concern for scholars working on “electric vehicles” with an average citation of 16.6. These categories were associated with topic 1, “energi reduct & electr_vehicl”. About 18.7% of all publications are comprised of this topic (Figure 11). Starting in 2017, it bested topic 3 and soon outperformed both topics in 2018 (Figure 13), showing relatively bigger attention towards energy reduction in this sector. Sustainable transportation by increasing the share of renewable energy could play into reaching the SDG 7—affordable and clean energy; however, only 14 out of 37 countries, in 2019, had best performed above the green threshold (=20) for their “Share of renewable energy in total primary energy supply,” 11 countries were below the red threshold (=10) [36]. This, too, will directly impact SDG 13—climate action through reduced fossil fuel combustion. Environmental dimension with GHG emissions as its most important criteria predominates sustainable transportation [37]. Other transport modes are likely to become under the spotlight in the coming years, even in the air travel industry: “the next airplane will have to meet some serious sustainability tests [38]).”
“In-vehicle improvements” also result in safer vehicles that impact the SDG3—Good Health and Well-Being by reducing traffic deaths. In 2019, out of 183 countries, there were only 51 countries below the green threshold (=8.4) for their performance in “Traffic deaths (per 100,000 population),” while 78 countries were above the red threshold (=16.8) [36]. Safety is an important criterion and a big concern [34,37]. Therefore, the interactions between other sustainable development criteria and safety in transportation need to be more investigated. “The infrastructure deal invests $11 billion in transportation safety programs [3].” In addition to that, the infrastructure deal “implements new safety requirements across all transportation modes [39].”
Although health was not a primary area of concern for many of the authors, it was frequently mentioned and became our topic 2 (Figure A2). “COVID” appeared 15 times in the dataset of abstracts, “pandemic” appeared 13 times, and “health” appeared more than 70 times. “Health impacts” of sustainable transportation could be a potential future research direction to work on in case studies. Based on the result of keyword analysis, almost 23% of publications were associated with topic 2, “health & mobil” (Figure 11), with a whopping year-to-year decline in received citations (Figure 13). On the contrary, The category of “health impacts” has received an average citation of 8.85 more than categories of “accessibility (7.71),” and “travel behavior (8.18).” (Figure 7)
More to the direct benefits of in-vehicle improvements, automakers and transportation companies should actively support the transition to a circular economy and sustainable transportation by strengthening systematic design, sharing models, circular supply models, and green logistics [40,41].

5.2. Built-Environment Elements

Built-environment elements could be either a hindrance or a facilitator for sustainability in transportation. The category “accessibility,” with 57 publications, has an average equal to 7.719 (Figure 7). In 2018, among 158 countries, only 46 countries were above the green threshold (=3) of the Logistics Performance Index: Quality of trade and transport-related infrastructure (of SDG 9), and 18 countries were below the red threshold (=2); this index for the United States for the years 2010, 2012, 2014, 2016, 2018 were 4.152, 4.139, 4.185, 4.152, and 4.045 relatively [36]. The infrastructure deal is going to “repair and upgrade aging infrastructure, make stations accessible to all users, and bring transit service to new communities” [3].
The importance of our rural infrastructures has increased. Nevertheless, growth in sustainable mobility in urban areas is globally more likely than that in rural areas [42]. After the pandemic, in the United States, Britain, France, and Japan, according to The Economist, activity has remained substantially lower in cities than it does nationally [43]. The H.R.3684—Infrastructure Investment and Jobs Act—“establishes a rebuild rural bridges program to improve the safety and state of good repair of bridges in rural communities” [39].
Built-environment is also another canvas for picturing the impacts of sustainable transportation on cities. Its elements are highly influential on the safety and health of passengers, especially on the safety of cyclists and pedestrians [44]. Infrastructure was among the most relevant terms within topic 2 (Figure A2), demonstrating the impacts of infrastructure on health. Traffic, which was the seventh most relevant term for topic 3 (Figure A3), and road-traffic noise also have negative health impacts [45,46]. In large cities and denser areas, special attention should be given to the safety of the design of truck routes, “which are typically wider and higher-volume than other urban streets” [47].
The presence of robust non-auto infrastructures could support evolving travel preferences [48]. Providing “ease-to-walk” walking routes, “accommodations and dedicated lines for bike and scooter users,” and “parking supply in urban areas” could play into the implementation of sustainable transportation [49,50,51,52], even in consolidated areas with little available space to build new infrastructures [53]. Economic viability and environmental benignity should be contemplated in evaluation processes to ensure the sustainability of transportation infrastructures [54]. The important point is that, in some scenarios, “proactive practices, based on preservation and maintenance, result in more efficient policies in the long-term than reactive policies based on rehabilitation [55].” The use of electric vehicles on a large scale depends on the expansion of appropriate supporting infrastructures. The infrastructure deal also “invests $7.5 billion to build out a national network of EV chargers” [3].
Cases with a concern of the role of the built environment in sustainable maritime transport and air travel are very limited. Given the inclusion of airports, rail lines, and harbors in the Infrastructure Investment and Jobs Act [39], more studies in these areas could be helpful.

5.3. Human Factors

“Travel behavior” category with 65 papers alone shows the importance of human factors in sustainable transportation (Table 3). In 2020, Among 66 countries, only seven countries in the index of satisfaction with public transport (of SDG 11) were equal or above the green threshold (=72), and seven countries were less than or equal to the red threshold (=43) [36].
For dealing with human factors, the inclusion of clearly-set social equity goals at the metropolitan level is substantial [54]. “If sustainability privileges environmental protection over social and economic development, it risks being considered a luxury concern of educated, urban elites, especially in developing economies” [56]. In the United States, the infrastructure bill promised that “it will benefit communities of color since these households are twice as likely to take public transportation and many of these communities lack sufficient public transit options,” adding elsewhere that “the deal creates a first-ever program to reconnect communities divided by transportation infrastructure” [3]. The important point is to know “the opinion of the population in order to propose good practices” [57]. Considering people’s needs in the post-COVID era is so critical [4]. The concern is that remote working and “thus, less of vibrant cities, makes it harder to make personal bonds and soak up knowledge from others” [43]. This will counteract the participation of people in urban planning.
The transition from a car-ownership lifestyle to more sustainable choices requires major cultural and behavioral changes [58]. On 10 November 2021, Secretary Pete Buttigieg tweeted that “The build Back Better package includes tax incentives to help purchase an EV [59].” However, monetary incentives without intrinsic motivations, “pro-environmental behaviors,” could have potential unintended consequences [60]. Pro-environmental behaviors, also known as environmental citizenship, are “about the active participation of citizens in moving towards sustainability” [61]. More research on the motivators for conscious pro-environmental behaviors will be helpful to reach the objectives of this bill. In addition, conducting thorough studies on counteractive effects of increasing the quality of products or decreasing the costs of use on pro-environmental behavior are highly crucial. “Sustainable transportation benefits awareness,” “traffic problems awareness factors,” and “Carbon-emitting awareness options” are some of the measures to increase pro-environmental behaviors and, therefore, the demand for sustainable transportation choices [34,58,60]. These behavioral changes, too, will result in more “pressure on suppliers to meet strict sustainability criteria, thus investors begin to factor sustainability into their business decisions” [40].

5.4. Planning and Regulations

After the COVID-19 pandemic, there were serious crises in the supply chain, energy market, and labor market, affecting the sustainability of transportation too. The current supply chain chaos added more verisimilitude to the probability of similar perilous disruptions in the logistics of goods due to the possible weather events in the future [62], let alone the risks of geopolitically related supply shocks [40]. After the pandemic, “industrial policies have taken the form of “mission-oriented” investment for the green recovery” [63] with a focus on infrastructures. The Infrastructure Investment and Jobs Act addresses climate change, including strategies to reduce the climate change impacts of the surface transportation system [39].
“Planning & regulations” in all sectors need to be addressed more. Although the category of “governance and management” with 112 papers has the highest number of research in the cohort (Table 3), its citation average is not the highest (9.07) (Figure 7). Regarding the growth in the number of publications in this category, researchers could broaden their perspectives to explore, analyze, and work on more multi-objective solutions. Researchers, actors, and governments should have a more holistic approach without losing in-detailed concentration on their intended cases.
“Political culture characteristics play a central role in the ability of cities to develop strong network ties across a variety of network levels, ties which are essential to effective transportation planning and development [64].” In the United States, the Infrastructure Deal that was Bipartisan with support from both sides of the aisle could increase American cities’ capacities to implement more sustainable transportation systems.
Localized plans and developments alongside involving stakeholders in decision-making could improve pathways and increase customer acceptance [65,66,67]. A whole journey perspective (Woodcock and Tovey, 2020) by Integration of different transport modes and empowering customers to choose the optimum set of options will decrease costs and greenhouse gas (GHG) emissions [68,69,70]. In some cases, people in low-income urban areas, whose only way of commuting is walking, are considered to be far more sustainable in terms of transportation while empowering them is virtually bringing more fossil fuels using [56]. Therefore, sharing business models should be more endorsed as it, too, encourages circular economy [40], and directly impacts SDG12—increased responsible consumption and production. In the infrastructure deal, under Sec. 11133. Bicycle Transportation and Pedestrian Walkways, we see interesting amendments to be made in section 217 of title 23, United States Code, adding “pedestrians” and “shared micromobility” relatively under the subsections “a,” “e,” and “f” of that section [39].

6. Conclusions

Reduced traffic deaths (SDG 3), increased share of renewable energy (SDG 7), higher quality of transport-related infrastructure (SDG 9), increased satisfaction with public transportation (SDG 11), increased responsible consumption and production (SDG 12), and reduced fossil fuel consumption (SDG 13) are all ways with which sustainable transportation contributes to achieving sustainable development goals. Following the COVID-19 pandemic, as well as the threat of future climate change dangers in the supply chain and energy market, a holistic approach to sustainable mobility is critical. Many countries, including the United States, plan to invest heavily in infrastructure. Knowing the most appealing themes and concerns for researchers is crucial in this regard. This study’s goal was to show where the focus of the previous literature has been and to emphasize where the focus should be for future publications. From a cohort of 358 case studies, the authors categorized each case study into twenty categories based on transportation modes and eleven categories based on the authors’ primary areas of concern. In accordance with the features of the United States’ infrastructure bill, the results are categorized into the following categories: In-vehicle Improvements, Built-Environment Elements, Human Factors, and Planning and Regulations. We analyzed literature in each section and were able to identify common topics and themes amongst them while also identifying possible next steps in research focuses (sharing mobility services, health, etc.).

7. Future Research Directions

In case studies, the “health implications” of sustainable transportation are viable future study directions. Furthermore, more research is needed on the interactions between other sustainable development criteria and transportation safety. Special consideration should be paid to the safety of truck route planning in major cities and densely populated areas. Given the inclusion of airports, rail lines, and harbors in the Infrastructure Investment and Jobs Act, more research in these areas might be beneficial. More study on the motivators for conscious pro-environmental behavior will be beneficial in achieving the goals of this bill. Furthermore, performing detailed investigations on the counteractive impacts of raising product quality or lowering the prices of usage on pro-environmental behavior is critical.

8. Limitations

The dependence on other experts’ self-reported findings in their own research was a challenge for the authors. Furthermore, there are linguistic discrepancies in the literature in defining concepts, objectives, goals, themes, indicators, and standards that make it harder to have a taxonomy of each. A quantitative systematic review is a powerful methodology to overcome some of these challenges.

Author Contributions

Conceptualization, S.S., A.J.G., V.G., W.L. and H.J.K.; methodology, S.S., A.J.G., V.G. and W.L.; software, S.S., A.J.G., V.G. and W.L.; validation, S.S., A.J.G., V.G., W.L. and H.J.K.; formal analysis, S.S., A.J.G., V.G. and W.L.; investigation, S.S., A.J.G., V.G. and W.L.; resources, S.S., A.J.G. and V.G.; data curation, S.S., A.J.G., V.G. and W.L.; writing—original draft preparation, S.S., A.J.G., V.G., W.L. and H.J.K.; writing—review and editing, S.S., A.J.G., V.G., W.L. and H.J.K.; visualization, S.S., A.J.G., V.G. and W.L.; supervision, S.S., V.G. and H.J.K.; project administration, S.S., A.J.G., V.G. and H.J.K.; funding acquisition, S.S., A.J.G., V.G., W.L. and H.J.K. All authors have read and agreed to the published version of the manuscript.

Funding

This research received no external funding.

Institutional Review Board Statement

Not applicable.

Informed Consent Statement

Not applicable.

Data Availability Statement

Data are available on request to the authors.

Conflicts of Interest

The authors declare no conflict of interest.

Appendix A

Figure A1. Top 30 Most Relevant Terms in pyLDAvis (λ = 0.6) Top 30 Most Relevant Terms in pyLDAvis (λ = 0.6).
Figure A1. Top 30 Most Relevant Terms in pyLDAvis (λ = 0.6) Top 30 Most Relevant Terms in pyLDAvis (λ = 0.6).
Sustainability 14 02617 g0a1
Figure A2. Top 30 Most Relevant Terms in pyLDAvis (λ = 0.6).
Figure A2. Top 30 Most Relevant Terms in pyLDAvis (λ = 0.6).
Sustainability 14 02617 g0a2
Figure A3. Top 30 Most Relevant Terms in pyLDAvis (λ = 0.6).
Figure A3. Top 30 Most Relevant Terms in pyLDAvis (λ = 0.6).
Sustainability 14 02617 g0a3

References

  1. UNEP; UNEP DTU. Partnership Emissions Gap Report 2020. Available online: https://www.unep.org/emissions-gap-report-2020 (accessed on 20 December 2021).
  2. Osmani, Z. Long-Term Winners in the Post-Pandemic World. Available online: https://mlc.overdrive.com/mlc-herrick/content/media/6505751?cid=1202974 (accessed on 11 June 2021).
  3. The Whitehouse FACT SHEET: Historic Bipartisan Infrastructure Deal. Available online: https://www.whitehouse.gov/briefing-room/statements-releases/2021/07/28/fact-sheet-historic-bipartisan-infrastructure-deal/ (accessed on 20 December 2021).
  4. Shokouhyar, S.; Shokoohyar, S.; Sobhani, A.; Gorizi, A.J. Shared Mobility in Post-COVID Era: New Challenges and Opportunities. Sustain. Cities Soc. 2021, 67, 102714. [Google Scholar] [CrossRef]
  5. Gudmundsson, H.; Marsden, G.; Josias, Z. Sustainable Transportation: Indicators, Frameworks, and Performance Management; Springer: Berlin/Heidelberg, Germany, 2016; ISBN 978-3-662-46924-8. [Google Scholar]
  6. Barbarossa, L. The Post Pandemic City: Challenges and Opportunities for a Non-Motorized Urban Environment. An Overview of Italian Cases. Sustainability 2020, 12, 7172. [Google Scholar] [CrossRef]
  7. Jiron, P.; Carrasco, J.A. Understanding Daily Mobility Strategies through Ethnographic, Time Use, and Social Network Lenses. Sustainability 2020, 12, 312. [Google Scholar] [CrossRef] [Green Version]
  8. Tortajada, C. Sustainable Development: A Critical Assessment of Past and Present Views. In Appraising Sustainable Development: Water Management and Environmental Challenges; Oxford University Press: New Delhi, India, 2005; pp. 1–17. [Google Scholar]
  9. Schiller, P.L.; Kenworthy, J.R. An Introduction to Sustainable Transportation: Policy, Planning and Implementation; Routledge: London, UK, 2017. [Google Scholar]
  10. Byars, M.; Wei, A.; Handy, S. Sustainable Transportation Terms: A Glossary; University of California: Los Angeles, CA, USA, 2017. [Google Scholar]
  11. Kraus, S.; Mahto, R.V.; Walsh, S.T. The Importance of Literature Reviews in Small Business and Entrepreneurship Research. J. Small Bus. Manag. 2021, 1–12. [Google Scholar] [CrossRef]
  12. Hu, J.-W.; Creutzig, F. A Systematic Review on Shared Mobility in China. Int. J. Sustain. Transp. 2021, 1–16. [Google Scholar] [CrossRef]
  13. Mueller, N.; Rojas-Rueda, D.; Cole-Hunter, T.; De Nazelle, A.; Dons, E.; Gerike, R.; Goetschi, T.; Panis, L.I.; Kahlmeier, S.; Nieuwenhuijsen, M. Health Impact Assessment of Active Transportation: A Systematic Review. Prev. Med. 2015, 76, 103–114. [Google Scholar] [CrossRef]
  14. Aloui, A.; Hamani, N.; Derrouiche, R.; Delahoche, L. Systematic Literature Review on Collaborative Sustainable Transportation: Overview, Analysis and Perspectives. Transp. Res. Interdiscip. Perspect. 2021, 9, 100291. [Google Scholar] [CrossRef]
  15. Ramani, T.L.; Zietsman, J. Sustainable Transportation–Alternative Perspectives and Enduring Challenges. Int. J. Urban Sci. 2016, 20, 318–333. [Google Scholar] [CrossRef]
  16. Klecha, L.; Gianni, F. Designing for Sustainable Urban Mobility Behaviour: A Systematic Review of the Literature. In Proceedings of the Conference on Smart Learning Ecosystems and Regional Development, Bucharest, Romania, 5–6 July 2017; Springer: Berlin/Heidelberg, Germany, 2017; pp. 137–149. [Google Scholar]
  17. Kraus, L.; Proff, H. Sustainable Urban Transportation Criteria and Measurement—A Systematic Literature Review. Sustainability 2021, 13, 7113. [Google Scholar] [CrossRef]
  18. Cohen, M. A Systematic Review of Urban Sustainability Assessment Literature. Sustainability 2017, 9, 2048. [Google Scholar] [CrossRef] [Green Version]
  19. Mahmoudi, S.; Huda, N.; Alavi, Z.; Islam, M.T.; Behnia, M. End-of-Life Photovoltaic Modules: A Systematic Quantitative Literature Review. Resour. Conserv. Recycl. 2019, 146, 1–16. [Google Scholar] [CrossRef]
  20. Pickering, C.; Byrne, J. The Benefits of Publishing Systematic Quantitative Literature Reviews for PhD Candidates and Other Early-Career Researchers. High. Educ. Res. Dev. 2014, 33, 534–548. [Google Scholar] [CrossRef] [Green Version]
  21. Grant, M.J.; Booth, A. A Typology of Reviews: An Analysis of 14 Review Types and Associated Methodologies. Health Inf. Libr. J. 2009, 26, 91–108. [Google Scholar] [CrossRef] [PubMed]
  22. Moher, D.; Liberati, A.; Tetzlaff, J.; Altman, D.G.; PRISMA Group. Preferred Reporting Items for Systematic Reviews and Meta-Analyses: The PRISMA Statement. Ann. Intern. Med. 2009, 151, 264–269. [Google Scholar] [CrossRef] [PubMed] [Green Version]
  23. Blei, D.M.; Ng, A.Y.; Jordan, M.I. Latent Dirichlet Allocation. J. Mach. Learn. Res. 2003, 3, 993–1022. [Google Scholar]
  24. Jelodar, H.; Wang, Y.; Yuan, C.; Feng, X.; Jiang, X.; Li, Y.; Zhao, L. Latent Dirichlet Allocation (LDA) and Topic Modeling: Models, Applications, a Survey. Multimed. Tools Appl. 2019, 78, 15169–15211. [Google Scholar] [CrossRef] [Green Version]
  25. The Wikipedia Latent Dirichlet Allocation; Wikipedia. Available online: https://en.wikipedia.org/w/index.php?title=Latent_Dirichlet_allocation&oldid=1073007273 (accessed on 20 December 2021).
  26. Gensim: Topic Modelling for Humans. Available online: https://radimrehurek.com/gensim/intro.html#what-is-gensim (accessed on 20 December 2021).
  27. Mabey, B. Python Library for Interactive Topic Model Visualization. Port of the R LDAvis Package; GitHub: San Francisco, CA, USA, 2022. [Google Scholar]
  28. Stevens, K.; Kegelmeyer, P.; Andrzejewski, D.; Buttler, D. Exploring Topic Coherence over Many Models and Many Topics. In Proceedings of the 2012 Joint Conference on Empirical Methods in Natural Language Processing and Computational Natural Language Learning, Jeju Island, Korea, 10 July 2012; Association for Computational Linguistics: Jeju Island, Korea, 2012; pp. 952–961. [Google Scholar]
  29. Röder, M.; Both, A.; Hinneburg, A. Exploring the Space of Topic Coherence Measures. In Proceedings of the Eighth ACM International Conference on Web Search and Data Mining, Shanghai, China, 2–6 February 2015; pp. 399–408. [Google Scholar]
  30. Tercan, Ş.H.; Eid, B.; Heidenreich, M.; Kogler, K.; Akyürek, Ö. Financial and Technical Analyses of Solar Boats as a Means of Sustainable Transportation. Sustain. Prod. Consum. 2021, 25, 404–412. [Google Scholar] [CrossRef]
  31. Mako, P.; Dávid, A.; Böhm, P.; Savu, S. Sustainable Transport in the Danube Region. Sustainability 2021, 13, 6797. [Google Scholar] [CrossRef]
  32. Kumar, R.; Mishra, R.K.; Chandra, S.; Hussain, A. Evaluation of Urban Transport-Environment Sustainable Indicators during Odd–Even Scheme in India. Environ. Dev. Sustain. 2021, 23, 17240–17262. [Google Scholar] [CrossRef]
  33. Singh, A.; Gurtu, A.; Singh, R.K. Selection of Sustainable Transport System: A Case Study. Manag. Environ. Qual. Int. J. 2020, 32, 100–113. [Google Scholar] [CrossRef]
  34. Xia, T.; Zhang, Y.; Braunack-Mayer, A.; Crabb, S. Public Attitudes toward Encouraging Sustainable Transportation: An Australian Case Study. Int. J. Sustain. Transp. 2017, 11, 593–601. [Google Scholar] [CrossRef]
  35. Corwin, S. To Thrive in a Low-Carbon Future, Think Systems. Available online: https://deloitte.wsj.com/articles/to-thrive-in-a-low-carbon-future-think-systems-01634149461?reflink=desktopwebshare_permalink (accessed on 12 February 2022).
  36. Sachs, J.; Kroll, C.; Lafortune, G.; Fuller, G.; Woelm, F. Sustainable Development Report 2021; Cambridge University Press: Cambridge, UK, 2021. [Google Scholar]
  37. Mahmoudi, R.; Shetab-Boushehri, S.-N.; Hejazi, S.R.; Emrouznejad, A. Determining the Relative Importance of Sustainability Evaluation Criteria of Urban Transportation Network. Sustain. Cities Soc. 2019, 47, 101493. [Google Scholar] [CrossRef] [Green Version]
  38. Root, A. Boeing Stock Can Gain 35%. How It Can Win the Future by Fixing Its Problems Now.|Barron’s. Available online: https://www.barrons.com/articles/how-boeing-stock-price-can-gain-51628874491 (accessed on 20 December 2021).
  39. DeFazio, P.A. H.R.3684-117th Congress (2021–2022): Infrastructure Investment and Jobs Act. Available online: https://www.congress.gov/bill/117th-congress/house-bill/3684 (accessed on 20 December 2021).
  40. Circular Economy and the 2030 Agenda|UNSSC|United Nations System Staff College. Available online: https://www.unssc.org/courses/circular-economy-and-2030-agenda (accessed on 20 December 2021).
  41. Pham, H.P.N. Van Tai Toward The Green Logistics By Developing Sustainable Transportation: A Case Study From Vietnam|GIS Business. Available online: https://www.gisbusiness.org/index.php/gis/article/view/17959 (accessed on 12 February 2022).
  42. Tao, X.; Fu, Z.; Comber, A.J. An Analysis of Modes of Commuting in Urban and Rural Areas. Appl. Spat. Anal. Policy 2019, 12, 831–845. [Google Scholar] [CrossRef]
  43. The New Economics of Global Cities the Economist. 9 September 2021. Available online: https://www.economist.com/finance-and-economics/the-new-economics-of-global-cities/21804271 (accessed on 20 December 2021).
  44. Ding, H.; Sze, N.N.; Li, H.; Guo, Y. Roles of Infrastructure and Land Use in Bicycle Crash Exposure and Frequency: A Case Study Using Greater London Bike Sharing Data. Accid. Anal. Prev. 2020, 144, 105652. [Google Scholar] [CrossRef] [PubMed]
  45. Schmitz, S.; Caseiro, A.; Kerschbaumer, A.; von Schneidemesser, E. Do New Bike Lanes Impact Air Pollution Exposure for Cyclists?—A Case Study from Berlin. Environ. Res. Lett. 2021, 16, 084031. [Google Scholar] [CrossRef]
  46. Vaverková, M.D.; Koda, E.; Wdowska, M. Comparison of Changes of Road Noise Level Over a Century Quarter: A Case Study of Acoustic Environment in the Mountainous City. J. Ecol. Eng. 2021, 22. [Google Scholar] [CrossRef]
  47. Conway, M.; Conway, A. Multi-Modal Interactions on Urban Streets: New Conflicts and Emerging Challenges in a Mixed-Use Neighborhood: A Case Study of New York. Appl. Geogr. 2021, 134, 102527. [Google Scholar] [CrossRef]
  48. Henao, A.; Piatkowski, D.; Luckey, K.S.; Nordback, K.; Marshall, W.E.; Krizek, K.J. Sustainable Transportation Infrastructure Investments and Mode Share Changes: A 20-Year Background of Boulder, Colorado. Transp. Policy 2015, 37, 64–71. [Google Scholar] [CrossRef]
  49. Agarwal, A.; Ziemke, D.; Nagel, K. Bicycle Superhighway: An Environmentally Sustainable Policy for Urban Transport. Transp. Res. Part A Policy Pract. 2020, 137, 519–540. [Google Scholar] [CrossRef] [Green Version]
  50. Ortega, E.; Martín, B.; LÓPez-Lambas, M.E.; Soria-Lara, J.A. Evaluating the Impact of Urban Design Scenarios on Walking Accessibility: The Case of the Madrid ‘Centro’District. Sustain. Cities Soc. 2021, 74, 103156. [Google Scholar] [CrossRef]
  51. Tira, M.; Rossetti, S.; Tiboni, M. Managing Mobility to Save Energy through Parking Planning. In Smart Energy in the Smart City; Springer: Berlin/Heidelberg, Germany, 2016; pp. 103–115. [Google Scholar]
  52. Xie, X.-F.; Wang, Z.J. Examining Travel Patterns and Characteristics in a Bikesharing Network and Implications for Data-Driven Decision Supports: Case Study in the Washington DC Area. J. Transp. Geogr. 2018, 71, 84–102. [Google Scholar] [CrossRef] [Green Version]
  53. Jiménez, P.; María-Dolores, D.; Beltrán, S. An Integrative and Sustainable Workplace Mobility Plan: The Case Study of Navantia-Cartagena (Spain). Sustainability 2020, 12, 10301. [Google Scholar] [CrossRef]
  54. Henke, I.; Cartenì, A.; Di Francesco, L. A Sustainable Evaluation Processes for Investments in the Transport Sector: A Combined Multi-Criteria and Cost–Benefit Analysis for a New Highway in Italy. Sustainability 2020, 12, 9854. [Google Scholar] [CrossRef]
  55. Torres-Machi, C.; Osorio, A.; Godoy, P.; Chamorro, A.; Mourgues, C.; Videla, C. Sustainable Management Framework for Transportation Assets: Application to Urban Pavement Networks. KSCE J. Civ. Eng. 2018, 22, 4095–4106. [Google Scholar] [CrossRef]
  56. Bergman, Z.; Bergman, M.M. A Case Study of the Sustainable Mobility Problem–Solution Paradox: Motility and Access of Metrorail Commuters in the Western Cape. Sustainability 2019, 11, 2842. [Google Scholar] [CrossRef] [Green Version]
  57. Spadaro, I.; Pirlone, F. Sustainable Urban Mobility Plan and Health Security. Sustainability 2021, 13, 4403. [Google Scholar] [CrossRef]
  58. Köhler, J.; Turnheim, B.; Hodson, M. Low Carbon Transitions Pathways in Mobility: Applying the MLP in a Combined Case Study and Simulation Bridging Analysis of Passenger Transport in the Netherlands. Technol. Forecast. Soc. Chang. 2020, 151, 119314. [Google Scholar] [CrossRef] [Green Version]
  59. Secretary Pete Buttigieg the Build Back Better Package Includes Tax Incentives to Help Purchase an EV. How Would You Use a Discount of up to $12,500 toward an Electric Vehicle? @SecretaryPete. 2021. Available online: https://twitter.com/SecretaryPete/status/1455200291545047048 (accessed on 20 December 2021).
  60. Isetti, G.; Ferraretto, V.; Stawinoga, A.E.; Gruber, M.; DellaValle, N. Is Caring about the Environment Enough for Sustainable Mobility? An Exploratory Case Study from South Tyrol (Italy). Transp. Res. Interdiscip. Perspect. 2020, 6, 100148. [Google Scholar] [CrossRef]
  61. Hadjichambis, A.C.; Reis, P.; Paraskeva-Hadjichambi, D.; Činčera, J.; Boeve-de Pauw, J.; Gericke, N.; Knippels, M.-C. Conceptualizing Environmental Citizenship for 21st Century Education; Springer Nature: Cham, Switzerland, 2020. [Google Scholar] [CrossRef]
  62. Sorkin, A. The Supply-Chain Mystery, the New Yorker. 2021. Available online: https://www.newyorker.com/magazine/2021/10/04/the-supply-chain-mystery (accessed on 20 December 2021).
  63. The Economist; Economist Intelligence Unit. How the Pandemic Changed the Global Economy. Available online: https://www.eiu.com/n/campaigns/how-the-pandemic-changed-the-global-economy/ (accessed on 20 December 2021).
  64. Irish, A. Assessing Local Government Capacity for Implementing Sustainable Transportation: The Role of Political Culture. Int. J. Public Adm. 2017, 40, 375–384. [Google Scholar] [CrossRef]
  65. Fraske, T.; Bienzeisler, B. Toward Smart and Sustainable Traffic Solutions: A Case Study of the Geography of Transitions in Urban Logistics. Sustain. Sci. Pract. Policy 2020, 16, 353–366. [Google Scholar] [CrossRef]
  66. Icasiano, C.D.A.; Taeihagh, A. Governance of the Risks of Ridesharing in Southeast Asia: An in-Depth Analysis. Sustainability 2021, 13, 6474. [Google Scholar] [CrossRef]
  67. Smith, M. Delivering the Goods: Executing Sustainable Transport Policy through Urban Planning in Merseyside (2001–2010). Plan. Perspect. 2021, 36, 515–534. [Google Scholar] [CrossRef]
  68. Göçmen, E.; Erol, R. The Problem of Sustainable Intermodal Transportation: A Case Study of an International Logistics Company, Turkey. Sustainability 2018, 10, 4268. [Google Scholar] [CrossRef] [Green Version]
  69. Luo, H.; Zhang, Z.; Gkritza, K.; Cai, H. Are Shared Electric Scooters Competing with Buses? A Case Study in Indianapolis. Transp. Res. Part D Transp. Environ. 2021, 97, 102877. [Google Scholar] [CrossRef]
  70. Pattanaro, G. Getting responsible travellers on board. WIT Trans. Ecol. Environ. 2020, 248, 117–126. [Google Scholar]
Figure 1. Extraction Process.
Figure 1. Extraction Process.
Sustainability 14 02617 g001
Figure 2. Model representation of LDA. Chart, Source: Latent Dirichlet allocation [25].
Figure 2. Model representation of LDA. Chart, Source: Latent Dirichlet allocation [25].
Sustainability 14 02617 g002
Figure 3. Coherence Score (CV) by Number of Topics.
Figure 3. Coherence Score (CV) by Number of Topics.
Sustainability 14 02617 g003
Figure 4. Topics Distribution for the 3, 9, and 13 of Topics (Intertopic Distance Map via multidimensional scaling).
Figure 4. Topics Distribution for the 3, 9, and 13 of Topics (Intertopic Distance Map via multidimensional scaling).
Sustainability 14 02617 g004
Figure 5. Number of Publications Per Year.
Figure 5. Number of Publications Per Year.
Sustainability 14 02617 g005
Figure 6. Received Citations per each Transport Mode.
Figure 6. Received Citations per each Transport Mode.
Sustainability 14 02617 g006
Figure 7. Received Citations per each Primary Area of Concern.
Figure 7. Received Citations per each Primary Area of Concern.
Sustainability 14 02617 g007
Figure 8. The Distribution of Research Weighs Heavily on Developed Countries.
Figure 8. The Distribution of Research Weighs Heavily on Developed Countries.
Sustainability 14 02617 g008
Figure 9. Share of Publication.
Figure 9. Share of Publication.
Sustainability 14 02617 g009
Figure 10. Number of Publications in Top 8 Journals.
Figure 10. Number of Publications in Top 8 Journals.
Sustainability 14 02617 g010
Figure 11. Percentage of Topics.
Figure 11. Percentage of Topics.
Sustainability 14 02617 g011
Figure 12. Percentage of Topics by Year.
Figure 12. Percentage of Topics by Year.
Sustainability 14 02617 g012
Figure 13. Average Number of Citation by Topics and Year.
Figure 13. Average Number of Citation by Topics and Year.
Sustainability 14 02617 g013
Table 1. An Example of Dataset for Keyword Analysis.
Table 1. An Example of Dataset for Keyword Analysis.
TitleEvaluating the Impact
Year2021
Source TitleSustainable Cities and Society
Cited By
Linkhttps://www.scopus….
AbstractWalking accessibility planning is seen a... © 2022 The Authors
Author KeywordsAccessibility; …
PublisherElsevier Ltd.
Table 2. Top 10 Most Relevant Terms in pyLDAvis (λ = 0.6).
Table 2. Top 10 Most Relevant Terms in pyLDAvis (λ = 0.6).
Top 10 Most Relevant TermsTopic 1
“Energi Reduct & Electr_Vehicl”
Topic 2
“Health & Mobil”
Topic 3
“Sustain Transport Develop”
1energihealthtransport
2car_sharemobilsustain
3vehiclbicyclpaper
4costcycldevelop
5battericarcase_studi
6servicsharemodel
7systemtransitsustain_transport
8electr_vehiclwalktraffic
9reductstudiciti
10fueltransportstudi
Table 3. The number of studies for each primary area of concern and intended transport modes.
Table 3. The number of studies for each primary area of concern and intended transport modes.
AccessibilityIncreasing Increasing Energy EfficencyGovernance and ManagementHealth ImpactsRoute Network OptimizationCharging Stations OptimizationParking ProvisionsSafetySmartificationSustainability ImpactsTravel BehaviorGrand Total
Air Transport 1 1
Alternative Fuel Vehicle123 129
Autonomous Vehicle 1 23
Bike3 611 1 1720
Bike-Sharing7 3 313
Cable Car 1 1
Cargo Tram 1 1
Carsharing113 12210
Electric Bike2 2
Electric Vehicle 72 16 211 29
Logistics 5 5 35 18
Mobility as a service (MaaS)1 12
Maritime Transport113 1 6
Pedestrian7 1 1 413
Personal Car 22
Public Transport1014 4 5327
Rail Transport636 1 1320
Ride-Sharing2 1 1 4
Road Transportation1637262 2443136176
Scooter 1 1
Grand Total5718112717625105965358
Publisher’s Note: MDPI stays neutral with regard to jurisdictional claims in published maps and institutional affiliations.

Share and Cite

MDPI and ACS Style

Shokoohyar, S.; Jafari Gorizi, A.; Ghomi, V.; Liang, W.; Kim, H.J. Sustainable Transportation in Practice: A Systematic Quantitative Review of Case Studies. Sustainability 2022, 14, 2617. https://doi.org/10.3390/su14052617

AMA Style

Shokoohyar S, Jafari Gorizi A, Ghomi V, Liang W, Kim HJ. Sustainable Transportation in Practice: A Systematic Quantitative Review of Case Studies. Sustainability. 2022; 14(5):2617. https://doi.org/10.3390/su14052617

Chicago/Turabian Style

Shokoohyar, Sina, Amirsalar Jafari Gorizi, Vahid Ghomi, Weimin Liang, and Hak J. Kim. 2022. "Sustainable Transportation in Practice: A Systematic Quantitative Review of Case Studies" Sustainability 14, no. 5: 2617. https://doi.org/10.3390/su14052617

APA Style

Shokoohyar, S., Jafari Gorizi, A., Ghomi, V., Liang, W., & Kim, H. J. (2022). Sustainable Transportation in Practice: A Systematic Quantitative Review of Case Studies. Sustainability, 14(5), 2617. https://doi.org/10.3390/su14052617

Note that from the first issue of 2016, this journal uses article numbers instead of page numbers. See further details here.

Article Metrics

Back to TopTop