Impact of Nitrogen Application Rates on Upland Rice Performance, Planted under Varying Sowing Times
Abstract
1. Introduction
2. Materials and Methods
2.1. Experimental Setup and Crop Management
2.2. Sampling, Measurements and Computations
2.3. Statistical Analysis
3. Results
3.1. Upland Rice Growth and Productivity
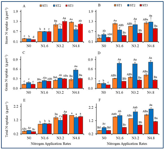
3.2. Nitrogen Uptake
3.3. Nitrogen Use Efficiencies
3.4. Water Use Efficiency
3.5. Correlation Analysis
4. Discussion
5. Conclusions
Supplementary Materials
Author Contributions
Funding
Data Availability Statement
Acknowledgments
Conflicts of Interest
References
- Muthayya, S.; Sugimoto, J.D.; Montgomery, S.; Maberly, G.F. An overview of global rice production, supply, trade, and consumption. Ann. N. Y. Acad. Sci. 2014, 1324, 7–14. [Google Scholar] [CrossRef] [PubMed]
- Sporchia, F.; Thomsen, M.; Caro, D. Drivers and trade–offs of multiple environmental stressors from global rice. Sustain. Prod. Consum. 2021, 26, 16–32. [Google Scholar] [CrossRef]
- FAO. FAOSTAT (Online). Available online: http://www.fao.org/faostat/en/#home (accessed on 18 August 2020).
- Varinruk, B. Thailand Rice Production and Rice Research and Development on Climate Change. In Proceedings of the Workshop on Strengthening APEC Cooperation on Food Security and Climate Change, Ha Noi, Vietnam, 19–21 April 2017. [Google Scholar]
- USDA. Thailand: Irrigation Shortage Reduces 2015/16 Rice Production. Available online: https://ipad.fas.usda.gov/highlights/2015/10/th/index.htm (accessed on 25 June 2020).
- Nascente, A.S.; Lanna, A.C.; de Sousa, T.P.; Chaibub, A.A.; de Souza, A.C.A.; de Filippi, M.C.C.N. Fertilizer dose–dependent efficiency of Serratia spp. for improving growth and yield of upland rice (Oryza sativa L.). Int. J. Plant Prod. 2019, 13, 217–226. [Google Scholar] [CrossRef]
- Ullah, H.; Santiago–Arenas, R.; Ferdous, Z.; Attia, A.; Datta, A. Improving Water Use Efficiency, Nitrogen Use Efficiency, and Radiation Use Efficiency in Field Crops under Drought Stress: A Review, 1st ed.; Elsevier Inc.: Amsterdam, The Netherlands, 2019; Volume 156, ISBN 9780128175989. [Google Scholar]
- GRiSP. Rice Almanac, 4th ed.; International Rice Research Institute: Los Baños, Philippines, 2013. [Google Scholar]
- Hussain, T.; Hussain, N.; Ahmed, M.; Nualsri, C.; Duangpan, S. Responses of lowland rice genotypes under terminal water stress and identification of drought tolerance to stabilize rice productivity in Southern Thailand. Plants 2021, 10, 2565. [Google Scholar] [CrossRef]
- Kumar, V.; Ladha, J.K. Direct Seeding of Rice. Recent Developments and Future Research Needs, 1st ed.; Elsevier Inc.: Amsterdam, The Netherlands, 2011; Volume 111, ISBN 9780123876898. [Google Scholar]
- Nokkoul, R.; Wichitparp, T. Quality of upland rice seed produced during the rainy season in Southern Thailand. Int. J. Plant Anim. Environ. Sci. 2013, 3, 181–184. [Google Scholar]
- Kichey, T.; Hirel, B.; Heumez, E.; Dubois, F.; Le Gouis, J. In winter wheat (Triticum aestivum L.), post–anthesis nitrogen uptake and remobilisation to the grain correlates with agronomic traits and nitrogen physiological markers. Field Crop. Res. 2007, 102, 22–32. [Google Scholar] [CrossRef]
- Sinclair, T.R.; Horie, T. Leaf nitrogen, photosynthesis, and crop radiation use efficiency: A review. Crop Sci. 1989, 29, 90–98. [Google Scholar] [CrossRef]
- Suwanasa, C.; Nualsri, C.; Junsawang, N.; Soonsuwon, W. Yield trial of upland rice (Oryza sativa L.) in Songkhla Province, Thailand. Songklanakarin J. Plant Sci. 2018, 5, 1–6. [Google Scholar]
- Hussain, T.; Anothai, J.; Nualsri, C.; Soonsuwon, W. Application of CSM-CERES-Rice in scheduling irrigation and simulating effect of drought stress on upland rice yield. Indian J. Agric. Res. 2018, 52, 140–145. [Google Scholar] [CrossRef]
- Hussain, T.; Anothai, J.; Nualsri, C.; Soonsuwon, W. Evaluating performance of sixteen upland rice genotypes uder field conditions for further breeding process. J. Agric. Sci. 2018, 10, 144. [Google Scholar] [CrossRef][Green Version]
- Islam, S.; Anothai, J.; Nualsri, C.; Soonsuwon, W. Correlation and path analysis of phenological traits of Thai upland rice genotypes. Songklanakarin J. Plant Sci. 2020, 7, 133–142. [Google Scholar]
- CARSR. Rice Production Status-Highland Farming System; Center for Agricultural Resource System Research, Faculty of Agriculture, Chiang Mai University: Chiang Mai, Thailand, 2003; Available online: http://www.mcc.cmu.ac.th/agsust/highland_SA/riceproduction_highland.htm?fbclid=IwAR1Mjn6SlS7z2N7cUR_U7F9Bnl4MijMGyFti106tFpo_RYdjoDRmyPxtkHg (accessed on 15 October 2021).
- DRRD. Division of Rice Research Development. Rice Knowledge Bank, 2016. Available online: https://brrd.ricethailand.go.th/ (accessed on 13 September 2017).
- Norsuwan, T.; Utasuk, K.; Panyasai, T.; Sangchyoswat, C. Optimization of nitrogen fertilizer application in lowland rice production system of agricultural resource system research station using tailored farm-plot database. Chiang Mai Univ. J. Nat. Sci. 2020, 19, 333–349. [Google Scholar] [CrossRef]
- DRRD. Soil and Fertilizer Management in Rice Fields, Fertilizer Recommendations for Southern Region. Rice Knowledge Bank, Division of Rice Research Development, 2017. Available online: https://webold.ricethailand.go.th/rkb3/title-index.php-file=content.php&id=043.htm#p9 (accessed on 22 December 2021).
- Choudhury, A.T.M.A.; Khanif, Y.M. Effects of nitrogen and copper fertilization on rice yield and fertilizer nitrogen efficiency: A 15N tracer study. Pak. J. Sci. Ind. Res. 2006, 47, 50–55. [Google Scholar]
- Qiao, J.; Yang, L.; Yan, T.; Xue, F.; Zhao, D. Nitrogen fertilizer reduction in rice production for two consecutive years in the Taihu Lake area. Agric. Ecosyst. Environ. 2012, 146, 103–112. [Google Scholar] [CrossRef]
- Belder, P. Water Saving in Lowland Rice Production: An Experimental and Modeling Study; Wageningen University: Wageningen, The Netherlands, 2005; ISBN 9085042240. [Google Scholar]
- Wang, Y.L.; Liu, T.X.; Zhao, P.; Zhang, X.; Tan, J.F.; Li, C.H. Effect of nitrogen fertilizer application on yield, nitrogen absorption and soil nitric N in super–high–yield summer maize. Sci. Agric. Sin. 2013, 46, 2483–2491. [Google Scholar]
- Fang, Q.; Ma, L.; Yu, Q.; Malone, R.W.; Saseendran, S.A.; Ahuja, L.R. Modeling nitrogen and water management effects in a Wheat–Maize double–cropping system. J. Environ. Qual. 2008, 37, 2232–2242. [Google Scholar] [CrossRef] [PubMed]
- Manzoor, Z.; Awan, T.H.; Zahid, M.A.; Faiz, F.A. Response of rice crop (Super Basmati) to different nitrogen levels. J. Anim. Plant Sci. 2006, 16, 52–55. [Google Scholar]
- Farrell, T.C.; Fox, K.; Williams, R.L.; Fukai, S.; Lewin, L.G. Avoiding low temperature damage in Australia’s rice industry with photoperiod sensitive cultivars. In Proceedings of the 11th Australian Agronomy Conference, Geelong, VIC, Australia, 2–6 February 2003. [Google Scholar]
- Nazir, M. Crop Production; Bashir, E., Bantel, R., Eds.; National Book Foundation: Islamabad, Pakistan, 1994; Volume 252. [Google Scholar]
- Watcharin, S.; Kanrob, P.; Charassri, N.; Nattapon, J. Improving photoperiod insensitivity of a Thai upland rice variety by marker–assisted foreground selection. Int. J. Agric. Technol. 2020, 16, 199–206. [Google Scholar]
- Takahashi, H.G.; Yasunari, T. A Climatological monsoon break in rainfall over Indochina—A singularity in the seasonal March of the Asian summer monsoon. J. Clim. 2006, 19, 1545–1556. [Google Scholar] [CrossRef]
- Limsakul, A.; Singhruck, P. Long–term trends and variability of total and extreme precipitation in Thailand. Atmos. Res. 2016, 169, 301–317. [Google Scholar] [CrossRef]
- Gajri, P.R.; Prihar, S.S.; Arora, V.K. Interdependence of nitrogen and irrigation effects on growth and input–use efficiencies in wheat. Field Crop. Res. 1993, 31, 71–86. [Google Scholar] [CrossRef]
- Babel, M.S.; Agarwal, A.; Swain, D.K.; Herath, S. Evaluation of climate change impacts and adaptation measures for rice cultivation in Northeast Thailand. Clim. Res. 2011, 46, 137–146. [Google Scholar] [CrossRef]
- Boonwichai, S.; Shrestha, S.; Babel, M.S.; Weesakul, S.; Datta, A. Evaluation of climate change impacts and adaptation strategies on rainfed rice production in Songkhram River Basin, Thailand. Sci. Total Environ. 2019, 652, 189–201. [Google Scholar] [CrossRef]
- Boonwichai, S.; Shrestha, S.; Pradhan, P.; Babel, M.S.; Datta, A. Adaptation strategies for rainfed rice water management under climate change in Songkhram River Basin, Thailand. J. Water Clim. Chang. 2021, 1–18. [Google Scholar] [CrossRef]
- Sarfraz, R.; Shakoor, A.; Abdullah, M.; Arooj, A.; Hussain, A.; Xing, S. Impact of integrated application of biochar and nitrogen fertilizers on maize growth and nitrogen recovery in alkaline calcareous soil. Soil Sci. Plant Nutr. 2017, 63, 488–498. [Google Scholar] [CrossRef]
- Hammad, H.M.; Farhad, W.; Abbas, F.; Fahad, S.; Saeed, S.; Nasim, W.; Bakhat, H.F. Maize plant nitrogen uptake dynamics at limited irrigation water and nitrogen. Environ. Sci. Pollut. Res. 2017, 24, 2549–2557. [Google Scholar] [CrossRef]
- Abbasi, M.K.; Tahir, M.M.; Sadiq, A.; Iqbal, M.; Zafar, M. Yield and nitrogen use efficiency of rainfed maize response to splitting and nitrogen rates in Kashmir, Pakistan. Agron. J. 2012, 104, 448–457. [Google Scholar] [CrossRef]
- Zhou, Q.; Ju, C.X.; Wang, Z.Q.; Zhang, H.; Liu, L.J.; Yang, J.C.; Zhang, J.H. Grain yield and water use efficiency of super rice under soil water deficit and alternate wetting and drying irrigation. J. Integr. Agric. 2017, 16, 1028–1043. [Google Scholar] [CrossRef]
- Duangpan, S.; Tongchu, Y.; Hussain, T.; Eksomtramage, T.; Onthong, J. Beneficial Effects of Silicon Fertilizer on Growth and Physiological Responses in Oil Palm. Agronomy 2022, 12, 413. [Google Scholar] [CrossRef]
- Duangpan, S.; Buapet, P.; Sujitto, S.; Eksomtramage, T. Early assessment of drought tolerance in oil palm D × P progenies using growth and physiological characters in seedling stage. Plant Genet. Resour. Characterisation Util. 2018, 16, 544–554. [Google Scholar] [CrossRef]
- Wei, T.; Simko, V. R Package “Corrplot”: Visualization of a Correlation Matrix. Available online: https://github.com/taiyun/corrplot (accessed on 10 November 2021).
- Zhang, J.; Tong, T.; Potcho, P.M.; Huang, S.; Ma, L.; Tang, X. Nitrogen effects on yield, quality and physiological characteristics of giant rice. Agronomy 2020, 10, 1816. [Google Scholar] [CrossRef]
- Millard, P. The accumulation and storage of nitrogen by herbaceous plants. Plant Cell Environ. 1988, 11, 1–8. [Google Scholar] [CrossRef]
- Wu, K.; Wang, S.; Song, W.; Zhang, J.; Wang, Y.; Liu, Q.; Yu, J.; Ye, Y.; Li, S.; Chen, J.; et al. Enhanced sustainable green revolution yield via nitrogen-responsive chromatin modulation in rice. Science 2020, 367, eaaz2046. [Google Scholar] [CrossRef]
- Jahan, A.; Islam, A.; Sarkar, M.I.U.; Iqbal, M.; Ahmed, M.N.; Islam, M.R. Nitrogen response of two high yielding rice varieties as influenced by nitrogen levels and growing seasons. Geol. Ecol. Landsc. 2020, 1–8. [Google Scholar] [CrossRef]
- Wang, J.; Lu, K.; Nie, H.; Zeng, Q.; Wu, B.; Qian, J.; Fang, Z. Rice nitrate transporter OsNPF7.2 positively regulates tiller number and grain yield. Rice 2018, 11, 1–13. [Google Scholar] [CrossRef] [PubMed]
- Chen, Z.; Wang, Q.; Ma, J.; Zou, P.; Jiang, L. Impact of controlled–release urea on rice yield, nitrogen use efficiency and soil fertility in a single rice cropping system. Sci. Rep. 2020, 10, 1–10. [Google Scholar] [CrossRef] [PubMed]
- Pal, R.; Mahajan, G.; Sardana, V.; Chauhan, B.S. Impact of sowing date on yield, dry matter and nitrogen accumulation, and nitrogen translocation in dry–seeded rice in North–West India. Field Crop. Res. 2017, 206, 138–148. [Google Scholar] [CrossRef]
- Lupini, A.; Preiti, G.; Badagliacca, G.; Abenavoli, M.R.; Sunseri, F.; Monti, M.; Bacchi, M. Nitrogen use efficiency in durum Wheat under different nitrogen and water regimes in the Mediterranean Basin. Front. Plant Sci. 2021, 11, 1–19. [Google Scholar] [CrossRef] [PubMed]
- Aslam, M.A.; Ahmed, M.; Stöckle, C.O.; Higgins, S.S.; ul Hassan, F.; Hayat, R. Can growing degree days and photoperiod predict spring wheat phenology? Front. Environ. Sci. 2017, 5, 1–10. [Google Scholar] [CrossRef]
- Gomez–Macpherson, H.; Richards, R.A. Effect of sowing time on yield and agronomic characteristics of Wheat in South–eastern Australia. Aust. J. Agric. Res. 1995, 46, 1381–1399. [Google Scholar] [CrossRef]
- Yousaf, M.; Li, X.; Zhang, Z.; Ren, T.; Cong, R.; Ata–Ul–Karim, S.T.; Fahad, S.; Shah, A.N.; Lu, J. Nitrogen fertilizer management for enhancing crop productivity and nitrogen use efficiency in a rice–oilseed rape rotation system in China. Front. Plant Sci. 2016, 7, 1–9. [Google Scholar] [CrossRef] [PubMed]
- Yi, J.; Gao, J.; Zhang, W.; Zhao, C.; Wang, Y.; Zhen, X. Differential uptake and utilization of two forms of nitrogen in Japonica rice cultivars from North-Eastern China. Front. Plant Sci. 2019, 10, 1–11. [Google Scholar] [CrossRef] [PubMed]
- Song, W.; Makeen, K.; Wang, D.; Zhang, C.; Xu, Y.; Zhao, H.; Tu, E.; Zhang, Y.; Shen, Q.; Xu, G. Nitrate supply affects root growth differentially in two rice cultivars differing in nitrogen use efficiency. Plant Soil. 2011, 343, 357–368. [Google Scholar] [CrossRef]
- Qian, X.; Shen, Q.; Xu, G.; Wang, J.; Zhou, M. Nitrogen form effects on yield and nitrogen uptake of rice crop grown in aerobic soil. J. Plant Nutr. 2004, 27, 1061–1076. [Google Scholar] [CrossRef]
- Koutroubas, S.D.; Ntanos, D.A. Genotypic differences for grain yield and nitrogen utilization in Indica and Japonica rice under Mediterranean conditions. Field Crop. Res. 2003, 83, 251–260. [Google Scholar] [CrossRef]








Publisher’s Note: MDPI stays neutral with regard to jurisdictional claims in published maps and institutional affiliations. |
© 2022 by the authors. Licensee MDPI, Basel, Switzerland. This article is an open access article distributed under the terms and conditions of the Creative Commons Attribution (CC BY) license (https://creativecommons.org/licenses/by/4.0/).
Share and Cite
Hussain, T.; Hussain, N.; Ahmed, M.; Nualsri, C.; Duangpan, S. Impact of Nitrogen Application Rates on Upland Rice Performance, Planted under Varying Sowing Times. Sustainability 2022, 14, 1997. https://doi.org/10.3390/su14041997
Hussain T, Hussain N, Ahmed M, Nualsri C, Duangpan S. Impact of Nitrogen Application Rates on Upland Rice Performance, Planted under Varying Sowing Times. Sustainability. 2022; 14(4):1997. https://doi.org/10.3390/su14041997
Chicago/Turabian StyleHussain, Tajamul, Nurda Hussain, Mukhtar Ahmed, Charassri Nualsri, and Saowapa Duangpan. 2022. "Impact of Nitrogen Application Rates on Upland Rice Performance, Planted under Varying Sowing Times" Sustainability 14, no. 4: 1997. https://doi.org/10.3390/su14041997
APA StyleHussain, T., Hussain, N., Ahmed, M., Nualsri, C., & Duangpan, S. (2022). Impact of Nitrogen Application Rates on Upland Rice Performance, Planted under Varying Sowing Times. Sustainability, 14(4), 1997. https://doi.org/10.3390/su14041997

