The Topology of Cultural Destinations’ Accessibility: The Case of Attica, Greece
Abstract
:1. Introduction
2. Literature Review
3. Methodology and Data
3.1. Graph Modelling and Data
3.2. Network Analysis
3.3. Community Detection Based on Modularity Optimization
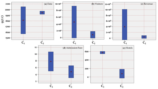
3.4. Empirical Analysis
4. Results
4.1. Network Analysis
4.2. Community Detection
4.3. Empirical Analysis
5. Discussion
6. Conclusions
Author Contributions
Funding
Institutional Review Board Statement
Informed Consent Statement
Data Availability Statement
Acknowledgments
Conflicts of Interest
Appendix A
| Node no. | Label (Node ID) | Description |
|---|---|---|
| 1 | n1 | Acropolis Museum |
| 2 | n2 | National Archaeological Museum |
| 3 | n3 | National Picture Gallery—Alexandros Soutzos Museum |
| 4 | n4 | Benaki Museum |
| 5 | n5 | Byzantine and Christian Museum of Athens |
| 6 | n6 | National Archaeological Museum |
| 7 | n7 | Museum of Modern Greek Culture |
| 8 | n8 | Epigraphical Museum |
| 9 | n9 | Canellopoulos Museum |
| 10 | n11 | Lavrio Museum |
| 11 | n12 | Megara Archaeological Museum |
| 12 | n13 | Museum of Dafni Monastery |
| 13 | n14 | Museum of Kessariani Monastery |
| 14 | n15 | Numismatic Museum |
| 15 | n16 | Pireas Archaeological Museum |
| 16 | n20 | Tjistaraki Mosque Museum |
| 17 | n21 | Acropolis of Athens |
| 18 | n22 | Ancient Site of Amfiaraio |
| 19 | n23 | Archaeological Site of Lykeion |
| 20 | n24 | Ancient Agora |
| 21 | n25 | Library of Adrianos |
| 22 | n26 | Temple of Artemis at Vravrona |
| 23 | n27 | Ancient Site of Elefsina |
| 24 | n28 | Theatre of Dionysus |
| 25 | n30 | Ancient Site of Keramikos |
| 26 | n31 | Tomb of Marathonas |
| 27 | n34 | Ancient Site of Olympiio |
| 28 | n35 | Ancient Site of Ramnous |
| 29 | n36 | Roman Agora (Forum Romanum) |
| 30 | n37 | Ancient Site of Sounio |
| 31 | n38 | Paiania Cave Koutouki |




References
- United Nations World Tourism Organisation (UNWTO). Tourism and Culture. Available online: https://www.unwto.org/tourism-and-culture (accessed on 30 November 2020).
- Darbellay, F.; Stock, M. Tourism as complex interdisciplinary research object. Ann. Tour. Res. 2012, 39, 441–458. [Google Scholar] [CrossRef]
- Kalantzi, O.; Tsiotas, D.; Polyzos, S. The contribution of tourism in national economies: Evidence of Greece. EJBSS 2016, 5, 41–64. [Google Scholar]
- Polyzos, S. Regional Development, 2nd ed.; Kritiki: Athens, Greece, 2019; ISBN 9789602187302. [Google Scholar]
- Polyzos, S.; Tsiotas, D. The contribution of transport infrastructures to the economic and regional development. Theor. Empir. Res. Urban Manag. 2020, 15, 5–23. [Google Scholar]
- Csapo, J. The role and importance of cultural tourism in modern tourism industry. Strateg. Tour. Ind.-Micro Macro Perspect. 2012, 10, 201–212. [Google Scholar]
- Polyzos, S.; Arabatzis, G.; Tsiantikoudis, S. The attractiveness of archaeological sites in Greece: A spatial analysis. Int. J. Tour. Policy 2007, 1, 246–266. [Google Scholar] [CrossRef]
- Rodrigue, J.P.; Comtois, C.; Slack, B. The Geography of Transport Systems; Routledge: New York, NY, USA, 2013. [Google Scholar]
- United Nations World Tourism Organisation (UNWTO). Tourism Highlights. 2018. Available online: https://www.e-unwto.org/doi/pdf/10.18111/9789284419876 (accessed on 30 November 2020).
- Richards, G. Cultural tourism: A review of recent research and trends. J. Hosp. Tour. Manag. 2018, 36, 12–21. [Google Scholar] [CrossRef]
- Wu, M.; Gao, X.; Cao, M.; Papa, E.; Zhu, X. The changes of intergovernmental collaboration dynamic in post-disaster destination management: Network analysis. J. Hosp. Tour. Manag. 2021, 48, 32–45. [Google Scholar] [CrossRef]
- Presenza, A.; Cipollina, M. Analysing tourism stakeholders networks. Tour. Rev. 2010, 65, 17–30. [Google Scholar] [CrossRef]
- Tran, M.T.; Jeeva, A.S.; Pourabedin, Z. Social network analysis in tourism services distribution channels. Tour. Manag. Perspect. 2016, 18, 59–67. [Google Scholar] [CrossRef]
- Shih, H.Y. Network characteristics of drive tourism destinations: An application of network analysis in tourism. Tour. Manag. 2006, 27, 1029–1039. [Google Scholar] [CrossRef]
- Kang, S.; Lee, G.; Kim, J.; Park, D. Identifying the spatial structure of the tourist attraction system in South Korea using GIS and network analysis: An application of anchor-point theory. J. Destin. Mark. Manag. 2018, 9, 358–370. [Google Scholar] [CrossRef]
- Yang, Y. Understanding tourist attraction cooperation: An application of network analysis to the case of Shanghai, China. J. Destin. Mark. Manag. 2018, 8, 396–411. [Google Scholar] [CrossRef]
- Liu, B.; Huang, S.S.; Fu, H. An application of network analysis on tourist attractions: The case of Xinjiang, China. Tour. Manag. 2017, 58, 132–141. [Google Scholar] [CrossRef]
- Li, W.; Guan, H.; Han, Y.; Zhu, H.; Zhao, P. Accessibility of Multimode Transport Facilities to Suburban Tourist Attractions: Analysis Based on Meso or Microcommunity Scale in Beijing. J. Urban Plan. Dev. 2021, 147, 04021026. [Google Scholar] [CrossRef]
- Sánchez-Martín, J.M.; Gurría-Gascón, J.L.; García-Berzosa, M.J. The cultural heritage and the shaping of tourist itineraries in rural areas: The case of historical ensembles of Extremadura, Spain. ISPRS Int. J. Geo-Inf. 2020, 9, 200. [Google Scholar] [CrossRef] [Green Version]
- Guedes, A.S.; Jiménez, M.I.M. Spatial patterns of cultural tourism in Portugal. Tour. Manag. Perspect. 2015, 16, 107–115. [Google Scholar] [CrossRef]
- Lozano, S.; Gutiérrez, E. A complex network analysis of global tourism flows. Int. J. Tour. Res. 2018, 20, 588–604. [Google Scholar] [CrossRef]
- Boukas, N.; Ziakas, V.; Boustras, G. Towards reviving post-Olympic Athens as a cultural destination. Curr. Issues Tour. 2012, 15, 89–105. [Google Scholar] [CrossRef]
- Gkritzali, A.; Gritzalis, D.; Stavrou, V. Is Xenios Zeus still alive? Destination image of Athens in the years of recession. J. Travel Res. 2018, 57, 540–554. [Google Scholar] [CrossRef]
- Papatheodorou, A.; Arvanitis, P. Effect of economic crisis on a prefecture level. Région Et Développement 2014, 39, 183–203. [Google Scholar]
- Economou, A.; Mitoula, R. Tourism Development and Impact on the Environment in the Region of Attica. In Proceedings of the 7th International Conference of Law, Business, Marketing and Corporate Social Responsibilities, London, UK, 4–6 December 2017. [Google Scholar]
- Cheirchanteri, G. Industrial Cultural Heritage as an Alternative Tourism Model: Case study of the Wider Lavreotiki area in Southeastern Attica. In IOP Conference Series: Materials Science and Engineering; IOP Publishing: Bristol, UK, 2019; Volume 603, p. 022001. [Google Scholar]
- Barabasi, A.-L. Network science. Phil. Trans. R. Soc. A 2013, 371, 20120375. [Google Scholar] [CrossRef] [PubMed]
- Barthélemy, M. Spatial networks. Phys. Rep. 2011, 499, 1–101. [Google Scholar] [CrossRef] [Green Version]
- Baggio, R.; Scott, N.; Cooper, C. Network science: A review focused on tourism. Ann. Tour. Res. 2010, 37, 802–827. [Google Scholar] [CrossRef]
- Tsiotas, D.; Polyzos, S. The complexity in the study of spatial networks: An epistemological approach. Netw. Spat. Econ. 2018, 18, 1–32. [Google Scholar] [CrossRef]
- Hellenic Statistical Authority—ELSTAT. Museums and Archaeological Sites (Visitors, Receipts). Available online: https://www.statistics.gr/en/statistics/-/publication/SCI21/2019-M12 (accessed on 15 May 2021).
- Koschutzki, D.; Lehmann, K.; Peeters, L.; Richter, S. Centrality indices. In Network Analysis; Brandes, U., Erlebach, T., Eds.; Springer Publications: Berlin, Germany, 2005; pp. 16–61. [Google Scholar]
- Newman, M.E.J. Networks: An Introduction; Oxford University Press: Oxford, UK, 2010. [Google Scholar]
- Fortunato, S. Community detection in graphs. Phys. Rep. 2010, 486, 75–174. [Google Scholar] [CrossRef] [Green Version]
- Kivela, M.; Arenas, A.; Barthelemy, M.; Gleeson, J.; Moreno, Y.; Porter, M.A. Multilayer networks. J. Complex Netw. 2014, 2, 203–271. [Google Scholar] [CrossRef] [Green Version]
- Google Maps. Google Mapping Services. Available online: www.google.gr/maps?hl=el (accessed on 15 April 2021).
- Tsiotas, D. Detecting different topologies immanent in scale-free networks with the same degree distribution. Proc. Natl. Acad. Sci. USA 2019, 116, 6701–6706. [Google Scholar] [CrossRef] [Green Version]
- Boccaletti, S.; Bianconi, G.; Criado, R.; del Genio, C.I.; Gomez-Gardenes, J.; Romance, M.; Sendina-Nadal, I.; Wang, Z.; Zanin, M. The structure and dynamics of multilayer networks. Phys. Rep. 2014, 544, 1–122. [Google Scholar] [CrossRef] [Green Version]
- Walpole, R.E.; Myers, R.H.; Myers, S.L.; Ye, K. Probability & Statistics for Engineers & Scientists, 9th ed.; Prentice Hall Publications: New York, NY, USA, 2012. [Google Scholar]
- Norusis, M. SPSS 16.0 Advanced Statistical Procedures Companion; Prentice Hall Press: New Jersey, NY, USA, 2008. [Google Scholar]
- Albert, R.; Barabasi, A.-L. Statistical mechanics of complex networks. Rev. Mod. Phys. 2002, 74, 1–47. [Google Scholar] [CrossRef] [Green Version]
- Tsiotas, D. Detecting differences in the topology of scale-free networks grown under time-dynamic topological fitness. Sci. Rep. 2020, 10, 10630. [Google Scholar] [CrossRef]
- Blondel, V.; Guillaume, J.-L.; Lambiotte, R.; Lefebvre, E. Fast unfolding of communities in large networks. J. Stat. Mech. 2008, 10, P10008. [Google Scholar] [CrossRef] [Green Version]
- Bastian, M.; Heymann, S.; Jacomy, M. Gephi: An open source software for exploring and manipulating networks. In Proceedings of the Third International ICWSM Conference, San Jose, CA, USA, 17–20 May 2009; The AAAI Press: Menlo Park, CA, USA, 2009; pp. 361–362. [Google Scholar]
- TripAdvisor. Hotels in Attica. Available online: https://www.tripadvisor.com.gr/Hotels-g189400-Athens_Attica-Hotels.html (accessed on 25 May 2020).
- Tsiotas, D. Drawing indicators of economic performance from network topology: The case of the interregional road transportation in Greece. Res. Transp. Econ. 2021, 90, 101004. [Google Scholar] [CrossRef]
- Polyzos, S.; Tsiotas, D.; Kantlis, A. Determining the Tourism Developmental Dynamics of the Greek Regions, by using TALC Theory. TOURISMOS Int. Multidiscip. J. Tour. 2013, 8, 159–178. [Google Scholar]
- Almeida, J.; Costa, C.; da Silva, F.N. A framework for conflict analysis in spatial planning for tourism. Tour. Manag. Perspect. 2017, 24, 94–106. [Google Scholar] [CrossRef]
- Buhalis, D. Tourism in Greece: Strategic analysis and challenges. Curr. Issues Tour. 2001, 4, 440–480. [Google Scholar] [CrossRef]
- Karpodini-Dimitriadi, E. Developing cultural tourism in Greece. In Tourism and Cultural Conflicts; CAB International Publishing: Wallingford, UK, 1999; pp. 113–127. [Google Scholar]
- Richards, G. Cultural tourism. In Routledge Handbook of Leisure Studies; Routledge: New York, NY, USA, 2013; pp. 505–514. [Google Scholar]
- Ioannides, D. Strengthening the ties between tourism and economic geography: A theoretical agenda. Prof. Geogr. 1995, 47, 49–60. [Google Scholar] [CrossRef]








| Measure | Symbol | Description | Math Formula |
|---|---|---|---|
| Graph density | ρ | The fraction of the existing connections of the graph (m) to the number of the possible connections (equal to , where n is the number of nodes). It expresses the probability to meet in the GMN a connected pair of nodes. | |
| Node Degree (local) | k | The number of edges k(i) being adjacent to a given node i belonging to a graph G (V,E), where V is the node-set and E is the edge-set. Node-degree expresses the node’s communication potential. | |
| Node strength (local) | s | For a network edge , where E is the edge-set, node-strength s(i) is defined by the sum of edge weights wij being adjacent to a given node i. | |
| Average Path Length | The average length of the network shortest paths d(i,j), where n is the number of nodes in the network. | ||
| Clustering Coefficient (local) | C(i) | The probability of meeting linked neighbors around a node i, which is equivalent to the number of the node’s connected neighbors E(i) (i.e., the number of triangles that are conFig.d in the neighborhood), divided by the number of the total triplets shaped by this node, which equals to ki × (ki – 1), where ki is the degree of node i. | |
| Modularity | Q | An objective function expressing the potential of a network to be subdivided into communities. In its mathematical formula, gi is the community of node i ∈ V (where V is the node-set), is the difference of the actual (Aij) minus the expected (Pij) number of edges falling between a particular pair of vertices i,j ∈ V, and δ(gi,gj) is an indicator (the Kronecker’s) function returning 1 when gi = gj. | |
| Closeness Centrality (local) | CC | The inverse of the total binary distance d(i,j) computed on the shortest paths originating from a given node i ∈ V (where V is the node-set) having destinations with all the other nodes j ∈ V in the network. This measure expresses the node’s reachability from all other nodes in the network. | |
| Betweenness Centrality (local) | CB | Defined by the proportion of the σ(i) shortest paths in the network that pass through a given node i. |
| Attribute | Description | Data Source |
|---|---|---|
| Visitors | Node’s total visitors in 2019 | [31] |
| Revenue | Node’s total revenues in 2019 (€) | [31] |
| Establishment Date | The year that each site was proclaimed to museum | [*] |
| Admission Fees | Node’s admission fee during summer 2019 | Node’s official website |
| Hotels | Number of neighbor hotels registered in TripAdvisor database within a 2 km distance range | [45] |
| ACDN(A) | ACDN(C) | ACDN(P) | ACDN(T) | |
|---|---|---|---|---|
| Nodes (G) | 31 | 31 * | ||
| Edges (E) | 116 | 91 | 94 | 26 |
| Components | 1 | 1 | 1 | 19 |
| Graph density (ρ) | 0.249 | 0.196 | 0.202 | 0.056 |
| Maximum degree (kmax) | 14 | 13 | 11 | 5 |
| ) | 7.784 | 5.871 | 6.065 | 1.677 |
| (min) | 269.61 | 181.87 | 1428.90 | 83.48 |
| (km) | 177.87 | 188.92 | 113.16 | 18.24 |
| Network diameter (dG) | 4 | 6 | 4 | 6 |
| ) | 2.088 | 2.53 | 2.26 | 3.11 |
| A. Central (Urban Core) Community of the ACDN | ||||
| ACDN(A) | ACDN(C) | ACDN(P) | ACDN(T) | |
| Edges | 46 | 24 | 44 * | 12 |
| Graph Density | 0.338 | 0.175 | 0.324 | 0.088 |
| Average Degree | 5.412 | 2.824 | 5.176 | 1.412 |
| Average Weighted Time | 41.059 | 12.941 | 62.588 | 17.059 |
| Average Weighted Distance | 4.709 | 3.688 | 4.78 | 1.959 |
| Network Diameter | 3 | 6 | 3 | 3 |
| Average Path Length | 1.801 | 2.592 | 1.86 | 1.692 |
| Clustering Coefficient | 0.565 | 0.438 | 0.589 | 0.444 |
| B. Peripheral Community of the ACDN | ||||
| ACDN(A) | ACDN(C) | ACDN(P) | ACDN(T) | |
| Edges | 57 | 55 | 40 | 8 |
| Graph Density | 0.626 | 0.604 | 0.44 | 0.088 |
| Average Degree | 8.143 | 7.857 | 5.714 | 1.143 |
| Average Weighted Time | 490 | 344.857 | 2934.286 | 133.286 |
| Average Weighted Distance | 354.443 | 378.657 | 232.486 | 31.657 |
| Network Diameter | 3 | 3 | 3 | 4 |
| Average Path Length | 1.395 | 1.418 | 1.637 | 1.905 |
| Clustering Coefficient | 0.74 | 0.745 | 0.627 | 0 |
Publisher’s Note: MDPI stays neutral with regard to jurisdictional claims in published maps and institutional affiliations. |
© 2022 by the authors. Licensee MDPI, Basel, Switzerland. This article is an open access article distributed under the terms and conditions of the Creative Commons Attribution (CC BY) license (https://creativecommons.org/licenses/by/4.0/).
Share and Cite
Kranioti, A.; Tsiotas, D.; Polyzos, S. The Topology of Cultural Destinations’ Accessibility: The Case of Attica, Greece. Sustainability 2022, 14, 1860. https://doi.org/10.3390/su14031860
Kranioti A, Tsiotas D, Polyzos S. The Topology of Cultural Destinations’ Accessibility: The Case of Attica, Greece. Sustainability. 2022; 14(3):1860. https://doi.org/10.3390/su14031860
Chicago/Turabian StyleKranioti, Areti, Dimitrios Tsiotas, and Serafeim Polyzos. 2022. "The Topology of Cultural Destinations’ Accessibility: The Case of Attica, Greece" Sustainability 14, no. 3: 1860. https://doi.org/10.3390/su14031860
APA StyleKranioti, A., Tsiotas, D., & Polyzos, S. (2022). The Topology of Cultural Destinations’ Accessibility: The Case of Attica, Greece. Sustainability, 14(3), 1860. https://doi.org/10.3390/su14031860

