Stakeholders’ Perceptions of New Digital Energy Management Platform in Municipality of Loulé, Southern Portugal: A SWOT-AHP Analysis
Abstract
1. Introduction
2. Study Area
3. Methodology
3.1. Overall Methodological Framework
3.2. Preparation and Data Collection—Stage 1
3.3. SWOT Analysis—Stage 2
3.4. AHP Analysis—Stage 3
3.4.1. Hierarchy Configuration
3.4.2. Pairwise Comparisons
3.4.3. CR Calculation
3.4.4. Global Priority
3.5. TOWS Matrix Analysis
- ▪
- The Weakness-Threat (WT) strategy that attempts to reduce the impact of Threats by considering Weaknesses (min-min);
- ▪
- The Weakness-Opportunity (WO) strategy takes into account Weaknesses to obtain the benefits of Opportunities (min-max);
- ▪
- The Strengths-Threat (ST) strategy is based on the principle of making good use of strengths to eliminate or reduce the impact of Threats (max- min);
- ▪
- The Strengths-Opportunity (SO) strategy is based on the principle of making good use of Opportunities through existing Strengths (max-max).
4. Results and Discussion
4.1. SWOT Analysis and CR Determination
4.2. Stakeholders’ Overall SWOT-AHP Analysis
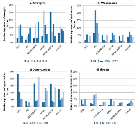
4.3. Diversity in the Perception of Stakeholder Groups
4.4. Strategy Formulation Using a TOWS Matrix
4.4.1. Strength-Opportunity (SO) Strategy
4.4.2. Weakness-Opportunity (WO) Strategies
5. Conclusions
Author Contributions
Funding
Institutional Review Board Statement
Informed Consent Statement
Data Availability Statement
Acknowledgments
Conflicts of Interest
References
- UN Transforming Our World: The 2030 Agenda for Sustainable Development (A/RES/70/1). United Nations, Resolution Adopted by the General Assembly on 25 September 2015. Available online: https://www.un.org/en/development/desa/population/migration/generalassembly/docs/globalcompact/A_RES_70_1_E.pdf. (accessed on 5 March 2021).
- IBM. The World’s 4 Trillion Dollar Challenge: Using a System-of-Systems Approach to Build a Smarter Planet; IBM Institute for Business Value, NY, United States of America: 2010. Available online: https://www.ibm.com/ibm/files/Y067208R89372O94/11The_worlds_4_trillion_dollar_challenge-Executive_Report_1_3MB.pdf (accessed on 5 March 2021).
- Westraadt, L.; Calitz, A. A Modelling Framework for Integrated Smart City Planning and Management. Sustain. Cities Soc. 2020, 63, 12. [Google Scholar] [CrossRef]
- IEC. White Paper: Orchestrating Infrastructure for Sustainable Smart Cities; International Electrotechnical Commission: Geneva, Switzerland, 2015. [Google Scholar]
- Barbosa, M.; Castañeda-Ayarza, J.A.; Lombardo Ferreira, D.H. Sustainable Strategic Management (GES): Sustainability in Small Business. J. Clean. Prod. 2020, 258, 11. [Google Scholar] [CrossRef]
- United Nations. Report of the Secretary-General on SDG Progress 2019: Special Edition; New York, United States of America. 2019. Available online: https://sustainabledevelopment.un.org/content/documents/24978Report_of_the_SG_on_SDG_Progress_2019.pdf (accessed on 1 October 2021).
- Castor, J.; Bacha, K.; Fuso Nerini, F. SDGs in Action: A Novel Framework for Assessing Energy Projects against the Sustainable Development Goals. Energy Res. Soc. Sci. 2020, 68, 101556. [Google Scholar] [CrossRef]
- Marinakis, V.; Doukas, H. An Advanced IoT-Based System for Intelligent Energy Management in Buildings. Sensors 2018, 18, 610. [Google Scholar] [CrossRef]
- Canfora, P.; Antonopoulos, I.S.; Dri, M.; Gaudillat, P.F.; Schonberger, H. Best Environmental Management Practice for the Public Administration Sector. EUR 29705 EN; Publications Office of the European Union: Luxembourg, 2019; ISBN 978-92-76-01442-3. [Google Scholar] [CrossRef]
- Fekete, H.; Kuramochi, T.; Roelfsema, M.; den Elzen, M.; Forsell, N.; Höhne, N.; Luna, L.; Hans, F.; Sterl, S.; Olivier, J.; et al. A Review of Successful Climate Change Mitigation Policies in Major Emitting Economies and the Potential of Global Replication. Renew. Sustain. Energy Rev. 2021, 137, 110602. [Google Scholar] [CrossRef]
- Eicker, U.; Weiler, V.; Schumacher, J.; Braun, R. On the Design of an Urban Data and Modeling Platform and Its Application to Urban District Analyses. Energy Build. 2020, 217, 109954. [Google Scholar] [CrossRef]
- Teixeira, M.R.; Mendes, P.; Murta, E.; Nunes, L.M. Performance Indicators Matrix as a Methodology for Energy Management in Municipal Water Services. J. Clean. Prod. 2016, 125, 108–120. [Google Scholar] [CrossRef]
- Eicker, U.; Schumacher, J.; Weiler, V.; Braun, R. On the Design of an Urban Modelling Platform and Its Application for a New York Analysis. In Proceedings of the Building Simulation Conference, Rome, Italy, 2–4 September 2019; Volume 5, pp. 3508–3515. [Google Scholar] [CrossRef]
- Fredriksson, C.; Mubarak, F.; Tuohimaa, M.; Zhan, M. Big Data in the Public Sector: A Systematic Literature Review. Scand. J. Public Adm. 2017, 21, 39–62. [Google Scholar]
- Gandomi, A.; Haider, M. Beyond the Hype: Big Data Concepts, Methods, and Analytics. Int. J. Inf. Manag. 2015, 35, 137–144. [Google Scholar] [CrossRef]
- López-Robles, J.R.; Otegi-Olaso, J.R.; Porto Gómez, I.; Cobo, M.J. 30 Years of Intelligence Models in Management and Business: A Bibliometric Review. Int. J. Inf. Manag. 2019, 48, 22–38. [Google Scholar] [CrossRef]
- Hester, P. Analyzing Stakeholders Using Fuzzy Cognitive Mapping. Procedia Comput. Sci. 2015, 61, 92–97. [Google Scholar] [CrossRef][Green Version]
- Sun, Y.; Li, Y.; Cai, B.f.; Li, Q. Comparing the Explicit and Implicit Attitudes of Energy Stakeholders and the Public towards Carbon Capture and Storage. J. Clean. Prod. 2020, 254, 120051. [Google Scholar] [CrossRef]
- Stojčetović, B.; Nikolić, D.; Živković, Ž.; Bogdanović, D. Swot-AHP Method Application to Determine Current Energy Situation and Define Strategies for Energy Security Improvement. Therm. Sci. 2019, 23, 861–872. [Google Scholar] [CrossRef]
- Giovani Palafox-Alcantar, P.; Hunt, D.V.L.; Rogers, C.D.F. A Hybrid Methodology to Study Stakeholder Cooperation in Circular Economy Waste Management of Cities. Energies 2020, 13, 1845. [Google Scholar] [CrossRef]
- Shaaban, M.; Scheffran, J.; Böhner, J.; Elsobki, M.S. A Dynamic Sustainability Analysis of Energy Landscapes in Egypt: A Spatial Agent-Based Model Combined with Multi-Criteria Decision Analysis. J. Artif. Soc. Soc. Simul. 2019, 22(1), 4. [Google Scholar] [CrossRef]
- Haque, H.M.E.; Dhakal, S.; Mostafa, S.M.G. An Assessment of Opportunities and Challenges for Cross-Border Electricity Trade for Bangladesh Using SWOT-AHP Approach. Energy Policy 2020, 137, 111118. [Google Scholar] [CrossRef]
- Dhakal, S.; Karki, P.; Shrestha, S. Cross-Border Electricity Trade for Nepal: A SWOT-AHP Analysis of Barriers and Opportunities Based on Stakeholders’ Perception. Int. J. Water Resour. Dev. 2021, 37, 559–580. [Google Scholar] [CrossRef]
- De Las Casas, A.L.; Mirkova, I.; Ramos-Real, F.J. Stakeholders’ Perceptions of the Possible Energy Sustainability Solutions in the Hotels of the Canary Islands. Sustainability 2021, 13, 6943. [Google Scholar] [CrossRef]
- Gottfried, O.; De Clercq, D.; Blair, E.; Weng, X.; Wang, C. SWOT-AHP-TOWS Analysis of Private Investment Behavior in the Chinese Biogas Sector. J. Clean. Prod. 2018, 184, 632–647. [Google Scholar] [CrossRef]
- Papapostolou, A.; Karakosta, C.; Apostolidis, G.; Doukas, H. An AHP-SWOT-Fuzzy TOPSIS Approach for Achieving a Cross-Border RES Cooperation. Sustainability 2020, 12, 2886. [Google Scholar] [CrossRef]
- INE. Censos—Resultados Provisórios—2011; Instituto Nacional de Estatística (INE): Lisbon, Portugal, 2011. (In Portuguese) [Google Scholar]
- Mendes, P.; Santos, A.C.; Nunes, L.M.; Teixeira, M.R. Evaluating Municipal Solid Waste Management Performance in Regions with Strong Seasonal Variability. Ecol. Indic. 2013, 30, 170–177. [Google Scholar] [CrossRef]
- PMAC-Loulé. Plano Municipal de Ação Climática; Câmara Municipal de Loulé: Loulé, Portugal, 2020; Volume 1, p. 365. [Google Scholar]
- CML. Despacho n.o 4402/2019. In Regulamento Da Organização e Estrutura Dos Serviços Municipais; Câmara Municipal de Loulé: Loulé, Portugal, 2019. [Google Scholar]
- Kostevšek, A.; Petek, J.; Čuček, L.; Pivec, A. Conceptual Design of a Municipal Energy and Environmental System Asan Efficient Basis for Advanced Energy Planning. Energy 2013, 60, 148–158. [Google Scholar] [CrossRef]
- ISO 50001. ISO 50001—Energy Management. 2018. Available online: https://www.iso.org/iso-50001-energy-management.html (accessed on 3 March 2021).
- Kurttila, M.; Pesonen, M.; Kangas, J.; Kajanus, M. Utilizing the Analytic Hierarchy Process (AHP) in SWOT Analysis—A Hybrid Method and Its Application to a Forest-Certification Case. For. Policy Econ. 2000, 1, 41–52. [Google Scholar] [CrossRef]
- IEA. International Energy Agency World Energy Outlook 2019; IEA: France, 2019. [Google Scholar]
- Uddin, M.N.; Hossain, M.M.; Chen, Y.; Siriwong, W.; Boonyanuphap, J. Stakeholders’ Perception on Indigenous Community-Based Management of Village Common Forests in Chittagong Hill Tracts, Bangladesh. For. Policy Econ. 2019, 100, 102–112. [Google Scholar] [CrossRef]
- Syamsuddin, A.P.; Ridwan; Supratman. Application of SWOT-AHP in Analyzing External and Internal Environment of Youth Empowerments. IOP Conf. Ser. Earth Environ. Sci. 2020, 473, 8. [Google Scholar] [CrossRef]
- Angelo, P.C.; Ravisankar, B. Subjective Questions. In Introduction to Steels; CRC Press: Boca Raton, FL, USA, 2019; pp. 133–144. [Google Scholar] [CrossRef]
- Reed, B.; Chan-Halbrendt, C.; Tamang, B.B.; Chaudhary, N. Analysis of Conservation Agriculture Preferences for Researchers, Extension Agents, and Tribal Farmers in Nepal Using Analytic Hierarchy Process. Agric. Syst. 2014, 127, 90–96. [Google Scholar] [CrossRef]
- Olum, S.; Gellynck, X.; Okello, C.; Webale, D.; Odongo, W.; Ongeng, D.; De Steur, H. Stakeholders’ Perceptions of Agronomic Iodine Biofortification: A SWOT-AHP Analysis in Northern Uganda. Nutrients 2018, 10, 407. [Google Scholar] [CrossRef]
- Saaty, T.L. Decision Making with the Analytic Hierarchy Process. Int. J. Serv. Sci. 2008, 1, 83–98. [Google Scholar] [CrossRef]
- Solangi, Y.A.; Tan, Q.; Mirjat, N.H.; Ali, S. Evaluating the Strategies for Sustainable Energy Planning in Pakistan: An Integrated SWOT-AHP and Fuzzy-TOPSIS Approach. J. Clean. Prod. 2019, 236, 117655. [Google Scholar] [CrossRef]
- Saaty, T.L.; Kearns, K.P. The Analytic Hierarchy Process. In Analytical Planning; Elsevier: Amsterdam, The Netherlands, 1985; pp. 19–62. [Google Scholar] [CrossRef]
- Saaty, T.L. The Modern Science of Multicriteria Decision Making and Its Practical Applications: The AHP/ANP Approach. Oper. Res. 2013, 61, 1101–1118. [Google Scholar] [CrossRef]
- Saaty, T.L. A Scaling Method for Priorities in Hierarchical Structures. J. Math. Psychol. 1977, 15, 234–281. [Google Scholar] [CrossRef]
- Budi, S.; Eko, P.B.W.H.; Hartuti, P. The Priority of Beef Cattle Farm Development Strategy in Semarang Regency Using Ahp and Swot (a’Wot) Method. J. Sustain. Sci. Manag. 2020, 15, 125–136. [Google Scholar] [CrossRef]
- Lee, J.; Kim, I.; Kim, H.; Kang, J. SWOT-AHP Analysis of the Korean Satellite and Space Industry: Strategy Recommendations for Development. Technol. Forecast. Soc. Chang. 2021, 164, 120515. [Google Scholar] [CrossRef]
- Catron, J.; Stainback, G.A.; Dwivedi, P.; Lhotka, J.M. Bioenergy Development in Kentucky: A SWOT-ANP Analysis. For. Policy Econ. 2013, 28, 38–43. [Google Scholar] [CrossRef]
- Khan, H.M.; Iqbal, T.; Yasin, S.; Irfan, M.; Kazmi, M.; Fayaz, H.; Mujtaba, M.A.; Ali, C.H.; Kalam, M.A.; Soudagar, M.E.M.; et al. Production and Utilization Aspects of Waste Cooking Oil Based Biodiesel in Pakistan. Alex. Eng. J. 2021, 60, 5831–5849. [Google Scholar] [CrossRef]
- Weihrich, H. The TOWS Matrix-A Tool for Situational Analysis. Long Range Plan. 1982, 15, 54–66. [Google Scholar] [CrossRef]
- Díaz-López, C.; Carpio, M.; Martín-Morales, M.; Zamorano, M. Defining Strategies to Adopt Level(s) for Bringing Buildings into the Circular Economy. A Case Study of Spain. J. Clean. Prod. 2021, 287, 125048. [Google Scholar] [CrossRef]
- Zekić-Sušac, M.; Mitrović, S.; Has, A. Machine Learning Based System for Managing Energy Efficiency of Public Sector as an Approach towards Smart Cities. Int. J. Inf. Manag. 2020, 58, 102074. [Google Scholar] [CrossRef]
- Lepenioti, K.; Bousdekis, A.; Apostolou, D.; Mentzas, G. Prescriptive Analytics: Literature Review and Research Challenges. Int. J. Inf. Manag. 2020, 50, 57–70. [Google Scholar] [CrossRef]
- Romero Rodríguez, L.; Brennenstuhl, M.; Yadack, M.; Boch, P.; Eicker, U. Heuristic Optimization of Clusters of Heat Pumps: A Simulation and Case Study of Residential Frequency Reserve. Appl. Energy 2019, 233–234, 943–958. [Google Scholar] [CrossRef]
- Halkos, G.E.; Gkampoura, E.C. Evaluating the Effect of Economic Crisis on Energy Poverty in Europe. Renew. Sustain. Energy Rev. 2021, 144, 110981. [Google Scholar] [CrossRef]
- Polat, Z.A.; Alkan, M.; Sürmeneli, H.G. Determining Strategies for the Cadastre 2034 Vision Using an AHP-Based SWOT Analysis: A Case Study for the Turkish Cadastral and Land Administration System. Land Use Policy 2017, 67, 151–166. [Google Scholar] [CrossRef]
- International Energy Agency. Digitalization & Energy; IEA: Paris, France, 2017; p. 186. [Google Scholar] [CrossRef]
- Hassan, N.H.M.; Ahmad, K.; Salehuddin, H. Diagnosing the Issues and Challenges in Data Integration Implementation in Public Sector. Int. J. Adv. Sci. Eng. Inf. Technol. 2020, 10, 529–535. [Google Scholar] [CrossRef]
- Mohammed, M.A.; Maroof, E.Y.; Thamer, A.; Huda, I. What Are the Electronic Information Sharing Factors That Influence the Participation Behavior in Higher Education Sector? Procedia Comput. Sci. 2015, 72, 49–58. [Google Scholar] [CrossRef][Green Version]
- Akatkin, Y.; Yasinovskaya, E. Data-Centricity as the Key Enabler of Digital Government: Is Russia Ready for Digital Transformation of Public Sector. Commun. Comput. Inf. Sci. 2019, 947, 439–454. [Google Scholar] [CrossRef]
- OECD. Oslo Manual 2018—Organization for Economic Cooperation and Development; The Measurement of Scientific, Technological and Innovation Activities; OECD: Paris, France, 2018. [Google Scholar] [CrossRef]








| Number of Experts | Stakeholder Groups | Function Performed | Contribution Developed |
|---|---|---|---|
| 7 | Municipal Council of Loulé (MCL) | Public sector workers in the municipality of Loulé | Responsible for the implementation of the platform, allowing forecasts and implementation of energy efficiency measures |
| 6 | Academic Group (AG) | Researchers working in a higher education institution | Support for innovation and research |
| 6 | Computer Systems Company (ALGARDATA) | Specialized in the area of programming and database management | Importance in the automation of computer processes |
| 3 | Algarve Regional Energy and Environment Agency (AREAL) | Regional energy innovation, developing projects and energy certification | Collaborates in the execution of projects and implementation of measures to minimize the platform |
| 3 | Quinta do Lago Infrastructure Company, EM (INFRAQUINTA) | Responsible for infrastructure management in the public sector | Gathers a set of skills and knowledge in the field of energy efficiency, playing an important role in the application of the platform |
| Point Scale | Reciprocal | Definition of Preference Judgements |
|---|---|---|
| 1 | 1 | The contribution of both factors is equal |
| 3 | 1/3 | One factor is slightly favoured over another |
| 5 | 1/5 | One factor is strongly favoured over another |
| 7 | 1/7 | The factor is strongly favoured and its prevalence is demonstrated in practice |
| 9 | 1/9 | Importance of one over another affirmed on the highest possible order |
| 2,4,6,8 | 1/2,1/4,1/6,1/8 | Used to represent compromise between the priorities listed above |
| Stage | Pairwise Comparisons | |||
|---|---|---|---|---|
| 1 | 6 | Categories | (S:W), (S:O), (S:T) (W:O), (W:T) (O:T) | |
| 2 | 24 | Factors | (S1:S2), (S1:S3), (S1:S4) (S2:S3), (S2:S4) (S3:S4) | (O1:O2), (O1:O3), (O1:O4) (O2:O3), (O2:O4) (O3:O4) |
| (W1:W2), (W1:W3), (W1:W4) (W2:W3), (W2:W4) (W3:W4) | (T1:T2), (T1:T3), (T1:T4) (T2:T3), (T2:T4) (T3:T4) | |||
| n | 1 | 2 | 3 | 4 | 5 | 6 | 7 | 8 | 9 | 10 |
|---|---|---|---|---|---|---|---|---|---|---|
| RI | 0.00 | 0.00 | 0.58 | 0.90 | 1.12 | 1.24 | 1.32 | 1.41 | 1.45 | 1.49 |
| SWOT Categories | Factors | ||
|---|---|---|---|
| S | STRENGTHS | S1 | Early detection of anomalies, automatic suggestions of improvements and optimization of consumption |
| S2 | Optimization of consumption and quantification of CO2 emissions | ||
| S3 | Production of reasoned and essential information for decision-making | ||
| S4 | Potential better use of energy resources | ||
| W | WEAKNESSES | W1 | Difficulty in the interconnection of data from the energy supply company with the georeferencing of electricity meters |
| W2 | Lack of specialized human resources | ||
| W3 | Budget constraints | ||
| W4 | Difficulty in interconnecting with other energy management systems | ||
| O | OPPORTUNITIES | O1 | Existence of technologies capable of monitoring energy consumption in real time |
| O2 | Increasing trend in electricity consumption | ||
| O3 | Existence of a legal framework that places particular emphasis on the implementation of energy efficiency measures and renewable energy sources | ||
| O4 | Characteristics of the Loulé territory that favour the rational use of energy and the use of renewable energy sources | ||
| T | THREATS | T1 | Context of economic crisis |
| T2 | Low level of adherence to awareness campaigns about new energy management technologies among the population | ||
| T3 | Difficulties in accessing investment and new energy management technologies | ||
| T4 | High cost associated with the implementation of electrical equipment and use of renewable energy sources | ||
| Recover | Consistency Ratio | |||
| Use | Not in Use | |||
| <0.1 | >=0.1, <0.2 | >=0.2, <0.3 | >=0.3, <0.4 | |
| 25 | 18 | 3 | 1 | 3 |
| SWOT Factors and Categories | Factor Priority Weights | Global Priority Weights | ||||||||||
|---|---|---|---|---|---|---|---|---|---|---|---|---|
| MCL | AG | ALGARDATA | AREAL | INFRAQUINTA | MCL | AG | ALGARDATA | AREAL | INFRAQUINTA | Overall | Rank | |
| (S) Strengths | 0.305 | 0.223 | 0.321 | 0.430 | 0.442 | 0.344 | 1 | |||||
| S1: Early detection of anomalies, automatic suggestion of improvements and optimization of consumption | 0.096 | 0.087 | 0.092 | 0.097 | 0.460 | 0.029 | 0.019 | 0.029 | 0.042 | 0.204 | 0.065 | 7 |
| S2: Optimization of consumption and quantification of CO2 emissions | 0.360 | 0.196 | 0.376 | 0.496 | 0.156 | 0.110 | 0.044 | 0.121 | 0.213 | 0.069 | 0.111 | 2 |
| S3: Production of reasoned and essential information for decision-making | 0.394 | 0.268 | 0.101 | 0.276 | 0.285 | 0.120 | 0.060 | 0.032 | 0.119 | 0.126 | 0.091 | 4 |
| S4: Potential for the use of energy resources | 0.150 | 0.449 | 0.432 | 0.131 | 0.099 | 0.046 | 0.100 | 0.139 | 0.056 | 0.044 | 0.077 | 5 |
| (W) Weaknesses | 0.124 | 0.481 | 0.131 | 0.153 | 0.122 | 0.202 | 3 | |||||
| W1: Difficulty in the interconnection of data from the energy supply company with the georeferencing of electricity meters | 0.125 | 0.133 | 0.398 | 0.114 | 0.383 | 0.015 | 0.064 | 0.052 | 0.017 | 0.047 | 0.039 | 12 |
| W2: Lack of specialized human resources | 0.442 | 0.453 | 0.129 | 0.440 | 0.103 | 0.055 | 0.218 | 0.017 | 0.067 | 0.012 | 0.074 | 6 |
| W3: Budget constraints | 0.053 | 0.279 | 0.093 | 0.334 | 0.429 | 0.007 | 0.134 | 0.012 | 0.051 | 0.052 | 0.051 | 9 |
| W4: Difficulty in interconnecting with other energy management systems | 0.381 | 0.135 | 0.380 | 0.112 | 0.085 | 0.047 | 0.065 | 0.050 | 0.017 | 0.010 | 0.038 | 13 |
| (O) Opportunities | 0.454 | 0.087 | 0.468 | 0.308 | 0.372 | 0.338 | 2 | |||||
| O1: Existence of technologies capable of monitoring energy consumption in real time | 0.515 | 0.453 | 0.356 | 0.077 | 0.438 | 0.234 | 0.039 | 0.167 | 0.032 | 0.163 | 0.127 | 1 |
| O2: Increasing trend in electricity consumption | 0.237 | 0.091 | 0.087 | 0.078 | 0.104 | 0.108 | 0.008 | 0.041 | 0.032 | 0.039 | 0.0453 | 10 |
| O3: Existence of a legal framework that places particular emphasis on the implementation of energy efficiency measures and renewable energy sources | 0.123 | 0.355 | 0.104 | 0.322 | 0.088 | 0.056 | 0.031 | 0.049 | 0.132 | 0.033 | 0.060 | 8 |
| O4: Characteristics of the Loulé territory that favour the rational use of energy and the use of renewable energy sources | 0.126 | 0.102 | 0.454 | 0.273 | 0.370 | 0.057 | 0.009 | 0.212 | 0.112 | 0.138 | 0.106 | 3 |
| (T) Threats | 0.118 | 0.209 | 0.080 | 0.109 | 0.064 | 0.116 | 4 | |||||
| T1: Context of economic crisis | 0.380 | 0.103 | 0.103 | 0.091 | 0.089 | 0.045 | 0.022 | 0.008 | 0.010 | 0.006 | 0.018 | 16 |
| T2: Low Level of adherence to the awareness campaign about new energy management technologies among the population | 0.105 | 0.082 | 0.083 | 0.490 | 0.393 | 0.012 | 0.017 | 0.007 | 0.054 | 0.025 | 0.023 | 15 |
| T3: Difficulties in accessing investment and new energy management technologies | 0.454 | 0.390 | 0.425 | 0.088 | 0.444 | 0.054 | 0.082 | 0.034 | 0.010 | 0.028 | 0.041 | 11 |
| T4: High cost associated with the implementation of electrical equipment and use of renewable energy sources | 0.061 | 0.426 | 0.389 | 0.331 | 0.074 | 0.007 | 0.089 | 0.031 | 0.036 | 0.005 | 0.034 | 14 |
| Internal Elements | S | W | |
| External Elements | S1: Early detection of anomalies, automatic suggestion of improvements and optimization of consumption (0.065) S2: Optimization of consumption and quantification of CO2 emissions (0.111) S3: Production of reasoned and essential information for decision-making (0.091) S4: Potential for the use of energy resources (0.077) | W1: Difficulty in the interconnection of data from the energy supply company with the georeferencing of electricity meters (0.039) W2: Lack of specialized human resources (0.074) W3: Budget constraints (0.051) W4: Difficulty in interconnecting with other energy management systems (0.038) | |
| O | O1: Existence of technologies capable of monitoring energy consumption in real time (0.125) O2: Increasing trend in electricity consumption (0.044) O3: Existence of a legal framework that places particular emphasis on the implementation of energy efficiency measures and renewable energy sources (0.053) O4: Characteristics of the Loulé territory that favour the rational use of energy and the use of renewable energy sources (0.100) | SO Strategy | WO Strategy |
| Promoting the use of a platform that allows real-time management of electricity consumption, CO2 emissions, and costs in the long term. S(S1,S2,S3,S4) + O(O1,O4,O3) | Increasing the skilled workforce and promote specialized training in technologies capable of monitoring energy consumption. W(W2) + O(O1,O4,O3) | ||
| T | T1: Context of economic crisis (0.018) T2: Low level of adherence to the awareness campaign about new energy management technologies among the population (0.023) T3: Difficulties in accessing investment and new energy management technologies (0.041) T4: High cost associated with the implementation of electrical equipment and use of renewable energy sources (0.034) | ST Strategy | WT Strategy |
| NA | NA |
Publisher’s Note: MDPI stays neutral with regard to jurisdictional claims in published maps and institutional affiliations. |
© 2022 by the authors. Licensee MDPI, Basel, Switzerland. This article is an open access article distributed under the terms and conditions of the Creative Commons Attribution (CC BY) license (https://creativecommons.org/licenses/by/4.0/).
Share and Cite
Gago, D.; Mendes, P.; Murta, P.; Cabrita, N.; Teixeira, M.R. Stakeholders’ Perceptions of New Digital Energy Management Platform in Municipality of Loulé, Southern Portugal: A SWOT-AHP Analysis. Sustainability 2022, 14, 1445. https://doi.org/10.3390/su14031445
Gago D, Mendes P, Murta P, Cabrita N, Teixeira MR. Stakeholders’ Perceptions of New Digital Energy Management Platform in Municipality of Loulé, Southern Portugal: A SWOT-AHP Analysis. Sustainability. 2022; 14(3):1445. https://doi.org/10.3390/su14031445
Chicago/Turabian StyleGago, David, Paula Mendes, Pedro Murta, Nuno Cabrita, and Margarida Ribau Teixeira. 2022. "Stakeholders’ Perceptions of New Digital Energy Management Platform in Municipality of Loulé, Southern Portugal: A SWOT-AHP Analysis" Sustainability 14, no. 3: 1445. https://doi.org/10.3390/su14031445
APA StyleGago, D., Mendes, P., Murta, P., Cabrita, N., & Teixeira, M. R. (2022). Stakeholders’ Perceptions of New Digital Energy Management Platform in Municipality of Loulé, Southern Portugal: A SWOT-AHP Analysis. Sustainability, 14(3), 1445. https://doi.org/10.3390/su14031445

