Next Article in Journal
Study of Design and Construction of Transit Facilities in Rural Areas in USA
Previous Article in Journal
Pellets from Lignocellulosic Material Obtained from Pruning Guava Trees: Characterization, Energy Performance and Emissions
 
 
Font Type:
Arial Georgia Verdana
Font Size:
Aa Aa Aa
Line Spacing:
Column Width:
Background:
Article

Meat Processing Waste as a Source of Nutrients and Its Effect on the Physicochemical Properties of Soil

by
Arkadiusz Stępień
1,*,
Katarzyna Wojtkowiak
2,
Małgorzata Grzywińska-Rąpca
3 and
Jan Pawluczuk
4
1
Department of Agroecosystems and Horticulture, Faculty of Agriculture and Forestry, University of Warmia and Mazury in Olsztyn, 10–718 Olsztyn, Poland
2
Department of Heavy Duty Machines and Research Methodology, Faculty of Technical Sciences, University of Warmia and Mazury in Olsztyn, 10–719 Olsztyn, Poland
3
Department of Market and Consumption, Faculty of Economic Sciences, University of Warmia and Mazury in Olsztyn, 10–719 Olsztyn, Poland
4
Department of Soil Science and Microbiology, Faculty of Agriculture and Forestry, University of Warmia and Mazury in Olsztyn, 10–719 Olsztyn, Poland
*
Author to whom correspondence should be addressed.
Sustainability 2022, 14(3), 1341; https://doi.org/10.3390/su14031341
Submission received: 16 December 2021 / Revised: 12 January 2022 / Accepted: 20 January 2022 / Published: 25 January 2022

Abstract

:
The aim of this study was to determine the effect of meat processing waste applied in the form of meat and bone meal (MBM) as a source of nutrients on the physicochemical properties of soil. A short–term small–area field experiment using MBM in maize monoculture was conducted in 2014–2017. Each year, MBM was applied presowing at 1.0, 2.0, and 3.0 t ha−1 to maize grown in experimental plots. The application of MBM decreased the bulk density and specific density and increased the pH of Haplic Luvisol Loamic (HLL) soil. The mineral nitrogen (N) content was highest when MBM was applied at 3.0 t ha−1 in HLL soil and 2.0 t ha−1 in Haplic Luvisol Arenic (HLA) soil. The minor differences in the mineral N content of soil between the treatment without fertilization and MBM treatments could be attributed to high N utilization by maize plants. The phosphorus (P) content of soil increased with a rise in the MBM dose. The P content of the arable layer was lower in HLA soil than in HLL soil, which resulted from higher P uptake by maize grain. The highest maize grain yield was achieved in the last year of the study, in response to the highest MBM dose and due to the residual effect of MBM.

1. Introduction

In sustainable agriculture, crop production relies on the rational management of mineral nutrients [1,2]. In such a system, the use of external inputs is minimized, and attempts are made to maintain nutrient balance and natural nutrient cycles [3,4,5,6]. Since nitrogen (N) acquisition is an energy-intensive process, mostly natural sources of this nutrient should be utilized [7]. Environmental pollution with N compounds from synthetic fertilizers, prone to leaching, is another important consideration [8,9].
Natural phosphate rock is the primary source of mineral phosphate fertilizers; however, phosphate rock reserves might be depleted in the coming decades [10,11]. Phosphorus (P) can be recovered from animal faeces and food processing waste streams [12,13,14,15]. According to Chen and Graedel [16], the amount of P from natural fertilizers can potentially meet the needs of crop production. Metson et al. [17] found that only 37% of recyclable P (from animal and human waste) would be required to meet all P demand in corn cultivation in the U.S.
In livestock farms, manure can be used as organic fertilizer. Manure is a rich source of nutrients for crop growth; it enriches the soil with organic matter and contributes to closing nutrient cycles on the farm [13,18,19,20]. Manure supplies mostly N, P, K, and selected micronutrients [21,22]. The average N and P content of manure are up to 5.5 kg t−1 and 1.2 kg t−1, respectively [23]. Micronutrient concentrations in farmyard manure are as follows: Fe > Zn > Mn > Cu [24]. Due to its complex composition, manure can be used in organic farms [25]. Crop yields obtained after manure application and mineral fertilization are comparable [26]. Alternatives to manure are being explored in farms that produce crops only. Animal by-products can be a source of soil organic matter and nutrients [9,15,27,28,29,30].
Meat and bone meal (MBM) is produced by the physicochemical processing of slaughterhouse waste products. It had been used as high–protein animal feed [27] until the European Union introduced a ban on the use of processed animal protein in animal feed to control Bovine Spongiform Encephalopathy (BSE). According to Regulation (EC) No 1774/2002 of the European Parliament and of the Council of 3 October 2002 [31], MBM derived from animal by-products of categories 2 and 3 can be used as a soil amendment, while category 1 material must be directly disposed of by incineration.
Manure and MBM have a similar content of organic matter [32]. Compared with manure [33], animal waste processed into MBM [27,34] contains more N, P, and Ca and less K and Mg. However, the composition of MBM is determined by the type of raw material; MBM particles derived from bone are rich in P and Ca, while MBM particles derived from soft tissue are abundant in N [35].
Similar to other organic fertilizers, MBM is a slow-release fertilizer containing N and P that are unavailable for uptake by plants [36]. In soil, they are converted to plant-available mineral forms via biophysicochemical processes [33,37]. The rate of mineralization of organic compounds in soil depends on its temperature, physical properties (moisture content, structure, and granulometric composition), chemical properties (composition of the introduced organic matter), the C/N ratio, and the activity of soil-dwelling microorganisms [38]. The C/N ratio is an indicator of soil biological activity and quality of soil organic matter, including the processes of decomposition and nitrification. Organic substances with a C/N ratio below 10 stabilize mineralization processes in soil [39]. In MBM, the C:N ratio ranges from 3.6 to 6.2 [28,40,41,42]. Organic N compounds are mineralized to N–NH4 via nitrification and N–NH4 is then oxidized to N–NO2 and N–NO3 [43,44]. Since MBM supplies small amounts of micronutrients, supplemental fertilization may be needed. The application of MBM as fertilizer does not risk soil contamination with heavy metals [36].
The objective of this study was to determine the effect of MBM used as fertilizer for maize grown for grain and the changes in the physicochemical properties of two types of soil, Haplic Luvisol Arenic (HLA) and Haplic Luvisol Loamic (HLL).

2. Materials and Methods

2.1. Experimental Conditions

The applicability of MBM as fertilizer for maize was evaluated in an experiment established on two selected types of soil, HLA and HLL, in the Agricultural Experiment Station in Tomaszkowo (53°71′ N, 20°43′ E), Poland. A short–term small–area field experiment was conducted in 2014–2017. The experiment had a randomized block design with four replications. The results obtained in 2015 and 2017 (after two and four years of MBM application) were analyzed. Each year, MBM was applied to maize grown in experimental plots with an area of 15.0 m2. Since protective belts were created in the experimental plots, maize was harvested, and soil samples were collected for analyses from an area of 11.25 m2. All cultivation and protection measures were applied following the recommendations for maize. The granulometric composition, ash content, specific density, bulk density, porosity, moisture content, and soil air content were analyzed before the experiment (2014). The specific density, bulk density, and pH of the soil, and the content of Corganic, Ntotal, Nmineral (N–NO3 and N–NH4), P, K, Cu, Fe, Zn, and Mn were determined in 2015 and 2017.

2.2. Meat and Bone Meal (MBM)

The MBM used in this experiment was purchased from an animal by-products disposal plant. The chemical composition of MBM dry matter, which accounted for 90%, was as follows: 66.9 g kg−1 C, 6.10 g kg−1 N, 3.11 g kg−1 P, 0.40 g kg−1 K, 8.85 g kg−1 Ca, 0.30 Mg g kg−1, 8.0 mg g−1 Cu, 1189 mg g−1 Fe, 86.5 mg g−1 Zn, and 29.0 mg g−1 Mn. Each year, MBM was applied, presowing at 1.0, 2.0, and 3.0 t ha−1. The experimental design and the amount of nutrients supplied with MBM are presented in Table 1. Unfertilized plots and plots supplied with mineral fertilizers were used as reference (control) treatments. In MBM treatments, supplemental K (potash salt, 49.8%) was applied at 83.1 kg ha−1 to reach the K fertilizer rate applied in the plots with mineral fertilization.

2.3. Soil Characteristics

In the experimental site, the soil was classified as HLA and HLL based on an analysis of its physicochemical properties (Table 2 and Table 3). The mineral (surface) layer was composed of heavy loamy sand in HLA soil and sandy loam in HLL soil. The content of the sand fraction (Ø 1.0–0.1 mm) in the top layer of the soil profile was 70% in HLA soil and 60% in HLL soil. HLA soil had a higher content of silty clay (Ø 0.02–0.002 mm) with a predominance of fine silty clay (Ø 0.06–0.002) 7%, colloidal clay (Ø < 0.002) 3%, and silt and clay 11%. Silt (Ø 0.10–0.02 mm) content was 19% in both analyzed soils. The average organic matter content of HLA soil was 21%, 6.7% lower in HLL soil. In both soil types, the specific density of the top layer ranged from 2.48 to 2.49 g cm−3, and it was close to the lower limit of specific density characteristic of mineral soils. Bulk density was 1.70 g cm−3 on average in both soil types. HLA soil was characterized by somewhat higher total porosity (31.8%) and higher air content (4.5%) than HLL soil.
Both analyzed soils were acidic (pH in KCl was 4.71–4.89). The total N content of the top layer was similar in both soils, at 0.55–0.60 g kg−1. The organic C content of HLA soil was 11.4 g kg−1, which was 0.13% higher than in HLL soil. The analyzed soils were characterized by the content of Ntotal, which was 0.5–0.6 g kg−1, and plant–available forms of P at 0.30–0.33 g kg−1, K at 1.28–1.33 g kg−1, Cu at 2.37–2.68, Fe at 1263–1810, Zn at 66.5–8.98, and Mn at 129–133 mg kg−1.

2.4. Weather Conditions

Mean air temperatures during the growing season of maize (April–October) were similar in 2015 and 2017, and they approximated the long-term average of 1981–2010. In 2015, August was 3 °C warmer, and October was 2 °C colder, compared with the long-term average. In the analyzed years, mean precipitation levels during the growing season and precipitation distribution across months differed from the long-term average of 1981–2010. Above-average precipitation was noted in 2017. In 2015, precipitation was 30% lower than the long-term average. Precipitation levels were particularly low in the months of intensive maize growth, i.e., May, June, and August. Rainfall deficiency during maize growth and development affected grain yields. In these three months of 2015, soil moisture deficit could influence organic matter mineralization and nutrient availability, which was confirmed by Curtin et al. [45], Stępień and Wojtkowiak [36], and Stępień et al. [34]. A detailed description of weather conditions is presented in Stępień et al. [34].

2.5. Determination of the Physical and Chemical Properties of Soil

Samples for physicochemical analyses were collected with 100 cm−3 cylinders on representative soil outcrops. The composition of the solid phase of soil (granulometric fractions and groups) was determined using the method proposed by Bouyoucos and modified by Casagrande and Prószyński [46]. The ash content of soil samples was determined after incineration in a muffle furnace at 550 °C. The actual moisture content of the soil was measured after sample drying in a dryer at 110 °C. The bulk density of soil was determined in 100 cm−3 cylinders after sample drying in a dryer at 105 °C. Specific density was calculated from a regression equation [47].
The total porosity (Fc) of soil was calculated from the formula:
F c = 1 B d S d ×   100   ( %   v o l )
where Bd is bulk density, and Sd is specific density.
The air content of the soil was calculated by subtracting soil moisture content (water contained in the remaining soil pores) from total porosity.
Soil pH was determined with a potentiometer in a mixture of soil and 1 M KCl solution (1:5). The total N content of the soil was determined by sample mineralization with H2SO4 in the presence of a catalyst (Se mixture) and distillation, followed by titration with sodium hydroxide solution and Tashiro as an indicator. N–NH4 was determined colourimetrically with Nessler’s reagent, and N–NO3 was determined colourimetrically with phenyldisulfophenolic acid. The content of P and available K in the soil was determined by the Egner–Riehm method in calcium–lactate extract ((CH3CHOHCOO)2Ca) acidified with hydrochloric acid to pH 3.6. The organic C (Corganic) content of the soil was determined by oxidation with K2Cr2O7 + H2SO4 solution, and absorbance was measured with a spectrophotometer. The content of Cu, Fe, Zn and Mn in soil was determined by Atomic Absorption Spectrometry (AAS) after extraction with 1 mol HCl dm−3 [48].

2.6. Grain Yield and Agronomic Efficiency (AE)

Cobs were harvested by hand, and grain was collected by threshing with a maize combine harvester (Wintersteiger Classic 1540, Ried, Austria). Maize grain yield was determined at a moisture content of 15%. Agronomic Efficiency (AE) was calculated as yield increase per unit of N applied:
AE = G f G u N   ( kg · kg 1 )
where Gf is grain yield in a fertilized plot (kg), Gu is grain yield in the unfertilized plot (kg), and N is the amount of nitrogen supplied by MBM (Table 1) [49].
The effect of MBM in HLA soil on maize grain yield was analyzed by Stępień et al. [34]. The grain yield of maize grown in HLL soil is presented in the Supplementary Material (Table S1).

2.7. Statistical Analyses

The results were processed statistically using Statistica v.13.1 software. The significance of differences between fertilization treatments was determined by a three-way analysis of variance (ANOVA). Homogeneous groups were identified by Tukey’s test. All calculations were performed at a significance level of α = 0.05 [50]. The property fitting (PROFIT) method, which supports vector scaling, and regression analysis were applied to broaden the statistical analysis. The PROFIT method is a two-stage procedure that offers an extended approach to multidimensional scaling (MDS) and multiple regression analysis. Multidimensional scaling is a form of nonlinear dimensionality reduction [51,52]. The MDS algorithm randomly selects each object in multidimensional space, maintains the optimal distance between the objects, and assigns coordinates to the objects in each N dimension. The number of dimensions (N) can exceed two, and it is determined a priori. Two dimensions (N = 2) optimize the location of objects in a two-dimensional scatter plot [53]. The PROFIT analysis evaluates the consistency between one or more attributes describing fertilization treatments and their location in multidimensional space [54]. The PROFIT method identifies factors (fertilization treatments) and determines the direction of their effect on the distribution of the analyzed physicochemical parameters of the soil by perceptual mapping.

3. Results

3.1. Selected Properties of Soil

Table 4 presents descriptive statistics for the analyzed variables. The lowest variation was noted in the parameters of specific density, bulk density, and Ntotal. The observed variance in these variables ranged from 0.01 to 0.02. The highest variation was noted in the content of Fe, K, and P. The distribution of some variables had multiple modes (i.e., two or more maxima in the distribution density function). These observations indicate that the distribution of variables such as bulk density, Ntotal, N–NO3, N–NH4, K, the yield of grain, and agronomic efficiency (AE) was not average. Multimodality may point to sample heterogeneity and a greater number of overlapping distributions.
Soil type, fertilization treatments and their interactions modified the specific density, bulk density and pH of the soil (Table 5). The experimental factors, excluding the interaction between the year of the study and the soil type, had a significant effect on the content of Corganic in soil.
The specific density and bulk density were 4.0% and 9.3% higher, respectively, in HLL soil than in HLA soil (Figure 1 and Figure 2). Both specific and bulk density of soil decreased with a rise in the MBM dose. It should be noted that in plots fertilized with MBM at 3.0 t ha−1, bulk density was 16.5% lower relative to the control treatments (unfertilized plots and plots supplied with mineral fertilizers). Higher MBM doses (2.0 and 3.0 t ha−1) significantly decreased the specific density of HLL soil compared with control. Bulk density decreased in response to all MBM doses of 1.0–3.0 t ha−1 in HLA soil and 2.0 and 3.0 t ha−1 in HLL soil.
A higher pH characterized HLL soil, but both soil types were classified as acidic (Figure 3). Soil pH was lowest (4.50) in the mineral fertilization treatment. The application of MBM (1.0–3.0 t ha−1) increased the pH of HLL soil relative to the mineral fertilization treatment. Mineral fertilizers and MBM doses of 1.0 and 2.0 t ha−1 decreased the pH of HLA soil relative to the unfertilized treatment.
The content of Corganic was 4.4% higher in the fourth than in the second year of the experiment (Figure 4). In the arable layer, the content of Corganic was 17.8% higher in HLA soil than in HLL soil. In the analyzed fertilization treatments, an MBM dose of 3.0 t ha−1 had the most beneficial influence on Corganic content, but the noted difference was not significant relative to the MBM dose of 2.0 t ha−1. The highest accumulation of Corganic was noted in 2017 (1.25 g kg−1) in treatments supplied with an MBM dose of 3.0 t ha−1, which could be attributed to both direct and residual effects of MBM. The content of Corganic was highest in the arable layer of HLA soil after the application of an MBM dose of 3.0 t ha−1 in the second and fourth year and after the application of an MBM dose of 1.0 t ha−1 in the fourth year of the experiment (Table 6).
The content of Ntotal, P, and K was affected by the year of the study, soil type, fertilization treatment, and the interactions between soil type and fertilization treatment. The analysis of variance revealed that the experimental factors and their interactions significantly influenced the content of N–NO3 and N–NH4, excluding soil type, which had no significant effect on N–NO3 content (Table 5).
The content of Ntotal, was lower in the fourth (2017) than in the second (2015) year of the experiment, regardless of fertilization (Figure 5). In the arable layer, Ntotal content was higher (by 28.4%) in HLA soil than in HLL soil. The application of MBM exerted different effects on the Ntotal content of the analyzed soils. In HLL soil, the content of Ntotal after the application of MBM was lower relative to the unfertilized treatment.
In 2017 (fourth year of fertilization), the content of N–NH4 increased by 32.0% and the content of N–NO3 decreased by 18.0% relative to the first year of the experiment (2015) (Figure 6 and Figure 7). HLA soil was characterized by significantly higher N–NH4 content (34.3%) than HLL soil. The application of MBM and mineral fertilizers increased the content of both N forms in soil compared with the unfertilized treatment. The content of N–NH4 was similar in treatments supplied with an MBM dose of 3.0 t ha−1 and mineral fertilizers. An analysis of the interaction between the year of the study and soil type revealed that N–NO3 content was highest in 2015 in HLL soil, whereas N–NH4 content was highest in 2017 in HLA soil. In both 2015 and 2017, the application of MBM increased the content of N–NO3 and N–NH4 compared with unfertilized soil. The content of both forms of mineral N peaked in response to an MBM dose of 3.0 t ha−1 in HLL soil and 2.0 t ha−1 in HLA soil. In 2015, the content of N–NO3 was highest in HLL soil after the application of 3.0 t ha–1 MBM, and it was lowest in the unfertilized treatment established on HLA soil (Table 7). The highest N–NH4 content was noted in 2017 in HLA soil supplied with mineral fertilizers, but the observed difference was not significant relative to the treatment fertilized with MBM at 2.0 t ha−1 (HLA soil) in 2015 and 2017, and the treatment supplied with MBM at 3.0 t ha−1 (HLL soil) in 2017.
Regardless of the applied fertilizers, the content of P and K was higher in 2017 than in 2015 (Figure 8 and Figure 9). HLA soil was characterized by a lower content of P (by 21.2%) and K (by 31.8%) than HLL 2. The content of P and K increased in response to an MBM dose of 3.0 t ha−1. The content of P increased with a rise in the MBM dose, and it was also higher than in the control treatments (unfertilized plots and plots supplied with mineral fertilizers). Both MBM and mineral fertilizers increased the content of P in HLA soil and HLL soil. In both types of soil, the most significant increase in P content was noted after applying MBM at 3.0 t ha−1. In HLL soil, the content of P increased with a rise in the MBM dose.
The content of Fe, Zn, and Mn in soil differed across years of the study. Soil type and the interaction between soil type and fertilization treatment induced differences in the content of all analyzed micronutrients. The applied fertilizers influenced the content of Cu, Fe, and Mn in soil (Table 5).
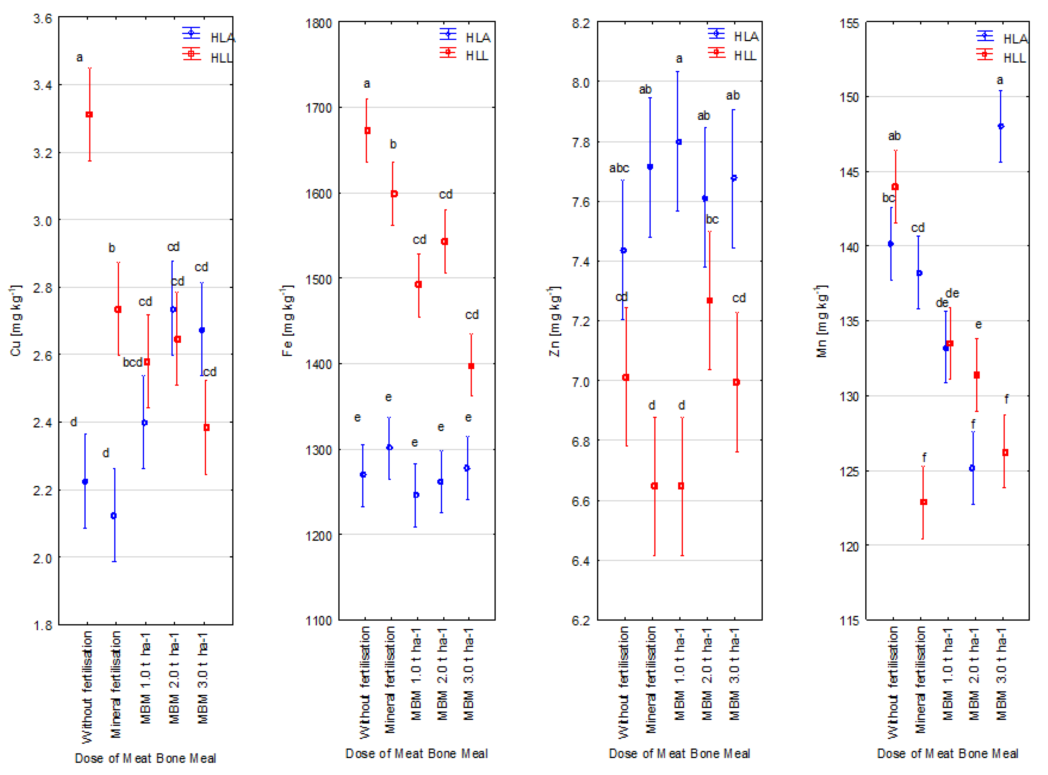
The content of Fe, Zn, and Mn was 3.1% higher on average in the fourth (2017) than in the second (2015) year of the experiment (Figure 10). HLL soil was more abundant in Cu and Fe than HLA soil (by 12.3% and 21.2%, respectively) (Figure 11). Higher content of Zn and Mn was observed in HLA soil than HLL soil (by 10.7% and 3.8%, respectively). The application of MBM did not increase the content of Cu, Fe, and Mn (the highest values were noted in the unfertilized treatment) (Figure 12). After applying MBM, the content of Cu decreased in HLL soil and increased in HLA soil compared with the control treatments (but not all differences were significant) (Figure 13). In HLL soil, the content of Fe also decreased relative to control after MBM fertilization. An interaction was found between the lowest MBM dose (1.0 t ha−1) and HLA soil for the highest Zn content (7.80 mg kg−1) and between the lowest MBM dose (1.0 t ha−1) and HLL soil for the lowest Zn content (6.64 mg kg−1). An interaction was also observed between the highest MBM dose (3.0 t ha−1) and HLA soil for the highest Mn content (148 mg kg−1) and between the highest MBM dose (3.0 t ha−1) and HLL soil for the lowest Mn content (126 mg kg−1). In both cases, not all differences were significant.

3.2. Maize Grain Yield and Agronomic Efficiency (AE)

The effect of MBM used in HLA soil on maize grain yield was analyzed by Stępień et al. [34]. Maize grain yield was significantly affected by the year of the study, soil type, fertilization treatment, the interaction between year and soil type, and the interaction between year and fertilization treatment (Table 5). The analysis of variance revealed that the year of the study, soil type, fertilization treatment, and the interaction between year and fertilization treatment significantly influenced the values of AE (Table 5). Maize grain yield was significantly higher (19.2%) in 2017 than 2015. Yields were 53.1% higher in HLA soil than in HLL soil. Similarly, the highest yields were also noted in response to mineral fertilization and MBM doses of 2.0 and 3.0 t ha−1. An analysis of the interaction between the year of the study and fertilization treatment revealed that maize grain yields were highest in the fourth year of the experiment after the application of MBM at 2.0 and 3.0 t ha−1. The calculated values of AE indicate that the increase in yield per unit of N applied was nearly three times higher in 2017 than in 2015 (Figure 14). The value of AE was 24.1% higher in HLA soil than in HLL soil. The application of MBM at 1.0 t ha−1 led to the most significant increase in AE (18.7), but maize grain yields were higher in the remaining fertilization treatments (mineral fertilization and MBM doses of 2.0 and 3.0 t ha−1). The values of AE were similar in treatments fertilized with MBM at 2.0 t ha−1 and in treatments supplied with mineral fertilizers at 133 kg ha−1. In 2015, no differences in AE values were found between fertilization treatments, whereas in 2017, AE decreased with a rise in the MBM dose.

3.3. Profit Analysis

The relationships between fertilization treatments and the physicochemical properties of soil under maize were determined by the property fitting (PROFIT) method, which supports vector scaling and regression analysis. This technique was used mainly to test the effect of fertilization treatments on the similarities between the parameters adopted for analysis. The distribution of points and vectors, determined by the PROFIT procedure, indicates differences in the analyzed parameters across years of the study (Figure 15 and Figure 16).
In 2015, the content of N–NO3 and P and pH values in HLL soil were primarily determined by the application of MBM at 2.0 t ha−1 and 3.0 t ha−1 MBM. In HLL soil, an MBM dose of 1.0 t ha−1 affected the content of K and Fe. In HLA soil, an MBM dose of 1.0 t ha−1 determined maize grain yields and the content of Zn and Corganic, an MBM dose of 2.0 t ha−1 affected the content of N–NH4+, whereas MBM applied at 3.0 t ha−1 influenced the content of Ntotal. In 2017, maize grain yield, pH values and the content of N-NH4 in HLL soil were affected by the application of MBM at 2.0–3.0 t ha−1. In HLA soil, an MBM dose of 2.0 t ha−1 influenced yields and the content of N-NH4, whereas MBM applied at 3.0 t ha−1 determined the content of Corganic, Ntotal, N-NO3 and Zn.

4. Discussion

Soil fertility, defined as the ability of soil to meet the requirements of plants by supplying water, air, and nutrients, is determined by its physical, chemical, and biological properties, which are affected by the processes that occur in soil. The key physical parameters affecting soil fertility are granulometric composition, structure, and soil texture [55].
The application of MBM as organic fertilizer is one of the most environmentally and economically viable methods of utilizing meat processing waste. It increases the content of organic matter in the soil, improves the physicochemical properties of soil, supplies plant-available minerals, and contributes to an increase in crop yields [36]. The use of recycled organic materials as fertilizers is particularly important in sandy soils, which are acidic and low in humus [56].
In the present study, an increase in the MBM dose decreased the specific density and bulk density of soil (regardless of soil type). In the work of Tammeorg et al. [57], organic fertilizers (including MBM) also decreased soil density compared with control. A decrease in soil density points to an improvement in the physical properties of soil, in particular its structural characteristics, and it increases soil porosity and water holding capacity [58]. Organic matter is characterized by low density, and it increases the stability of soil aggregates and decreases bulk density and soil compaction [59]. Organic matter supplied in the form of MBM causes soil particles to clump and promotes the formation of soil aggregates [60,61]. As a result, bulk density increases. Similarly to humus, organic matter is a natural regulator of chemical processes which lead to the aggregate formation (via the developed sorption complex) in light sandy soils that ultimately become more compact. In heavier soils, organic matter contributes to the loosening of bonds between soil particles, resulting in a more loose soil structure [62]. In the current study, MBM increased the pH of HLL soil compared with mineral fertilizers. According to Khalil et al. [63], the decomposition of MBM increases soil pH because the conversion of NH3− to NH4+ during soil mineralization leads to a depletion of H+ ions. Leng et al. [64] observed that the solubility of calcium phosphate decreased with a rise in soil pH. Meat and bone meal is a rich source of Ca which could have increased pH in HLL soil. The fact that pH did not increase in HLA soil could be attributed to much higher Ca uptake by plants and Ca loss with the harvested crops.
According to Froseth & Bleken [65], organic matter decomposition affects soil texture. The presence of organic matter contributes to soil loosening. Sandy and loamy soils differ in their content of silt and clay. Organic matter decomposes at a slower rate in loamy soils, characterized by a higher content of silt and clay [66]. In the arable layer, the content of Corganic was 17.8% higher in HLA soil than in HLL soil. Maize grain yields were higher in HLA soil, which also increased the quantity of crop residues left in the field after harvest and, consequently, increased the content of Corganic in soil. Maize is a crop that generates substantial amounts of field residues when grown for grain, and it enriches the soil with organic matter [67]. In the present study, an MBM dose of 3.0 t ha−1 had the most beneficial influence on Corganic content, but only in HLA soil. The above resulted from the direct effect of MBM application at the highest dose and its residual effect in subsequent years of the experiment.
The efficiency of N utilization from MBM is very high, and it accounts for 60–80% of N utilization from mineral fertilizers [68]. Environmental factors (year of the study, soil type, and fertilization treatment) influenced the Ntotal content of the soil. The content of Ntotal in soil was positively correlated with Corganic content. Regardless of fertilization, the content of Ntotal was lower in the fourth (2017) than in the second year of the experiment. The highest MBM dose (3.0 t ha−1) increased the concentration of N. According to Bhunia et al. [6], the efficiency of nutrient utilization by plants is considerably affected by the C/N ratio of the applied organic substances. In the present study, the C/N ratio of MBM was determined at 10:1. Franke-Whittle and Insam [69] observed that organic fertilizers with a C/N ratio of less than 20–30:1 promote N mineralization. According to Cayuela et al. [43], animal by-products with a low C/N ratio induce an immediate and significant increase in the content of mineral N in the soil. In the current study, the higher content of Corganic in HLA soil could have increased the content of mineral N due to the rapid mineralization of organic N compounds. The slight differences in the content of mineral N between the unfertilized treatment and MBM treatments could be attributed to the high uptake of N by maize plants. The content of both forms of mineral N peaked in response to an MBM dose of 3.0 t ha−1 in HLL soil and an MBM dose of 2.0 t ha−1 in HLA soil. Stępień and Wojtkowiak [36] found that the content of mineral forms of N in soil increased with a rise in MBM dose. The content of N–NH4 and N–NO3 in soil was also influenced by the crop species in rotation (rapeseed and wheat).
Meat processing waste is a complex mixture of inorganic forms of P, mainly calcium phosphates (Ca3(PO4)2), with various solubilities [62]. Phosphorus is mineralized at a slower rate than C and N [5,70]. In the present study, P content was lower in the arable layer of HLA soil than HLL soil, and it was positively correlated with soil pH. According to Foereid [71], soil pH does not affect the availability of P from organic fertilizers. In heavy soils, where an important role is played by the exchange sorption of phosphoric acid, the availability of P is maximized at pH 7.0. In sandy soils, where chemical sorption by Al and Fe cations is the predominant process, P is most available to plants at pH 5.5 [72].
The P content of the soil was higher in the fourth (2017) than in the second year of the experiment, regardless of fertilization. The P content of soil increased with a rise in the MBM dose. Previous research has shown that MBM is a valuable fertilizer that promotes the long-term availability of P in soil [4,34,70]. Meat and bone meal has a narrow N/P ratio, and the supplied amount of P exceeds the fertilizer requirements of crops. Therefore, the application of MBM can increase the supply of plant-available P in soil [73].
In the present study, an increase in the content of Ntotal and Corganic in soil increased the content of manganese (Mn) and zinc (Zn) but decreased iron (Fe) content. The content of copper (Cu), Fe, and Mn was highest in the unfertilized treatment, which could be associated with lower yields in that treatment and the fact that smaller quantities of nutrients were removed with the harvested crops [34]. The above observation could also be attributed to the fact that Cu, Fe, and Mn form complex compounds with organic matter [74,75].
According to Wołoszyk et al. [76], NUE in crops supplied with organic fertilizers and waste products is estimated at 30% in the first year after fertilization. In successive years, N uptake by crops is largely determined by weather conditions. In the work of Kivelä et al. [77], the relative NUE of crops fertilized with MBM was equivalent to 83% of NUE in crops supplied with mineral fertilizers. In the current study, HLA soil was characterized by a higher content of Corganic and Ntotal as well as lower specific density and bulk density, which could have contributed to higher maize grain yields than in HLL soil. According to Chaves et al. [78], the rate of MBM mineralization is determined mainly by soil type. Meat and bone meal is mineralized more rapidly in loamy soil, which can be attributed not only to the physical but also to the biological and chemical properties of soil. In the fourth year of the experiment, the application of MBM at 2.0 and 3.0 t ha−1 contributed to the most significant increase in maize grain yields. However, NUE decreased with a rise in the MBM dose. In a study by Stępień et al. [34], the accumulation of minerals supplied with MBM doses of 2.0 and 3.0 t ha−1 promoted a steady increase in crop yields in HLA soil until the third year of the experiment. The increase in crop yields between the third and the fourth year of the study was not significant.

5. Conclusions

The bulk density and specific density of soil decreased with a rise in the MBM dose (1.0–3.0 t ha−1), which improved other physical properties of soil. Calcium supplied with MBM increased the pH of HLL soil, but it did not affect the pH of HLA soil; both soils were classified as acidic. In the arable layer, Ntotal content was higher (by 28.4%) in HLA soil than in HLL soil. Regardless of fertilization, the content of Ntotal in soil was lower in the last year than in the second year of the experiment. The content of both forms of mineral N (N–NO3 and N–NH4) was highest when MBM was applied at 3.0 t ha−1 in HLL soil and 2.0 t ha−1 in HLA soil. The slight differences in the mineral N content of soil between the treatment without fertilization and MBM treatments could be attributed to the complete N utilization by maize plants. The P content of soil increased with a rise in the MBM dose. The P content of the arable layer was lower (by 21.2%) in HLA soil than in HLL soil, which resulted from higher P uptake by maize grain. The chemical composition of MBM points to its high abundance of micronutrients. Their amounts, supplemented with other nutrients, are sufficient to meet the requirements of plants but insufficient to enrich the soil with these micronutrients. The content of Cu, Fe, and Mn was highest in the unfertilized treatment, which could be associated with lower yields in that treatment and the fact that smaller quantities of nutrients were removed with the harvested crops. The value of AE was 24.1% higher in HLA soil than in HLL soil. The application of MBM at 1.0 t ha−1 led to the greatest increase in AE (18.7), but maize grain yields were higher in the remaining fertilization treatments (mineral fertilization and MBM doses of 2.0 and 3.0 t ha−1).

Supplementary Materials

The following supporting information can be downloaded at: https://www.mdpi.com/article/10.3390/su14031341/s1, Table S1: Source of maize grain yield, t ha−1.

Author Contributions

Conceptualization, A.S.; methodology, A.S., K.W. and J.P.; formal analysis, A.S. and K.W.; statistical analyses, M.G.-R. and A.S.; writing—original draft, A.S., K.W. and J.P.; writing—review & editing, A.S., K.W., M.G.-R. and J.P. All authors have read and agreed to the published version of the manuscript.

Funding

Project financially supported by the Minister of Education and Science under the program entitled “Regional Initiative of Excellence” for the years 2019–2022, Project No. 010/RID/2018/19, amount of funding 12,000,000 PLN; The results presented in this paper were obtained as part of a comprehensive study financed by the University of Warmia and Mazury in Olsztyn, Faculty of Agriculture and Forestry, Department of Agroecosystems and Horticulture (grant N° 30.610.015–110).

Institutional Review Board Statement

Not applicable.

Informed Consent Statement

Not applicable.

Data Availability Statement

Not applicable.

Conflicts of Interest

The authors declare no conflict of interest.

References

  1. Martínez-Castillo, R. Sustainable agricultural production systems. Rev. Tecnol. En Marcha 2016, 29, 70–85. [Google Scholar] [CrossRef]
  2. Ghosh, D.; Brahmachari, K.; Das, A.; Hassan, M.M.; Mukherjee, P.K.; Sarkar, S.; Hossain, A. Assessment of Energy Budgeting and Its Indicator for Sustainable Nutrient and Weed Management in a Rice–Maize–Green Gram Cropping System. Agronomy 2021, 11, 166. [Google Scholar] [CrossRef]
  3. Vogt, G. The origins of organic farming. In Organic Farming: An International History; Lockeretz, W., Ed.; CABI: Wallingford, UK, 2007; pp. 9–29. [Google Scholar] [CrossRef]
  4. Möller, K.; Oberson, A.; Bünemann, E.K.; Cooper, J.; Friedel, J.K.; Glaesner, N.; Hörtenhuber, S.; Løes, A.K.; Möder, P.; Meyer, G.; et al. Improved phosphorus recycling in organic farming: Navigating between constraints. Adv. Agron. 2018, 147, 159–237. [Google Scholar] [CrossRef]
  5. Jatana, B.S.; Kitchens, C.; Ray, C.; Tharayil, N. Regulating the nutrient release rates from proteinaceous agricultural byproducts using organic amendments and its effect on soil chemical and microbiological properties. Biol. Fertil. Soils 2020, 56, 747–758. [Google Scholar] [CrossRef]
  6. Bhunia, S.; Bhowmik, A.; Mallick, R.; Mukherjee, J. Agronomic Efficiency of Animal-Derived Organic Fertilizers and Their Effects on Biology and Fertility of Soil: A Review. Agronomy 2021, 11, 823. [Google Scholar] [CrossRef]
  7. Dawson, C.J.; Hilton, J. Fertiliser availability in a resource-limited world: Production. Food Policy 2011, 36, 514–522. [Google Scholar] [CrossRef]
  8. Yan, L.; Zhang, J.; Zhang, Z.; Abdelrahman, A.M.; Gao, Q. Effect of different fertilization managements on nitrate accumulation in a Mollisol of Northeast China. Chem. Biol. Technol. Agric. 2016, 3, 16. [Google Scholar] [CrossRef] [Green Version]
  9. Chojnacka, K.; Moustakas, K.; Witek-Krowiak, A. Bio-based fertilizers: A practical approach towards circular economy. Bioresour. Technol. 2020, 295, 122223. [Google Scholar] [CrossRef]
  10. Elser, J.J. Phosphorus: A limiting nutrient for humanity? Curr. Opin. Biotechnol. 2012, 23, 833–838. [Google Scholar] [CrossRef]
  11. Daneshgar, S.; Callegari, A.; Capodaglio, A.G.; Vaccari, D. The potential phosphorus crisis: Resource conservation and possible escape technologies: A review. Resources 2018, 7, 37. [Google Scholar] [CrossRef] [Green Version]
  12. Weissengruber, L.; Möller, K.; Puschenreiter, M.; Friedel, J.K. Long-term soil accumulation of potentially toxic elements and selected organic pollutants through application of recycled phosphorus fertilizers for organic farming conditions. Nutr. Cycl. Agroecosyst. 2018, 110, 427–449. [Google Scholar] [CrossRef] [Green Version]
  13. Hidalgo, D.; Corona, F.; Martín-Marroquín, J.M. Nutrient recycling: From waste to crop. Biomass Convers. Biorefinery 2021, 11, 207–217. [Google Scholar] [CrossRef]
  14. Vučić, V.; Müller, S. New developments in biological phosphorus accessibility and recovery approaches from soil and waste streams. Eng. Life Sci. 2021, 21, 77–86. [Google Scholar] [CrossRef] [PubMed]
  15. Kowalski, Z.; Banach, M.; Makara, A. Optimisation of the co-combustion of meat-bone meal and sewage sludge in terms of the quality produced ashes used as substitute of phosphorites. Environ. Sci. Pollut. Res. Int. 2021, 28, 8205–8214. [Google Scholar] [CrossRef]
  16. Chen, M.; Graedel, T.E. A half-century of global phosphorus flows, stocks, production, consumption, recycling, and environmental impacts. Glob. Environ. Chang. 2016, 36, 139–152. [Google Scholar] [CrossRef]
  17. Metson, G.S.; MacDonald, G.K.; Haberman, D.; Nesme, T.; Bennett, E.M. Feeding the corn belt: Opportunities for phosphorus recycling in US agriculture. Sci. Total Environ. 2016, 542, 1117–1126. [Google Scholar] [CrossRef]
  18. Park, J.; Cho, K.H.; Ligaray, M.; Choi, M.J. Organic matter composition of manure and its potential impact on plant growth. Sustainability 2019, 11, 2346. [Google Scholar] [CrossRef] [Green Version]
  19. Urra, J.; Alkorta, I.; Garbisu, C. Potential benefits and risks for soil health derived from the use of organic amendments in agriculture. Agronomy 2019, 9, 542. [Google Scholar] [CrossRef] [Green Version]
  20. He, Z.; Pagliari, P.; Waldrip, H.M. Advances and outlook of manure production and management. In Animal Manure: Production, Characteristics, Environmental Concerns and Management; Waldrip, H.M., Pagliari, P.H., He, Z., Eds.; ASA and SSSA: Madison, WI, USA, 2020; pp. 373–383. [Google Scholar]
  21. Benke, M.B.; Indraratne, S.P.; Hao, X.; Chang, C.; Goh, T.B. Trace element changes in soil after long-term cattle manure applications. J. Environ. Qual. 2008, 37, 798–807. [Google Scholar] [CrossRef]
  22. Dhaliwal, S.S.; Naresh, R.K.; Mandal, A.; Walia, M.K.; Gupta, R.K.; Singh, R.; Dhaliwal, M.K. Effect of manures and fertilizers on soil physical properties, build-up of macro and micronutrients and uptake in soil under different cropping systems: A review. J. Plant Nutr. 2019, 42, 2873–2900. [Google Scholar] [CrossRef]
  23. Igras, J.; Fotyma, M. Phosphorus utilization and diffuse losses in agricultural crop production. In Temporal and Spatial Differences in Emission of Nitrogen and Phosphorus from Polish Territory to the Baltic Sea; Pastuszak, M., Igras, J., Eds.; National Marine Fisheries Research Institute—Institute of Soil Science and Plant Cultivation—State Research Institute—Fertilizer Research Institute: Gdynia/Puławy, Poland, 2012; pp. 163–192. [Google Scholar]
  24. Haroon, B.; Abbasi, A.M.; Faridullah, P.A.; Pervez, A.; Irshad, M. Chemical characterization of cow manure and poultry manure after composting with privet and cypress residues. Commun. Soil Sci. Plant Anal. 2018, 49, 2854–2866. [Google Scholar] [CrossRef]
  25. Shepherd, M.; Philipps, L.; Jackson, L.; Bhogal, A. The nutrient content of cattle manures from organic holdings in England. Biol. Agric. Hortic. 2002, 20, 229–242. [Google Scholar] [CrossRef]
  26. Ayeni, L.S.; Adetunji, M.T. Integrated application of poultry manure and mineral fertilizer on soil chemical properties, nutrient uptake, yield and growth components of maize. Nat. Sci. 2010, 8, 60–67. [Google Scholar]
  27. Cascarosa, E.; Gea, G.; Arauzo, J. Thermochemical processing of meat and bone meal: A review. Renew. Sustain. Energy Rev. 2012, 16, 942–957. [Google Scholar] [CrossRef]
  28. Möller, K. Assessment of alternative phosphorus fertilizers for organic farming: Meat and bone meal. IMPROVE-P Factsheet 2015, 1–8. Available online: https://improve-p.uni-hohenheim.de/fileadmin/_migrated/content_uploads/moeller2015-factsheet-Meat-and-bone-meal.pdf (accessed on 22 December 2021).
  29. Staroń, P.; Kowalski, Z.; Staroń, A.; Seidlerová, J.; Banach, M. Residues from the thermal conversion of waste from the meat industry as a source of valuable macro- and micronutrients. Waste Manag. 2016, 49, 337–345. [Google Scholar] [CrossRef]
  30. Darch, T.; Dunn, R.M.; Guy, A.; Hawkins, J.M.; Ash, M.; Frimpong, K.A.; Blackwell, M.S. Fertilizer produced from abattoir waste can contribute to phosphorus sustainability, and biofortify crops with minerals. PLoS ONE 2019, 14, e0221647. [Google Scholar] [CrossRef] [Green Version]
  31. Regulation (EC) No 1774/2002 of the European Parliament and of the Council of 3 October 2002 Laying down Health Rules Concerning Animal by–Products not Intended for Human Consumption. Available online: https://eur-lex.europa.eu/legal-content/EN/TXT/?uri=CELEX:32002R1774 (accessed on 22 December 2021).
  32. Brod, E.; Øgaard, A.F.; Krogstad, T.; Haraldsen, T.K.; Frossard, E.; Oberson, A. Drivers of phosphorus uptake by barley following secondary resource application. Front. Nutr. 2016, 3, 12. [Google Scholar] [CrossRef] [Green Version]
  33. Chen, L.; Xing, L.; Han, L. Review of the Application of Near-Infrared Spectroscopy Technology to Determine the Chemical Composition of Animal Manure. J. Environ. Bual. 2013, 42, 1015–1028. [Google Scholar] [CrossRef]
  34. Stępień, A.; Wojtkowiak, K.; Kolankowska, E. Use of Meat Industry Waste in the Form of Meat–and–Bone Meal in Fertilising Maize (Zea mays L.) for Grain. Sustainability 2021, 13, 2857. [Google Scholar] [CrossRef]
  35. Garcia, R.A.; Phillips, J.G. Physical distribution and characteristics of meat & bone meal protein. J. Sci. Food Agric. 2009, 89, 329–336. [Google Scholar] [CrossRef]
  36. Stępień, A.; Wojtkowiak, K. Variability of mineral nitrogen contents in soil as affected by meat and bone meal used as fertilizer. Chil. J. Agric. Res. 2015, 75, 105–110. [Google Scholar] [CrossRef]
  37. Paillat, L.; Cannavo, P.; Barraud, F.; Huché-Thélier, L.; Guénon, R. Growing Medium Type Affects Organic Fertilizer Mineralization and CNPS Microbial Enzyme Activities. Agronomy 2020, 10, 1955. [Google Scholar] [CrossRef]
  38. Grzyb, A.; Wolna-Maruwka, A.; Niewiadomska, A. Environmental Factors Affecting the Mineralization of Crop Residues. Agronomy 2020, 10, 1951. [Google Scholar] [CrossRef]
  39. Dignac, M.F.; Kogel-Knabner, I.; Michel, K.; Matzner, E.; Knicher, H. Chemistry of soil organic matter as related to C:N in Norway spruce forest (Picea abies (L.) Karst.) floors and mineral soils. J. Plant Nutr. Soil Sci. 2002, 165, 281–289. [Google Scholar] [CrossRef] [Green Version]
  40. Jeng, A.S.; Haraldsen, T.K.; Vagstad, N.; Gronlund, A. Meat and bone meal as nitrogen fertilizer to cereals in Norway. Agric. Food Sci. 2004, 13, 268–275. [Google Scholar] [CrossRef] [Green Version]
  41. Mondini, C.; Cayuela, M.L.; Sinicco, T.; Sánchez-Monedero, M.A.; Bertolone, E.; Bardi, L. Soil application of meat and bone meal. Short-term effects on mineralization dynamics and soil biochemical and microbiological properties. Soil Biol. Biochem. 2008, 40, 462–474. [Google Scholar] [CrossRef]
  42. Jeng, A.S.; Vagstad, N. Potential nitrogen and phosphorus leaching from soils fertilized with meat and bone meal. Acta Agric. Scand. B Soil Plant Sci. 2009, 59, 238–245. [Google Scholar] [CrossRef]
  43. Cayuela, M.L.; Sinicco, T.; Mondini, C. Mineralization dynamics and biochemical properties during initial decomposition of plant and animal residues in soil. Appl. Soil Ecol. 2009, 41, 118–127. [Google Scholar] [CrossRef]
  44. Bonanomi, G.; Sarker, T.C.; Zotti, M.; Cesarano, G.; Allevato, E.; Mazzoleni, S. Predicting nitrogen mineralization from organic amendments: Beyond C/N ratio by 13 C-CPMAS NMR approach. Plant Soil 2019, 441, 129–146. [Google Scholar] [CrossRef]
  45. Curtin, D.; Beare, M.H.; Hernandez-Ramirez, G. Temperature and moisture effects on microbial biomass and soil organic matter mineralization. Soil Sci. Soc. Am. J. 2012, 76, 2055–2067. [Google Scholar] [CrossRef]
  46. Warzyński, H.; Sosnowska, A.; Harasimiuk, A. Effect of variable content of organic matter and carbonates on results of determination of granulometric composition by means of Casagrande’s areometric method in modification by Prószyński. Soil Sci. Annu. 2018, 69, 39–48. [Google Scholar] [CrossRef]
  47. Phogat, V.K.; Grewal, K.S.; Dahiya, R. Soil structural parameters. In Research Methods in Plant Sciences: Allelopathy vol 1 Soil Analysis; Narwal, S.S., Dahiya, S.S., Singh, J.P., Eds.; Scientific Publishers: Jodhpur, India, 2004; pp. 68–86. [Google Scholar]
  48. Karczewska, A.; Kabała, C. Metodyka analiz laboratoryjnych gleb i roślin. In Methodology of Laboratory Analyses of the Soil and Plants; Uniwersytet Przyrodniczy we Wrocławiu: Wrocław, Poland, 2008. [Google Scholar]
  49. Zemichael, B.; Dechassa, N.; Abay, F. Yield and nutrient use efficiency of bread wheat (Triticum Aestivum L.) as influenced by time and rate of nitrogen application in Enderta, Tigray, Northern Ethiopia. Open Agric. 2017, 2, 611–624. [Google Scholar] [CrossRef] [Green Version]
  50. Stanisz, A. Accessible Course in Statistics Based on the STATISTICA PL Software on Examples from Medicine; Tome 1; Basic statistics; StatSoft Polska: Kraków, Poland, 2007. (In Polish) [Google Scholar]
  51. Kruskal, J.B.; Wish, M. Multidimensional Scaling; Sage: Newbury Park, CA, USA, 1978. [Google Scholar]
  52. Young, F.W.; Hamer, R.M. Multidimensional Scaling: History, Theory and Application; Lawrence Eribaum Associates: New York, NY, USA, 1987. [Google Scholar]
  53. Takane, Y.; Young, F.W.; De Leeuw, J. Nonmetric individual differences multidimensional scaling: An alternating least squares method with optimal scaling features. Psychometrika 1977, 42, 7–67. [Google Scholar] [CrossRef]
  54. Zaborski, A.; Pełka, M. Geometrical presentation of preferences to using profit analysis and R program. Foil Oeconomia. Acta Univ. Lodz. 2013, 285, 191–197. [Google Scholar]
  55. Khalil, H.P.S.A.; Hossain, M.S.; Rosamah, E.; Azli, N.A.; Saddon, N.; Davoudpoura, Y.; Islam, M.N.; Dungani, R. The role of soil properties and it’s interaction towards quality plant fiber: A review. Renew. Sustain. Energy Rev. 2015, 43, 1006–1015. [Google Scholar] [CrossRef]
  56. Lipiec, J.; Usowicz, B.; Kłopotek, J.; Turski, M.; Frąc, M. Effects of Application of Recycled Chicken Manure and Spent Mushroom Substrate on Organic Matter, Acidity, and Hydraulic Properties of Sandy Soils. Materials 2021, 14, 4036. [Google Scholar] [CrossRef]
  57. Tammeorg, P.; Simojoki, A.; Mäkelä, P.; Stoddard, F.L.; Alakukku, L.; Helenius, J. Short-term effects of biochar on soil properties and wheat yield formation with meat bone meal and inorganic fertiliser on a boreal loamy sand. Agric. Ecosyst. Environ. 2014, 191, 108–116. [Google Scholar] [CrossRef]
  58. Mrugalska, L.; Owczarzak, W.; Kaczmarek, Z. Wpływ efektywnych mikroorganizmów na kształtowanie struktury gleb w doświadczeniu inkubacyjnym. The impact of effective microorganisms on the process of soil structure forming in the incubatory experiment. J. Res. Appl. Agric. Eng. 2009, 54, 2631. (In Polish) [Google Scholar]
  59. Keller, T.; Håkansson, I. Estimation of reference bulk density from soil particle size distribution and soil organic matter content. Geoderma 2010, 154, 398–406. [Google Scholar] [CrossRef]
  60. Nichols, K.A.; Toro, M. A whole soil stability index (WSSI) for evaluating soil aggregation. Soil Till. Res. 2011, 111, 99–104. [Google Scholar] [CrossRef]
  61. Padbhushan, R.; Das, A.; Rakshit, R.; Sharma, R.P.; Kohli, A.; Kumar, R. Long-term organic amendment application improves influence on soil aggregation, aggregate associated carbon and carbon pools under scented rice-potato-onion cropping system after the 9th crop cycle. Commun. Soil Sci. Plant Anal. 2016, 47, 2445–2457. [Google Scholar] [CrossRef]
  62. Brod, E.; Øgaard, A.F.; Hansen, E.; Wragg, D.; Haraldsen, T.K.; Krogstad, T. Waste products as alternative phosphorus fertilisers part I: Inorganic P species affect fertilisation effects depending on soil pH. Nutr. Cycl. Agroecosyst. 2015, 103, 167–185. [Google Scholar] [CrossRef]
  63. Khalil, M.I.; Hossain, M.B.; Schmidhalter, U. Carbon and nitrogen mineralization in different upland soils of the subtropics treated with organic materials. Soil Biol. Biochem. 2005, 37, 1507–1518. [Google Scholar] [CrossRef]
  64. Leng, L.; Bogush, A.A.; Roy, A.; Stegemann, J.A. Characterisation of ashes from waste biomass power plants and phosphorus recovery. Sci. Total Environ. 2019, 690, 573–583. [Google Scholar] [CrossRef]
  65. Frøseth, R.B.; Bleken, M.A. Effect of low temperature and soil type on the decomposition rate of soil organic carbon and clover leaves, and related priming effect. Soil Biol. Biochem. 2014, 80, 156–166. [Google Scholar] [CrossRef]
  66. Poeplau, C.; Katterer, T.; Bolinder, M.A.; Borjesson, G.; Berti, A.; Lugato, E. Low stabilization of above- ground crop residue carbon in sandy soils of Swedish long-term experiments. Geoderma 2015, 237, 246–255. [Google Scholar] [CrossRef]
  67. Wilhelm, W.W.; Johnson, J.M.F.; Hatfield, J.L.; Voorhees, W.B.; Linden, D.R. Crop and soil productivity response to corn residue removal: A literature review. Agron. J. 2004, 96, 1–17. [Google Scholar] [CrossRef]
  68. Gutser, R.; Ebertseder, T.; Weber, A.; Schraml, M.; Schmidhalter, U. Short-term and residual availability of nitrogen after long-term application of organic fertilizers on arable land. J. Plant Nutr. Soil Sci. 2005, 168, 439–446. [Google Scholar] [CrossRef]
  69. Franke-Whittle, I.H.; Insam, H. Treatment alternatives of slaughterhouse wastes, and their effect on the inactivation of different pathogens: A review. Crit. Rev. Microbiol. 2013, 39, 139–151. [Google Scholar] [CrossRef] [PubMed] [Green Version]
  70. Jeng, A.S.; Haraldsen, T.K.; Grønlund, A.; Pedersen, P.A. Meat and bone meal as nitrogen and phosphorus fertilizer to cereals and rye grass. In Advances in Integrated Soil Fertility Management in Sub–Saharan Africa, Challenges and Opportunities; Springer: Dordrecht, The Netherlands, 2007; pp. 245–253. [Google Scholar]
  71. Foereid, B. Phosphorus availability in residues as fertilizers in organic agriculture. Agric. Food Sci. 2017, 26, 25–33. [Google Scholar] [CrossRef] [Green Version]
  72. Yli-Halla, M.; Schick, J.; Kratz, S.; Schnug, E. Determination of Plant available P in soil. In Phosphorus in Agriculture: 100% Zero; Springer: Dordrecht, The Netherlands, 2016; pp. 63–93. [Google Scholar] [CrossRef]
  73. Brod, E.; Haraldsen, T.K.; Krogstad, T. Combined waste resources as compound fertiliser to spring cereals. Acta Agric. Scand. B Soil Plant Sci. 2014, 64, 329–340. [Google Scholar] [CrossRef]
  74. Dhaliwal, S.S.; Naresh, R.K.; Mandal, A.; Singh, R.; Dhaliwal, M.K. Dynamics and transformations of micronutrients in agricultural soils as influenced by organic matter build–up: A review. Environ. Sustain. Indic. 2019, 1, 100007. [Google Scholar] [CrossRef]
  75. Singh, D.V.; Bhat, R.A.; Geelani, S.M. Agricultural Waste: Sources, Implications, and Sustainable Management. Agricultural Waste Apple Academic Press: New York, NY, USA, 2021; pp. 1–13. [Google Scholar]
  76. Wołoszyk, C.; Krzywy–Gawronska, E.; Iżewska, A. Plonowanie roślin i wykorzystanie azotu w dwóch ogniwach zmianowania w zależności od zróżnicowanego nawożenia organicznego. Yielding of plants and the use of nitrogen in two elements of plant rotation depending on different organic fertilization. Zesz. Probl. Post. Nauk Rol. 2011, 565, 393–403. (In Polish) [Google Scholar]
  77. Kivelä, J.; Chen, L.; Muurinen, S.; Kivijärvi, P.; Hintikainen, V.; Helenius, J. Effects of meat bone meal as fertilizer on yield and quality of sugar beet and carrot. Agric. Food Sci. 2015, 24, 68–83. [Google Scholar] [CrossRef]
  78. Chaves, C.; Pomares, F.; Albiach, R.; Canet, R. Rates of Nitrogen Mineralization of Meat and Bone Meals in Mediterranean Soils. Commun. Soil Sci. Plant Anal. 2014, 45, 2258–2267. [Google Scholar] [CrossRef]
Figure 1. Specific density of soil depending on soil type, meat and bone meal application, soil type/meat and bone meal application, g cm−3. a,b,c—statistically homogenous groups (Tukey’s test); HLA—Haplic Luvisol Arenic soil; HLL—Haplic Luvisol Loamic soil.
Figure 1. Specific density of soil depending on soil type, meat and bone meal application, soil type/meat and bone meal application, g cm−3. a,b,c—statistically homogenous groups (Tukey’s test); HLA—Haplic Luvisol Arenic soil; HLL—Haplic Luvisol Loamic soil.
Sustainability 14 01341 g001
Figure 2. Bulk density of soil depending on soil type, meat and bone meal application, soil type/meat and bone meal application, g cm−3. a,b,c,d—statistically homogenous groups (Tukey’s test); HLA—Haplic Luvisol Arenic soil; HLL—Haplic Luvisol Loamic soil.
Figure 2. Bulk density of soil depending on soil type, meat and bone meal application, soil type/meat and bone meal application, g cm−3. a,b,c,d—statistically homogenous groups (Tukey’s test); HLA—Haplic Luvisol Arenic soil; HLL—Haplic Luvisol Loamic soil.
Sustainability 14 01341 g002
Figure 3. Soil pH depending on soil type meat and bone meal application, soil type/meat and bone meal application. a,b,c,d—statistically homogenous groups (Tukey’s test); HLA—Haplic Luvisol Arenic soil; HLL—Haplic Luvisol Loamic soil.
Figure 3. Soil pH depending on soil type meat and bone meal application, soil type/meat and bone meal application. a,b,c,d—statistically homogenous groups (Tukey’s test); HLA—Haplic Luvisol Arenic soil; HLL—Haplic Luvisol Loamic soil.
Sustainability 14 01341 g003
Figure 4. Concentration of organic carbon in the soil, depending on the year of meat and bone meal application, soil type meat and bone meal application, year of meat and bone meal application/meat and bone meal application, soil type/meat and bone meal application, g kg−1. a,b,c,d,e—statistically homogenous groups (Tukey’s test); HLA—Haplic Luvisol Arenic soil; HLL—Haplic Luvisol Loamic soil.
Figure 4. Concentration of organic carbon in the soil, depending on the year of meat and bone meal application, soil type meat and bone meal application, year of meat and bone meal application/meat and bone meal application, soil type/meat and bone meal application, g kg−1. a,b,c,d,e—statistically homogenous groups (Tukey’s test); HLA—Haplic Luvisol Arenic soil; HLL—Haplic Luvisol Loamic soil.
Sustainability 14 01341 g004
Figure 5. Concentration of total nitrogen in the soil depending on the year of meat and bone meal application, soil type meat and bone meal application, soil type/meat and bone meal application, g kg−1. a,b,c,d,e—statistically homogenous groups (Tukey’s test); HLA—Haplic Luvisol Arenic soil; HLL—Haplic Luvisol Loamic soil.
Figure 5. Concentration of total nitrogen in the soil depending on the year of meat and bone meal application, soil type meat and bone meal application, soil type/meat and bone meal application, g kg−1. a,b,c,d,e—statistically homogenous groups (Tukey’s test); HLA—Haplic Luvisol Arenic soil; HLL—Haplic Luvisol Loamic soil.
Sustainability 14 01341 g005
Figure 6. Concentration of N–NO3 in soil depending on the year of meat and bone meal application, soil type and meat and bone meal application, year of meat and bone meal application/meat and bone meal application, soil type/meat and bone meal application, mg kg−1. a,b,c,d,e,f—statistically homogenous groups (Tukey’s test); HLA—Haplic Luvisol Arenic soil; HLL—Haplic Luvisol Loamic soil.
Figure 6. Concentration of N–NO3 in soil depending on the year of meat and bone meal application, soil type and meat and bone meal application, year of meat and bone meal application/meat and bone meal application, soil type/meat and bone meal application, mg kg−1. a,b,c,d,e,f—statistically homogenous groups (Tukey’s test); HLA—Haplic Luvisol Arenic soil; HLL—Haplic Luvisol Loamic soil.
Sustainability 14 01341 g006
Figure 7. Concentration of N–NH4 in soil depending on the year of meat and bone meal application, soil type meat and bone meal application, year of meat and bone meal application/meat and bone meal application, soil type/meat and bone meal application, mg kg−1. a,b,c,d,e,f,g—statistically homogenous groups (Tukey’s test); HLA—Haplic Luvisol Arenic soil; HLL—Haplic Luvisol Loamic soil.
Figure 7. Concentration of N–NH4 in soil depending on the year of meat and bone meal application, soil type meat and bone meal application, year of meat and bone meal application/meat and bone meal application, soil type/meat and bone meal application, mg kg−1. a,b,c,d,e,f,g—statistically homogenous groups (Tukey’s test); HLA—Haplic Luvisol Arenic soil; HLL—Haplic Luvisol Loamic soil.
Sustainability 14 01341 g007
Figure 8. Concentration of P in soil depending on the year of meat and bone meal application, soil type; meat and bone meal application, soil type/meat and bone meal application, mg kg−1. a,b,c,d,e,f,g—statistically homogenous groups (Tukey’s test); HLA—Haplic Luvisol Arenic soil; HLL—Haplic Luvisol Loamic soil.
Figure 8. Concentration of P in soil depending on the year of meat and bone meal application, soil type; meat and bone meal application, soil type/meat and bone meal application, mg kg−1. a,b,c,d,e,f,g—statistically homogenous groups (Tukey’s test); HLA—Haplic Luvisol Arenic soil; HLL—Haplic Luvisol Loamic soil.
Sustainability 14 01341 g008
Figure 9. Concentration of K in soil, depending on the year of meat and bone meal application, soil type, meat and bone meal application, soil type/meat and bone meal application, mg kg−1. a,b,c,d,e—statistically homogenous groups (Tukey’s test).
Figure 9. Concentration of K in soil, depending on the year of meat and bone meal application, soil type, meat and bone meal application, soil type/meat and bone meal application, mg kg−1. a,b,c,d,e—statistically homogenous groups (Tukey’s test).
Sustainability 14 01341 g009
Figure 10. Concentrations of Cu, Fe, Zn, and Mn in soil depending on the year of meat and bone meal application, mg kg−1. a,b—statistically homogenous groups (Tukey’s test).
Figure 10. Concentrations of Cu, Fe, Zn, and Mn in soil depending on the year of meat and bone meal application, mg kg−1. a,b—statistically homogenous groups (Tukey’s test).
Sustainability 14 01341 g010
Figure 11. Concentrations of Cu, Fe, Zn and Mn in soil depend on soil type, mg kg−1. a,b—statistically homogenous groups (Tukey’s test).
Figure 11. Concentrations of Cu, Fe, Zn and Mn in soil depend on soil type, mg kg−1. a,b—statistically homogenous groups (Tukey’s test).
Sustainability 14 01341 g011
Figure 12. Concentrations of Cu, Fe, Zn, and Mn in soil depending on meat and bone meal application, mg kg−1. a,b,c,d—statistically homogenous groups (Tukey’s test).
Figure 12. Concentrations of Cu, Fe, Zn, and Mn in soil depending on meat and bone meal application, mg kg−1. a,b,c,d—statistically homogenous groups (Tukey’s test).
Sustainability 14 01341 g012
Figure 13. Concentrations of Cu, Fe, Zn, and Mn in soil depending on soil type/meat and bone meal application, mg kg−1. a,b,c,d,e,f—statistically homogenous groups (Tukey’s test).
Figure 13. Concentrations of Cu, Fe, Zn, and Mn in soil depending on soil type/meat and bone meal application, mg kg−1. a,b,c,d,e,f—statistically homogenous groups (Tukey’s test).
Sustainability 14 01341 g013
Figure 14. Agronomic efficiency (AE) depending on the year of meat and bone meal application, soil type meat and bone meal application, year of meat and bone meal application/soil type year of meat and bone meal application/meat and bone meal application. a,b,c,d,e,f—statistically homogenous groups (Tukey’s test ); HLA—Haplic Luvisol Arenic soil; HLL—Haplic Luvisol Loamic soil.
Figure 14. Agronomic efficiency (AE) depending on the year of meat and bone meal application, soil type meat and bone meal application, year of meat and bone meal application/soil type year of meat and bone meal application/meat and bone meal application. a,b,c,d,e,f—statistically homogenous groups (Tukey’s test ); HLA—Haplic Luvisol Arenic soil; HLL—Haplic Luvisol Loamic soil.
Sustainability 14 01341 g014
Figure 15. Projection of the results of two-dimensional (PROFIT) analysis—2nd year of meat and bone meal application (2015). MBM—meat and bone meal; HLA—Haplic Luvisol Arenic soil; HLL—Haplic Luvisol Loamic soil.
Figure 15. Projection of the results of two-dimensional (PROFIT) analysis—2nd year of meat and bone meal application (2015). MBM—meat and bone meal; HLA—Haplic Luvisol Arenic soil; HLL—Haplic Luvisol Loamic soil.
Sustainability 14 01341 g015
Figure 16. Projection of the results of two-dimensional (PROFIT) analysis—4th year of meat and bone meal application (2017). MBM—meat and bone meal; HLA—Haplic Luvisol Arenic soil; HLL—Haplic Luvisol Loamic soil.
Figure 16. Projection of the results of two-dimensional (PROFIT) analysis—4th year of meat and bone meal application (2017). MBM—meat and bone meal; HLA—Haplic Luvisol Arenic soil; HLL—Haplic Luvisol Loamic soil.
Sustainability 14 01341 g016
Table 1. Design of the field experiment. The amount of micronutrients and macronutrients introduced to soil with fertilizers (mean of 2014–2017, kg ha−1). * MBM =meat and bone meal ** Kmin = mineral K.
Table 1. Design of the field experiment. The amount of micronutrients and macronutrients introduced to soil with fertilizers (mean of 2014–2017, kg ha−1). * MBM =meat and bone meal ** Kmin = mineral K.
TreatmentsNPKMgCaCuFeZnMn
MBM *Kmin. **
Without fertilization
Mineral fertilization133.079.683.1
Dose of Meat and Bone Meal
1.0 t ha−1 (MBM 1.0)61.031.14.079.15.088.50.0081.1890.0870.029
2.0 t ha−1 (MBM 2.0)122.062.28.075.110.0177.00.0162.3780.1740.058
3.0 t ha−1 (MBM 3.0)183.093.312.071.115.0265.50.0243.5670.2610.087
Table 2. Granulometric composition of the soil.
Table 2. Granulometric composition of the soil.
Fraction Content (%)Haplic Luvisol Arenic (HLA) Haplic Luvisol Loamic (HLL)
Sand fraction Ø 1.0–0.17060
Coarse silt Ø 0.10–0.05124
Fine silt Ø 0.05–0.02715
Coarse clay Ø 0.02–0.00636
Fine clay Ø 0.06–0.00259
Colloidal clay Ø < 0.00236
Granulometric composition (PN-R-04033:1998 *)loamy sandsandy loam
Skeletal fraction Ø >20 (%)1.54.0
* PN—Sectorial Standards available at AGH Main Library (as of 30 December 2011).
Table 3. Physical and chemical properties of soil.
Table 3. Physical and chemical properties of soil.
SpecificationHaplic Luvisol Arenic (HLA)Haplic Luvisol Loamic (HLL)
Ash content (% DM)79.085.7
Specific density (g cm−3)2.482.49
Bulk density (g cm−3)1.691.72
Total porosity (%)31.830.9
Actual moisture % (%)27.327.2
Air content )%)4.53.7
pH in KCl4.714.89
Ntotal (g kg−1)0.600.55
Corganic (g kg−1)11.410.1
P (g kg−1)0.300.33
K (g kg−1)1.281.33
Mn([mg kg−1)133129
Cu (mg kg−1)2.372.68
Zn (mg kg−1)6.986.58
Fe (mg kg−1)12631610
Table 4. Descriptive statistics for the analyzed variables.
Table 4. Descriptive statistics for the analyzed variables.
VariableMeanMedianModalVariance
Specific density (g cm−3)2.542.502.490.01
Bulk density (g cm−3)1.571.60multimodal0.02
pH4.714.704.700.05
Corganic (g kg−1)11.611.510.51.95
Ntotal (g kg−1)0.7670.780multimodal0.02
N-NO3 (mg kg−1)2.632.19multimodal1.28
N-NH4 (mg kg−1)1.961.90multimodal0.83
P (mg kg−1)78.375.475.4258
K (mg kg−1)101104multimodal336
Cu (mg kg−1)2.582.502.500.14
Fe (mg kg−1)14051325127825,367
Zn (mg kg−1)7.287.307.800.27
Mn (mg kg−1)13413413373.4
Maize grain yield (t ha−1)3.943.91multimodal1.87
Agronomic efficiency (AE)(-)15.315.2multimodal89.1
Table 5. Results of one-way analysis of variance; relationships among the physicochemical properties of two types of soil, maize grain yield, agronomic efficiency, and meat and bone meal application.
Table 5. Results of one-way analysis of variance; relationships among the physicochemical properties of two types of soil, maize grain yield, agronomic efficiency, and meat and bone meal application.
Source of VariationBD 1SD 2pHCorganicNtotalN–NO3N–NH4PKCuFeZnMnYG 3AE 4
Year of MBM 5 applicationn.s.n.s.n.s.************n.s.**********
Soil type*********n.s.******************
MBM application*********************n.s.******
Year of MBM application/soil typen.s.n.s.n.s.n.s.n.s.****n.s.n.s.n.s.n.s.n.s.n.s.*n.s.
Year of MBM application/MBM applicationn.s.n.s.n.s.*n.s.****n.s.n.s.n.s.n.s.n.s.n.s.***
Soil type/MBM application**************************n.s.n.s.
Year of MBM application/soil type/MBM applicationn.s.n.s.n.s.*n.s.****n.s.n.s.n.s.n.s.n.s.n.s.n.s.n.s.
1 BD—bulk density, 2 SD—specific density, 3 GY—grain yield, 4 AE—agronomic efficiency, 5 MBM—meat and bone meal.**,*—statistically significant coefficient at a significance level of α = 0.05 and 0.01, respectively, n.s.—nonsignificant.
Table 6. Concentration of organic carbon in the soil, depending on the year of meat and bone meal application and soil type/meat and bone meal application, g kg−1.
Table 6. Concentration of organic carbon in the soil, depending on the year of meat and bone meal application and soil type/meat and bone meal application, g kg−1.
Year/Meat and Bone Meal ApplicationHaplic Luvisol Arenic SoilHaplic Luvisol Loamic Soil
2015/Without fertilization1.11 d–h1.18 c–h
2015/Mineral fertilization0.93 i1.23 a–e
2015/MBM 1.0 t ha−10.96 hi1.29 abc
2015/MBM 2.0 t ha−11.15 b–g1.24 a–d
2015/MBM 3.0 t ha−11.05 ghi1.33 a
2017/Without fertilization1.23 a–f1.12 c–h
2017/Mineral fertilization1.09 f–i1.30 ab
2017/MBM 1.0 t ha−10.98 ghi1.33 a
2017/MBM 2.0 t ha−11.06 e–i1.27 abc
2017/MBM 3.0 t ha−11.14 b–g1.37 a
a,b,c,d,e,f,g,h,i—statistically homogenous groups (Tukey’s test).
Table 7. Concentration of mineral nitrogen (N–NO3, N–NH4) in soil depending on the year of meat and bone meal application/soil type/meat and bone meal application, mg kg−1.
Table 7. Concentration of mineral nitrogen (N–NO3, N–NH4) in soil depending on the year of meat and bone meal application/soil type/meat and bone meal application, mg kg−1.
Year/Meat and Bone Meal ApplicationN–NO3N–NH4
Haplic Luvisol Arenic SoilHaplic Luvisol Loamic SoilHaplic Luvisol Arenic SoilHaplic Luvisol Loamic Soil
2015/Without fertilization2.09 fgh1.28 h1.19 gh1.15 gh
2015/Mineral fertilization2.10 fgh2.24 e–h1.26 gh1.96 de
2015/MBM 1.0 t ha−13.43 cd3.08 c–f1.66 ef2.09 d
2015/MBM 2.0 t ha−14.05 bc3.17 cde1.38 fg3.30 a
2015/MBM 3.0 t ha−15.40 a2.05 gh1.88 de1.07 h
2017/Without fertilization2.16 e–h1.64 gh1.23 gh2.68 b
2017/Mineral fertilization1.50 gh2.23 e–h0.46 i3.60 a
2017/MBM 1.0 t ha−11.99 gh3.18 cde2.14 cd2.48 bc
2017/MBM 2.0 t ha−12.00 gh4.83 b1.88 de3.28 a
2017/MBM 3.0 t ha−11.80 gh2.42 d–g3.49 a1.00 h
a,b,c,d,e,f,g,h,i—statistically homogenous groups (Tukey’s test).
Publisher’s Note: MDPI stays neutral with regard to jurisdictional claims in published maps and institutional affiliations.

Share and Cite

MDPI and ACS Style

Stępień, A.; Wojtkowiak, K.; Grzywińska-Rąpca, M.; Pawluczuk, J. Meat Processing Waste as a Source of Nutrients and Its Effect on the Physicochemical Properties of Soil. Sustainability 2022, 14, 1341. https://doi.org/10.3390/su14031341

AMA Style

Stępień A, Wojtkowiak K, Grzywińska-Rąpca M, Pawluczuk J. Meat Processing Waste as a Source of Nutrients and Its Effect on the Physicochemical Properties of Soil. Sustainability. 2022; 14(3):1341. https://doi.org/10.3390/su14031341

Chicago/Turabian Style

Stępień, Arkadiusz, Katarzyna Wojtkowiak, Małgorzata Grzywińska-Rąpca, and Jan Pawluczuk. 2022. "Meat Processing Waste as a Source of Nutrients and Its Effect on the Physicochemical Properties of Soil" Sustainability 14, no. 3: 1341. https://doi.org/10.3390/su14031341

APA Style

Stępień, A., Wojtkowiak, K., Grzywińska-Rąpca, M., & Pawluczuk, J. (2022). Meat Processing Waste as a Source of Nutrients and Its Effect on the Physicochemical Properties of Soil. Sustainability, 14(3), 1341. https://doi.org/10.3390/su14031341

Note that from the first issue of 2016, this journal uses article numbers instead of page numbers. See further details here.

Article Metrics

Back to TopTop