Impact of Producer’s Environmental Performance on Consumers and Retailers Simultaneously in the Indonesian Retail Environment
Abstract
1. Introduction
2. Literature Review
2.1. Producer Environmental Performance
2.2. The Relationship Quality
2.3. Purchasing Behavior
2.4. Environmental Attitude
3. Materials and Methods
3.1. Instrument Development
3.2. Instrument Selection
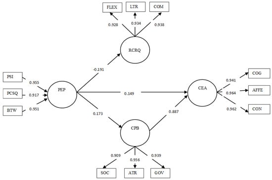
4. Results
4.1. Measure Reliability and Validity
4.2. Hypotheses Testing
4.3. Goodness of Fit
5. Discussion
5.1. Implication to Theory
5.2. Implication to Practice
5.3. Limitations and Research Directions
6. Conclusions
Author Contributions
Funding
Data Availability Statement
Acknowledgments
Conflicts of Interest
References
- Oliveira, M.C.; Magrini, A. Life Cycle Assessment of Lubricant Oil Plastic Containers in Brazil. Sustainability 2017, 9, 576. [Google Scholar] [CrossRef]
- Nemati, M.; Zheng, Y.; Hu, W. ISO-14001 Standard and Firms’ Environmental Performance: Evidence from the U.S. Transportation Equipment Manufacturers. SSRN Electron. J. 2016, 1–30. [Google Scholar] [CrossRef]
- Bassi, S.A.; Boldrin, A.; Faraca, G.; Astrup, T.F. Extended Producer Responsibility: How to Unlock the Environmental and Economic Potential of Plastic Packaging Waste? Resour. Conserv. Recycl. 2020, 162, 105030. [Google Scholar] [CrossRef]
- Leclerc, S.H.; Badami, M.G. Extended Producer Responsibility for E-Waste Management: Policy Drivers and Challenges. J. Clean. Prod. 2020, 251, 119657. [Google Scholar] [CrossRef]
- Vadakkepatt, G.G.; Winterich, K.P.; Mittal, V.; Zinn, W.; Beitelspacher, L.; Aloysius, J.; Ginger, J.; Reilman, J. Sustainable Retailing. J. Retail. 2021, 97, 62–80. [Google Scholar] [CrossRef]
- Wang, Y. Promoting Sustainable Consumption Behaviors: The Impacts of Environmental Attitudes and Governance in a Cross-National Context. Environ. Behav. 2017, 49, 1128–1155. [Google Scholar] [CrossRef]
- Güerre, A.A. Oil Tax, Subsidies and Extended Producer Responsibility in the Used Oil Market. Int. J. Energy Econ. Policy 2018, 8, 1118. [Google Scholar] [CrossRef]
- Nowak, P.; Kucharska, K.; Kamiński, M. Ecological and Health Effects of Lubricant Oils Emitted into the Environment. Int. J. Environ. Res. Public Health 2019, 16, 3002. [Google Scholar] [CrossRef]
- Handoyo, S. The Development of Indonesia Environmental Performance and Environmental Compliance. J. Account. Audit. Bus. 2018, 1, 74. [Google Scholar] [CrossRef]
- Deliana, Y.; Rum, I.A. How Does Perception on Green Environment across Generations Affect Consumer Behaviour? A Neural Network Process. Int. J. Consum. Stud. 2019, 43, 358–367. [Google Scholar] [CrossRef]
- Tariq, M.; Yasir, M.; Majid, A. Promoting Employees’ Environmental Performance in Hospitality Industry through Environmental Attitude and Ecological Behavior: Moderating Role of Managers’ Environmental Commitment. Corp. Soc. Responsib. Environ. Manag. 2020, 27, 3006–3017. [Google Scholar] [CrossRef]
- Rizzi, F.; Annunziata, E.; Contini, M.; Frey, M. On the Effect of Exposure to Information and Self-Benefit Appeals on Consumer’s Intention to Perform pro-Environmental Behaviours: A Focus on Energy Conservation Behaviours. J. Clean. Prod. 2020, 270, 122039. [Google Scholar] [CrossRef]
- Baierl, T.M.; Johnson, B.; Bogner, F.X. Assessing Environmental Attitudes and Cognitive Achievement within 9 Years of Informal Earth Education. Sustainability 2021, 13, 3622. [Google Scholar] [CrossRef]
- Paço, A.; Rodrigues, R.G. Environmental Activism and Consumers’ Perceived Responsibility. Int. J. Consum. Stud. 2016, 40, 466–474. [Google Scholar] [CrossRef]
- Taufik, D.; Reinders, M.J.; Molenveld, K.; Onwezen, M.C. The Paradox between the Environmental Appeal of Bio-Based Plastic Packaging for Consumers and Their Disposal Behaviour. Sci. Total Environ. 2020, 705, 135820. [Google Scholar] [CrossRef]
- Xu, M.; Lai, I.K.W.; Tang, H. From Corporate Environmental Responsibility to Purchase Intention of Chinese Buyers: The Mediation Role of Relationship Quality. J. Consum. Behav. 2021, 20, 309–323. [Google Scholar] [CrossRef]
- Dagher, G.K.; Itani, O.; Kassar, A.N. The Impact of Environment Concern and Attitude on Green Purchasing Behavior: Gender as The Moderator. Contemp. Manag. Res. 2015, 11, 179–206. [Google Scholar] [CrossRef]
- Grimmer, M.; Bingham, T. Company Environmental Performance and Consumer Purchase Intentions. J. Bus. Res. 2013, 66, 1945–1953. [Google Scholar] [CrossRef]
- Lai, C.K.M.; Cheng, E.W.L. Green Purchase Behavior of Undergraduate Students in Hong Kong. Soc. Sci. J. 2016, 53, 67–76. [Google Scholar] [CrossRef]
- Sharma, A.; Foropon, C. Green Product Attributes and Green Purchase Behavior: A Theory of Planned Behavior Perspective with Implications for Circular Economy. Manag. Decis. 2019, 57, 1018–1042. [Google Scholar] [CrossRef]
- Zheng, G.W.; Siddik, A.B.; Masukujjaman, M.; Alam, S.S.; Akter, A. Perceived Environmental Responsibilities and Green Buying Behavior: The Mediating Effect of Attitude. Sustainability 2021, 13, 35. [Google Scholar] [CrossRef]
- Jan, I.U.; Ji, S.; Yeo, C. Values and Green Product Purchase Behavior: The Moderating Effects of the Role of Government and Media Exposure. Sustainability 2019, 11, 6642. [Google Scholar] [CrossRef]
- Yue, B.; Sheng, G.; She, S.; Xu, J. Impact of Consumer Environmental Responsibility on Green Consumption Behavior in China: The Role of Environmental Concern and Price Sensitivity. Sustainability 2020, 12, 2074. [Google Scholar] [CrossRef]
- De Mendonca, T.R.; Zhou, Y. Environmental Performance, Customer Satisfaction, and Profitability: A Study among Large U.S. Companies. Sustainability 2019, 11, 5. [Google Scholar] [CrossRef]
- Stolz, J.; Molina, H.; Ramírez, J.; Mohr, N. Consumers’ Perception of the Environmental Performance in Retail Stores: An Analysis of the German and the Spanish Consumer. Int. J. Consum. Stud. 2013, 37, 394–399. [Google Scholar] [CrossRef]
- Nyilasy, G.; Gangadharbatla, H.; Paladino, A. Perceived Greenwashing: The Interactive Effects of Green Advertising and Corporate Environmental Performance on Consumer Reactions. J. Bus. Ethics 2014, 125, 693–707. [Google Scholar] [CrossRef]
- Wen, D.; Xiao, T.; Dastani, M. Pricing and Collection Rate Decisions in a Closed-Loop Supply Chain Considering Consumers’ Environmental Responsibility. J. Clean. Prod. 2020, 262, 121272. [Google Scholar] [CrossRef]
- Naidoo, M.; Gasparatos, A. Corporate Environmental Sustainability in the Retail Sector: Drivers, Strategies and Performance Measurement. J. Clean. Prod. 2018, 203, 125–142. [Google Scholar] [CrossRef]
- Bae, H.S. Empirical Relationships of Perceived Environmental Uncertainty, Supply Chain Collaboration and Operational Performance: Analyses of Direct, Indirect and Total Effects. Asian J. Shipp. Logist. 2017, 33, 263–272. [Google Scholar] [CrossRef]
- Meinlschmidt, J.; Schaltenbrand, B.; Busse, C.; Förstl, K. Environmental and Sustainable Performance from a Supply Chain Management Perspective. Effic. Logist. 2013, 175–183. [Google Scholar] [CrossRef]
- Yang, J.; Han, Q.; Zhou, J.; Yuan, C. The Influence of Environmental Management Practices and Supply Chain Integration on Technological Innovation Performance-Evidence from China’s Manufacturing Industry. Sustainability 2015, 7, 15342–15361. [Google Scholar] [CrossRef]
- Seman, N.A.A.; Govindan, K.; Mardani, A.; Zakuan, N.; Mat Saman, M.Z.; Hooker, R.E.; Ozkul, S. The Mediating Effect of Green Innovation on the Relationship between Green Supply Chain Management and Environmental Performance. J. Clean. Prod. 2019, 229, 115–127. [Google Scholar] [CrossRef]
- Albino, V.; Dangelico, R.M.; Pontrandolfo, P. Do Inter-Organizational Collaborations Enhance a Firm’s Environmental Performance? A Study of the Largest U.S. Companies. J. Clean. Prod. 2012, 37, 304–315. [Google Scholar] [CrossRef]
- Hazel, D.; Kang, J. The Contributions of Perceived CSR Information Substantiality Toward Consumers’ Cognitive, Affective, and Conative Responses: The Hierarchy of Effects Model Approach. Cloth. Text. Res. J. 2018, 36, 62–77. [Google Scholar] [CrossRef]
- Yu, K.; Cadeaux, J.; Song, H. Flexibility and Quality in Logistics and Relationships. Ind. Mark. Manag. 2017, 62, 211–225. [Google Scholar] [CrossRef]
- Dang, V.T.; Nguyen, N.; Pervan, S. Retailer Corporate Social Responsibility and Consumer Citizenship Behavior: The Mediating Roles of Perceived Consumer Effectiveness and Consumer Trust. J. Retail. Consum. Serv. 2020, 55, 102082. [Google Scholar] [CrossRef]
- Hojat, A.H.M.; Rahim, K.A.; Chin, L. Firm’s Environmental Performance: A Review of Their Determinants. Am. J. Econ. Bus. Adm. 2010, 2, 330–338. [Google Scholar] [CrossRef]
- Trujillo-Gallego, M.; Sarache, W.; Sellitto, M.A. Environmental Performance in Manufacturing Companies: A Benchmarking Study. Benchmarking 2021, 28, 670–694. [Google Scholar] [CrossRef]
- Schultze, W.; Trommer, R. The Concept of Environmental Performance and Its Measurement in Empirical Studies. J. Manag. Control 2012, 22, 375–412. [Google Scholar] [CrossRef]
- Davis, F.D. Perceived Usefulness, Perceived Ease of Use, and User Acceptance of Information Technology. MIS Q. Manag. Inf. Syst. 1989, 13, 319–339. [Google Scholar] [CrossRef]
- Gatti, L.; Caruana, A.; Snehota, I. The Role of Corporate Social Responsibility, Perceived Quality and Corporate Reputation on Purchase Intention: Implications for Brand Management. J. Brand Manag. 2012, 20, 65–76. [Google Scholar] [CrossRef]
- Afzal, H.; Khan, M.A.; ur Rehman, K.; Ali, I.; Wajahat, S. Consumer’s Trust in the Brand: Can It Be Built through Brand Reputation, Brand Competence and Brand Predictability. Int. Bus. Res. 2009, 3, 43–51. [Google Scholar] [CrossRef]
- Kan, C.W.; Chow, C.Y.T.; Thangtham, U.; Yabdee, S.; Yulek, A.; Mongkholrattanasit, R. Exploring the Relationship between Brand Green Image, Environmental Performance and Consumer Green Consciousness and Purchase Intention of Fashion Products. Appl. Mech. Mater. 2017, 866, 425–432. [Google Scholar] [CrossRef]
- Suki, M.N. Green Product Purchase Intention: Impact of Green Brands, Attitude, and Knowledge. Br. Food J. 2016, 118, 2893–2910. [Google Scholar] [CrossRef]
- Niesten, E.; Jolink, A.; Lopes de Sousa Jabbour, A.B.; Chappin, M.; Lozano, R. Sustainable Collaboration: The Impact of Governance and Institutions on Sustainable Performance. J. Clean. Prod. 2017, 155, 1–6. [Google Scholar] [CrossRef]
- Chan, C.K.; Lee, Y.C.E.; Campbell, J.F. Environmental Performance—Impacts of Vendor-Buyer Coordination. Int. J. Prod. Econ. 2013, 145, 683–695. [Google Scholar] [CrossRef]
- Bae, H.S. The Relationships between Environment, Integration and Performance in Supply Chain Contexts Contents. Asian J. Shipp. Logist. 2011, 27, 61–90. [Google Scholar] [CrossRef]
- Sozuer, A.; Altuntas, G.; Semercioz, F. Inter-Firm Governance and Relationship Quality: A Study on 3PL Firms. J. Glob. Strateg. Manag. 2015, 1, 29. [Google Scholar] [CrossRef]
- Voinea, C.L.; Hoogenberg, B.J.; Fratostiteanu, C.; Hashmi, H.B.A. The Relation between Environmental Management Systems and Environmental and Financial Performance in Emerging Economies. Sustainability 2020, 12, 5309. [Google Scholar] [CrossRef]
- Andersen, P.; Weisstein, F.L.; Song, L. Consumer Response to Marketing Channels: A Demand-Based Approach. J. Mark. Channels 2020, 26, 43–59. [Google Scholar] [CrossRef]
- Lostakova, H.; Pecinova, Z. The Role of Partnership and Flexibility in Strengthening Customer Relationships in the B2B Market. Procedia—Soc. Behav. Sci. 2014, 150, 563–575. [Google Scholar] [CrossRef]
- Sheu, C.; Yen, H.J.R.; Chae, B. Determinants of Supplier-Retailer Collaboration: Evidence from an International Study. Int. J. Oper. Prod. Manag. 2006, 26, 24–49. [Google Scholar] [CrossRef]
- Redaelli, E.J.; Paiva, E.L.; Teixeira, R. The Relationship between Manufacturer and Distributors: Knowledge Transfer and Performance. BAR—Braz. Adm. Rev. 2015, 12, 421–441. [Google Scholar] [CrossRef]
- Mason, K.; Mouzas, S. Flexible Business Models. Eur. J. Mark. 2012, 46, 1340–1367. [Google Scholar] [CrossRef]
- Panigrahi, S.S.; Sahu, B. Analysis of Interactions among the Enablers of Green Supply Chain Management Using Interpretive Structural Modelling: An Indian Perspective. Int. J. Comp. Manag. 2018, 1, 377. [Google Scholar] [CrossRef]
- Ryu, S.; Park, J.E.; Min, S. Factors of Determining Long-Term Orientation in Interfirm Relationships. J. Bus. Res. 2007, 60, 1225–1233. [Google Scholar] [CrossRef]
- Palmatier, R.W.; Mccabe, E.; Fellow, F.; Foster, M.G. Interfirm Relational Drivers of Customer Value. J. Mark. 2008, 72, 76–89. [Google Scholar] [CrossRef]
- Rinehart, L.M.; Eckert, J.A.; Handfield, R.B.; Page, T.J.; Atkin, T. An Assessmtent of Supplier—Cistomer Relationships. J. Bus. Logist. 2004, 25, 25–62. [Google Scholar] [CrossRef]
- De Wulf, K.; Odekerken-Schröder, G.; Van Kenhove, P. Investments in Consumer Relationships: A Critical Reassessment and Model Extension. Int. Rev. Retail. Distrib. Consum. Res. 2003, 13, 245–261. [Google Scholar] [CrossRef]
- Dewalska-Opitek, A.; Bilińska-Reformat, K. To What Extent Retail Chains’ Relationships with Suppliers Make the Business Trustworthy—An Empirical Study on Fast Fashion in Pandemic Times. J. Risk Financ. Manag. 2021, 14, 153. [Google Scholar] [CrossRef]
- Stanko, M.A.; Bonner, J.M.; Calantone, R.J. Building Commitment in Buyer-Seller Relationships: A Tie Strength Perspective. Ind. Mark. Manag. 2007, 36, 1094–1103. [Google Scholar] [CrossRef]
- Frazier, G.L. Organizing and Managing Channels of Distribution. J. Acad. Mark. Sci. 1999, 27, 226–240. [Google Scholar] [CrossRef]
- San, Y.W.; Yazdanifard, R. How Consumer Decision Making Process Differ From Youngster to Older Consumer Generation. J. Res. Mark. 2014, 2, 151. [Google Scholar] [CrossRef]
- Victor, V.; Thoppan, J.J.; Nathan, R.J.; Maria, F.F. Factors Influencing Consumer Behavior and Prospective Purchase Decisions in a Dynamic Pricing Environment—An Exploratory Factor Analysis Approach. Soc. Sci. 2018, 7, 153. [Google Scholar] [CrossRef]
- Mostafa, M.M. Gender Differences in Egyptian Consumers’ Green Purchase Behaviour: The Effects of Environmental Knowledge, Concern and Attitude. Int. J. Consum. Stud. 2007, 31, 220–229. [Google Scholar] [CrossRef]
- Solekah, N.A. Green Marketing Tools, Religiosity, Environmental Attitude And Green Purchase Behaviour Among Millenials Generation. MEC-J Manag. Econ. J. 2020, 4, 233–252. [Google Scholar] [CrossRef]
- Albayrak, T.; Aksoy, Ş.; Caber, M. The Effect of Environmental Concern and Scepticism on Green Purchase Behaviour. Mark. Intell. Plan. 2013, 31, 27–39. [Google Scholar] [CrossRef]
- Yeo, G.T.; Thai, V.V.; Roh, S.Y. An Analysis of Port Service Quality and Customer Satisfaction: The Case of Korean Container Ports. Asian J. Shipp. Logist. 2015, 31, 437–447. [Google Scholar] [CrossRef]
- Diggle, A.; Walker, T.R. Implementation of Harmonized Extended Producer Responsibility Strategies to Incentivize Recovery of Single-Use Plastic Packaging Waste in Canada. Waste Manag. 2020, 110, 20–23. [Google Scholar] [CrossRef]
- Lavergne, K.J.; Sharp, E.C.; Pelletier, L.G.; Holtby, A. The Role of Perceived Government Style in the Facilitation of Self-Determined and Non Self-Determined Motivation for pro-Environmental Behavior. J. Environ. Psychol. 2010, 30, 169–177. [Google Scholar] [CrossRef]
- Schuitema, G.; De Groot, J.I.M. Green Consumerism: The Influence of Product Attributes and Values on Purchasing Intentions. J. Consum. Behav. 2014, 14, 57–69. [Google Scholar] [CrossRef]
- Tuni, A.; Rentizelas, A.; Duffy, A. Environmental Performance Measurement for Green Supply Chains: A Systematic Analysis and Review of Quantitative Methods. Int. J. Phys. Distrib. Logist. Manag. 2018, 48, 765–793. [Google Scholar] [CrossRef]
- Kaiser, F.G.; Wolfing, S.; Fuhrer, U. Environmental Attitude And Ecological Behaviour. J. Environ. Psychol. 1999, 19, 1–19. [Google Scholar] [CrossRef]
- Milfont, T.L.; Duckitt, J. The Environmental Attitudes Inventory: A Valid and Reliable Measure to Assess the Structure of Environmental Attitudes. J. Environ. Psychol. 2010, 30, 80–94. [Google Scholar] [CrossRef]
- Narula, S.A.; Desore, A. Framing Green Consumer Behaviour Research: Opportunities and Challenges. Soc. Responsib. J. 2016, 12, 1–22. [Google Scholar] [CrossRef]
- Biswas, A. A Study of Consumers’ Willingness to Pay for Green Products. J. Adv. Manag. Sci. 2016, 4, 211–215. [Google Scholar] [CrossRef]
- Fraj, E.; Martinez, E. Ecological Consumer Behaviour: An Empirical Analysis. Int. J. Consum. Stud. 2007, 31, 26–33. [Google Scholar] [CrossRef]
- Rosa, C.D.; Collado, S. Experiences in Nature and Environmental Attitudes and Behaviors: Setting the Ground for Future Research. Front. Psychol. 2019, 10, 763. [Google Scholar] [CrossRef] [PubMed]
- Khuzaimah, A.B.; Taslim, F.A.; Zabri, I.F.; Jia, K.J.; Ganamoorthi, K.R.; Ling, L.E.; Samah, M.A.A.; Isai, K.I.A.; Muthutamilselvan, K.; Kanan, V.N.; et al. Consumer Behaviour in Green Purchasing: A Case Study in Petaling Jaya, Malaysia. Malays. J. Soc. Sci. Humanit. 2020, 5, 44–59. [Google Scholar] [CrossRef]
- Malik, C.; Singhal, N. Consumer Environmental Attitude and Willingness to Purchase Environmentally Friendly Products: An SEM Approach. Vision 2017, 21, 152–161. [Google Scholar] [CrossRef]
- Rehman, K.S.A.; Qianli, D.; Yu, Z.; Shahid, K.S. Research on the Development of a Sustainable Green Logistics System from the Perspective of Pakistan. Int. J. Econ. Behav. Organ. 2017, 5, 63. [Google Scholar] [CrossRef]
- Young, W.; Davis, M.; McNeill, I.M.; Malhotra, B.; Russell, S.; Unsworth, K.; Clegg, C.W. Changing Behaviour: Successful Environmental Programmes in the Workplace. Bus. Strateg. Environ. 2015, 24, 689–703. [Google Scholar] [CrossRef]
- Agarwal, U.; Narayana, S.A. Impact of Relational Communication on Buyer-Supplier Relationship Satisfaction: Role of Trust and Commitment. Benchmarking 2020, 27, 2459–2496. [Google Scholar] [CrossRef]
- Joshi, Y.; Rahman, Z. Consumers’ Sustainable Purchase Behaviour: Modeling the Impact of Psychological Factors. Ecol. Econ. 2019, 159, 235–243. [Google Scholar] [CrossRef]
- Pinto, M.J.A.; Mendes, J.V. Operational Practices of Lean Manufacturing: Potentiating Environmental Improvements. J. Ind. Eng. Manag. 2017, 10, 550–580. [Google Scholar] [CrossRef]
- Gao, J.; Zhao, J.; Wang, J.; Wang, J. The Influence Mechanism of Environmental Anxiety on Pro-Environmental Behaviour: The Role of Self-Discrepancy. Int. J. Consum. Stud. 2021, 45, 54–64. [Google Scholar] [CrossRef]
- Tabachnick, B.G.; Fidell, L.S. Using Multivariate Statistics, 6th ed.; Pearson Education: Boston, MA, USA, 2013; ISBN 13 978-0-2059-5622-7. [Google Scholar]
- Palinkas, L.A.; Horwitz, S.M.; Green, C.A.; Wisdom, J.P.; Duan, N.; Hoagwood, K. Purposeful Sampling for Qualitative Data Collection and Analysis in Mixed Method Implementation Research. Adm. Policy Ment. Health Ment. Health Serv. Res. 2015, 42, 533–544. [Google Scholar] [CrossRef]
- Rawlins, B. Give the Emperor a Mirror: Toward Developing a Stakeholder Measurement of Organizational Transparency. J. Public Relat. Res. 2008, 21, 71–99. [Google Scholar] [CrossRef]
- Walsh, G.; Beatty, S.E. Customer-Based Corporate Reputation of a Service Firm: Scale Development and Validation. J. Acad. Mark. Sci. 2007, 35, 127–143. [Google Scholar] [CrossRef]
- Newell, S.J.; Goldsmith, R.E. The Development of a Scale to Measure Perceived Corporate Credibility. J. Bus. Res. 2001, 52, 235–247. [Google Scholar] [CrossRef]
- Johnson, J.L. Strategic Integration in Industrial Distribution Channels: Managing the Interfirm Relationship as a Strategic Asset. J. Acad. Mark. Sci. 1999, 27, 4–18. [Google Scholar] [CrossRef]
- Salazar, H.A.; Oerlemans, L.; Van Stroe-Biezen, S. Social Influence on Sustainable Consumption: Evidence from a Behavioural Experiment. Int. J. Consum. Stud. 2013, 37, 172–180. [Google Scholar] [CrossRef]
- Kulin, J.; Sevä, I.J. The Role of Government in Protecting the Environment: Quality of Government and the Translation of Normative Views about Government Responsibility into Spending Preferences. Int. J. Sociol. 2019, 49, 110–129. [Google Scholar] [CrossRef]
- Quoquab, F.; Mohammad, J. Cognitive, Affective and Conative Domains of Sustainable Consumption: Scale Development and Validation Using Confirmatory Composite Analysis. Sustainability 2020, 12, 7784. [Google Scholar] [CrossRef]
- Taherdoost, H. Validity and Reliability of the Research Instrument; How to Test the Validation of a Questionnaire/Survey in a Research. Int. J. Acad. Res. Manag. 2016, 5, 28–36. [Google Scholar] [CrossRef]
- Hair, J.F.; Sarstedt, M.; Hopkins, L.; Kuppelwieser, V.G. Partial Least Squares Structural Equation Modeling (PLS-SEM): An Emerging Tool in Business Research. Eur. Bus. Rev. 2014, 26, 106–121. [Google Scholar] [CrossRef]
- Sarstedt, M.; Ringle, C.M.; Hair, J.F. Partial Least Squares Structural Equation Modeling. Handb. Mark. Res. 2017, 26, 1–40. [Google Scholar] [CrossRef]
- Hu, L.T.; Bentler, P.M. Cutoff Criteria for Fit Indexes in Covariance Structure Analysis: Conventional Criteria versus New Alternatives. Struct. Equ. Model. 1999, 6, 1–55. [Google Scholar] [CrossRef]
- Vázquez, R.; Iglesias, V.; Álvarez-González, L.I. Distribution Channel Relationships: The Conditions and Strategic Outcomes of Cooperation between Manufacturer and Distributor. Int. Rev. Retail. Distrib. Consum. Res. 2005, 15, 125–150. [Google Scholar] [CrossRef]
- Qin, S.; Zhao, L.; Yi, X. Impacts of Customer Service on Relationship Quality: An Empirical Study in China. Manag. Serv. Qual. 2009, 19, 391–409. [Google Scholar] [CrossRef]
- Awan, U.; Kraslawski, A.; Huiskonen, J. Governing Interfirm Relationships for Social Sustainability: The Relationship between Governance Mechanisms, Sustainable Collaboration, and Cultural Intelligence. Sustainability 2018, 10, 4473. [Google Scholar] [CrossRef]
- Ailawadi, K.L.; Farris, P.W. Managing Multi- and Omni-Channel Distribution: Metrics and Research Directions. J. Retail. 2017, 93, 120–135. [Google Scholar] [CrossRef]


| Description | Number of Items with Pearson Correlation Value > r-Table at Significance = 5% | Cronbach’s Alpha Values (>0.7) | Remarks |
|---|---|---|---|
| Perceived producer environmental performance | 9 of 9 items | 0.851 | 9 of 9 questionnaire items are valid and reliable |
| Retailer–consumer relationship quality | 8 of 9 items | 0.811 | 8 of 9 questionnaire items are valid and reliable |
| Consumer purchasing behavior | 9 of 9 items | 0.862 | 9 of 9 questionnaire items are valid and reliable |
| Consumer environmental attitude | 8 of 9 items | 0.749 | 8 of 9 questionnaire items are valid and reliable |
| Reflective Construct | Internal Consistency Reliability | Discriminant Validity (HTMT) | Convergent Validity (AVE) | |
|---|---|---|---|---|
| Cronbach’s Alpha | Composite Reliability | |||
| Relationship quality | 0.859 | 0.934 | 0.936 | 0.876 |
| Purchasing behavior | 0.897 | 0.851 | 0.952 | 0.807 |
| Environmental attitude | 0.921 | 0.962 | 0.963 | 0.827 |
| Construct | Indicator Reliability (Significance of Weight) | Collinearity (VIF) | |||
|---|---|---|---|---|---|
| Perceived Producer Environmental Performance | Relationship Quality | Purchase Behavior | Consumer Environmental Attitude | ||
| Perceived producer environmental performance with formative indicators: | |||||
| 1. Perceived substantial information | 0.955 | 3.306 | |||
| 2. Perceived corporate responsibility quality | 0.917 | 3.306 | |||
| 3. Brand trustworthiness | 0.951 | 3.306 | |||
| Relationship quality with reflective indicators: | |||||
| 1. Flexibility | 0.928 | 2.305 | |||
| 2. Long term relationship orientation | 0.934 | 2.305 | |||
| 3. Communication | 0.938 | 2.305 | |||
| Purchasing behavior with reflective indicators: | |||||
| 1. Social influence | 0.909 | 2.956 | |||
| 2. Product attribute | 0.956 | 2.956 | |||
| 3. Government role | 0.939 | 2.956 | |||
| Environmental attitude with reflective indicators | |||||
| 1. Cognitive | 0.941 | 3.688 | |||
| 2. Affective | 0.964 | 3.688 | |||
| 3. Conative | 0.962 | 3.688 | |||
| Relationship Path | Path Coefficient (β) | p-Values | T-Statistics | Standard Deviation |
|---|---|---|---|---|
| Producer environmental performance—consumer environmental attitude | 0.149 | 0.035 | 2.119 | 0.070 |
| Producer environmental performance—Relationship quality | −0.191 | 0.001 | 3.399 | 0.056 |
| Producer environmental performance—Purchasing behavior | 0.173 | 0.079 | 2.202 | 0.079 |
| Relationship quality—Environmental attitude | −0.024 | 0.428 | 0.793 | 0.030 |
| Purchasing behavior—Environmental attitude | 0.887 | 0.001 | 22.468 | 0.039 |
| Relationship Path | Effects | Path Coefficient (β) | p-Values | T-Statistics |
|---|---|---|---|---|
| PEP–RCRQ–CEA | Direct effect Indirect effect Total effect | 0.149 0.005 0.154 | 0.035 0.418 0.037 | 2.119 0.810 2.015 |
| PEP–CPB–CEA | Direct effect Indirect effect Total effect | 0.149 0.153 0.302 | 0.035 0.029 0.031 | 2.119 2.185 2.192 |
| Hypotheses | Path Coefficient (β) | p-Values | T-Statistics | Result |
|---|---|---|---|---|
| Producer environmental performance positively affects consumer environmental attitude | 0.149 | 0.035 | 2.119 | Hypothesis accepted |
| Producer environmental performance negatively affects relationship quality | −0.191 | 0.001 | 3.399 | Hypothesis accepted |
| Producer environmental performance positively affects consumer purchasing behavior | 0.173 | 0.079 | 2.202 | Hypothesis accepted |
| Relationship quality does not mediate the effect of producer environmental performance on consumer environmental attitude | −0.024 | 0.428 | 0.793 | Hypothesis accepted |
| Consumer purchasing behavior positively mediates the effect of producer environmental performance on consumer environmental attitude | 0.887 | 0.001 | 22.468 | Hypothesis accepted |
Publisher’s Note: MDPI stays neutral with regard to jurisdictional claims in published maps and institutional affiliations. |
© 2022 by the authors. Licensee MDPI, Basel, Switzerland. This article is an open access article distributed under the terms and conditions of the Creative Commons Attribution (CC BY) license (https://creativecommons.org/licenses/by/4.0/).
Share and Cite
Fajar, M.I.; Kusnoputranto, H.; Koestoer, R.H.T.S.; Gozan, M. Impact of Producer’s Environmental Performance on Consumers and Retailers Simultaneously in the Indonesian Retail Environment. Sustainability 2022, 14, 1186. https://doi.org/10.3390/su14031186
Fajar MI, Kusnoputranto H, Koestoer RHTS, Gozan M. Impact of Producer’s Environmental Performance on Consumers and Retailers Simultaneously in the Indonesian Retail Environment. Sustainability. 2022; 14(3):1186. https://doi.org/10.3390/su14031186
Chicago/Turabian StyleFajar, Muhamad Ibnu, Haryoto Kusnoputranto, Raldi Hendro T. S. Koestoer, and Misri Gozan. 2022. "Impact of Producer’s Environmental Performance on Consumers and Retailers Simultaneously in the Indonesian Retail Environment" Sustainability 14, no. 3: 1186. https://doi.org/10.3390/su14031186
APA StyleFajar, M. I., Kusnoputranto, H., Koestoer, R. H. T. S., & Gozan, M. (2022). Impact of Producer’s Environmental Performance on Consumers and Retailers Simultaneously in the Indonesian Retail Environment. Sustainability, 14(3), 1186. https://doi.org/10.3390/su14031186

