Do Honored Cities Achieve a Sustainable Development? A Quasi-Natural Experimental Study Based on “National Civilized City” Campaign in China
Abstract
1. Introduction
2. Literature Review
3. Research Hypotheses
4. Data and Empirical Design
4.1. An Index of Sustainable Development
4.2. Data and Statistics
4.3. Empirical Design
5. Empirical Results and Discussions
5.1. Results of Base Model
5.2. Robustness Tests
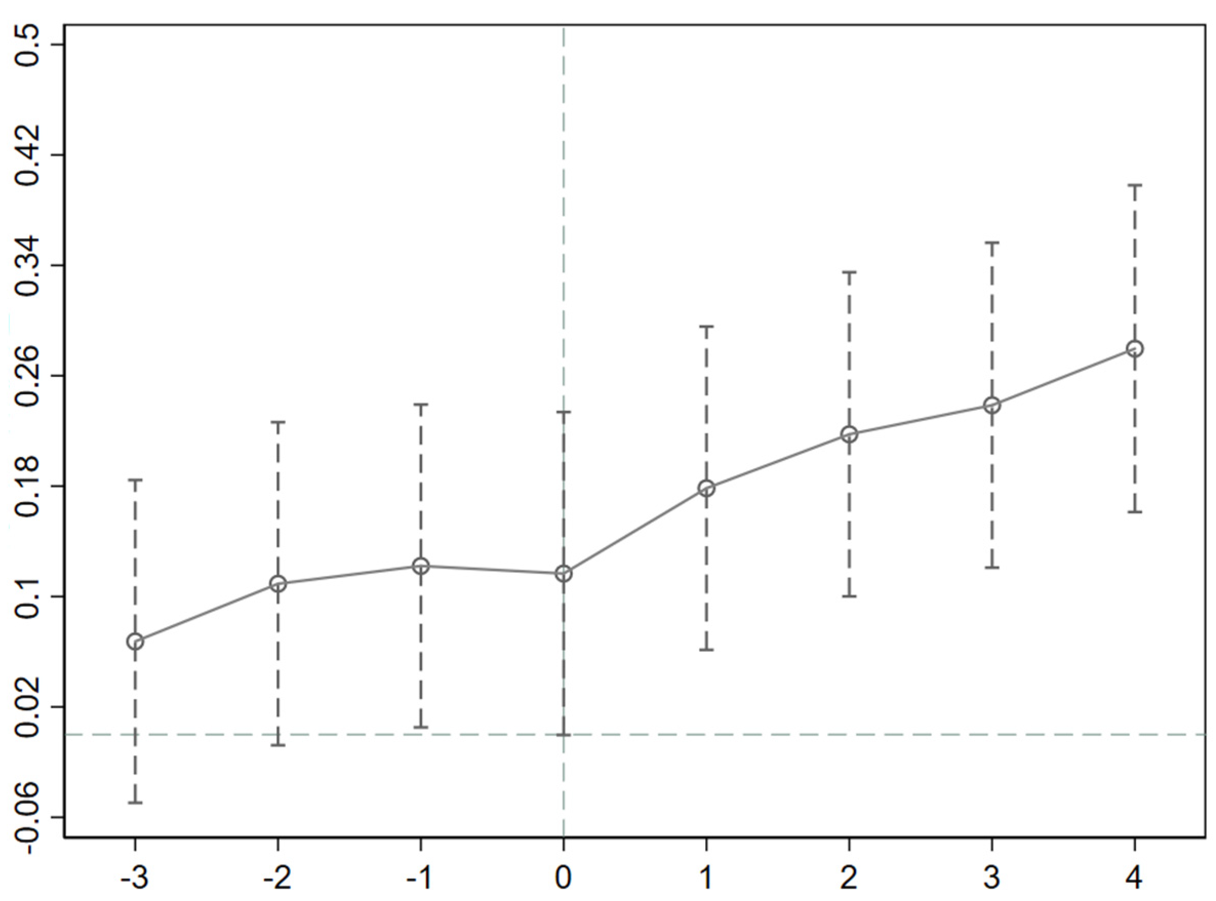
5.2.1. Parallel Trend Test
5.2.2. Placebo Test
5.2.3. Endogeneity Problem
5.3. Mechanism Analysis
5.4. Heterogeneity Analyses
5.4.1. Heterogeneity by City Size
5.4.2. Heterogeneity by the Administrative Level
5.4.3. Heterogeneity by Region
6. Conclusions
Author Contributions
Funding
Institutional Review Board Statement
Data Availability Statement
Conflicts of Interest
References
- Kroll, C.; Warchold, A.; Pradhan, P. Sustainable Development Goals (SDGs): Are we successful in turning trade-offs into synergies? Palgrave Commun. 2019, 5, 140. [Google Scholar] [CrossRef]
- Yi, C.; Bi, T.; Huang, Z.; Fan, Z. Spatio-temporal Dynamics and Influencing Factors of National City Glory Lists: From the Perspective of Multi-honor Joint Creation. J. East China Normal Univ. (Humanit. Soc. Sci.) 2022, 54, 155–171+176. [Google Scholar]
- Liu, S. The Incentive of “Commendation” in Policy Implementation—Taking the Establishment of A Civilized City in China as An Example. Chin. Public Adm. 2019, 2, 72–78. [Google Scholar]
- Huang, S.; Zhou, Z. Non-economic tournaments and economic growth: An analysis based on the “five consecutive” national civilized cities. Res. Financ. Econ. Issues 2020, 7, 3–13. [Google Scholar]
- Li, B. Top-down place-based competition and award: Local government incentives for non-GDP improvement in China. J. Chin. Gov. 2018, 3, 397–418. [Google Scholar] [CrossRef]
- Gomes, P.; Librero, A. Evaluating three decades of the European Capital of Culture programme: A difference-in-differences approach. J. Cult. Econ. 2018, 42, 57–73. [Google Scholar] [CrossRef]
- Steiner, L.; Frey, B.; Hotz, S. European Capitals of Culture and life satisfaction. Urban Stud. 2015, 52, 374–394. [Google Scholar] [CrossRef]
- Yao, P.; Zhang, Z.; Sun, J.; Yan, H. Does City Brand Promote City Development? A Quasinatural Experimental Study Based on “National Civilized City”. J. Financ. Econ. 2021, 47, 32–46. [Google Scholar]
- Qiao, J.; Huang, Z. The impact of civilized city selection on urban economic growth: Promotion or suppression?-A quasi-natural experiment from civilized city selection. Modern Financ. Econ.-J. Tianjin Univ. Financ. Econ. 2020, 40, 98–113. [Google Scholar]
- Chen, Q.; Mao, Y. Do City Honors Increase Tourism Economic Growth? A Quasi-Natural Experimental Research Study Based on “Civilized City” Selection in China. Sustainability 2021, 13, 12545. [Google Scholar] [CrossRef]
- Liu, Z.; Liu, C. Research on the effect of civilized city on the upgrading of industrial structure: A quasi-natural experiment from the selection of civilized city. Ind. Econ. Res. 2021, 1, 43–55+85. [Google Scholar]
- Li, B.; Han, Y.; Wang, C. Did civilized city policy improve energy efficiency of resource-based cities? Prefecture-level evidence. Energy Policy 2022, 167, 113081. [Google Scholar] [CrossRef]
- Lu, J.; Zhao, Y.; Su, Y. “Civilized City” Selection and Environmental Pollution Control: A Quasi-natural Experiment. J. Financ. Econ. 2020, 46, 109–124. [Google Scholar]
- Huang, G.; Zhao, G.; Huang, N. Appraisal-and-Commendation Policy and Carbon Emissions: Evidence from the National Civilised City Program in China. Front. Energy Res. 2022, 10, 955910. [Google Scholar] [CrossRef]
- Xu, Z. How Does Evaluation and Recognition Promote Pollution Control? Empirical Evidence from the Evaluation of Civilized Cities. J. Public Adm. 2020, 13, 151–169+213. [Google Scholar]
- Zhu, J.; Wang, Y.; Hou, L. How can the civilized city evaluation promote labor inflow? Quasi-natural experimental evidence from prefecture-level cities in China. Ind. Econ. Res. 2021, 3, 43–56. [Google Scholar]
- Gong, F.; Li, B.; Lu, H. Analysis of the Livelihood Effect of Civilized Cities: Quasi–natural Experimental Evidence from Prefecture–level Cities. J. Yunnan Univ. Financ. Econ. 2018, 34, 3–17. [Google Scholar]
- Chen, J.; Wu, Y.; Li, P. City Brand and Migrants’ Job Location Choice. J. Financ. Econ. 2022, 48, 140–154. [Google Scholar]
- Zhang, C.; Liu, Q.; Ge, G. The impact of government intervention on corporate environmental performance: Evidence from China’s national civilized city award. Financ. Res. Lett. 2021, 39, 101624. [Google Scholar] [CrossRef]
- Wang, Y.; Hou, L.; Zhu, J. How does the Establishment of Civilized Cities Generate “the Blood of Enterprise Morality”? Based on the Perspective of Corporate Social Responsibility. J. Financ. Econ. 2022, 48, 64–78. [Google Scholar]
- Luo, D.; Tang, Q. The Performance of Institutional Environment Evidence from China’s Private Listed Companies. Econ. Res. J. 2009, 44, 106–118. [Google Scholar]
- Shi, D.; Hu, K.; Chen, J. Does urban civilization promote the high–quality development of enterprises? A research based on the perspectives of environmental regulation and transaction cost. Ind. Econ. Res. 2019, 6, 27–38. [Google Scholar]
- Wu, H.; Wu, S.; Chen, F. Urban civilization, Transaction costs and Firm’s Fourth Profit Source-Evidence from the Private Listed Companies and National Civilized Cities Base on KPSM-DID Method. China Ind. Econ. 2015, 7, 114–129. [Google Scholar]
- Zheng, W.; Zhang, D. National Civilized City and Enterprise Performance: Micro Evidence Based on PSM-DID Method. Ind. Econ. Res. 2016, 5, 37–46. [Google Scholar]
- Yang, Y.; Zhang, P. Logic, Measurement and Governance in China’s High-quality Economic Development. Econ. Res. J. 2021, 56, 26–42. [Google Scholar]
- Williams, C.; Millington, C. The diverse and contested meanings of sustainable development. Geogr. J. 2004, 170, 99–104. [Google Scholar] [CrossRef]
- Jin, J.; Bao, Z. On the meaning of order in urban civilization. Tianjin Soc. Sci. 2011, 2, 4–9. [Google Scholar]
- Storeygard, A. Father on Down the Road: Transport Costs, Trade and Urban Growth in Sub-Saharan Africa. Rev. Econ. Stud. 2016, 83, 1263–1295. [Google Scholar] [CrossRef]
- Krugman, P. Increasing returns and economic geography. J. Political Econ. 1991, 99, 483–499. [Google Scholar] [CrossRef]
- Marcus, B.; Robert, R.; Wang, P. Knowledge exchange, matching, and agglomeration. J. Urban Econ. 2006, 60, 69–95. [Google Scholar]
- Hao, Y.; Cheng, S. Industrial Agglomeration, Technological Innovation and Economic Growth of Urban Agglomeration in the Middle Reaches of Yangtze River. J. Ind. Technol. Econ. 2019, 38, 41–48. [Google Scholar]
- Zeng, D.; Zhao, L. Pollution havens and industrial agglomeration. J. Environ. Econ. Manag. 2009, 58, 141–153. [Google Scholar] [CrossRef]
- Liu, X.; Zhang, P.; Shi, X. Industrial Agglomeration, Technological Innovation and High- quality Economic Development: Empirical Research based on China’s Five Major Ur ban Agglomerations. Reform 2022, 4, 68–87. [Google Scholar]
- Guo, W.; Huang, F. Industrial agglomeration and economic growth quality—An empirical analysis based on panel data of 82 countries worldwide. Econ. Theory Bus. Manag. 2021, 41, 37–51. [Google Scholar]
- Gigliotti, M.; Schmidt-Traub, G.; Bastianoni, S. The Sustainable Development Goals. In Encyclopedia of Ecology, 2nd ed.; Elsevier Inc.: Amsterdam, The Netherlands, 2019; Volume 4, pp. 426–431. [Google Scholar]
- United Nations. The Sustainable Development Goals Report; Cambridge University Press: Cambridge, UK, 2021. [Google Scholar]
- Xu, Z.; Chau, S.; Chen, X.; Zhang, J.; Li, Y.; Dietz, T.; Wang, J.; Winkler, J.A.; Fan, F.; Huang, B. Assessing progress towards sustainable development over space and time. Nature 2020, 577, 74–78. [Google Scholar] [CrossRef] [PubMed]
- Liu, Y.; Tian, C.; Cheng, L. Measurement and comparison of the level of high-quality development of the world economy. Economist 2020, 5, 69–78. [Google Scholar]
- Huan, Z.; Yu, H. How does industrial co-agglomeration affect high-quality economic development? Evidence from Chengdu-Chongqing Economic Circle in China. J. Clean. Prod. 2022, 371, 133485. [Google Scholar]
- Gan, C.; Zheng, R.; Yu, D. An Empirical Study on the Effects of Industrial Structure on Economic Growth and Fluctuations in China. Econ. Res. J. 2011, 46, 4–16+31. [Google Scholar]
- Yu, S.; Zhang, J. The Calculation and Convergence Analysis of Provincial Green Total Factor Productivity in the Yangtze River Economic Belt. Reform 2021, 4, 68–77. [Google Scholar]
- Jin, P.; Peng, C.; Song, M. Macroeconomic uncertainty, high-level innovation, and urban green development performance in China. China Econ. Rev. 2019, 55, 1–18. [Google Scholar] [CrossRef]
- Zhao, T.; Zhang, Z.; Liang, S. Digital Economy, Entrepreneurship, and High-Quality Economic Development: Empirical Evidence from Urban China. J. Manag. World 2020, 36, 65–76. [Google Scholar]
- Manova, K.; Yu, Z. How Firms Export: Processing vs. Ordinary Trade with Financial Frictions. J. Int. Econ. 2016, 100, 120–137. [Google Scholar] [CrossRef]
- Teng, L.; Ma, D. Can Digital Finance Help to Promote High-quality Development? Stat. Res. 2020, 37, 80–92. [Google Scholar]
- Zhang, M.; Xie, S.; Qiang, H.; Zheng, L. Digital Financial Inclusion and Export of SMEs: Timely Help or Additional Improvement. J. World Econ. 2022, 45, 30–56. [Google Scholar]
- Zhang, X.; Wan, G.; Zhang, J.; He, Z. Digital Economy, Financial Inclusion, and Inclusive Growth. Econ. Res. J. 2019, 54, 71–86. [Google Scholar]
- Wei, M.; Li, S. Study on Measuring of Economic High-Quality Development Level in China in the New Era. J. Quant. Tech. Econ. 2018, 35, 3–20. [Google Scholar]
- Zhang, H.; Gou, D.; Wang, J. Evaluation Report on the Sustainable Development of China; Social Science Literature Press: Beijing, China, 2021. [Google Scholar]
- Jacobson, L.; LaLonde, R.; Sullivan, D. Earnings Losses of Displaced Workers. Am. Econ. Rev. 1993, 83, 685–709. [Google Scholar]
- Li, P.; Lu, Y.; Wang, J. Does Flattening Government Improve Economic Performance? Evidence from China. J. Dev. Econ. 2016, 123, 18–37. [Google Scholar] [CrossRef]


| Primary Indicators | Secondary Indicators | Unit | Indicator Attributes |
|---|---|---|---|
| Innovation Development | Number of invention patent applications granted | number | Positive indicators |
| Coordination Development | Urban-rural income gap | ratio | Negative indicators |
| Rationalisation of industrial structure | index | Negative indicators | |
| Green total factor productivity | index | Positive indicators | |
| Green Development | Harmless disposal rate of domestic waste | % | Positive indicators |
| Integrated utilization rate of general industrial solid waste | % | Positive indicators | |
| PM2.5 | micrograms per cubic meter | Negative indicators | |
| Openness Development | Total imports and exports | 1,000,000 RMB | Positive indicators |
| Road passenger traffic | 10,000 people | Positive indicators | |
| Digital Inclusive Finance Development Index | index | Positive indicators | |
| Sharing Development | Number of hospital beds per ten thousand people | Number of beds/10,000 people | Positive indicators |
| Education expenditure per capita | RMB/person | Positive indicators | |
| Number of Internet users | 1000 households | Positive indicators |
| Variable Category | Variable Name | Observations | Average | Standard Deviation | Minimum Value | Maximum Value |
|---|---|---|---|---|---|---|
| Explained variables | Index of sustainable development () | 2178 | 0.110 | 0.775 | −2.622 | 6.310 |
| Core explanatory variables | Civilized City () | 2178 | 0.069 | 0.253 | 0 | 1 |
| Intermediate variables | Level of industrial agglomeration () | 2178 | 1.129 | 0.232 | 0.676 | 2.323 |
| Control variables | GDP per capita (lngdppc) | 2178 | 10.55 | 0.606 | 8.730 | 13.19 |
| Population density (lnpop) | 2178 | 5.683 | 0.911 | 1.628 | 7.923 | |
| Level of financial development (finance) | 2178 | 2.319 | 1.149 | 0.629 | 21.30 | |
| Fiscal decentralization (fisde) | 2178 | 0.422 | 0.197 | 0.069 | 1.541 |
| Variables | Sd | |
|---|---|---|
| (1) | (2) | |
| 0.177 *** | 0.129 *** | |
| (4.43) | (3.62) | |
| lngdppc | 0.327 *** | |
| (6.23) | ||
| lnpop | 1.479 *** | |
| (5.84) | ||
| finance | 0.024 *** | |
| (3.36) | ||
| fisde | −0.222 ** | |
| (−2.14) | ||
| Constant term | −0.122 *** | −11.938 *** |
| (−20.89) | (−8.53) | |
| City fixed effects | Yes | Yes |
| Year fixed effects | Yes | Yes |
| N | 2178 | 2178 |
| Variables | Sd | ||
|---|---|---|---|
| 2012 | 2013 | 2014 | |
| 0.092 | 0.081 | 0.073 | |
| (1.12) | (1.47) | (1.60) | |
| Constant term | 1.005 | 1.185 | 1.276 |
| (0.34) | (0.40) | (0.42) | |
| Control variables | Yes | Yes | Yes |
| City fixed effects | Yes | Yes | Yes |
| Year fixed effects | Yes | Yes | Yes |
| N | 968 | 968 | 968 |
| Variables | Different Control Groups | Control Provinces Fixed Effects | |
|---|---|---|---|
| (1) | (2) | (3) | |
| 0.083 ** | 0.129 *** | 0.083 ** | |
| (2.02) | (3.62) | (2.24) | |
| Constant term | −19.816 *** | −11.938 *** | −8.632 *** |
| (−8.51) | (−8.53) | (−4.91) | |
| Control variables | Yes | Yes | Yes |
| Province × Year | NO | NO | Yes |
| City fixed effects | Yes | Yes | Yes |
| Year fixed effects | Yes | Yes | Yes |
| N | 585 | 2178 | 2178 |
| Variables | Agg | Sd |
|---|---|---|
| (1) | (2) | |
| 0.004 *** | 0.113 *** | |
| (3.42) | (3.26) | |
| agg | 4.333 *** | |
| (7.65) | ||
| Constant term | −0.551 *** | −9.551 *** |
| (−10.81) | (−7.10) | |
| Control variables | Yes | Yes |
| Urban fixed effects | Yes | Yes |
| Year fixed effects | Yes | Yes |
| N | 2178 | 2178 |
| Variables | Sd | ||
|---|---|---|---|
| (1) | (2) | (3) | |
| × super | 0.793 *** | ||
| (4.07) | |||
| × big | 0.176 *** | ||
| (4.23) | |||
| × small | −0.028 | ||
| (−0.55) | |||
| Constant term | −12.432 *** | 0.176 *** | −13.049 *** |
| (−5.04) | (4.23) | (−5.31) | |
| Urban fixed effects | Yes | Yes | Yes |
| Year fixed effects | Yes | Yes | Yes |
| N | 2178 | 2178 | 2178 |
| Variables | Sd | |
|---|---|---|
| (1) | (2) | |
| × higher | 0.463 *** | |
| (2.60) | ||
| × lower | 0.015 | |
| (0.23) | ||
| Constant term | −11.679 ** | −12.966 *** |
| (−5.79) | (−5.22) | |
| City Effect | Yes | Yes |
| Time fixed effects | Yes | Yes |
| N | 2178 | 2178 |
| Variables | Sd | |||
|---|---|---|---|---|
| (1) | (2) | (3) | (4) | |
| × east | 0.094 * | |||
| (1.95) | ||||
| × central | 0.228 *** | |||
| (3.70) | ||||
| × west | 0.094 | |||
| (1.16) | ||||
| × northeast | −0.138 | |||
| (−0.77) | ||||
| Constant term | −12.068 *** | −12.437 *** | −12.471 *** | −12.435 *** |
| (−8.45) | (−8.67) | (−8.67) | (−8.66) | |
| Urban fixed effects | Yes | Yes | Yes | Yes |
| Year fixed effects | Yes | Yes | Yes | Yes |
| N | 2178 | 2178 | 2178 | 2178 |
Publisher’s Note: MDPI stays neutral with regard to jurisdictional claims in published maps and institutional affiliations. |
© 2022 by the authors. Licensee MDPI, Basel, Switzerland. This article is an open access article distributed under the terms and conditions of the Creative Commons Attribution (CC BY) license (https://creativecommons.org/licenses/by/4.0/).
Share and Cite
Chen, J.; Yi, C.; Wang, Y.; Bi, T. Do Honored Cities Achieve a Sustainable Development? A Quasi-Natural Experimental Study Based on “National Civilized City” Campaign in China. Sustainability 2022, 14, 16872. https://doi.org/10.3390/su142416872
Chen J, Yi C, Wang Y, Bi T. Do Honored Cities Achieve a Sustainable Development? A Quasi-Natural Experimental Study Based on “National Civilized City” Campaign in China. Sustainability. 2022; 14(24):16872. https://doi.org/10.3390/su142416872
Chicago/Turabian StyleChen, Jingan, Chengdong Yi, Yourong Wang, and Tianyu Bi. 2022. "Do Honored Cities Achieve a Sustainable Development? A Quasi-Natural Experimental Study Based on “National Civilized City” Campaign in China" Sustainability 14, no. 24: 16872. https://doi.org/10.3390/su142416872
APA StyleChen, J., Yi, C., Wang, Y., & Bi, T. (2022). Do Honored Cities Achieve a Sustainable Development? A Quasi-Natural Experimental Study Based on “National Civilized City” Campaign in China. Sustainability, 14(24), 16872. https://doi.org/10.3390/su142416872

