Contemporary Research and Developments in the Low-Toxic Chelating Reagents for the Extraction of Non-Ferrous and Noble Metals from Poor Polymetallic Ores and Processing Tailings
Abstract
1. Introduction
2. Poor Polymetallic Ores and Processing Tailings—A New Source of Non-Ferrous and Precious Metals
3. Results
3.1. The Use of Low-Toxicity Chelating Agents in the Process of Flotation Extraction of Non-Ferrous and Noble Metals from Poor Polymetallic Ores and Tailings
3.2. Sulfhydryl Collectors and Their Modifications
3.3. Herbal Extracts
3.4. Thermomorphic Polymers
4. Conclusions
Author Contributions
Funding
Institutional Review Board Statement
Informed Consent Statement
Data Availability Statement
Acknowledgments
Conflicts of Interest
References
- Komogortsev, B.V.; Varenichev, A.A. Improvement of flotation technologies for finely dispersed gold-bearing sulfide ore. MIAB Min. Inf. Anal. Bull. 2018, 10, 180–190. (In Russian) [Google Scholar] [CrossRef]
- Chernousenko, E.V.; Mitrofanova, G.V.; Kameneva, Y.S.; Vishnyakova, I.N. Evaluation of complexing agents in the flotation of copper-nickel ores. Tsvetnye Met. 2019, 1, 7–12. (In Russian) [Google Scholar] [CrossRef]
- Mitrofanova, G.V.; Chernousenko, E.V.; Bazarova, E.A.; Tyukin, A.P. The search for new complexing reagents for copper-nickel ore flotation. Tsvetnye Met. 2019, 11, 27–33. (In Russian) [Google Scholar] [CrossRef]
- Miki, H.; Hirajima, T.; Muta, Y.; Suyantara, G.P.W.; Sasaki, K. Investigation of reagents for selective flotation on chalcopyrite and molybdenite. In Proceedings of the 29th International Mineral Processing Congress (IMPC 2018), Moscow, Russia, 17–21 September 2018; pp. 1854–1861. [Google Scholar]
- Yudaev, P.; Chistyakov, E. Chelating Extractants for Metals. Metals 2022, 12, 1275. [Google Scholar] [CrossRef]
- Marabini, A.M.; Ciriachi, M.; Plescia, P.; Barbaro, M. Chelating reagents for flotation. Miner. Eng. 2007, 20, 1014–1025. [Google Scholar] [CrossRef]
- Domracheva, V.A.; Trusova, V.V.; Leonov, V.Y.; Ostapchuk, D.E. Justification of the possibility of extraction of heavy metals with carbon sorbents from wastes of mining and concentrating factories. In Proceedings of the 19th International Scientific and Practical Conference “Prospects for the Development of the Mining and Metallurgical Industry” (Igoshinsky readings—2019), Irkutsk, Russia, 28–29 November 2019; Publishing House INRTU: Irkutsk, Russia, 2020; pp. 6–11. (In Russian). [Google Scholar]
- Omarova, G.; Baibatsha, A.; Abdykirova, G.Z. Flotation enrichment of enrichment factory tailings for use as technogenic ore. In Proceedings of the 19th International Multidisciplinary Scientific GeoConference SGEM 2019, Albena, Bulgaria, 30 June–6 July 2019; Volume 19, pp. 195–202. [Google Scholar] [CrossRef]
- Mikhailov, B.K.; Sedelnikova, G.V.; Benevolsky, B.I.; Romanchuk, A.I. Innovation technologies of gold refractory and low grade ores processing as basis of rational mineral resources using. Ores Met. 2014, 1, 5–8. (In Russian) [Google Scholar]
- Mining Industry 2022, 4, 162–169. (In Russian). Available online: https://dprom.online/wp-content/uploads/Issue/DP_4_2022.pdf?ysclid=lb9d1kk27i468798122 (accessed on 25 August 2022).
- Lindsay, M.B.J.; Moncur, M.C.; Bain, J.G.; Jambor, J.L.; Ptacek, C.J.; Blowes, D.W. Geochemical and mineralogical aspects of sulfide mine tailings. Appl. Geochem. 2015, 57, 157–177. [Google Scholar] [CrossRef]
- Shengo, L.M. Review of Practices in the Managements of Mineral Wastes: The Case of Waste Rocks and Mine Tailings. Water Air Soil Pollut. 2021, 232, 273. [Google Scholar] [CrossRef]
- Bevandić, S.; Blannin, R.; Gomez Escobar, A.; Bachmann, K.; Frenzel, M.; Pinto, A.; Relvas, J.M.R.S.; Muchez, P. Metal deportment in Pb-Zn mine wastes from a historic tailings pond, Plombières, East Belgium. Miner. Eng. 2022, 184, 107628. [Google Scholar] [CrossRef]
- Mustafin, S.K. Man-made gold-bearing mineral raw materials of the southern urals: Nature, composition and prospects for use. In Proceedings of the Problems of Mineralogy, Petrography and Metallogeny, Scientific Readings in Memory of P.N. Chirvinsky, Permian, Russia, 5 February 2019; Volume 22, pp. 236–242. (In Russian). [Google Scholar]
- Mustafin, S.K.; Anisimova, G.S.; Trifonov, A.N.; Struchkov, K.K. Technogenic Mineral Raw Materials of the Subsoil Use Regions: Nature, Composition and Prospects of Rational Development. Sci. Educ. Arct. Subarct. Nat. Resour. 2017, 4, 7–16. (In Russian) [Google Scholar]
- Mikhailov, B.K.; Kiperman, Y.A.; Komarov, M.A. Technogenic Mineral Resources; Mikhailov, B.K., Ed.; Scientific World: Moscow, Russia, 2012; p. 236. (In Russian) [Google Scholar]
- Melentiev, G.B.; Ovcharova, E.S.; Malinina, E.N.; Zabolotsky, A.I. Resource and technological problems of the integrated use of natural and technogenic copper-sulfide raw materials with the production of associated copper-sulfide products. In Technogenic Resources and Innovations in Technoecology; Shelkov, E.M., Melentiev, G.B., Eds.; JIHT RAS: Moscow, Russia, 2008. (In Russian) [Google Scholar]
- Gorbatova, E.A.; Melentiev, G.B.; Ovcharova, E.S.; Vdovina, O.K.; Emelianenko, E.A. Particularly valuable and environmentally friendly limited components in the tailings of enriched Ural licensed raw materials. In Comprehensive Development and Processing of Technogenic Formations Using Innovative Technologies; Mikhailov, G.G., Chernobrivets, T.F., Eds.; JIHT RAS: Moscow, Russia, 2013. (In Russian) [Google Scholar]
- Panshin, A.M.; Mamyachenkov, S.V.; Tropnikov, D.L.; Anisimova, O.S.; Rogozhnikov, D.A. Research of regularities of leaching the sulfated cinders obtained during roasting of copper-zinc middlings. Izv. Vuzov Tsvetnaya Metall. 2017, 3, 23–30. [Google Scholar] [CrossRef][Green Version]
- Kyaw, Z.Y.; Tiagalieva, Z.A.; Htet, Z.; Phyo, K.K. Improvement of reagent flotation modes of sphalerite and pyrite from deposits of copper-zinc pyrite, polymetallic copper-zinc pyrite and polymetallic ores. IOP Conf. Ser. Earth Environ. Sci. 2021, 942, 012004. [Google Scholar] [CrossRef]
- Bobrakova, A.A. Increasing the Complexity of Processing Molybdenum-Containing Ores by Obtaining Concomitant Concentrates of Aluminosilicate Composition. Ph.D. Thesis, National Mineral Resources University “Gorny”, Saint Petersburg, Russia, 2015. (In Russian). [Google Scholar]
- Khanchuk, A.I.; Kemkina, R.A.; Kemkin, I.V.; Zvereva, V.P. Mineralogical and geochemical substantiation for processing aged sands from tailing dumps of the Solnechny mining and processing plant (Komsomolsky district, the Khabarovsk territory). Vestn. Kraunts Nauk. O Zemle 2012, 1, 22–40. (In Russian) [Google Scholar]
- Zvereva, V.P.; Frolov, K.R.; Lysenko, A.I. Chemical reactions and conditions of mineral formation at tailings storage facilities of the Russian Far East. Min. Sci. Technol. 2021, 6, 181–191. (In Russian) [Google Scholar] [CrossRef]
- Spiridonov, É.M.; Kulagov, É.A.; Kulikova, I.M. Palladium, platinum and goldmineral assamblages in ores of the Norilsk deposit. Geol. Ore Depos. 2004, 46, 150–166. [Google Scholar]
- Komarov, M.A.; Aliskerov, V.A.; Kusevich, V.I.; Zavyortkin, V.L. Mine waste—An additional source of mineral resources. Miner. Resour. Russ. Econ. Manag. 2007, 4, 3–9. (In Russian) [Google Scholar]
- Masloboev, V.A.; Seleznev, S.G.; Makarov, D.V.; Svetlov, A.V. Assessment of eco-hazard of copper-nickel ore mining and processing waste. J. Min. Sci. 2014, 50, 559–579. [Google Scholar] [CrossRef]
- Abramov, A.A. Collected Works. Vol. 7. Flotation. Reagents-Collectors; Publishing House “Mining Book”: Moscow, Russia, 2012. (In Russian) [Google Scholar]
- Ryaboy, V.I. Production and usage of flotation reagents in Russia. Gorn. Zhurnal 2011, 2, 49–53. (In Russian) [Google Scholar]
- Roy, D.; Brooks, W.L.A.; Sumerlin, B.S. New directions in thermoresponsive polymers. Chem. Soc. Rev. 2013, 42, 7214–7243. [Google Scholar] [CrossRef]
- Ignatkina, V.A.; Bocharov, V.A.; Kayumov, A.A. Basic principles of selecting separation methods for sulfide minerals having similar properties in complex ore concentrates. J. Min. Sci. 2016, 52, 360–372. [Google Scholar] [CrossRef]
- Bocharov, V.A.; Ignatkina, V.A.; Kayumov, A.A. Methods of gold recovery during the concentration of refractory gold-bearing pyritic copper-zinc ores. Part 1. Analysis of practice and choice of ways of selective recovery of mineral phases of gold from pyritic copper-zinc ores. Tsvetnye Met. 2017, 4, 11–16. (In Russian) [Google Scholar] [CrossRef]
- Kondrat’ev, S.A.; Sem’yanova, D.V. Relation between Hydrocarbon Radical Structure and Collecting Abilities of Flotation Agent. J. Min. Sci. 2018, 54, 1024–1034. [Google Scholar] [CrossRef]
- Yusupov, T.S.; Kondratyev, S.A.; Baksheeva, I.I. Production-induced cassiterite-sulfide mineral formation structural-chemical and technological properties. Obogashchenie Rud 2016, 5, 26–31. (In Russian) [Google Scholar] [CrossRef]
- Kurkov, A.V.; Pastukhova, I.V. Method for Flotation of Rare Metal and Tin Ores. RU Patent 2 381 073 C1, 10 February 2010. [Google Scholar]
- Zhou, Y.; Tong, X.; Song, S.; Wang, X.; Deng, Z.; Xie, X. Beneficiation of cassiterite fines from a tin tailing slime by Froth Flotation. Sep. Sci. Technol. 2014, 49, 458–463. [Google Scholar] [CrossRef]
- Bocharov, V.A.; Ignatkina, V.A.; Chanturia, E.L.; Lapshina, G.A.; Melnikova, S.I. Technology of complex concentration of sulfide gold-containing ores difficult for concentration. Izv. Vyss. Uchebnykh Zaved. Tsvetnaya Metall. 2004, 5, 4–9. (In Russian) [Google Scholar]
- Kakovsky, I.A. Sulfhydryl reagents. In Physical and Chemical Foundations of the Theory of Flotation; Nauka: Moscow, Russia, 1983; pp. 102–135. (In Russian) [Google Scholar]
- Abramov, A.A. Technology of Enrichment of Oxidized and Mixed Ores of Non-Ferrous Metals; Nedra: Moscow, Russia, 1986. (In Russian) [Google Scholar]
- Konev, V.A. Sulfide Flotation; Nedra: Moscow, Russia, 1985. (In Russian) [Google Scholar]
- Ng, W.S.; Connal, L.A.; Forbes, E.; Franks, G.V. A review of temperature-responsive polymers as novel reagents for solid-liquid separation and froth flotation of minerals. Miner. Eng. 2018, 123, 144–159. [Google Scholar] [CrossRef]
- Matveeva, T.N.; Gromova, N.K.; Koporulina, E.V. Analysis of adsorption of phytogenous collecting agents at the gold-containing sulfides during flotation. J. Min. Sci. 2015, 51, 601–608. [Google Scholar] [CrossRef]
- Matveeva, T.N. Scientific substantiation of highly effective methods of flotation extraction of gold and platinum-containing ores. Doctoral Thesis, ICEMR RAS, Moscow, Russia, 2012. [Google Scholar]
- Kirsh, Y.E. Poly-N-vinylpyrrolidone and Other Poly-N-vinylamides: Synthesis and Physicochemical Properties; Nauka: Moscow, Russia, 1998; ISBN 5-02-004498-9. [Google Scholar]
- Chanturiya, V.A.; Ivanova, T.A.; Chanturiya, E.L.; Zimbovskiy, I.G. Mechanism of the selective operation of 1-phenyl-2,3-dimethyl-4-aminopyrazolone-5, during the process of flotation separation of sphaterite and pyrite. Tsvetnye Met. 2013, 1, 25–29. (In Russian) [Google Scholar]
- Matveeva, T.N.; Chanturiya, V.A.; Getman, V.V.; Gromova, N.K.; Ryazantseva, M.V.; Karkeshkina, A.Y.; Lantsova, L.B.; Minaev, V.A. The Effect of Complexing Reagents on Flotation of Sulfide Minerals and Cassiterite from Tin-Sulfide Tailings. Miner. Process. Extr. Metall. Rev. 2022, 43, 346–359. [Google Scholar] [CrossRef]
- Dolgorev, A.V.; Lysak, I.G.; Zibarova, Y.F.; Lukoyanov, A.P. Dithiopyrilmethane and its analogues as analytical reagents. Synthesis and properties. J. Anal. Chem. 1980, 35, 854–861. (In Russian) [Google Scholar]
- Shcherbakova, L.V. Physicochemical Parameters of Complexes of Metal Ions with Pyrazole Thio Derivatives and a Method for Determining the Equilibrium Constants. Ph.D. Thesis, ASU, Barnaul, Russia, 2005. (In Russian). [Google Scholar]
- Scherbakova, L.V.; Petrov, B.I.; Chebotarev, V.K. Potentiometricdetermination of noble metals by dithiopyrilmethane. Izv. Altai State Univ. 2000, 3, 28–30. (In Russian) [Google Scholar]
- Matveeva, T.N.; Getman, V.V.; Karkeshkina, A.Y. Flotation and Adsorption Capacities of Dithiopyrilmethane in Gold Recovery from Rebellious Arsenical Gold Ore. J. Min. Sci. 2020, 56, 648–653. [Google Scholar] [CrossRef]
- Bocharov, V.A.; Ignatkina, V.A.; Lapshina, G.A.; Hachatryan, L.S. Features of extracting gold from gold-bearing sulfide ores. MIAB Min. Inf. Anal. Bull. 2004, 12, 297–302. (In Russian) [Google Scholar]
- Tusupbaev, N.K.; Turysbekov, D.K.; Semushkina, L.V.; Narbekova, S.M. Processing gold tailings of gravity using composite reagents. In Proceedings International Scientific Conference “Modern Problems of Complex Processing of Refractory Ores and Technogenic Raw Materials” (Plaksinsky Readings—2017), Krasnoyarsk, Russia, 12–15 September 2017; Siberian Federal University: Krasnoyarsk, Russia, 2017; pp. 154–156. (In Russian) [Google Scholar]
- Marfitsin, A.V. Economic effect of using Flotent reagents for the mining industry. Gold Technol. 2020, 4, 102. (In Russian) [Google Scholar]
- Bagheri, B.; Vazifeh Mehrabani, J.; Farrokhpay, S. Recovery of sphalerite from a high zinc grade tailing. J. Hazard. Mater. 2020, 381, 120946. [Google Scholar] [CrossRef] [PubMed]
- Seksenova, N.; Bykov, R.; Mamyachenkov, S.; Daumova, G.; Kozhakanova, M. Optimization of Conditions for Processing of Lead–Zinc Ores Enrichment Tailings of East Kazakhstan. Metals 2021, 11, 1802. [Google Scholar] [CrossRef]
- Liu, D.; Zhang, G.; Chen, Y. Investigations on the selective depression of fenugreek gum towards galena and its role in chalcopyrite-galena flotation separation. Miner. Eng. 2021, 166, 106886. [Google Scholar] [CrossRef]
- Milosavljević, M.M.; Marinković, A.D.; Rančić, M.; Milentijević, G.; Bogdanović, A.; Cvijetić, I.N.; Gurešić, D. New Eco-Friendly Xanthate-Based Flotation Agents. Minerals 2020, 10, 350. [Google Scholar] [CrossRef]
- Zhang, J.; Zhang, X.-G.; Wei, X.X.; Cheng, S.-Y.; Hu, X.Q.; Luo, Y.-C.; Xu, P.-F. Selective depression of galena by sodium polyaspartate in chalcopyrite flotation. Miner. Eng. 2022, 180, 107464. [Google Scholar] [CrossRef]
- Liu, R.-Z.; Qin, W.; Jiao, F.; Wang, X.-J.; Pei, B.; Yang, Y.-J.; Lai, C.-H. Flotation separation of chalcopyrite from galena by sodium humate and ammonium persulfate. Trans. Nonferrous Met. Soc. China 2016, 26, 265–271. [Google Scholar] [CrossRef]
- Qiu, T.-S.; Zhang, B.-H.; Zhang, W.-X.; Zhao, G.-F. Current status and progress of technology of separating arsenopyrite and pyrite. Min. Process. Equip. 2013, 41, 1–5. [Google Scholar]
- Lin, S.; Liu, R.; Bu, Y.; Wang, C.; Wang, L.; Sun, W.; Hu, Y. Oxidative Depression of Arsenopyrite by Using Calcium Hypochlorite and Sodium Humate. Minerals 2018, 8, 463. [Google Scholar] [CrossRef]
- Spooren, J.; Binnemans, K.; Björkmalm, J.; Breemersch, K.; Dams, Y.; Folens, K.; González-Moya, M.; Horckmans, L.; Komnitsas, K.; Kurylak, W.; et al. Near-zero-waste processing of low-grade, complex primary ores and secondary raw materials in Europe: Technology development trends. Resour. Conserv. Recycl. 2020, 160, 104919. [Google Scholar] [CrossRef]
- Lopéz, R.; Jordão, H.; Hartmann, R.; Ämmälä, A.; Carvalho, M.T. Study of butyl-amine nanocrystal cellulose in the flotation of complex sulphide ores. Colloids Surf. A Physicochem. Eng. Asp. 2019, 579, 123655. [Google Scholar] [CrossRef]
- Sarquísa, P.E.; Menéndez-Aguadob, J.M.; Mahamudb, M.M.; Dziobac, R. Tannins: The organic depressants alternative in selective flotation of sulfides. Author links open overlay pane. J. Clean. Prod. 2014, 84, 723–726. [Google Scholar] [CrossRef]
- Shubov, L.Y.; Ivankov, S.I.; Shcheglova, N.K. Flotation Reagents in Mineral Processing, Book 1; Kondratieva, L.V., Ed.; Nedra: Moscow, Russia, 1990; ISBN 5-247-02668-3. (In Russian) [Google Scholar]
- Robertson, C.; Bradshaw, D.; Harris, P. Decoupling the effects of depression and dispersion in the batch flotation of a platinum bearing ore. In Proceedings of the 22th International Mineral Processing Congress (IMPC 2003), Cape Town, South Africa, 29 September–3 October 2003. [Google Scholar]
- Somasundaran, P.; Wang, J.; Pan, Z.; Nagaraj, D.R.; Chen, H.-L.; Anastassakis, G. Interactions of gum depressants with talk: Study of adsorption by spectroscopic and allied techniques. In Proceedings of the 22th International Mineral Processing Congress (IMPC 2003), Cape Town, South Africa, 29 September–3 October 2003. [Google Scholar]
- Ivanova, T.A.; Chanturia, E.L. Application of complexing reagents to flotation separation of the varieties of pyrite. J. Min. Sci. 2007, 43, 441–449. [Google Scholar] [CrossRef]
- Ivanova, T.A.; Zimbovsky, I.G.; Koporulina, E.V. Enhancing multipurpose use of cow-parsnip in processing of gold-bearing sulfides. J. Min. Sci. 2017, 53, 327–333. [Google Scholar] [CrossRef]
- Orlin, N.A. About the extraction of coumarins from hogweed. Successes Mod. Nat. Science. Biol. Sci. 2010, 3, 13–14. (In Russian) [Google Scholar]
- Ivanova, T.A.; Chanturia, V.A.; Zimbovsky, I.G. New experimental evaluation techniques for selectivity of collecting agents for gold and platinum flotation from fine-impregnated noble metal ores. J. Min. Sci. 2013, 49, 785–794. [Google Scholar] [CrossRef]
- Chanturia, V.A.; Matveeva, T.N.; Ivanova, T.A.; Gromova, N.K.; Lantsova, L.B. New complexing agents to select auriferous pyrite and arsenopyrite. J. Min. Sci. 2011, 47, 102–108. [Google Scholar] [CrossRef]
- Matveeva, T.N. Scientific grounds for high-performance agent modes in platiniferous sulfide mineral flotation from rebellious ores. J. Min. Sci. 2011, 47, 824–828. [Google Scholar] [CrossRef]
- Matveeva, T.N.; Ivanova, T.A.; Getman, V.V.; Gromova, N.K. New flotation agents for recovery of micro- and nanoparticles of precious metals from rebellious ore. Gorn. Zhurnal 2017, 11, 89–93. [Google Scholar] [CrossRef]
- Chanturija, V.A.; Ivanova, T.A.; Matveeva, T.N.; Gromova, N.K.; Lantsova, L.B. Method for Separation of Pyrite and Arsenic Pyrite. RU Patent 2 397 025 C1, 20 August 2010. [Google Scholar]
- Matveeva, T.N.; Chanturia, V.A.; Gromova, N.K.; Lantsova, L.B. Effect of chemical and phase compositions on adsorption and flotation properties of tin-sulfide ore tailings with dibutyl dithiocarbamate. J. Min. Sci. 2018, 54, 1014–1023. [Google Scholar] [CrossRef]
- Ng, W.S.; Connal, L.A.; Forbes, E.; Mohanarangam, K.; Franks, G.V. In situ study of aggregate sizes formed in chalcopyrite-quartz mixture using temperature-responsive polymers. Adv. Powder Technol. 2018, 29, 1940–1949. [Google Scholar] [CrossRef]
- Aguilar, M.R.; Román, J.S. 1—Introduction to smart polymers and their applications. In Smart Polymers and Their Applications; María, R.A., Julio, S.R., Eds.; Woodhead Publishing: Sawston, UK, 2014; pp. 1–11. [Google Scholar] [CrossRef]
- Yanul, N.A.; Zemlyanova, O.Y.; Kirsh, Y.E.; Kalnin’sh, K.K. Interaction of aqueous associates with poly-n-vinylcaprolactam in concentrated polymer solutions. Russ. J. Phys. Chem. A 1998, 72, 1687–1692. [Google Scholar]
- Gembitskii, P.A.; Zhuk, D.S.; Kargin, V.A. Polyethyleneimine; Nauka: Moscow, Russia, 1971. [Google Scholar]
- Olenin, A.Y.; Krutyakov, Y.A.; Lisichkin, G.V. Formation echanisms of anisotropic silver nanostructures in polyol synthesis. Nanotechnol. Russ. 2010, 5, 421–426. (In Russian) [Google Scholar] [CrossRef]
- Chanturia, V.A.; Matveeva, T.N.; Ivanova, T.A.; Getman, V.V. Mechanism of interaction of cloud point polymers with platinum and gold in flotation of finely disseminated precious metal ores. Miner. Process. Extr. Metall. Rev. 2016, 37, 187–195. [Google Scholar] [CrossRef]


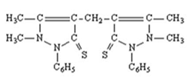
| Aminophenazone C13H17N3O | Diantipyrylmethane C23H24N4O2 | Dithiopyrilmethane C23H24N4S2 |
|---|---|---|
![]() | ![]() | ![]() |
Publisher’s Note: MDPI stays neutral with regard to jurisdictional claims in published maps and institutional affiliations. |
© 2022 by the authors. Licensee MDPI, Basel, Switzerland. This article is an open access article distributed under the terms and conditions of the Creative Commons Attribution (CC BY) license (https://creativecommons.org/licenses/by/4.0/).
Share and Cite
Matveeva, T.N.; Getman, V.V.; Gromova, N.K.; Karkeshkina, A.Y. Contemporary Research and Developments in the Low-Toxic Chelating Reagents for the Extraction of Non-Ferrous and Noble Metals from Poor Polymetallic Ores and Processing Tailings. Sustainability 2022, 14, 16262. https://doi.org/10.3390/su142316262
Matveeva TN, Getman VV, Gromova NK, Karkeshkina AY. Contemporary Research and Developments in the Low-Toxic Chelating Reagents for the Extraction of Non-Ferrous and Noble Metals from Poor Polymetallic Ores and Processing Tailings. Sustainability. 2022; 14(23):16262. https://doi.org/10.3390/su142316262
Chicago/Turabian StyleMatveeva, Tamara N., Viktoriya V. Getman, Nadezhda K. Gromova, and Anna Yu. Karkeshkina. 2022. "Contemporary Research and Developments in the Low-Toxic Chelating Reagents for the Extraction of Non-Ferrous and Noble Metals from Poor Polymetallic Ores and Processing Tailings" Sustainability 14, no. 23: 16262. https://doi.org/10.3390/su142316262
APA StyleMatveeva, T. N., Getman, V. V., Gromova, N. K., & Karkeshkina, A. Y. (2022). Contemporary Research and Developments in the Low-Toxic Chelating Reagents for the Extraction of Non-Ferrous and Noble Metals from Poor Polymetallic Ores and Processing Tailings. Sustainability, 14(23), 16262. https://doi.org/10.3390/su142316262




